Synthesis of Chitosan Derivatives and Their Inhibition Effects on Methane Hydrates
Abstract
:1. Introduction
2. Experimental Section
2.1. Materials
2.2. Apparatus
2.3. Experimental Process
2.3.1. Preparation of Chitosan Derivatives
2.3.2. Characterization of Chitosan Derivatives
2.3.3. Methane Hydrate Formation Experiments
3. Results
3.1. Characterization of Chitosan Derivatives
3.2. Methane Hydrate Formation Experiments
3.3. Mechanism of Methane Hydrate Inhibition
4. Conclusions
Author Contributions
Funding
Institutional Review Board Statement
Informed Consent Statement
Data Availability Statement
Conflicts of Interest
References
- Xu, S.R.; Fan, S.S.; Fang, S.T.; Wang, Y.H.; Lang, X.M. Excellent synergy effect on preventing CH4 hydrate formation when glycine meets polyvinylcaprolactam. Fuel 2017, 206, 19–26. [Google Scholar] [CrossRef]
- Shahnazar, S.; Bagheri, S.; TermehYousefi, A.; Mehrmashhadi, J.; Karim, M.S.A.; Kadri, N.A. Structure, mechanism, and performance evaluation of natural gas hydrate kinetic inhibitors. Rev. Inorg. Chem. 2018, 38, 1–19. [Google Scholar] [CrossRef]
- Kang, S.P.; Lee, J.; Seo, Y. Pre-combustion capture of CO2 by gas hydrate formation in silica gel pore structure. Chem. Eng. J. 2013, 218, 126–132. [Google Scholar] [CrossRef]
- Li, X.S.; Cai, J.; Chen, Z.Y.; Xu, C.G. Hydrate-based methane separation from the drainage coal bed methane with tetrahydrofuran solution in the presence of sodium dodecyl sulfate. Energy Fuel 2012, 26, 1144–1151. [Google Scholar] [CrossRef]
- Li, M.Z.; Dong, S.B.; Li, B.F.; Liu, C.W. Effects of a naturally derived surfactant on hydrate anti-agglomeration using micromechanical force measurement. J. Ind. Eng. Chem. 2018, 67, 140–147. [Google Scholar] [CrossRef]
- Altamash, T.; Aparicio, S.; Atilhan, M. An experimental study on doubly salt effect for methane hydrate inhibition. J. Nat. Gas Sci. Eng. 2019, 72, 103015. [Google Scholar] [CrossRef]
- Sloan, E.D.; Koh, C.A. Clathrate Hydrates of Natural Gases, 3rd ed.; CRC Press: Boca Raton, FL, USA, 2008; pp. 113–181. [Google Scholar]
- Choudhary, N.; Das, S.; Roy, S.; Kumar, R. Effect of polyvinylpyrrolidone at methane hydrate-liquid water interface. Application in flow assurance and natural gas hydrate exploitation. Fuel 2016, 186, 613–622. [Google Scholar] [CrossRef]
- Sloan, E.D. Natural Gas Hydrates in Flow Assurance; Gulf Professional Publishing: Houston, TX, USA, 2010; pp. 13–35. [Google Scholar]
- Nguyen, N.N.; Nguyen, A.V. The dual effect of sodium halides on the formation of methane gas hydrate. Fuel 2015, 156, 87–95. [Google Scholar] [CrossRef]
- Elnaz, H.; Farshad, V. The Effect of sodium halide salts on the kinetics of tetrahydrofuran hydrate formation by using differential scanning calorimetry method. J. Mol. Liq. 2019, 292, 111279. [Google Scholar]
- Deka, B.; Barifcani, A.; Helal, A.A.; Badi, D.; Mahto, V.; Vuthaluru, H. Generation of methane gas hydrate equilibrium curve for the thermodynamic gas hydrate inhibitor propylene glycol. J. Pet. Sci. Eng. 2020, 199, 108312. [Google Scholar] [CrossRef]
- Vatani, Z.; Amini, G.; Samadi, M.; Fuladgar, A.M. Prediction of gas hydrate formation in the presence of methanol, ethanol, (ethylene, diethylene and triethylene) glycol thermodynamic inhibitors. Pet. Sci. Technol. 2018, 36, 1150–1157. [Google Scholar] [CrossRef]
- Posteraro, D.; Verrett, J.; Maric, M.; Servio, P. New insights into the effect of polyvinylpyrrolidone (PVP) concentration on methane hydrate growth. 1. Growth rate. Chem. Eng. Sci. 2015, 126, 99–105. [Google Scholar] [CrossRef]
- Rajput, F.; Maric, M.; Servio, P. Amphiphilic block copolymers with vinyl caprolactam as kinetic gas hydrate inhibitors. Energies 2021, 14, 341. [Google Scholar] [CrossRef]
- Cheng, L.W.; Wang, L.M.; Li, Z.; Liu, B.; Chen, G.J. Inhibition effect of kinetic hydrate inhibitors on the growth of methane hydrate in gas–liquid phase separation state. Energies 2019, 12, 4482. [Google Scholar] [CrossRef] [Green Version]
- Li, Z.; Zhang, Y.; Shen, Y.M.; Cheng, L.W.; Liu, B.; Yan, K.L.; Chen, G.J.; Li, T.D. Molecular dynamics simulation to explore the synergistic inhibition effect of kinetic and thermodynamic hydrate inhibitors. Energy 2022, 238, 121697. [Google Scholar] [CrossRef]
- Foroutan, S.; Mohsenzade, H.; Dashti, A.; Roosta, H. Comparison of kinetic inhibition of ethylene and methane hydrate formation when PEGs with low and high molecular weights meet common KHIs. Fuel 2020, 276, 118029. [Google Scholar] [CrossRef]
- Zeng, H.; Moudrakovski, I.L.; Ripmeester, J.A.; Walker, V.K. Effect of antifreeze protein on nucleation, growth and memory of gas hydrates. AICHE J. 2006, 52, 3304–3309. [Google Scholar] [CrossRef]
- Talaghat, M.R. Experimental investigation of double gas hydrate formation in the presence of modified starch as a kinetic inhibitor in a flow mini-loop apparatus. Can. J. Chem. Eng. 2012, 90, 429–436. [Google Scholar] [CrossRef]
- Idress, M.; Shahril, M.A.; Zuraidin, A.S.; Jasamai, M. Experimental investigation of methane hydrate induction time in the presence of cassava peel as a hydrate inhibitor. Energies 2019, 12, 2314. [Google Scholar] [CrossRef] [Green Version]
- Wan, L.; Zhang, N.; Liang, D.Q. Inhibition effects of polysaccharides for gas hydrate formation in methane–water system. J. Mol. Liq. 2019, 292, 111435. [Google Scholar] [CrossRef]
- Bui, T.; Phan, A.; Monteiro, D.; Lan, Q.; Ceglio, M.; Acosta, E.; Krishnamurthy, P.; Striolo, A. Evidence of structure-performance relation for surfactants used as anti-agglomerants for hydrates management. Langmuir 2017, 33, 2263–2274. [Google Scholar] [CrossRef] [PubMed]
- Rajput, F.; Colantuoni, A.; Bayahya, S.; Dhane, R.; Servio, P.; Maric, M. Poly(styrene/pentafluorostyrene)-block-poly(vinyl alcohol/vinylpyrrolidone) amphiphilic block copolymers for kinetic gas hydrate inhibitors: Synthesis, micellization behavior, and methane hydrate kinetic inhibition. J. Polym. Sci. A Polym. Chem. 2018, 56, 2445–2457. [Google Scholar] [CrossRef]
- Siangsai, A.; Rangsunvigit, P.; Kitiyanan, B.; Kulprathipanja, S.; Linga, P. Investigation on the roles of activated carbon particle sizes on methane hydrate formation and dissociation. Chem. Eng. Sci. 2015, 126, 383–389. [Google Scholar] [CrossRef]
- Carver, T.J.; Drew, M.G.B.; Mark Rodger, P. Configuration-biased monte carlo simulations of poly(vinylpyrrolidone) at a gas hydrate crystal surface. Ann. N. Y. Acad. Sci. 2000, 912, 658–668. [Google Scholar] [CrossRef]
- Anderson, B.J.; Tester, J.W.; Borghi, G.P.; Trout, B.J. Properties of inhibitors of methane hydrate formation via molecular dynamics simulations. J. Am. Chem. Soc. 2005, 127, 17852–17862. [Google Scholar] [CrossRef]
- Zhang, Q.; Kelland, M.A.; Lu, H.L. Non-amide kinetic hydrate inhibitors: A review. Fuel 2022, 315, 123179. [Google Scholar] [CrossRef]
- Larsen, R.; Knight, C.A.; Sloan, E.D. Clathrate hydrate growth and inhibition. Fluid Phase Equilibria 1998, 150, 353–360. [Google Scholar] [CrossRef]
- Kuznetsova, T.; Sapronova, A.; Kvamme, B.; Johannsem, K.; Huag, J. Impact of low-dosage inhibitors on clathrate hydrate stability. Macromol. Symp. 2010, 287, 168–176. [Google Scholar] [CrossRef]
- Xu, Y.J.; Yang, M.L.; Yang, X.X. Chitosan as green kinetic inhibitors for gas hydrate formation. J. Nat. Gas. Chem. 2010, 19, 431–435. [Google Scholar] [CrossRef]
- Farhadian, A.; Varfolomeev, M.A.; Shaabani, A.; Nasiri, S.; Vakhitov, I.; Zaripova, Y.F.; Yarkovoi, V.V.; Sukhov, A.V. Sulfonated chitosan as green and high cloud point kinetic methane hydrate and corrosion inhibitor: Experimental and theoretical studies. Carbohydr. Polym. 2020, 236, 116035. [Google Scholar] [CrossRef]
- Liu, Q.; Li, Y.; Yang, X.D.; Xing, S.; Qiao, C.D.; Wang, S.J.; Xu, C.L.; Li, T.D. O-Carboxymethyl chitosan-based pH-responsive amphiphilic chitosan derivatives: Characterization, aggregation behavior, and application. Carbohydr. Polym. 2020, 237, 116112. [Google Scholar] [CrossRef] [PubMed]
- Yang, X.D.; Zhang, C.G.; Qiao, C.D.; Mu, X.L.; Li, T.D.; Xua, J.K.; Shi, L.; Zhang, D.J. A simple and convenient method to synthesize N-[(2-hydroxyl)-propyl-3-trimethylammonium] chitosan chloride in an ionic liquid. Carbohydr. Polym. 2015, 330, 325–332. [Google Scholar] [CrossRef] [PubMed]
- Zhang, Z.; Jin, F.J.; Wu, Z.C.; Jin, J.; Li, F.; Wang, Y.L.; Wang, Z.P.; Tang, S.Q.; Wu, C.X.; Wang, Y.F. O-acylation of chitosan nanofibers by short-chain and long-chain fatty acids. Carbohydr. Polym. 2017, 177, 203–209. [Google Scholar] [CrossRef] [PubMed]
- Zhang, Y.; Wu, H.J.; Li, X.S.; Li, G.; Chen, Z.Y.; Zeng, Z.Y. Experimental study on formation behavior of methane hydrate in porous media. Acta Chim. Sin. 2011, 69, 2221–2227. [Google Scholar]
- Rasoolzadeh, A.; Javanmardi, J.; Eslamimanesh, A.; Mohammadi, A.H. Experimental study and modeling of methane hydrate formation induction time in the presence of ionic liquids. J. Mol. Liq. 2016, 221, 149–155. [Google Scholar] [CrossRef]
- Xiao, P.; Yang, X.M.; Sun, C.Y.; Cui, J.L.; Li, N.; Chen, G.J. Enhancing methane hydrate formation in bulk water using vertical reciprocating impact. Chem. Eng. J. 2018, 336, 649–658. [Google Scholar] [CrossRef]
- Saberi, A.; Alamdari1, A.; Rasoolzadeh, A.; Mohammadi, A.H. Insights into kinetic inhibition effects of MEG, PVP, and L-tyrosine aqueous solutions on natural gas hydrate formation. Pet. Sci. 2020, 18, 495–508. [Google Scholar] [CrossRef]
- Idress, M.; Jasamai, M.; Yuhaznel, F.N.; Peng, W.; Karimi, N. Preliminary study of natural polymer as kinetic hydrate inhibitor. Mater. Today 2018, 5, 21667–21671. [Google Scholar] [CrossRef]












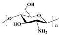
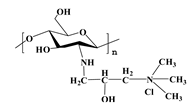
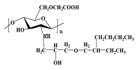
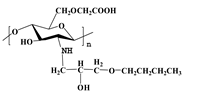
| Name | Structure | Name | Structure |
|---|---|---|---|
| Chitosan (CS) | ![]() | Carboxymethyl chitosan (CMCS) | ![]() |
| N-2-hydroxypropyl-3-trimethylamine chitosan (HTCC) | ![]() | N-2-hydroxypropyl-3-isooctyl ether-O-carboxymethyl chitosan (H2ECC) | ![]() |
| N-2-hydroxypropyl-3-trimethylamine-O-carboxymethyl chitosan (HTCMCh) | ![]() | N-2-hydroxypropyl-3-butyl ether-O-carboxymethyl chitosan (HBCC) | ![]() |
| Additives | PE (MPa) | Average Induction Time (h) | Growth Time (h) |
|---|---|---|---|
| water | 4.14 | 2.80 | 9.90 |
| CS | 2.98 | 20.38 | 15.38 |
| HTCC | 2.96 | 5.90 | 16.53 |
| CMCS | 2.98 | 2.07 | 23.67 |
| HTCMCh | 3.03 | 7.70 | 19.12 |
| HBCC | 3.47 | 3.42 | 11.17 |
| H2ECC | 2.96 | 3.97 | 21.52 |
| System | Water | CS | CMCS | HTCC | HTCMCh | HBCC | H2ECC |
|---|---|---|---|---|---|---|---|
| t0.073 mol (min) | 760 | 1766 | 690 | 1496 | 1410 | 648 | 1098 |
Publisher’s Note: MDPI stays neutral with regard to jurisdictional claims in published maps and institutional affiliations. |
© 2022 by the authors. Licensee MDPI, Basel, Switzerland. This article is an open access article distributed under the terms and conditions of the Creative Commons Attribution (CC BY) license (https://creativecommons.org/licenses/by/4.0/).
Share and Cite
Zhang, Y.; Li, Z.; Yang, X.; Li, T. Synthesis of Chitosan Derivatives and Their Inhibition Effects on Methane Hydrates. Energies 2022, 15, 2675. https://doi.org/10.3390/en15072675
Zhang Y, Li Z, Yang X, Li T. Synthesis of Chitosan Derivatives and Their Inhibition Effects on Methane Hydrates. Energies. 2022; 15(7):2675. https://doi.org/10.3390/en15072675
Chicago/Turabian StyleZhang, Yue, Zhi Li, Xiaodeng Yang, and Tianduo Li. 2022. "Synthesis of Chitosan Derivatives and Their Inhibition Effects on Methane Hydrates" Energies 15, no. 7: 2675. https://doi.org/10.3390/en15072675
APA StyleZhang, Y., Li, Z., Yang, X., & Li, T. (2022). Synthesis of Chitosan Derivatives and Their Inhibition Effects on Methane Hydrates. Energies, 15(7), 2675. https://doi.org/10.3390/en15072675






