Metal Modified NaY Zeolite as Sorbent for the Ultra-Deep Removal of Thiophene in Simulated Coke Oven Gas
Abstract
:1. Introduction
2. Experimental Section
2.1. Sample Preparation
2.2. Desulfurization Instruments and Procedure
2.3. Characterization of Sorbent
3. Results and Discussion
3.1. Effects of Temperature on Desulfurization Performance of Metal Modified Y Sorbent
3.1.1. Thiophene Adsorption Capacity of Sorbent
3.1.2. Composition and Structure Analysis of Sorbent
3.1.3. Thermal Stability of Chemisorption between Thiophene and Sorbent
3.2. Desulfurization Performance of NaCeY Sorbent
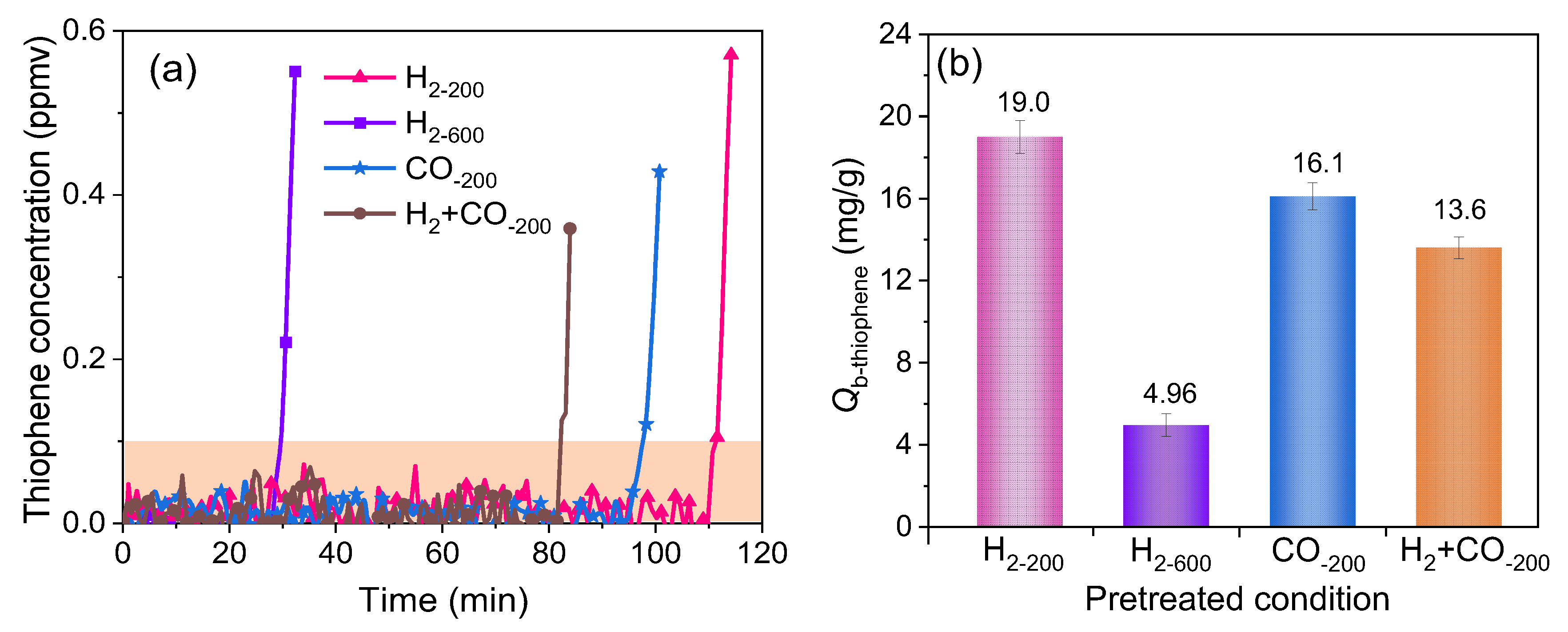
3.2.1. Effects of Desulfurization Atmosphere on Thiophene Adsorption Capacity
3.2.2. Effects of Ce Valence State on Thiophene Adsorption Capacity
4. Conclusions
Supplementary Materials
Author Contributions
Funding
Data Availability Statement
Conflicts of Interest
References
- Qin, Z.F.; Zhao, Y.J.; Yi, Q.; Shi, L.J.; Li, C.M.; Yan, X.L.; Ren, J.; Miao, M.Q.; Xie, K.C. Methanation of coke oven gas over Ni-Ce/gamma-Al2O3 catalyst using a tubular heat exchange reactor: Pilot-scale test and process optimization. Energy Convers. Manag. 2020, 204, 112302. [Google Scholar] [CrossRef]
- National Bureau of Statistics of China. National Data 2020; National Bureau of Statistics of China: Beijing, China, 2020. [Google Scholar]
- Razzaq, R.; Li, C.; Zhang, S. Coke oven gas: Availability, properties, purification, and utilization in China. Fuel 2013, 113, 287–299. [Google Scholar] [CrossRef]
- Khan, M.M.; Jin, L.; Khan, M.M.; Li, Y.; Saulat, H.; Zhang, Y.; Sarfraz, M.; Zhu, J.; Hu, H. CO2 reforming of methane over activated carbon-Ni/MgO-Al2O3 composite catalysts for syngas production. Fuel Process. Technol. 2021, 211, 106595. [Google Scholar] [CrossRef]
- Wei, F.; Guo, X.; Liao, J.; Bao, W.; Chang, L. Ultra-deep removal of thiophene in coke oven gas over Y zeolite: Effect of acid modification on adsorption desulfurization. Fuel Process. Technol. 2021, 213, 106632. [Google Scholar] [CrossRef]
- Zhou, W.; Fan, F.; Chen, Z.; Zhou, A.; Zhang, Y.; Yao, F. A DFT investigation on the hydrodesulfurization mechanism of 4,6-dimethyldibenzothiophene over different Ni-Mo-S active sites via different direct desulfurization pathways. Fuel 2022, 308, 121971. [Google Scholar] [CrossRef]
- Li, X.; Wang, X.; Wang, L.; Ning, P.; Ma, Y.; Zhong, L.; Wu, Y.; Yuan, L. Efficient removal of carbonyl sulfur and hydrogen sulfide from blast furnace gas by one-step catalytic process with modified activated carbon. Appl. Surf. Sci. 2022, 579, 152189. [Google Scholar] [CrossRef]
- Frilund, C.; Simell, P.; Kurkela, E.; Eskelinen, P. Experimental bench-scale study of residual biomass syngas desulfurization using ZnO-based adsorbents. Energy Fuels 2020, 34, 3326–3335. [Google Scholar] [CrossRef]
- Zheng, X.; Zhang, G.; Yao, Z.; Zheng, Y.; Shen, L.; Liu, F.; Cao, Y.; Liang, S.; Xiao, Y.; Jiang, L. Engineering of crystal phase over porous MnO2 with 3D morphology for highly efficient elimination of H2S. J. Hazard. Mater. 2021, 411, 125180. [Google Scholar] [CrossRef]
- Hatunoglu, A.; Dell’Era, A.; Del Zotto, L.; Di Carlo, A.; Ciro, E.; Bocci, E. Deactivation model study of high temperature H2S wet-desulfurization by using ZnO. Energies 2021, 14, 8019. [Google Scholar] [CrossRef]
- Castillo-Villalón, P.; Ramírez, J.; Cuevas, R.; Vázquez, P.; Castañeda, R. Influence of the support on the catalytic performance of Mo, CoMo, and NiMo catalysts supported on Al2O3 and TiO2 during the HDS of thiophene, dibenzothiophene, or 4,6-dimethyldibenzothiophene. Catal. Today 2016, 259, 140–149. [Google Scholar] [CrossRef]
- Wang, G.; Chen, G.; Xie, W.; Wang, W.; Bing, L.; Zhang, Q.; Fu, H.; Wang, F.; Han, D. Three-dimensionally ordered macroporous bulk catalysts with enhanced catalytic performance for thiophene hydrodesulfurization. Fuel Process. Technol. 2020, 199, 106268. [Google Scholar] [CrossRef]
- Galindo-Ortega, Y.I.; Infantes-Molina, A.; Huirache-Acuña, R.; Barroso-Martín, I.; Rodríguez-Castellón, E.; Fuentes, S.; Alonso-Nuñez, G.; Zepeda, T.A. Active ruthenium phosphide as selective sulfur removal catalyst of gasoline model compounds. Fuel Process. Technol. 2020, 208, 106507. [Google Scholar] [CrossRef]
- Chen, G.; Xie, W.; Li, Q.; Wang, W.; Bing, L.; Wang, F.; Wang, G.; Fan, C.; Liu, S.; Han, D. Three-dimensionally ordered macro–mesoporous CoMo bulk catalysts with superior performance in hydrodesulfurization of thiophene. RSC Adv. 2020, 10, 37280–37286. [Google Scholar] [CrossRef]
- Tang, M.; Wang, W.; Zhou, L.; Zhang, Y.; Li, X. Reactive adsorption desulfurization of thiophene over NiMo/ZnO, a new adsorbent with high desulfurization performance and sulfur capacity at moderate temperature. Catal. Sci. Technol. 2019, 9, 6318–6326. [Google Scholar] [CrossRef]
- Prajapati, Y.N.; Verma, N. Fixed bed adsorptive desulfurization of thiophene over Cu/Ni-dispersed carbon nanofiber. Fuel 2018, 216, 381–389. [Google Scholar] [CrossRef]
- Shi, Q.; Wu, J. Review on sulfur compounds in petroleum and its products: State-of-the-art and perspectives. Energy Fuels 2021, 35, 14445–14461. [Google Scholar] [CrossRef]
- Liu, Y.; Liao, J.; Chang, L.; Bao, W. Ag modification of SBA-15 and MCM-41 mesoporous materials as sorbents of thiophene. Fuel 2021, 311, 122537. [Google Scholar] [CrossRef]
- Moosavi, E.S.; Dastgheib, S.A.; Karimzadeh, R. Adsorption of thiophenic compounds from model diesel fuel using copper and nickel impregnated activated carbons. Energies 2012, 5, 4233–4250. [Google Scholar] [CrossRef]
- Saha, B.; Vedachalam, S.; Dalai, A.K. Review on recent advances in adsorptive desulfurization. Fuel Process. Technol. 2021, 214, 106685. [Google Scholar] [CrossRef]
- Dehghan, R.; Anbia, M. Zeolites for adsorptive desulfurization from fuels: A review. Fuel Process. Technol. 2017, 167, 99–116. [Google Scholar] [CrossRef]
- Zhang, D.; Yang, R.T. Superior silver sorbents for removing 2-vinyl thiophene from styrene by π-complexation. Ind. Eng. Chem. Res. 2019, 58, 1769–1772. [Google Scholar] [CrossRef]
- Song, H.; Cui, X.; Song, H.; Gao, H.; Li, F. Characteristic and adsorption desulfurization performance of Ag–Ce bimetal ion-exchanged Y zeolite. Ind. Eng. Chem. Res. 2014, 53, 14552–14557. [Google Scholar] [CrossRef]
- Yang, R.T.; Takahashi, A.; Yang, F.H. New sorbents for desulfurization of liquid fuels by π-complexation. Ind. Eng. Chem. Res. 2001, 40, 6236–6239. [Google Scholar] [CrossRef]
- Takahashi, A.; Yang, F.H.; Yang, R.T. New sorbents for desulfurization by π-Complexation: Thiophene/benzene adsorption. Ind. Eng. Chem. Res. 2002, 41, 2487–2496. [Google Scholar] [CrossRef]
- Hernández-Maldonado, A.J.; Yang, R.T. Desulfurization of liquid fuels by adsorption via π complexation with Cu(I)−Y and Ag−Y zeolites. Ind. Eng. Chem. Res. 2003, 42, 123–129. [Google Scholar] [CrossRef]
- Oliveira, M.L.M.; Miranda, A.A.L.; Barbosa, C.M.B.M.; Cavalcante, C.L.; Azevedo, D.C.S.; Rodriguez-Castellon, E. Adsorption of thiophene and toluene on NaY zeolites exchanged with Ag(I), Ni(II) and Zn(II). Fuel 2009, 88, 1885–1892. [Google Scholar] [CrossRef]
- Zhang, Z.Y.; Shi, T.B.; Jia, C.Z.; Ji, W.J.; Chen, Y.; He, M.Y. Adsorptive removal of aromatic organosulfur compounds over the modified Na-Y zeolites. Appl. Catal. B Environ. 2008, 82, 1–10. [Google Scholar] [CrossRef]
- Lin, L.; Zhang, Y.; Zhang, H.; Lu, F. Adsorption and solvent desorption behavior of ion-exchanged modified Y zeolites for sulfur removal and for fuel cell applications. J. Colloid Interface Sci. 2011, 360, 753–759. [Google Scholar] [CrossRef]
- Han, X.; Li, H.; Huang, H.; Zhao, L.; Cao, L.; Wang, Y.; Gao, J.; Xu, C. Effect of olefin and aromatics on thiophene adsorption desulfurization over modified NiY zeolites by metal Pd. RSC Adv. 2016, 6, 75006–75013. [Google Scholar] [CrossRef]
- Liao, J.; Wang, W.; Xie, Y.; Zhang, Y.; Chang, L.; Bao, W. Adsorptive removal of thiophene from benzene by NaY zeolite ion-exchanged with Ce(IV). Sep. Sci. Technol. 2012, 47, 1880–1885. [Google Scholar] [CrossRef]
- Sandoval-Díaz, L.-E.; González-Amaya, J.-A.; Trujillo, C.-A. General aspects of zeolite acidity characterization. Microporous Mesoporous Mater. 2015, 215, 229–243. [Google Scholar] [CrossRef]
- Zu, Y.; Qin, Y.; Gao, X.; Mo, Z.; Zhang, L.; Zhang, X.; Song, L. Mechanisms of thiophene conversion over the modified Y zeolites under catalytic cracking conditions. J. Fuel Chem. Technol. 2015, 43, 862–869. [Google Scholar]
- Zu, Y.; Hui, Y.; Qin, Y.; Zhang, L.; Liu, H.; Zhang, X.; Guo, Z.; Song, L.; Gao, X. Facile fabrication of effective Cerium(III) hydroxylated species as adsorption active sites in CeY zeolite adsorbents towards ultra-deep desulfurization. Chem. Eng. J. 2019, 375, 122014. [Google Scholar] [CrossRef]
- Lee, D.; Ko, E.-Y.; Lee, H.C.; Kim, S.; Park, E.D. Adsorptive removal of tetrahydrothiophene (THT) and tert-butylmercaptan (TBM) using Na-Y and AgNa-Y zeolites for fuel cell applications. Appl. Catal. A-Gen. 2008, 334, 129–136. [Google Scholar] [CrossRef]
- Mo, Z.; Qin, Y.; Zu, Y.; Wang, H.; Zhang, X.; Song, L. Effect of content of cerium ion on Bronsted-acid-catalyzed reaction of thiophene over CeY zeolite studied by in situ FTIR spectroscopy. Chemistryselect 2019, 4, 13034–13044. [Google Scholar] [CrossRef]
- Zu, Y.; Guo, Z.; Zheng, J.; Hui, Y.; Wang, S.; Qin, Y.; Zhang, L.; Liu, H.; Gao, X.; Song, L. Investigation of Cu(I)-Y zeolites with different Cu/Al ratios towards the ultra-deep adsorption desulfurization: Discrimination and role of the specific adsorption active sites. Chem. Eng. J. 2020, 380, 122319. [Google Scholar] [CrossRef]
- Liu, X.J.; Yi, D.Z.; Cui, Y.Y.; Shi, L.; Meng, X. Adsorption desulfurization and weak competitive behavior from 1-hexene over cesium-exchanged Y zeolites (CsY). J. Energy Chem. 2018, 27, 271–277. [Google Scholar] [CrossRef] [Green Version]
- Zu, Y.; Zhang, C.; Qin, Y.; Zhang, X.; Zhang, L.; Liu, H.; Gao, X.; Song, L. Ultra-deep adsorptive removal of thiophenic sulfur compounds from FCC gasoline over the specific active sites of CeHY zeolite. J. Energy Chem. 2019, 39, 256–267. [Google Scholar] [CrossRef] [Green Version]
- Li, H.; Han, X.; Huang, H.; Wang, Y.; Zhao, L.; Cao, L.; Shen, B.; Gao, J.; Xu, C. Competitive adsorption desulfurization performance over K-Doped NiY zeolite. J. Colloid Interface Sci. 2016, 483, 102–108. [Google Scholar] [CrossRef]
- Song, H.; Wan, X.; Dai, M.; Zhang, J.; Li, F.; Song, H. Deep desulfurization of model gasoline by selective adsorption over Cu–Ce bimetal ion-exchanged Y zeolite. Fuel Process. Technol. 2013, 116, 52–62. [Google Scholar] [CrossRef]
- Rui, J.; Liu, F.; Wang, R.; Lu, Y.; Yang, X. Adsorptive desulfurization of model gasoline by using different Zn sources exchanged NaY zeolites. Molecules 2017, 22, 305–317. [Google Scholar] [CrossRef] [PubMed] [Green Version]
- Zhou, C.Y.; Alshameri, A.; Yan, C.J.; Qiu, X.M.; Wang, H.Q.; Ma, Y.N. Characteristics and evaluation of synthetic 13X zeolite from Yunnan’s natural halloysite. J. Porous Mater. 2013, 20, 587–594. [Google Scholar] [CrossRef]
- Yue, R.; Shuai, C.; Liu, C.; Lu, B.; Xu, J.; Wang, J.; Liu, G. Synthesis, characterization, and thermoelectric properties of a conducting copolymer of 1,12-bis(carbazolyl)dodecane and thieno [3,2-b] thiophene. J. Solid State Electrochem. 2012, 16, 117–126. [Google Scholar] [CrossRef]
- Song, Y.; Peng, B.; Yang, X.; Jiang, Q.; Liu, J.; Lin, W. Trail of sulfur during the desulfurization via reactive adsorption on Ni/ZnO. Green Energy Environ. 2021, 6, 597–606. [Google Scholar] [CrossRef]
- Mills, P.; Korlann, S.; Bussell, M.E. Vibrational study of organometallic complexes with thiophene ligands: Models for adsorbed thiophene on hydrodesulfurization catalysts. J. Phys. Chem. A 2001, 105, 4418–4429. [Google Scholar] [CrossRef]
- Liao, J.-J.; Bao, W.-R.; Chang, L.-P. An approach to study the desulfurization mechanism and the competitive behavior from aromatics: A case study on CeY zeolite. Fuel Process. Technol. 2015, 140, 104–112. [Google Scholar] [CrossRef]
- Velu, S.; Song, C.; Engelhard, M.H.; Chin, Y.-H. Adsorptive removal of organic sulfur compounds from jet fuel over K-exchanged NiY zeolites prepared by impregnation and ion exchange. Ind. Eng. Chem. Res. 2005, 44, 5740–5749. [Google Scholar] [CrossRef]
- Zhao, S.; Mo, Z.; Qin, Y.; Song, Y.; Shi, L.; Zhu, M.; Song, L.; Duan, L. Adsorption, desorption and conversion of methylthiophene on HY zeolite. J. Fuel Chem. Technol. 2015, 43, 614–618. [Google Scholar]












| Gas | H2 | CH4 | CO | N2 | CO2 | O2 |
|---|---|---|---|---|---|---|
| Content (vol%) | 58.77 | 26.70 | 8.09 | 3.58 | 2.04 | 0.82 |
| Sample | Feedstock | Initial Thiophene Concentration (ppm) | Conditions | Thiophene Capacity of Sorbent (mg/g) | Reference |
|---|---|---|---|---|---|
| NaY | Isooctane | 200 | Static adsorption at 60 °C for 12 h | 199 | [27] |
| ZnY | 313 | ||||
| NiY | 302 | ||||
| AgY | 394 | ||||
| AgY | n-heptane | 700 | Dynamic adsorption at 25 °C | 28.9 | [29] |
| CeY | 35.9 | ||||
| CeY | Benzene | 600 | Static adsorption at 25 °C for 24 h | 5.39 | [31] |
| NaAgY | Simulated COG | 300 | Dynamic adsorption at 100 °C Dynamic adsorption at 200 °C | 144 | This work |
| NaCeY | 31.7 |
| Sample | SBET (m2/g) | Smicro (m2/g) | Vmicro (cm3/g) | a0 (nm) |
|---|---|---|---|---|
| NaY | 834 | 789 | 0.30 | 0.68 |
| NaCeY | 735 | 682 | 0.26 | 0.80 |
| NaNiY | 783 | 724 | 0.27 | 0.73 |
| NaZnY | 775 | 721 | 0.27 | 0.73 |
| NaAgY | 766 | 719 | 0.27 | 0.64 |
| Sample | Element Content (mmol/g) | ENa (%) | |||
|---|---|---|---|---|---|
| Si | Al | Na | M | ||
| NaY | 10.4 | 3.44 | 3.78 | - | - |
| NaCeY | 9.58 | 3.24 | 3.31 | 0.505 | 12.4 |
| NaNiY | 10.2 | 3.34 | 3.23 | 0.519 | 14.6 |
| NaZnY | 10.4 | 3.41 | 3.13 | 0.692 | 17.2 |
| NaAgY | 9.72 | 3.28 | 3.11 | 0.723 | 17.7 |
Publisher’s Note: MDPI stays neutral with regard to jurisdictional claims in published maps and institutional affiliations. |
© 2022 by the authors. Licensee MDPI, Basel, Switzerland. This article is an open access article distributed under the terms and conditions of the Creative Commons Attribution (CC BY) license (https://creativecommons.org/licenses/by/4.0/).
Share and Cite
Wei, F.; Guo, X.; Bao, W.; Chang, L.; Liao, J. Metal Modified NaY Zeolite as Sorbent for the Ultra-Deep Removal of Thiophene in Simulated Coke Oven Gas. Energies 2022, 15, 2620. https://doi.org/10.3390/en15072620
Wei F, Guo X, Bao W, Chang L, Liao J. Metal Modified NaY Zeolite as Sorbent for the Ultra-Deep Removal of Thiophene in Simulated Coke Oven Gas. Energies. 2022; 15(7):2620. https://doi.org/10.3390/en15072620
Chicago/Turabian StyleWei, Fanjing, Xiaoqin Guo, Weiren Bao, Liping Chang, and Junjie Liao. 2022. "Metal Modified NaY Zeolite as Sorbent for the Ultra-Deep Removal of Thiophene in Simulated Coke Oven Gas" Energies 15, no. 7: 2620. https://doi.org/10.3390/en15072620
APA StyleWei, F., Guo, X., Bao, W., Chang, L., & Liao, J. (2022). Metal Modified NaY Zeolite as Sorbent for the Ultra-Deep Removal of Thiophene in Simulated Coke Oven Gas. Energies, 15(7), 2620. https://doi.org/10.3390/en15072620
