Comparison of Three-Dimensional Numerical Methods for Modeling of Strut Effect on the Performance of a Vertical Axis Wind Turbine
Abstract
:1. Introduction
2. Turbine Geometry and Test Conditions
3. Numerical Methods
3.1. Rans Model
3.2. Actuator Line Model (ALM)
3.2.1. Calculated Force Distribution
3.2.2. End Effects
3.2.3. Computational Settings
3.3. Vortex Method
- 1.
- The circulation around each blade was calculated according the method described above. The blade was divided into multiple segments along its span and one circulation was calculated for each segment.
- 2.
- The correlation between circulation and angle of attack previously determined was used to obtain a corresponding angle of attack for each blade segment.
- 3.
- An external force model was used to calculate the lift and drag forces for the blade. This model is the same as the one used for the ALM-SK simulations and uses static airfoil data combined with a dynamic stall model, as described in Dyachuk and Goude [43].
- 4.
- Calculate the new circulation from Kutta Joukowski’s lift formula , where is the lift force per unit span, is the density, is the relative velocity (which is calculated from the vorticity field), and is the new circulation.
- 5.
- The circulation that is to be added to the flow can now be determined as the change in circulation from the previous step.
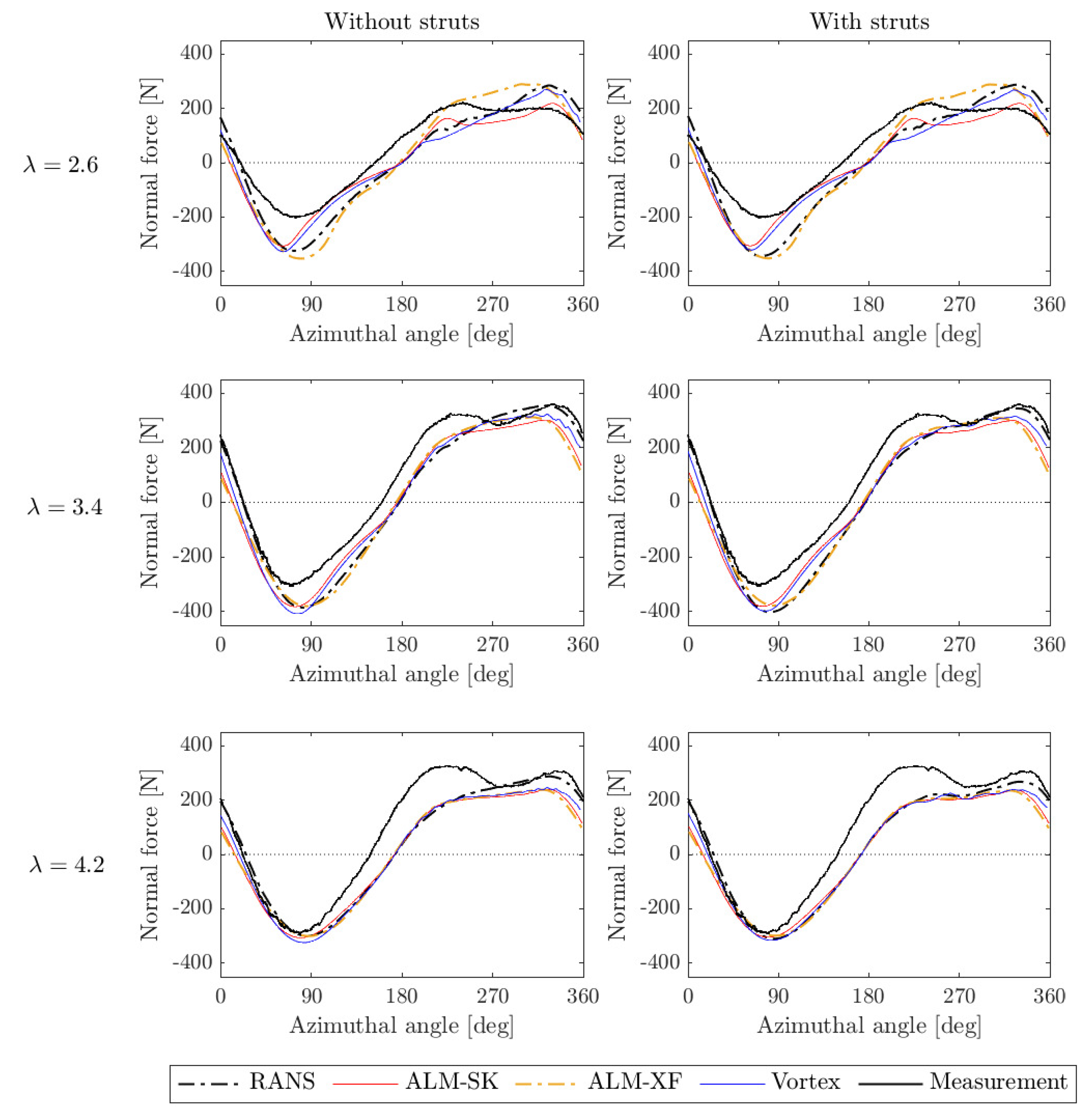
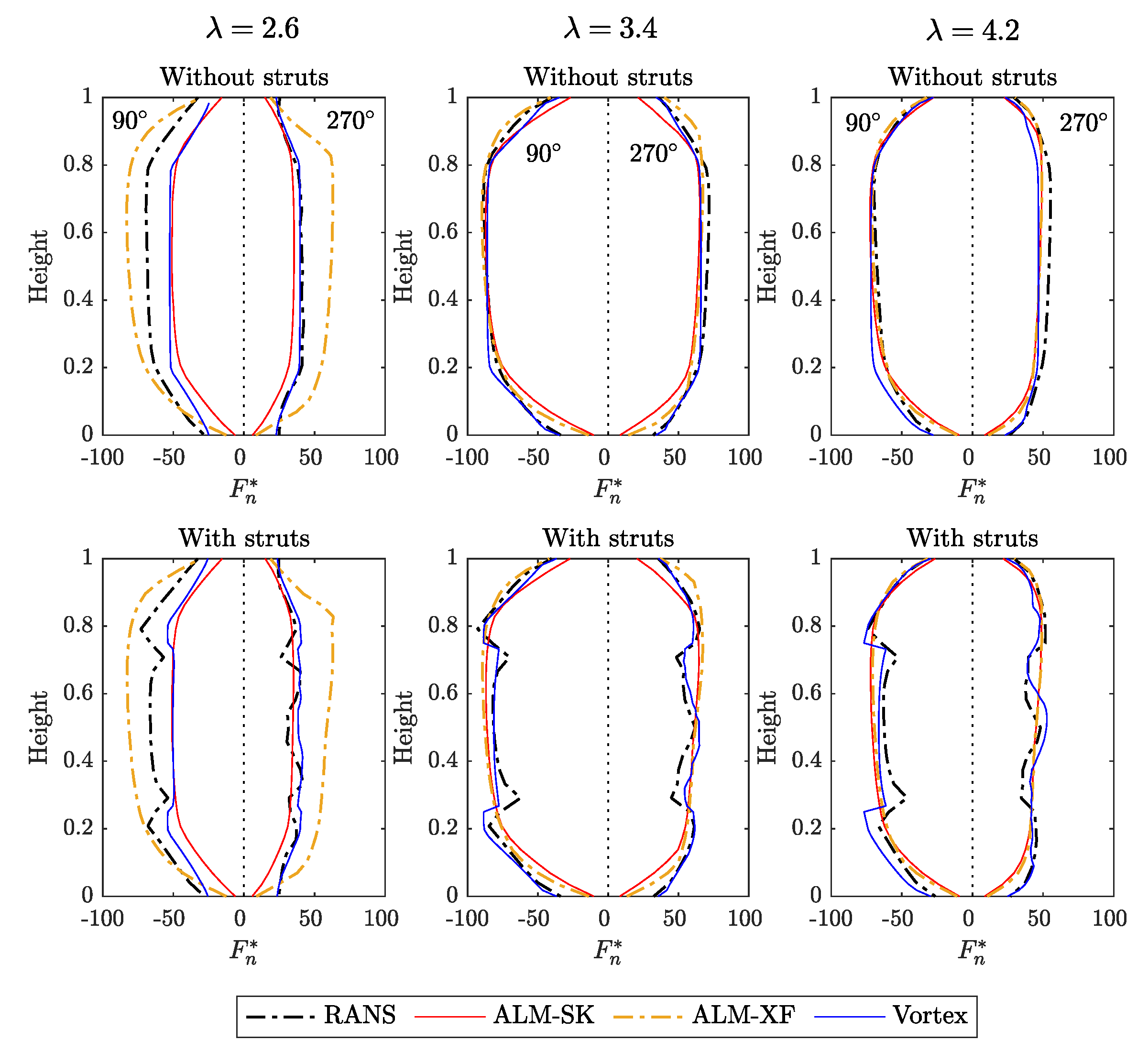
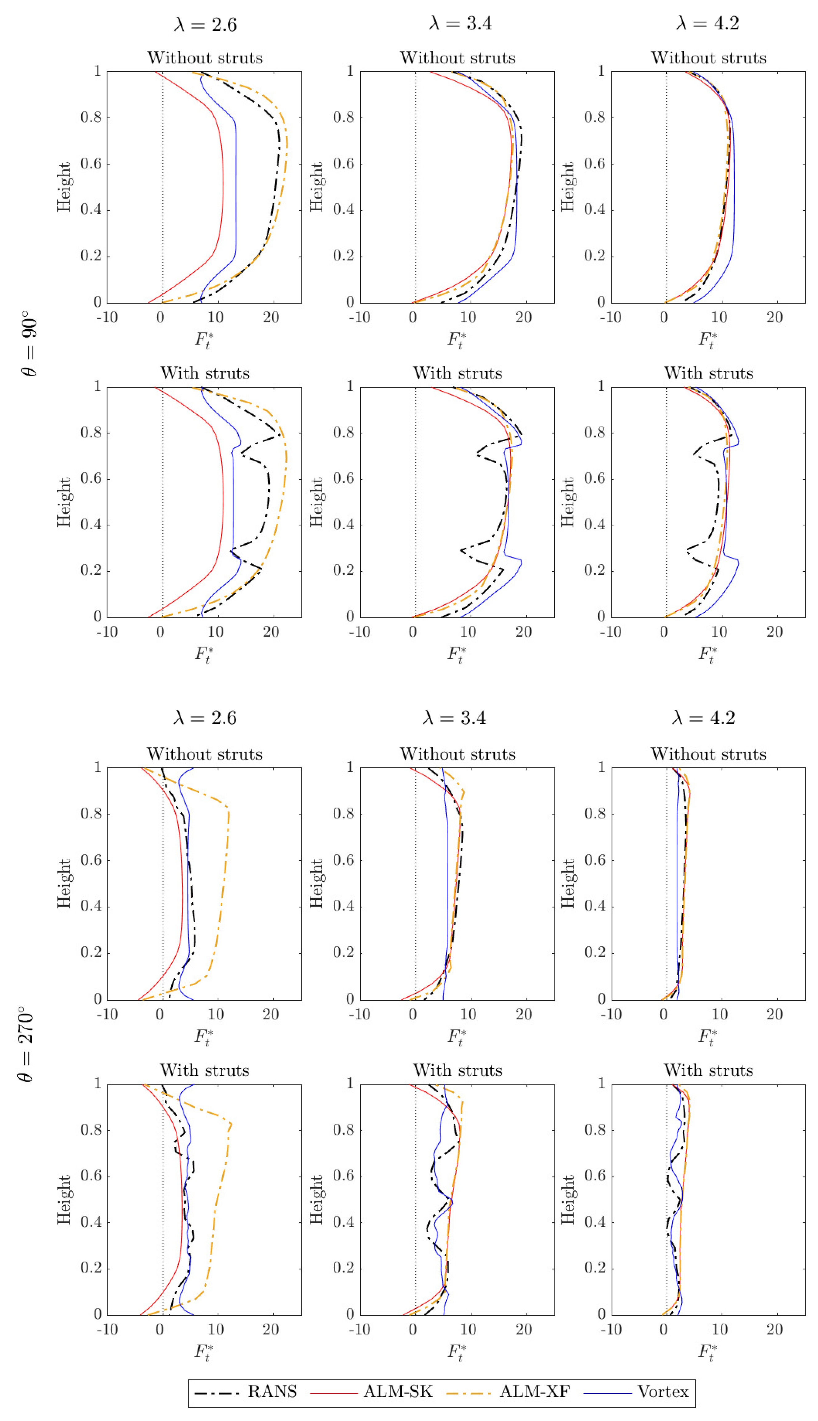
4. Results and Discussion
5. Conclusions
Author Contributions
Funding
Institutional Review Board Statement
Informed Consent Statement
Data Availability Statement
Acknowledgments
Conflicts of Interest
Appendix A. Error Analysis of the Numerical Models

References
- Pope, K.; Dincer, I.; Naterer, G. Energy and exergy efficiency comparison of horizontal and vertical axis wind turbines. Renew. Energy 2010, 35, 2102–2113. [Google Scholar]
- Tjiu, W.; Marnoto, T.; Mat, S.; Ruslan, M.; Sopian, K. Darrieus vertical axis wind turbine for power generation II: Challenges in HAWT and the opportunity of multi-megawatt Darrieus VAWT development. Renew. Energy 2015, 75, 560–571. [Google Scholar]
- Sørensen, J.; Shen, W. Computation of wind turbine wakes using combined Navier-Stokes/actuator-line Methodology. In Proceedings of the 1999 European Wind Energy Conference and Exhibition, Nice, France, 1–5 May 1999; pp. 156–159. [Google Scholar]
- Sørensen, J.; Shen, W. Numerical modeling of wind turbine wakes. J. Fluids Eng. 2002, 124, 393–399. [Google Scholar]
- Mikkelsen, R. Actuator Disc Methods Applied to Wind Turbines. Ph.D. Thesis, Technical University of Denmark, Lyngby, Denmark, 2003. [Google Scholar]
- Troldborg, N.; Sørensen, J.; Mikkelsen, R. Numerical simulations of wake characteristics of a wind turbine in uniform inflow. Wind Energy 2010, 13, 86–99. [Google Scholar]
- Sørensen, J.; Mikkelsen, R.; Henningson, D.; Ivanell, S.; Sarmast, S.; Andersen, S. Simulation of wind turbine wakes using the actuator line technique. Philos. Trans. R. Soc. A 2015, 373, 20140071. [Google Scholar]
- Porté-Agel, F.; Wu, Y.; Lu, H.; Conzemius, R. Large-eddy simulation of atmospheric boundary layer flow through wind turbines and wind farms. J. Wind Eng. Ind. Aerodyn. 2011, 99, 154–168. [Google Scholar]
- Lu, H.; Porté-Agel, F. Large-eddy simulation of a very large wind farm in a stable atmospheric boundary layer. Phys. Fluids 2011, 23, 065101. [Google Scholar]
- Hezaveh, S.; Bou-Zeid, E.; Lohry, M.; Martinelli, L. Simulation and wake analysis of a single vertical axis wind turbine. Wind Energy 2017, 20, 713–730. [Google Scholar]
- Larsen, H. Summary of a vortex theory for the cyclogiro. In Proceedings of the 2nd US National Conferences on Wind Engineering Research, Fort Collins, CO, USA, 22–25 June 1975. [Google Scholar]
- Holme, O. A contribution to the aerodynamic theory of the vertical-axis wind turbine. In Proceedings of the International Symposium on Wind Energy Systems, Cambridge, UK, 7–9 September 1976. [Google Scholar]
- Wilson, R. Wind-turbine aerodynamics. J. Wind Eng. Ind. Aerodyn. 1980, 5, 357–372. [Google Scholar]
- Strickland, J.; Webster, B.; Nguyen, T. A vortex model of the Darrieus turbine: An analytical and experimental study. J. Fluids Eng. 1979, 101, 500–505. [Google Scholar]
- Cardona, J. Flow curvature and dynamic stall simulated with an aerodynamic free-vortex model for VAWT. Wind Eng. 1984, 8, 135–143. [Google Scholar]
- Scheurich, F.; Fletcher, T.; Brown, R. Simulating the aerodynamic performance and wake dynamics of a vertical-axis wind turbine. Wind Energy 2011, 14, 159–177. [Google Scholar]
- Zanon, A.; Giannattasio, P.; Ferreira, C. A vortex panel model for the simulation of the wake flow past a vertical axis wind turbine in dynamic stall. Wind Energy 2013, 16, 661–680. [Google Scholar]
- Ferreira, C.; Van Zuijlen, A.; Bijl, H.; Van Bussel, G.; Van Kuik, G. Simulating dynamic stall in a two-dimensional vertical-axis wind turbine: Verification and validation with particle image velocimetry data. Wind Energy 2010, 13, 1–17. [Google Scholar]
- Lanzafame, R.; Mauro, S.; Messina, M. 2D CFD modeling of H-Darrieus wind turbines using a transition turbulence model. Energy Procedia 2014, 45, 131–140. [Google Scholar]
- Balduzzi, F.; Bianchini, A.; Maleci, R.; Ferrara, G.; Ferrari, L. Critical issues in the CFD simulation of Darrieus wind turbines. Renew. Energy 2016, 85, 419–435. [Google Scholar]
- Howell, R.; Qin, N.; Edwards, J.; Durrani, N. Wind tunnel and numerical study of a small vertical axis wind turbine. Renew. Energy 2010, 35, 412–422. [Google Scholar]
- McLaren, K.; Tullis, S.; Ziada, S. Computational fluid dynamics simulation of the aerodynamics of a high solidity, small-scale vertical axis wind turbine. Wind Energy 2012, 15, 349–361. [Google Scholar]
- Islam, M.; Fartaj, A.; Carriveau, R. Analysis of the design parameters related to a fixed-pitch straight-bladed vertical axis wind turbine. Wind Eng. 2008, 32, 491–507. [Google Scholar]
- Li, Q.; Maeda, T.; Kamada, Y.; Murata, J.; Shimizu, K.; Ogasawara, T.; Nakai, A.; Kasuya, T. Effect of solidity on aerodynamic forces around straight-bladed vertical axis wind turbine by wind tunnel experiments (depending on number of blades). Renew. Energy 2016, 96, 928–939. [Google Scholar]
- De Marco, A.; Coiro, D.; Cucco, D.; Nicolosi, F. A numerical study on a vertical-axis wind turbine with inclined arms. Int. J. Aerosp. Eng. 2014, 2014, 180498. [Google Scholar]
- Elkhoury, M.; Kiwata, T.; Aoun, E. Experimental and numerical investigation of a three-dimensional vertical-axis wind turbine with variable-pitch. J. Wind Eng. Ind. Aerodyn. 2015, 139, 111–123. [Google Scholar]
- Marsh, P.; Ranmuthugala, D.; Penesis, I.; Thomas, G. Three-dimensional numerical simulations of straight-bladed vertical axis tidal turbines investigating power output, torque ripple and mounting forces. Renew. Energy 2015, 83, 67–77. [Google Scholar]
- Weller, H.; Tabor, G.; Jasak, H.; Fureby, C. A tensorial approach to computational continuum mechanics using object-oriented techniques. Comput. Phys. 1998, 12, 620–631. [Google Scholar]
- Shih, T.; Liou, W.; Shabbir, A.; Yang, Z.; Zhu, J. A new k-ε eddy viscosity model for high reynolds number turbulent flows. Comput. Fluids 1995, 24, 227–238. [Google Scholar]
- Rezaeiha, A.; Montazeri, H.; Blocken, B. Towards accurate CFD simulations of vertical axis wind turbines at different tip speed ratios and solidities: Guidelines for azimuthal increment, domain size and convergence. Energy Convers. Manag. 2018, 156, 301–316. [Google Scholar]
- Aihara, A.; Mendoza, V.; Goude, A.; Bernhoff, H. A numerical study of strut and tower influence on the performance of vertical axis wind turbines using computational fluid dynamics simulation. Wind Energy 2022. Available online: https://doi.org/10.1002/we.2704 (accessed on 18 March 2022).
- Leishman, J.; Beddoes, T. A generalised model for airfoil unsteady aerodynamic behaviour and dynamic stall using the indicial method. In Proceedings of the 42nd Annual Forum of the American Helicopter Society, Washington, DC, USA, 2–4 June 1986. [Google Scholar]
- Sheng, W.; Galbraith, R.; Coton, F. A modified dynamic stall model for low Mach numbers. J. Sol. Energy Eng. 2008, 130, 031013. [Google Scholar]
- Dyachuk, E. Aerodynamics of Vertical Axis Wind Turbines: Development of Simulation Tools and Experiments. Ph.D. Thesis, Uppsala University, Uppsala, Sweden, 2015. Available online: http://urn.kb.se/resolve?urn=urn:nbn:se:uu:diva-260573 (accessed on 18 March 2022).
- Bachant, P.; Wosnik, M. Simulating wind and marine hydrokinetic turbines with actuator lines in RANS and LES. In Proceedings of the 68th Annual Meeting of the APS Division of Fluid Dynamics, Boston, MA, USA, 22–24 November 2015. [Google Scholar]
- Bachant, P.; Goude, A.; Wosnik, M. Actuator line modeling of vertical-axis turbines. arXiv 2016, arXiv:1605.01449. [Google Scholar]
- Bachant, P.; Goude, A.; Wosnik, M. TurbinesFoam: V0.0.7. 2016. Available online: https://zenodo.org/record/49422 (accessed on 18 March 2022).
- Mendoza, V.; Chaudhari, A.; Goude, A. Performance and wake comparison of horizontal and vertical axis wind turbines under varying surface roughness conditions. Wind Energy 2019, 22, 458–472. [Google Scholar]
- Mendoza, V.; Goude, A. Validation of Actuator Line and Vortex Models Using Normal Forces Measurements of a Straight-Bladed Vertical Axis Wind Turbine. Energies 2020, 13, 511. [Google Scholar]
- Sheldahl, R.; Klimas, P. Aerodynamic Characteristics of Seven Symmetrical Airfoil Sections through 180-Degree Angle of Attack for Use in Aerodynamic Analysis of Vertical Axis Wind Turbines; Technical Report; Sandia National Labs.: Albuquerque, NM, USA, 1981. [Google Scholar]
- Drela, M. XFOIL: An analysis and design system for low Reynolds number airfoils. In Proceedings of the Conference (Low Reynolds Number Aerodynamics), Notre Dame, IN, USA, 5–7 June 1989; pp. 1–12. [Google Scholar]
- Anderson, J., Jr. Fundamentals of Aerodynamics; Tata McGraw-Hill Education: New York, NY, USA, 2010. [Google Scholar]
- Dyachuk, E.; Goude, A. Numerical Validation of a Vortex Model against Experimental Data on a Straight-Bladed Vertical Axis Wind Turbine. Energies 2015, 8, 11800–11820. [Google Scholar]
- Dyachuk, E.; Goude, A.; Berhnoff, H. Simulating Pitching Blade with Free Vortex Model Coupled with Dynamic Stall Model for Conditions of Straight Bladed Vertical Axis Turbines. J. Sol. Energy Eng. 2015, 137, 041008. [Google Scholar]
- Troldborg, N.; Zahle, F.; Réthoré, P.; Sorensen, N. Comparison of the wake of different types of wind turbine CFD models. In Proceedings of the 50th AIAA Aerospace Sciences Meeting including the New Horizons Forum and Aerospace Exposition, Nashville, TN, USA, 9–12 January 2012; p. 237. [Google Scholar]
- Kalvig, S.; Manger, E.; Hjertager, B. Comparing different CFD wind turbine modelling approaches with wind tunnel measurements. J. Phys. Conf. Ser. Iop Publ. 2014, 555, 012056. [Google Scholar]
- Dyachuk, E.; Rossander, M.; Goude, A.; Bernhoff, H. Measurements of the aerodynamic normal forces on a 12-kW straight-bladed vertical axis wind turbine. Energies 2015, 8, 8482–8496. [Google Scholar]















| Property | Value |
|---|---|
| Rated power | 12 kW |
| Number of blades | 3 |
| Diameter | 6.5 m |
| Hub height | 5.75 m |
| Blade length | 5 m |
| Blade profile | NACA 0021 |
| Chord length at left | 25 cm |
| Blade pitch angle | 2 |
| Strut profile | NACA 0025 |
| λ | U∞ (m/s) | ω (rpm) |
|---|---|---|
| 2.6 | 6.6 | 49.9 |
| 3.4 | 6.4 | 64.8 |
| 4.2 | 5.3 | 65.0 |
Publisher’s Note: MDPI stays neutral with regard to jurisdictional claims in published maps and institutional affiliations. |
© 2022 by the authors. Licensee MDPI, Basel, Switzerland. This article is an open access article distributed under the terms and conditions of the Creative Commons Attribution (CC BY) license (https://creativecommons.org/licenses/by/4.0/).
Share and Cite
Aihara, A.; Mendoza, V.; Goude, A.; Bernhoff, H. Comparison of Three-Dimensional Numerical Methods for Modeling of Strut Effect on the Performance of a Vertical Axis Wind Turbine. Energies 2022, 15, 2361. https://doi.org/10.3390/en15072361
Aihara A, Mendoza V, Goude A, Bernhoff H. Comparison of Three-Dimensional Numerical Methods for Modeling of Strut Effect on the Performance of a Vertical Axis Wind Turbine. Energies. 2022; 15(7):2361. https://doi.org/10.3390/en15072361
Chicago/Turabian StyleAihara, Aya, Victor Mendoza, Anders Goude, and Hans Bernhoff. 2022. "Comparison of Three-Dimensional Numerical Methods for Modeling of Strut Effect on the Performance of a Vertical Axis Wind Turbine" Energies 15, no. 7: 2361. https://doi.org/10.3390/en15072361
APA StyleAihara, A., Mendoza, V., Goude, A., & Bernhoff, H. (2022). Comparison of Three-Dimensional Numerical Methods for Modeling of Strut Effect on the Performance of a Vertical Axis Wind Turbine. Energies, 15(7), 2361. https://doi.org/10.3390/en15072361

