Next Article in Journal
Impact of Preparation Method and Y2O3 Content on the Properties of the YSZ Electrolyte
Previous Article in Journal
Electric Vehicles in Malaysia and Indonesia: Opportunities and Challenges
 
 
Font Type:
Arial Georgia Verdana
Font Size:
Aa Aa Aa
Line Spacing:
Column Width:
Background:
Article

Power Supply and Reactive Power Compensation of a Single-Phase Higher Frequency On-Board Grid with Photovoltaic Inverter

1
Faculty of Electrical and Computer Engineering, Rzeszow University of Technology, Al. Powstańców Warszawy 12, 35-959 Rzeszów, Poland
2
Department of Power Electronics and Energy Control Systems, Faculty of Electrical Engineering, Automatics, Computer Science and Biomedical Engineering, AGH University of Science and Technology, Al. Mickiewicza 30, 30-059 Krakow, Poland
*
Author to whom correspondence should be addressed.
Energies 2022, 15(7), 2563; https://doi.org/10.3390/en15072563
Submission received: 3 March 2022 / Revised: 18 March 2022 / Accepted: 29 March 2022 / Published: 1 April 2022

Abstract

:
The size reduction in on-board apparatuses in flying platforms, ships, and aerospace vehicles can be achieved by increasing the frequency of the on-board grid voltage. In the case of renewable powered platforms, a grid converter is used that has the primary task of feeding the generated energy into the on-board grid. The paper describes the developed control system of the grid converter, which, in addition to transferring the generated power to the single-phase grid, effectively compensates the reactive power occurring in it. The proposed structure of the proportional resonant regulator with finite gain that cooperates with the single-phase grid was discussed. The use of quadrature estimators of voltage and current enabled independent control of the active and reactive components of the current, thus compensating for the reactive power. The proposed control system structure was implemented on the FPGA platform and experimentally tested in steady state and dynamic condition considering grid disturbances and solar irradiance variations.

1. Introduction

It is common practice for aircraft on-board power systems to use a higher frequency power grid, such as 400 Hz [1,2]. This significantly reduces the size of electrical equipment and, thus, its weight, while maintaining the ability of electrical equipment to operate properly. Three-phase converters are used on such platforms [3], but to further reduce the size, an interesting solution is to use a single-phase grid [4]. This introduces the problem of controlling reactive power in the grid, which can be easily implemented in a three-phase grid as opposed to a single-phase grid. With the right approach, it is possible to obtain appropriate active and reactive component patterns in a single-phase system.
Currently, research on high-frequency grids deals with the reduction in disturbances, such as harmonics in current and voltage. It is implemented by adding a passive output filter [3,4] or modified control algorithms [2,5]. Other work relates to the operation of renewable energy sources with high-frequency grids, e.g., MPPT algorithms for photovoltaic systems [6,7], converter topologies [8,9], or parallel cooperation of several converters [10].
A well-known problem in grid-tied inverters is proper control of the line current. Classical solutions are based on the transformation of the natural system into a stationary dq system [11] or αβ [12] and the use of PI controllers for three phase inverters. For single-phase inverters, a PI controller is typically used [13]. Modified PI controller structures have also been reported in the literature, improving the parameters of the injected current [14] and the dynamics of the control system [15]. This issue applies to both 50/60 Hz and higher frequency grids. For HF grids, it is even more important because, due to the high frequency, a faster response of the control system is required [2].
Another solution is the use of proportional-resonant controllers [16]. P+R controllers track variable signals with greater accuracy than PI controllers because of their selective frequency characteristics. They are used in devices where a constant voltage frequency is required, such as grid-tied inverters operating with RES [2,17]. By definition, P+R controllers are designed for single-phase systems [18], but when the natural system is converted to the αβ system, P+R may operate in three-phase systems, allowing reactive current compensation, with appropriate determination of phase current patterns [19,20]. For practical reasons, the implementation of an ideal controller structure with infinite gain at the resonance frequency is avoided. In practical applications, the real structure is used, in which the gain at the resonance frequency is limited to useful values [16].
Diversification of energy sources for aircraft and shipboard grids is targeted for various reasons. A common practice in such systems is the use of photovoltaic installations [21]. For small platforms, where high power is not required, single phase inverters are used [4]. This introduces the problem of possible compensation of reactive power generated in such on-board grids by motors and various nonlinear loads by grid tied inverter, which is common in three-phase systems. In the single-phase system, the αβ components can also be obtained, and, thus, the active and reactive component patterns can be generated. This is achieved through artificial dq transformation [22,23], or other synchronization methods, such as SOGI [24], etc.
Power management by a photovoltaic system is a common practice for 50/60 Hz power grids, both in single-phase and in three-phase grids [25,26,27]. It works according to the principle of static compensator (such as STATCOM [28]), except that the primary task of the device is to provide energy to the system and unused resources can be used to compensate for reactive power. A similar procedure can be performed on 400 Hz grids. Reactive power compensation allows one to reduce the amplitude of the grid current, resulting in reduced grid losses and increased capacity to connect additional equipment. The use of active power control in higher-frequency grids poses some challenges. The response of the current control system must be faster than in a classic 50/60 Hz grid. Therefore, it is recommended to use P+R controllers, which are characterized by better dynamics than conventional solutions [19,29]. Additionally, the synchronization process with the voltage must be faster and the synchronizer must additionally generate the quadrature signals necessary to determine the active and reactive power components. With applying higher-frequency grid converters that cooperate with PV arrays through DC link, it is recommended to consider the use of modern structures with supercapacitors instead of large capacitors, which would allow the reduction in the size and reliability of the entire system [30,31].
When feeding the energy produced in the photovoltaic array into the higher-frequency on-board grid, it is necessary to modify the control system for the active and reactive components of the grid current. The primary purpose is to provide the energy harvested from PV panels. Compensation can be implemented up to the apparent power value of the inverter. In this paper, the next step of research conducted as part of an ongoing project has been presented on a higher-frequency on-board grid that operates with a photovoltaic system. The previously developed on-board grid system allowed for reactive power compensation only by installing an additional, independently operating reactive power compensator [7]. In the described version, the photovoltaic converter has a reactive power compensator function. In fact, the available literature does not describe the problem of how a higher-frequency on-board grid cooperates with photovoltaic converters. The information available in the literature refers only to a dedicated installation that operates with mobile platforms and satisfies a selected energy need, such as lighting. In the presented manuscript, the research relates to the entire power system that exists in ships, flying platforms, and space vehicles. The system with the finite-gain proportional-resonant regulator in the single-phase system, which, due to the introduced transformations, enables effective control, not only of the active component of the current, but also of the reactive component of the current, has been elaborated as a new solution in the on-board supply system. The key changes relate to the replacement of the continuous PI-type current controller with the proposed proportional-resonant controller (P+R), which has better dynamic properties. Furthermore, in relation to the standard P+R regulator, it has a finite gain and its digital implementation is much easier, as reported in [19]. The proposed astatic control system, in addition to feeding energy to the on-board grid, thanks to the implemented current and grid estimators, enables the control of the reactive component of the grid current and consequently the compensation of the reactive power in the 400 Hz grid. The structure of the control system and the basic equations describing how to extract and control the current components responsible for active and reactive power are described in Section 2. Section 3 presents selected and most relevant results of the tests performed, including steady-state tests and dynamic-state tests associated with on-board grid disturbances and changes in external conditions. The results presented were discussed and the final conclusions summarizing the research phase were formulated in Section 4.

2. Overview of the Proposed System

A photovoltaic grid converter is a type of converter where the energy produced by photovoltaic panels is converted and delivered to the power grid. In the case described in the paper, the grid is not a typical power grid, but an on-board grid installed on a mobile platform that has a higher frequency of 400 Hz. Therefore, this grid is local in nature and allows different energy sources and loads to be connected. When generators and alternative energy sources are connected to it, the problem of reactive power generation generally does not arise. When energy loads are supplied from the on-board grid via power electronic converters, only the active power can be transferred by proper control. In many cases, the connected electrical load does not have the ability to control the active and reactive components of the current. Then, the reactive power can be observed in the on-board grid, which should be compensated for by appropriate compensators. This paper considers the use of an on-board grid converter for reactive power compensation for a 400 Hz power grid. The possibilities of reactive power compensation depend directly on the active power in relation to the nominal power of the converter. Figure 1 shows the relationship between the active power produced by photovoltaic panels and the reactive power compensation.
As can be observed in Figure 1, for example, reducing the active component of the current relative to the nominal value to a level of 80% allows the generation of compensating reactive currents equal to 60% of the nominal current. This provides significant opportunities for reactive power compensation by the grid converter. Reactive power compensation requires modification of the power converter control system. Taking into account a converter operating in the 400 Hz on-board grid, described in detail in [7], the block structure, including the power part, is shown in Figure 2. The structure of the converters is standard and the parameters of the components used are shown in [7].
As shown in Figure 2, the power circuit of a photovoltaic converter consists of the boost converter, the two-leg bridge inverter and an output filter of the LCL type. There are five controlled elements (transistors s1, s2, s3, s4, s5) in a grid converter circuit. The energy produced in a photovoltaic (PV) array depends on the actual temperature and solar irradiance, which have been set as parameters of an electronic energy source with the photovoltaic curve emulation. The output voltage and current of the PV array were measured on bus 0. The next step of the energy conversion took place in the boost converter. The voltage of the DC link capacitor (Bus 1) was stabilized at a preset level and the energy was directed to the on-board grid and to the power supply system of the converter control module. The issue of self-powering is out of the scope of this paper and will not be discussed here. Next, appropriate control of the inverter connected to the point of common coupling (PCC) enabled the flow of current with controlled active and reactive components. Due to this, the grid converter delivers to the on-board grid the active power Pc produced by the PV panels and the reactive power QC needed to compensate for other loads. During the tests performed, a fixed connected resistive load of power P1 and a switched resistive-inductive load of active power P2 and reactive power Q2 were used. Two 400 Hz voltage generators were connected to the PCC point (Bus 2) through the grid impedance, with 30 degrees of phase offset from each other. One of the generators had the ability to generate controlled voltage sags (Bus 3). The main purpose of the control system was assumed to be balancing the active and reactive power in the PCC to zero. If the energy input of the PV array exceeds the demand of grid loads, it is necessary to consider the possibility of redirecting it to the energy storage connected to the PCC. However, this problem is not considered in the presented research. The active power balance equation can be expressed as follows:
P = P G + P C i = 1 n P i = 0
where PG is the active power delivered from the generators, PC is the active power supplied from the photovoltaic array reduced by the power consumed by the system self-powering the electronic control board, Pi is the active power of the i-th load, and n is the number of loads connected to the PCC. In this study, it was assumed that n = 2 and a nominal power value PG greater than the maximum power delivered by the photovoltaic panels PC. The reactive power of the system was balanced in a similar way:
Q G + i = 1 n Q i = Q C
where QG is the reactive power due to grid impedance, QC is the reactive power generated by the grid converter, and Pi is the reactive power of the i-th load.
As shown in Figure 3, the boost converter transistor was implemented in a closed-loop feedback system with a PI type controller. The purpose of this controller is to control the current of the DC link capacitor based on the maximum power point (MPP) of the photovoltaic array. To reach the maximum power point, a conductance-based method was used, where the MPP voltage is calculated based on the measured photovoltaic voltage vPV and the photovoltaic current iPV applying Equation (3). A detailed operation of this part of the control system is described in [7].
v P V r e f = 1 T C 1 f o r d i P V d u P V < i P V u P V 0 f o r d i P V d u P V = i P V u P V 1 f o r d i P V d u P V > i P V u P V d t
The second part of the control system, which operates independently of the boost converter controller, is designed to control the four transistors of the power inverter. It is a dual feedback loop system in which a low-band PI-type regulator controls the DC link voltage and a proportional-resonant (P+R) regulator controls the active and reactive components of the grid current. The block diagram of the grid converter control system is shown in Figure 4.
An ideal P+R controller has infinite gain for resonant frequency and zero phase shift for signals with that frequency. The transmittance of such a controller can be described by Equation [18]:
G I d e a l P + R ( s ) = K P + 2 K I s s 2 + ω r 2 .
Implementing such a transmittance is not impossible, but using this form can be difficult. Infinite gain and large phase-shift changes for frequencies near resonance make the utility of an ideal controller limited. For these reasons, a real P+R controller is used [16,18]:
G P + R ( s ) = K P + 2 K I ξ ω r s s 2 + 2 ξ ω r s + ω r 2 .
There are many ways to implement the P+R controller. It can be made, for example, as a SOGI [24] or a bandpass filter [17]. The implementation of both cases consists of adjusting the coefficients of the equation in the discrete domain to the grid parameters in which the controller operates. This can make it difficult to use such a controller on a grid with unstable parameters. The implementation of the controller can be simpler if the transmittance is synthesized and a parallel structure is obtained as in [16]. The synthesized transmittance (5) gives a parallel regulator structure consisting of the basic functional parts (gain, integral) and the PI structure. The calculation of the controller output signal can be given as in Figure 5.
If it is assumed that T1 = T2 = T, the relationship of the coefficients in Equation (5) and Figure 5 is shown as:
k = 1 K I ; ω r = 1 T ; ξ = 1 2 K I
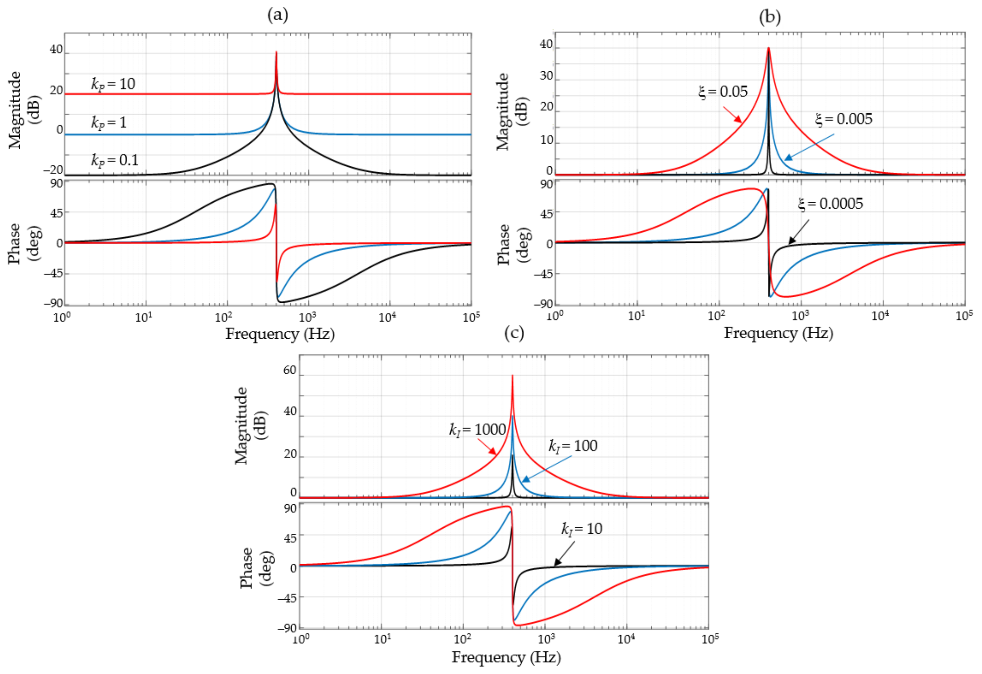
Grid current regulator settings were selected by heuristic. For this purpose, Bode plots were made for different values of transmittance (5) parameters. The Bode plots are shown in Figure 6. The structure developed in this proposed way was implemented in the FPGA system with selected parameters: KP = 1, KI = 100, ωr = 800π (due to the 400 Hz HF grid frequency) and ξ = 0.05.
The output signal umod of the P+R regulator is considered as a modulating signal of the grid converter, which, compared with the carrier signal, determines the states of the s1–s4 switches. The input signal of the controller eI is the grid current deviation signal calculated from the measured value of the converter output current ic and the reference current signal icref. In order to be able to effectively transfer the energy produced in the photovoltaic array and at the same time compensate the reactive power of the on-board grid, must consist of a properly calculated active component ipref and a reactive component iqref. Both the active and reactive components of the grid reference current must be insensitive to harmonic and nonharmonic distortion of the measured current and voltage waveforms. Based on the measured grid voltage vG, two orthogonal components (v′ and qv′) synchronous with the fundamental component of this voltage were calculated. These calculations were performed according to the second-order generalized integrator algorithm (SOGI), based on the closed-loop transfer functions (7) discretized by the trapezoidal method.
v v G ( s ) = k ω s s 2 + k ω s + ω 2 q v v G ( s ) = k ω 2 s 2 + k ω s + ω 2
In addition to the fundamental voltage components, the orthogonal components of the grid current i′ and qi′ were calculated using the SOGI algorithm. Based on the measurement of the grid current iG, using Equation (8), the values of the current components were estimated in order to calculate the reference reactive component necessary to compensate for the power of the on-board grid.
i i G ( s ) = k ω s s 2 + k ω s + ω 2 q i i G ( s ) = k ω 2 s 2 + k ω s + ω 2
where ω represents the resonance frequency of the SOGI and the bandwidth of the closed-loop system was set for k = 1.
The reactive power assumed to be compensated was calculated, as shown in Equation (9). Based on the orthogonal components of the grid current and the grid voltage, the calculated and low-pass-filtered information (cutoff frequency fc = 10 Hz) of the reactive component of the grid current Iqref was the deviation signal iqref, which was reduced to zero by proportional-integral control.
i q r e f = 3 2 ( q u i u q i )
The waveform of the reference reactive component of the grid current iqref was obtained by multiplying the reference reactive current component Iqref by the fundamental waveform of the synchronous component of the grid voltage v′. This waveform, when summed with the reference active component waveform ipref, was the reference waveform of the grid current icref. Obtaining the reference active current component waveform, as with the reactive component waveform, required multiplying the shape signal by the active current component value. The shape signal was an estimate of the orthogonal component of the grid voltage qv′, and the amplitude was determined by the current energy production in the photovoltaic array. Since the MPP algorithm controlled the charging current of the DC-link circuit, the DC-link voltage was the metric of the energy delivered to the on-board grid. If the inverter control system is astatic, the DC link voltage raised by the MPPT is lowered (stabilized) by changing the power fed into the grid by the inverter. Voltage control of the DC-link system with a proportional-integral regulator sets the value of the active component of the grid current to be the same at steady state as the current at the MPP point of the PV array.
The tests of the proposed system were carried out on a laboratory bench, described in detail in [7]. All equations and controller outputs were discretized using the trapezoidal method and implemented in an FPGA as simultaneously running independent instances.

3. Results

The proposed reactive power compensation system in the on-board power grid has been tested under static and dynamic conditions. In order to refer to the systems feeding power into the on-board grid, the obtained experimental results obtained were compared with the results of the system without reactive power compensator function. In each variant of the study, the compensated reactive power was assumed to be the result of connecting the same impedance to the power grid. This allows objective conclusions to be drawn from the recorded waveforms and measurements. The measurements of the dynamic states were related to jumps in the reactive power reference signal in the control system, disturbances observed in the on-board grid, and the dynamics of external environmental conditions. Figure 7 shows the waveforms of the current and voltage and reactive power recorded when the reactive power is zero and different from zero. This is the case when the control system has no reactive power compensation capability and the power input to the on-board grid comes from photovoltaic panels operating at a constant outdoor temperature T = 298 K and constant solar irradiance s = 1000 W/m2. To compare the test results, they had to be carried out under constant and reproducible conditions. Under normal operation, the temperature and solar irradiance change dynamically. In the studies, it had to be taken as a constant since it is not possible to determine whether any disruptions at system operation were due to external environmental disturbances or to disturbances in the on-board grid. Therefore, the values of temperature (298 K) and solar irradiation (1000 W/m2) were assumed, for which the photovoltaic curves were determined. Furthermore, these values do not affect the operation of the regulation system and the reactive power control. They only determine the amount of energy fed into the on-board grid.
The implementation of the proposed P+R controller with finite gain that has the ability to set the reactive power compensates the reactive power in the on-board power grid. Figure 8 shows the steady-state current and voltage waveforms recorded in the grid for the proposed control method. Waveforms refer to a control system configuration in which the reactive power value has been set to zero and the active component of the current depends on the current output of the photovoltaic panel. The waveforms were recorded for the same external conditions as the controller without reactive power compensation capability presented in Figure 7.
As can be observed in Figure 8b, the measured reactive power value is different from the set point. However, the recorded reactive power was effectively reduced from a value of about −366 var to a value close to zero. The measurements show that the steady-state reactive power in the compensated system is about −8 var, which is most likely due to the inaccuracy of the measurement system and the digital calculations performed.
Dynamic analysis was performed for the designed system in which the possibility of reactive power compensation was turned on after a specified time. For all the experimental results presented, the compensated reactive power and the external environment condition were the same as in previous experiments.
The waveforms shown in Figure 9 represent the dynamic response of the system recorded during the activation of reactive power compensation. Compensation is activated by means of an on/off trigger signal. As shown in Figure 9, in response to the compensation, the recorded reactive power acquires a set value of zero after a time of about 75 milliseconds. After this time, the reactive power occurring in the on-board grid is compensated for and at the same time the active power generated in the photovoltaic panels is delivered to the grid. Obtaining full compensation after about 30 supply voltage periods validates the reactive power compensation capability of the single-phase system demonstrated in the theoretical analysis.
The next step in the experimental study was to verify the dynamic response of the system to the connection of a load containing a reactive power component to the on-board grid. Using an on/off gating signal, an additional load was connected to the on-board power grid. Measurements were made for two cases. In the first case, shown in Figure 10a, an additional load containing the reactive power component was connected to the unloaded grid, which was also fed from the photovoltaic source via a classically controlled grid converter. As can be observed, before the additional load was connected, there was a small reactive power component in the power grid, mainly related to the resistance and inductance of the grid. The switching on of the load, increased the recorded reactive power. These results refer to the situation when the external conditions were stationary, that is, the grid converter was additionally feeding the on-board grid. The second case considered refers to an analogous situation, but for the proposed reactive power compensating system. The compensator was configured to make the reactive power in the on-board power grid equal to zero. The recorded grid current and voltage waveforms and the measured reactive power are shown in Figure 10b. The effectiveness of reactive power compensation is shown before and after the additional load was connected. The additional load caused only a transient uncompensated state, which was observed for about 90 milliseconds, thus confirming the effectiveness of the proposed method for dynamically varying compensated reactive power.
To determine the dynamic properties of the proposed system, its response to changes in the line voltage waveform were investigated. First, the effect of a voltage phase angle jump from 0 to 30 degrees on the value of the measured reactive power in the on-board power grid was investigated. The study was conducted for a statically connected load that generates reactive power. By applying a gating signal, the value of the phase shift angle was changed, and the waveforms of current, voltage, and measured reactive power were recorded for the grid converter without reactive power compensation (Figure 11a) and the proposed converter with reactive power compensation (Figure 11b). As can be observed in Figure 11, the phase angle jump only induces a transient state that is observed in a time dependent on the voltage synchronization system and the dynamic properties of the control system. For the standard-controlled system, a transient of about 70 milliseconds was observed, and for the proposed system with reactive power compensation, the time was about 120 milliseconds.
Figure 12 shows the behavior of a grid converter feeding an on-board higher frequency grid under a voltage sag of 20%. The waveforms were recorded for static external conditions, causing the energy produced in the photovoltaic cells to have the same. Figure 12a shows the waveforms of a grid current and voltage and the measured reactive power for a converter without the reactive power compensation feeding constant power into the on-board grid. An auxiliary signal (on/off) is shown to identify when the voltage sag occurs. The steady-state current amplitude values and voltage amplitude recorded before and after the voltage sag are indicated by solid lines in red and blue, respectively. As can be observed in Figure 12a, the reactive power before voltage sag was greater than during. The change in the reactive power value is denoted as ΔQ. Due to the lack of reactive component compensation, this is a natural effect of voltage reduction on the reactance load. This case is related to the static temperature and light conditions of the photovoltaic cell, so the active energy balance caused the amplitude of the current feeding the on-board power grid to increase as a consequence of the voltage reduction. The current amplitude behaved similarly when the grid converter was controlled by the developed system with compensated reactive power, as shown in Figure 12b. The observed voltage amplitude disturbance only caused a transient in the observed reactive power, which was zero before and after the voltage sag (ΔQ is zero). This allows us to conclude that voltage changes in the on-board grid do not affect the effectiveness of reactive power compensation, causing only the occurrence of transients in its measurement.
Confirmation of the effectiveness of reactive power compensation required additional experimental tests to verify the behavior of the developed system in dynamic states associated with external environmental conditions. The waveforms of grid current, grid voltage, and reactive power for uncompensated and compensated system are shown in Figure 13a and Figure 13b, respectively.
Tests were carried out for a step change in solar irradiance from 1000 W/m2 to 800 W/m2 at a constant outdoor temperature of 298 K. The on-board voltage parameters were static and no changes were forced in the control system or in the load. During the experimental study, no effect of changes in solar irradiation on the measured reactive power value was observed. The reactive power of the uncompensated system was at a constant level, depending on the additional load connected to the grid. For the compensated system, this power was zero. Reducing the solar irradiation level of the panels only resulted in a reduction in the active power supplied to the grid by changing the amplitude of the currents. No transients were observed in the reactive power measurement. The lack of transients in the reactive power observation is due to the fact that external conditions only affect the operation of the maximum power point tracker. In response to a change in the maximum power point, only the current of the DC-link capacitor is controlled. This is the part of the control system that is decoupled from the current and voltage controllers. However, disturbances that occur on the grid side will generate transients in the reactive power. This is because the current control system is coupled to the grid through the grid current synchronization and measurement system. Performed tests of the system including steady and transient states confirm the possibilities of reactive power compensation in the on-board electrical grid.
The proposed system of the higher frequency on-board grid that feeds energy from photovoltaic sources into it and enables reactive power compensation at the same time, has been compared to other systems operating with such a grid. For comparison purposes, systems containing a PI-type current regulator [7] (case A), a proportional resonant current regulator presented by transmittance (4) (case B), and a proportional-resonant regulator with finite gain used in this investigation (case C) were assumed. The characteristics compared were as follows:
-
F1: the complexity of the grid current controller calculations;
-
F2: dynamics of the grid current controller;
-
F3: necessity to use the dq transform for power management;
-
F4: possibility to increase the capacity of the on-board grid;
-
F5: reactive power compensation function;
-
F6: complexity of power management algorithm;
-
F7: the possibility of using synchronizers for other tasks of the on-board computer.
Table 1 summarizes the characteristic features of selected cases, assuming that a higher number of markers (+) in a category indicates the degree of coverage of the feature, (n. a.) means that the feature does not apply to the variant, and (−) indicates that the feature does not exist.

4. Conclusions

This work proposes a single-phase converter system connected to an on-board higher frequency grid for reactive power compensation in addition to the PV array power supply. The developed control system controls the charging current of the DC link capacitor independently of the proportional-resonant control system of the grid current. The application of quadrature signal estimators of the grid current and voltage allowed the decoupling of the active and reactive components of the current. This allows the proposed control system to feed additional power from the photovoltaic array into the on-board grid simultaneously compensating for the reactive power. Since the value of active power from the photovoltaic array is controlled in a system independent of the control of the grid currents, no transients are observed in the compensated reactive power with dynamic changes in external lighting conditions. The tests allowed us to add a new functionality related to power balancing to the existing higher frequency grid system.

Author Contributions

Conceptualization, T.B. and M.N.; methodology, T.B.; software, T.B. and M.N.; validation, T.B. and M.N.; formal analysis, T.B.; investigation, T.B., M.N. and S.P.; resources, T.B. and M.N.; data curation, T.B. and M.N.; writing—original draft preparation, T.B.; writing—review and editing, T.B., M.N. and S.P.; visualization, T.B.; supervision, T.B.; project administration, T.B.; funding acquisition, T.B. All authors have read and agreed to the published version of the manuscript.

Funding

This research and the APC were funded by the Minister of Education and Science of the Republic of Poland “Maintain the research potential of the discipline of automation, electronics and electrical engineering”, grant number: PB22.EE.22.001.

Institutional Review Board Statement

Not applicable.

Informed Consent Statement

Not applicable.

Data Availability Statement

Not applicable.

Conflicts of Interest

The authors declare no conflict of interest.

References

  1. Sener, E.; Ertasgin, G.; Zuber, D. Design of a 400 Hz Current-Source Single-Phase Converter for Avionic Systems. In Proceedings of the IEEE Vehicle Power and Propulsion Conference (VPPC), Belford, France, 11–14 December 2017; pp. 1–6. [Google Scholar]
  2. Li, Z.; Li, Y.; Wang, P.; Zhu, H.; Liu, C.; Gao, F. Single-Loop Digital Control of High-Power 400-Hz Ground Power Unit for Airplanes. IEEE Trans. Ind. Electron. 2010, 57, 532–543. [Google Scholar]
  3. Liu, Y.; Lai, C.M. LCL Filter Design with EMI Noise Consideration for Grid-Connected Inverter. Energies 2018, 11, 1646. [Google Scholar] [CrossRef] [Green Version]
  4. Niasar, A.; Rahimi, M.; Akhbari, A. Design and Simulation of a Single-Phase 400 Hz Inverter with Variable Input and Output Voltages. In Proceedings of the 11th Power Electronics, Drive Systems, and Technologies Conference (PEDSTC), Teheran, Iran, 4–6 February 2020; pp. 1–7. [Google Scholar] [CrossRef]
  5. Li, C.; Ji, S.; Tan, D. Multiple-Loop Digital Control Method for a 400-Hz Inverter System Based on Phase Feedback. IEEE Trans. Power Electron. 2013, 28, 408–417. [Google Scholar] [CrossRef]
  6. Espi, J.M.; Castello, J. New Fast MPPT Method Based on a Power Slope Detector for Single Phase PV Inverters. Energies 2019, 12, 4379. [Google Scholar] [CrossRef] [Green Version]
  7. Binkowski, T. A Conductance-Based MPPT Method with Reduced Impact of the Voltage Ripple for One-Phase Solar Powered Vehicle or Aircraft Systems. Energies 2020, 13, 1496. [Google Scholar] [CrossRef] [Green Version]
  8. Almakhles, D.J.; Ali, J.S.M.; Selvam, S.; Bhaskar, M.S.; Sandeep, N. Switched Capacitor-Based 13L Inverter Topology for High-Frequency AC Power Distribution System. IEEE J. Emerg. Sel. Top. Power Electron. 2021, 9, 5883–5894. [Google Scholar] [CrossRef]
  9. Abarzadeh, M.; Kojabadi, H.; Chang, L. A Modified Static Ground Power Unit Based on Novel Modular Active Neutral Point Clamped Converter. IEEE Trans. Ind. Appl. 2016, 52, 4243–4256. [Google Scholar] [CrossRef]
  10. Gao, F.; Li, Y.; Wang, P.; Li, Z.; Zhu, H. Parallel control method without output current sensing for 400-Hz inverters. In Proceedings of the International Conference on Electrical Machines and Systems, Incheon, Korea, 10–13 October 2010; pp. 219–224. [Google Scholar]
  11. Liang, M.; Zheng, T.Q. Synchronous PI control for three-phase grid-connected photovoltaic inverter. In Proceedings of the Chinese Control and Decision and Conference, Xuzhou, China, 26–28 May 2010; pp. 2302–2307. [Google Scholar] [CrossRef]
  12. Faria, J.; Pombo, J.; do Rosário Calado, M.; Mariano, S. Current Control Optimization for Grid-tied Inverters Using Cuckoo Search Algorithm. KnE Eng. 2020, 5, 795–804. [Google Scholar] [CrossRef]
  13. Hou, L.J.; Zhu, C.Q.; Zhao, Y.F.; Yan, X.F. Study on Single-Phase Grid-Connected Inverter Based on PI Control. Appl. Mech. Mater. 2014, 721, 249–252. [Google Scholar] [CrossRef]
  14. Rajesh, P.; Ram, V.; Shivam, Y.; Parag, S. A Modified PI Control for Grid-tied Inverters to Improve Grid Injected Current Quality. Int. J. Eng. Technol. 2017, 9, 529–534. [Google Scholar]
  15. Alhejji, A.; Mosaad, M.I. Performance enhancement of grid-connected PV systems using adaptive reference PI controller. Ain Shams Eng. J. 2021, 12, 541–554. [Google Scholar] [CrossRef]
  16. Nowak, M.; Piróg, S. Implementation of the Proportional Resonant Controller in the FPGA System. Przegląd Elektrotechniczny 2019, 7, 87–90. [Google Scholar] [CrossRef]
  17. Salimin, S.; Noor, A.F.M.; Jumaat, S. Proportional resonant current controller strategy in inverter application. Int. J. Power Electron. Drive Syst. 2019, 10, 2238–2244. [Google Scholar] [CrossRef]
  18. Teodorescu, R.; Blaabjerg, F.; Liserre, M.; Loh, P.C. Proportional-Resonant Controllers and Filters for Grid-Connected Voltage-Source Converters. IEE Proc. Electr. Power Appl. 2006, 153, 750. [Google Scholar] [CrossRef] [Green Version]
  19. Nowak, M.; Binkowski, T.; Piróg, S. Proportional-Resonant Controller Structure with Finite Gain for Three-Phase Grid-Tied Converters. Energies 2021, 14, 6726. [Google Scholar] [CrossRef]
  20. Tarasantisuk, C.; Suyata, T.; Tarateeraseth, V.; Witheephanich, K. Active and Reactive Power Control for Three-Phase Grid Inverters with Proportional Resonant Control Strategies. In Proceedings of the 13th International Conference on Electrical Engineering/Electronics, Computer, Telecommunications and Information Technology (ECTI-CON), Chiang Mai, Thailand, 28 June–1 July 2016; pp. 1–6. [Google Scholar]
  21. Arum, S.C.; Grace, D.; Mitchell, P.D.; Zakaria, M.D.; Morozs, N. Energy Management of Solar-Powered Aircraft-Based High Altitude Platform for Wireless Communications. Electronics 2020, 9, 179. [Google Scholar] [CrossRef] [Green Version]
  22. Crowhurst, B.; Ehab, E.; Chaar, L.; Lamont, L. Single-phase grid-tie inverter control using DQ transform for active and reactive load power compensation. In Proceedings of the IEEE International Conference on Power and Energy, Kuala Lumpur, Malaysia, 29 November–1 December 2010; pp. 489–494. [Google Scholar] [CrossRef]
  23. Mnider, A.M.; Atkinson, D.J.; Dahidah, M.; Armstrong, M. A simplified DQ controller for single-phase grid-connected PV inverters. In Proceedings of the 7th International Renewable Energy Congress (IREC), Hammamet, Tunisia, 22–24 March 2016; pp. 1–6. [Google Scholar] [CrossRef]
  24. Xu, J.; Qian, H.; Hu, Y.; Bian, S.; Xie, S. Overview of SOGI-Based Single-Phase Phase-Locked Loops for Grid Synchronization under Complex Grid Conditions. IEEE Access 2021, 9, 39275–39291. [Google Scholar] [CrossRef]
  25. Chang, C.; Lin, Y.; Chen, Y.; Chang, Y. A simplified reactive power control for single-phase grid-tied photovoltaic inverters. IEEE Trans. Ind. Electron. 2014, 61, 2286–2296. [Google Scholar] [CrossRef]
  26. Hoke, A.; Maksimović, D. Active power control of photovoltaic power systems. In Proceedings of the 1st IEEE Conference on Technologies for Sustainability (SusTech), Portland, OR, USA, 1–2 August 2013; pp. 70–77. [Google Scholar] [CrossRef]
  27. Mohammad, M.; Majid, S.; Saeed, G. Direct active and reactive power control of single-phase grid-tie converters. IET Power Electron. 2012, 5, 1544–1550. [Google Scholar] [CrossRef] [Green Version]
  28. Ayala-Chauvin, M.; Kavrakov, B.S.; Buele, J.; Varela-Aldás, J. Static Reactive Power Compensator Design, Based on Three-Phase Voltage Converter. Energies 2021, 14, 2198. [Google Scholar] [CrossRef]
  29. Zammit, D.; Spiteri Staines, C.; Apap, M. Comparison between Pi and PR Current Controllers in Grid Connected PV Inverters. Int. J. Electr. Comput. Eng. 2014, 8, 221–226. [Google Scholar]
  30. Kumar, Y.A.; Kumar, K.D.; Kim, H. A novel electrode for supercapacitors: Efficient PVP-assisted synthesis of Ni3S2 nanostructures grown on Ni foam for energy storage. Dalton Trans. 2020, 49, 4050–4059. [Google Scholar] [CrossRef] [PubMed]
  31. Kumar, Y.A.; Kim, H. Preparation and electrochemical performance of NiCo2O4@NiCo2O4 composite nanoplates for high performance supercapacitor applications. New J. Chem. 2018, 42, 19971–19978. [Google Scholar] [CrossRef]
Figure 1. Reactive current generation capability as a function of active power: reactive power related to apparent power Q/S in % vs. active power related to apparent power P/S in %.
Figure 1. Reactive current generation capability as a function of active power: reactive power related to apparent power Q/S in % vs. active power related to apparent power P/S in %.
Energies 15 02563 g001
Figure 2. Configuration scheme of the investigated system, excluding the control part.
Figure 2. Configuration scheme of the investigated system, excluding the control part.
Energies 15 02563 g002
Figure 3. The structure of the DC link voltage control system.
Figure 3. The structure of the DC link voltage control system.
Energies 15 02563 g003
Figure 4. The structure of the current control system of the grid.
Figure 4. The structure of the current control system of the grid.
Energies 15 02563 g004
Figure 5. Parallel structure of a real P+R controller.
Figure 5. Parallel structure of a real P+R controller.
Energies 15 02563 g005
Figure 6. Bode plots of a discrete parallel structure of a digital P+R controller: (a) for different gains of the proportional part; (b) for different damping factors; (c) for different gains of the resonance part.
Figure 6. Bode plots of a discrete parallel structure of a digital P+R controller: (a) for different gains of the proportional part; (b) for different damping factors; (c) for different gains of the resonance part.
Energies 15 02563 g006
Figure 7. Steady-state waveforms of the on-board grid converter without reactive power compensation capability recorded for constant temperature of 298 K and solar irradiance of 1000 W/m2: (a) waveforms of the grid voltage vG and grid current iG for balanced grid; (b) waveforms of the grid voltage vG and grid current iG for unbalanced grid; (c) the reactive power for balanced grid; (d) the reactive power for unbalanced grid.
Figure 7. Steady-state waveforms of the on-board grid converter without reactive power compensation capability recorded for constant temperature of 298 K and solar irradiance of 1000 W/m2: (a) waveforms of the grid voltage vG and grid current iG for balanced grid; (b) waveforms of the grid voltage vG and grid current iG for unbalanced grid; (c) the reactive power for balanced grid; (d) the reactive power for unbalanced grid.
Energies 15 02563 g007
Figure 8. Steady-state waveforms of the on-board grid converter with reactive power compensation recorded for constant temperature of 298 K and solar irradiance of 1000 W/m2: (a) waveforms of the grid voltage vG and grid current iG; (b) the reactive power for the set value equal zero.
Figure 8. Steady-state waveforms of the on-board grid converter with reactive power compensation recorded for constant temperature of 298 K and solar irradiance of 1000 W/m2: (a) waveforms of the grid voltage vG and grid current iG; (b) the reactive power for the set value equal zero.
Energies 15 02563 g008
Figure 9. Dynamic response of the system to the activation of reactive power compensation: waveforms of the grid voltage vG and grid current iG; the reactive power Q; the signal activating reactive power compensation On/off.
Figure 9. Dynamic response of the system to the activation of reactive power compensation: waveforms of the grid voltage vG and grid current iG; the reactive power Q; the signal activating reactive power compensation On/off.
Energies 15 02563 g009
Figure 10. Dynamic response of the system to the connection of the load with the reactive power component: waveforms of the grid voltage vG and grid current iG, the reactive power Q; the signal activating an additional load on/off registered for (a) classically controlled grid converter without reactive power compensation and for (b) proposed system.
Figure 10. Dynamic response of the system to the connection of the load with the reactive power component: waveforms of the grid voltage vG and grid current iG, the reactive power Q; the signal activating an additional load on/off registered for (a) classically controlled grid converter without reactive power compensation and for (b) proposed system.
Energies 15 02563 g010
Figure 11. Dynamic response of the system registered for the phase jump of 30 degree: waveforms of the grid voltage vG and grid current iG, the reactive power Q; the signal activating the phase jump from 0 to 30 degree registered for (a) classically controlled grid converter without reactive power compensation and for (b) proposed system.
Figure 11. Dynamic response of the system registered for the phase jump of 30 degree: waveforms of the grid voltage vG and grid current iG, the reactive power Q; the signal activating the phase jump from 0 to 30 degree registered for (a) classically controlled grid converter without reactive power compensation and for (b) proposed system.
Energies 15 02563 g011
Figure 12. Grid voltage sag of 20%: (a) waveforms of the grid voltage vG and grid current iG, the reactive power Q, the signal identifying a voltage sag. On/off recorded for the standard grid converter; (b) waveforms of the grid voltage vG and grid current iG, the reactive power Q, the signal identifying a voltage sag. On/off recorded for the proposed grid converter with a reactive power compensation.
Figure 12. Grid voltage sag of 20%: (a) waveforms of the grid voltage vG and grid current iG, the reactive power Q, the signal identifying a voltage sag. On/off recorded for the standard grid converter; (b) waveforms of the grid voltage vG and grid current iG, the reactive power Q, the signal identifying a voltage sag. On/off recorded for the proposed grid converter with a reactive power compensation.
Energies 15 02563 g012
Figure 13. Solar irradiance jumps from 1000 W/m2 to 800 W/m2: (a) waveforms of the grid voltage vG and grid current iG, the reactive power Q and the solar irradiance (pink) registered for the system without the reactive power compensation; (b) waveforms of the grid voltage vG and grid current iG, the reactive power Q and the solar irradiance (pink) registered for the system with the reactive power compensation.
Figure 13. Solar irradiance jumps from 1000 W/m2 to 800 W/m2: (a) waveforms of the grid voltage vG and grid current iG, the reactive power Q and the solar irradiance (pink) registered for the system without the reactive power compensation; (b) waveforms of the grid voltage vG and grid current iG, the reactive power Q and the solar irradiance (pink) registered for the system with the reactive power compensation.
Energies 15 02563 g013
Table 1. Comparison results.
Table 1. Comparison results.
SystemF1F2F3F4F5F6F7
Case A [7]++n. a.n. a.n. a.++
Case B [19]+++++++++++
Proposed++++++++++++++
Publisher’s Note: MDPI stays neutral with regard to jurisdictional claims in published maps and institutional affiliations.

Share and Cite

MDPI and ACS Style

Binkowski, T.; Nowak, M.; Piróg, S. Power Supply and Reactive Power Compensation of a Single-Phase Higher Frequency On-Board Grid with Photovoltaic Inverter. Energies 2022, 15, 2563. https://doi.org/10.3390/en15072563

AMA Style

Binkowski T, Nowak M, Piróg S. Power Supply and Reactive Power Compensation of a Single-Phase Higher Frequency On-Board Grid with Photovoltaic Inverter. Energies. 2022; 15(7):2563. https://doi.org/10.3390/en15072563

Chicago/Turabian Style

Binkowski, Tomasz, Marek Nowak, and Stanisław Piróg. 2022. "Power Supply and Reactive Power Compensation of a Single-Phase Higher Frequency On-Board Grid with Photovoltaic Inverter" Energies 15, no. 7: 2563. https://doi.org/10.3390/en15072563

APA Style

Binkowski, T., Nowak, M., & Piróg, S. (2022). Power Supply and Reactive Power Compensation of a Single-Phase Higher Frequency On-Board Grid with Photovoltaic Inverter. Energies, 15(7), 2563. https://doi.org/10.3390/en15072563

Note that from the first issue of 2016, this journal uses article numbers instead of page numbers. See further details here.

Article Metrics

Back to TopTop