Abstract
The penetration of renewable energy sources (RESs) is increasing in modern power systems. However, the uncertainties of RESs pose challenges to distribution system operations, such as RES curtailment. Demand response (DR) and battery energy storage systems (BESSs) are flexible countermeasures for distribution-system operators. In this context, this study proposes an optimization model that considers DR and BESSs and develops a simulation analysis platform representing a medium-sized distribution system with high penetration of RESs. First, BESSs and DR were employed to minimize the total expenses of the distribution system operation, where the BESS model excluding binary state variables was adopted. Second, a simulation platform based on a modified IEEE 123 bus system was developed via MATLAB/Simulink for day-ahead scheduling analysis of the distribution system with a high penetration of RESs. The simulation results indicate the positive effects of DR implementation, BESS deployment, and permission for electricity sales to the upper utility on decreasing RES curtailment and distribution system operation costs. Noticeably, the RES curtailments became zero with the permission of bidirectional power flow. In addition, the adopted BESS model excluding binary variables was also validated. Finally, the effectiveness of the developed simulation analysis platform for day-ahead scheduling was demonstrated.
1. Introduction
Fossil fuels are major sources of electricity. However, excessive consumption of fossil resources leads to environmental damage [1]. Worldwide, countries are eager to decrease their dependency on fossil fuels [2]; thus, procuring alternative energy sources is vital to meet the growing energy demands and reduce carbon dioxide emissions. Renewable energy sources (RESs), among which solar and wind energy resources have the highest attractiveness [3], are environmentally friendly and are the most promising alternative energy sources [4]. As RES-based generators such as wind turbines (WTs) and photovoltaic panels (PVs) are increasingly being installed, the intermittent nature of these RESs poses many challenges to distribution systems [5]. For example, RES curtailment frequently occurs because of a mismatch between power generation and load demands. RES curtailment causes wastage of free and clean energy, leading to economic losses [6]. As a flexible countermeasure to handle the problem, demand response (DR) can motivate customers to shift their power consumption and reduce load demand during peak hours [7,8]. In addition, battery energy storage systems (BESSs) can be dispatched to absorb RES generation surplus or fulfill peak load demands [9]. Therefore, from the perspective of distribution system operators, an optimization model that considers DR implementation and BESS scheduling is vital for minimizing the total expenses of operating costs and electricity trading.
The existing literature offers several optimization methods for DR and BESSs in power system scheduling. Specifically, the authors in [9] proposed an interval optimization-based coordination approach for DR and BESSs to minimize the total operational costs of the microgrid. In [10], the authors proposed a stochastic framework for optimal charge and discharge scheduling of plug-in electric vehicles in local distribution systems, where plug-in electric vehicles can be considered as mobile BESSs. In [11], an optimal scheduling method for distributed generators, BESSs, tap transformers, and controllable loads of a radial distribution feeder was proposed to minimize total distribution losses. In [12], an optimal operational strategy for a grid-connected microgrid considering distributed energy resources and their interaction with incentive-based DR programs was proposed, and the whale optimization algorithm was adopted to solve the optimization problem. The authors in [13] presented detailed mathematical models of BESSs, PV systems, directly controllable loads, and generation curtailment in the microgrid optimal scheduling problem. An energy management strategy was proposed in [14] to extend the life cycles of hybrid energy storage systems based on the state of charge (SOC). In [15], the authors analyzed the techno-economic impacts of mixed-integer linear programming (MILP)-based dispatch for BESSs deployed within a small residential RES community. In [16], the authors proposed a methodological framework for optimal coordinated scheduling of BESSs with microturbines considering RESs and dynamic electricity prices to maximize the daily utility profit. In [17], the authors presented a two-stage active distribution network management method to deliver the power flexibility that the upper grid requested, where the BESS output was adjusted to mitigate the power imbalance due to RES uncertainty.
The aforementioned studies have demonstrated the wide use of DR and BESSs for the optimal scheduling of distribution systems or microgrids. However, the investigated distribution systems or microgrids in those studies are very small (at most 30–40 nodes). Besides, a convenient simulation platform for distribution systems with a high penetration of RESs has not been developed to observe the effects of the obtained scheduling plans. Furthermore, most BESS models employed in [9,10,11,12,13,14,15] introduced binary variables to describe the charging and discharging states. Those BESS binary variables are unnecessary if BESS operation costs are considered and all generation costs in the objective are positive [18]. Fewer integer variables can contribute to a simpler optimization model to save time. In this context, this study proposes an optimization model that considers DR and BESSs and develops a simulation analysis platform representing a medium-sized distribution system with high penetration of RESs. First, BESSs and DR are employed to minimize the total operating expenses, which is formulated as an MILP problem. Note that although the BESS models in this study do not contain integers, binary variables for DR models are still required. Second, a simulation platform based on a modified IEEE 123 bus system penetrated by WTs, PVs, and BESSs was developed via MATLAB/Simulink for the practical operation analysis of distribution systems. A modified complex load module was added at each bus so the distribution operator can mark a BESS (or PV, WT) at any bus as they like and implement simulation. The simulation results indicate that BESSs and DRs are crucial for decreasing RES curtailment and system operation costs. The positive effects of bidirectional power flow between the utility and the distribution system on RES curtailment and operation costs are illustrated. In addition, the adopted BESS model, excluding binary variables, was also validated. Furthermore, the effectiveness of the developed platform for day-ahead scheduling simulations is demonstrated. Compared to our previous work [19], our current paper incorporates the following new features: (1) the BESS model excludes unnecessary binary variables; (2) the utility grid can buy redundant electricity from the distribution system operator; and (3) additional voltage variation results obtained via the developed MATLAB/Simulink platform are presented.
The remainder of this paper is organized as follows. Section 2 introduces the proposed MILP model for distribution system optimization. In Section 3, the developed Simulink-based simulation platform is described. The simulation results of the modified IEEE 123 bus system are presented in Section 4, and Section 5 concludes the paper.
2. Mathematical Models for Optimization
This section describes the proposed mathematical models for distribution system optimization from the perspective of distribution system operators. The distribution system is penetrated by customer-owned WTs and PVs, and the operator buys the RES generation from customers. RESs may be curtailed when the load demand is low and BESSs cannot consume RES surplus power because of capacity limits. In this situation, the operator does not pay RES utilization fees, but the compensation of RES curtailments to customers. The operator purchases electricity from the utility grid and sells it to customers. Note that the distribution system operator can also sell redundant power to the utility grid. In addition, the operator implements DR and dispatches BESSs installed in the system to tackle RES uncertainty problems and facilitate energy management. The DR strategy is to use price signals to change the customer loads. Specifically, by decreasing customer load prices when power generation is redundant, customers will be motivated to increase load consumption, so power generation and consumption are balanced again, and vice versa.
2.1. The Objective Function
The total operation costs can be represented as follows:
2.2. The DR Constraints
The DR model can be represented as follows:
where Equation (11) calculates the customer load power after DR, Equation (12) indicates that only one DR level can be achieved in each hour, Equation (13) indicates that customers’ electricity expenses after DR cannot exceed the original expenses, and Equation (14) indicates that the implementation of DR cannot have a negative effect on customers’ power consumption.
2.3. The Generation and Consumption Constraint
Instant power generation and consumption should be equal:
where the total generated power must be equal to the power consumed at any time t.
2.4. The Power Exchange Constraints
Here, the bidirectional power flow between the utility and distribution system is considered as follows:
2.5. The BESS Charging/Discharging Behaviors and SOC Constraints
The BESS model is described as follows:
It can be seen that the BESS model excludes unnecessary binary variables; therefore, all BESS variables are continuous.
2.6. The RES Curtailment and Purchase Constraints
The values of RES curtailment and purchase are both non-negative:
The values of RES curtailment and purchase are both non-negative.
Objective function (1) and the corresponding constraints Equations (2)–(25) constitute the MILP problem. The detailed descriptions of the DR model and BESS model can be found in [9,18], respectively. The control variables for the optimization are DR variables , BESS variables and the power traded with the utility .
3. The Matlab/Simulink-Based Developed Simulation Platform
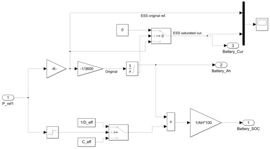
In this section, a simulation platform based on a modified IEEE 123 bus system penetrated by WTs, PVs, and BESSs is developed using the MATLAB/Simulink software. IEEE 123 represents a medium-sized medium-voltage distribution system. The data for the original IEEE 123 bus system were obtained from the IEEE PES official website [20], and the corresponding original MATLAB/Simulink models were retrieved from [21]. A topological diagram of the modified system is shown in Figure 1. In the MATLAB/Simulink model files, every original load module of the IEEE 123 bus system was replaced by the modified complex load module shown in Figure 2. The modified complex load module consists mainly of a PV module, WT module, BESS module, and customer load module. All modules were modeled as controlled current sources in Simulink. Figure 3 shows the BESS charging/discharging behaviors and SOC constraints shown in Equations (18)–(23).
Figure 1.
The topological diagram for the modified IEEE 123 bus system.
Figure 2.
Modified complex load module at each bus.
Figure 3.
The description module of the BESS charging/discharging behaviors and SOC constraints.
Although Figure 1 indicates specific locations of PVs, WTs, and BESSs, as shown in Table 1, the distribution operator can mark a BESS (or PV, WT) at any bus they like because of the modified complex load module added at each bus. Then, the operator inputs the corresponding optimization results into the simulation platform after running the optimization models Equations (1)–(25). If a bus contains only one type among the PV, WT, or BESS, the input operation data for the other two types becomes zero. Finally, the operator obtains the temporal simulation results (such as bus voltages) throughout the optimization horizon based on the developed platform. Therefore, it is convenient for the operator to test the effect of BESSs (also PVs and WTs) in different buses and quantities. The flow chart of the utilization of the optimization model and simulation platform is depicted in Figure 4. In this study, the proposed optimization problem is solved by Gurobi [22] on a PC with a 3.70 GHz i5-9600k CPU and 16 GB RAM, and Yalmip [23] is employed as the interface between Gurobi and MATLAB.
Table 1.
Locations and rated power of PVs, WTs, and BESSs.
Figure 4.
The flow chart of the utilization of the optimization model and simulation platform.
4. Case Study
The first subsection presents the optimization results of the models shown in Section 2, where two types of load profiles are considered in the modified IEEE 123 bus system. The effects of DR and BESSs on RES curtailment and operational costs are illustrated. The impact of whether the distribution system sells power to the utility is also analyzed. In addition, the adopted BESS model, which does not include binary variables, was validated. In the second subsection, the simulation results of the developed MATLAB/Simulink-based platform are presented, and the effectiveness of the platform for day-ahead scheduling simulations is demonstrated.
4.1. Optimization Results
Table 1 lists the locations and rated power of the PVs, WTs, and BESSs. The other necessary parameters for the BESSs are listed in Table 2. For the system parameters, the temporal variations in PVs and WTs can be found in [24]. The electricity market prices were taken from [25], which indicates the situation of Victoria, Australia, on 11 January 2021. Customer electricity prices before DR were obtained from [26]. The DR price levels are listed in Table 3 [9]. In addition, was set to 0.57 [27] and was set to 0.15 [28].
Table 2.
BESS parameters.
Table 3.
DR levels.
4.1.1. The Effects of DR and BESSs
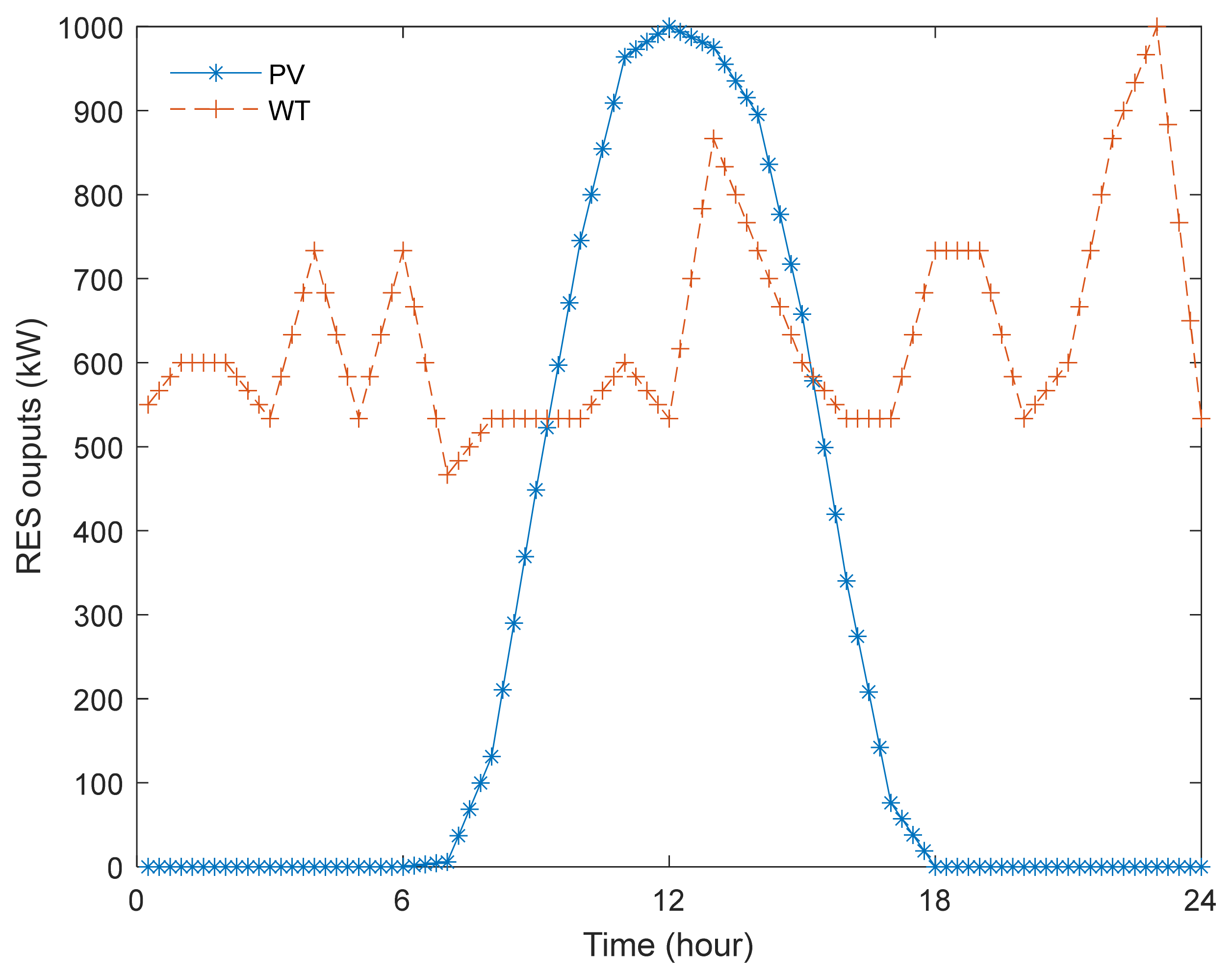
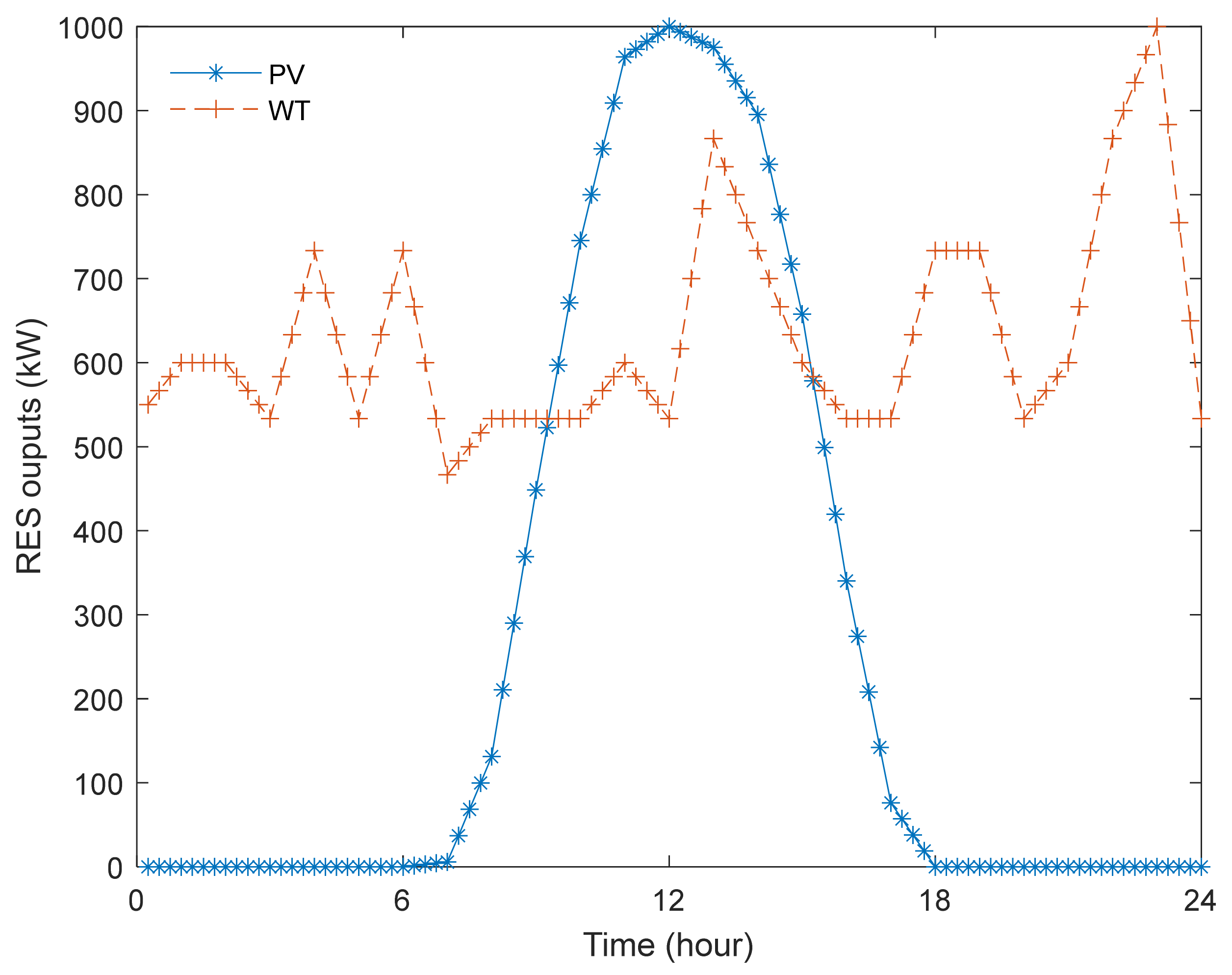
In this part, the effects of DR and BESSs on RES curtailment and operation costs are illustrated. Here, it is assumed that the distribution operator cannot sell electricity to the utility grid, which was also assumed in our previous study [19]. Figure 5 shows the PV and WT total output variations, which show a high-power output in the afternoon. Figure 6 and Figure 7 show the variations in load demand, real-time prices, and RES curtailment for two different types of load profiles, respectively. It is obvious that for both load profiles, DR decreases the RES curtailment via lower customer electricity prices during RES high-output periods. Therefore, DR facilitates RES utilization efficiency.
Figure 5.
PV and WT total output variations.
Figure 6.
Variations of load demand, real-time prices, and RES curtailment for load type A (the distribution operator cannot sell electricity to the utility grid).
Figure 7.
Variations of load demand, real-time prices, and RES curtailment for load type B (the distribution operator cannot sell electricity to the utility grid).
Two additional BESSs were added to the system (one at Bus 66 and another at Bus 85). With DR implementation, Figure 8 and Figure 9 show the comparison of BESS power variations and RES curtailments for load types A and B, respectively. As the quantity of BESSs increased, the RES curtailment for both load profiles decreased. Thus, it is demonstrated that BESSs can facilitate RES utilization efficiency.
Figure 8.
Variations of BESS power and RES curtailment for load type A (the distribution operator cannot sell electricity to the utility grid).
Figure 9.
Variations of BESS power and RES curtailment for load type B (the distribution operator cannot sell electricity to the utility grid).
The total operational costs calculated before DR (one BESS), after DR (one BESS), and after DR (three BESSs) are compared in Table 4. The costs after DR are all smaller than those before DR; therefore, the positive effect of DR on operation costs is demonstrated. In addition, the costs decreased as the quantity of BESSs increased, which indicates the positive effect of BESSs. It should be noted that negative costs indicate that the operator earns profits after scheduling.
Table 4.
Comparison of the total operation costs in terms of DR implementation and different quantities of BESSs (the distribution operator cannot sell electricity to the utility grid).
Overall, the positive effects of DR and BESSs on RES curtailment and operational costs are illustrated. Therefore, from the perspective of the distribution operator, DR implementation and BESS utilization are economically beneficial.
4.1.2. The Effect of Bi-Directional Power Flow between the Utility and the Distribution System
In this part, the bi-directional power flow between the utility and the distribution system was assumed, and was set to 0.6. Figure 10 and Figure 11 show the variations in load demand, real-time prices, and RES curtailment for load types A and B, respectively. Compared with the results of Figure 6 and Figure 7, the RES curtailments for both load types became zero (from the highest 600 kW to zero for type A and from the highest 400 kW to zero for type B), which indicates that the electricity sales to the utility decreased the RES curtailments to the largest extent. Similarly, compared to the results in Figure 8 and Figure 9, Figure 12 and Figure 13 also demonstrate the positive effects of the electricity sales to the utility on RES utilization.
Figure 10.
Variations of load demand, real-time prices, and RES curtailment for load type A (the distribution operator is able to sell electricity to the utility grid).
Figure 11.
Variations of load demand, real-time prices, and RES curtailment for load type B (the distribution operator is able to sell electricity to the utility grid).
Figure 12.
Variations of BESS power and RES curtailment for load type A (the distribution operator is able to sell electricity to the utility grid).
Figure 13.
Variations of BESS power and RES curtailment for load type B (the distribution operator is able to sell electricity to the utility grid).
In addition, the total operation costs that are calculated before DR (one BESS), after DR (one BESS), and after DR (three BESSs), when electricity sales to the utility are permitted, are shown in Table 5. The operation costs in Table 5 all decrease compared to the counterparts in Table 4, which indicates that the permission of bi-directional power flow between the utility and the distribution system reduced the distribution system operation costs.
Table 5.
Comparison of the total operation costs in terms of DR implementation and different quantities of BESSs (the distribution operator is able to sell electricity to the utility grid).
Overall, the positive effects of bidirectional power flow between the utility and the distribution system on RES curtailment and operation costs are illustrated. As RES penetration levels increase, these positive effects may become more noticeable. The interaction coordination between the utility and distribution system will be the subject of our future research.
4.1.3. The Validation of the BESS Model
In this part, the adopted BESS model excluding binary variables is validated. DR implementation, one BESS, and electricity sales to the utility are considered herein. Figure 14 depicts the BESS charging/discharging power variations for both load types A and B, indicating that, at most, one variable of and can be nonzero, and simultaneous charging and discharging never occur. This is because when the BESS total output is determined by Equation (15), simultaneous charging and discharging can never achieve the optimal operation cost according to Equation (9).
Figure 14.
BESS charging/discharging power variations: (a) load type A (b) load type B.
4.2. Simulation Results of the Developed Matlab/Simulink Platform
After optimization, the operator conducts a module simulation to check whether the scheduling decisions can be implemented without operational violation. The simulation results for the developed MATLAB/Simulink platform are presented in this subsection. DR implementation, one BESS, and electricity sales to the utility are considered. Note that the simulations under other conditions can be similarly completed by simply revising the parameters.
The MATLAB/Simulink simulation was implemented every 2 s, and the entire-day voltage variations at Buses 1, 71, 79, and 88 for load type A are shown in Figure 15. The voltages for the other buses exhibited similar variation trends and are omitted here for simplification. The permitted voltage range [0.9, 1.1] p.u., as shown in [29,30], was adopted here. The voltage variations were within the tolerance range at all times, which indicates that the scheduling decisions can be implemented without operational violation. Similar conclusions can be drawn from Figure 16, where the voltage variations for load type B are shown.

Figure 15.
Entire day voltage variations at Buses 1, 71, 79, and 88 for load type A.

Figure 16.
Entire day voltage variations at Buses 1, 71, 79, and 88 for load type B.
In addition, the average CPU time for these two simulations was only 652.87 s, which is sufficiently fast for the operator to formulate a day-ahead scheduling plan in reality. Thus, the effectiveness of the developed platform for day-ahead scheduling simulations is demonstrated.
Overall, DR implementation, BESS employment, and the permission of bidirectional power flow between the utility and the distribution system all led to decreasing RES curtailment and distribution system operation costs. Thus, the positive effects of DR implementation, BESS employment, and the permission of bidirectional power flow were demonstrated. It is worth noticing that the RES curtailments for both load types became zero (from the highest 600 kW to zero for type A and from the highest 400 kW to zero for type B) with the permission of bi-directional power flow. This indicates that the electricity sales to the utility decreased the RES curtailments to the largest extent. In addition, the BESS charging/discharging power variations cannot be simultaneously nonzero, which justified the adopted BESS model that excludes the binary variables. Finally, the effectiveness of the developed platform for day-ahead scheduling simulations is demonstrated, as the voltages were within the limit and the CPU time was short.
5. Conclusions
This paper proposes an optimization model that considers DR and BESSs and develops a simulation analysis platform representing a medium-sized distribution system with high penetration of RESs. First, BESSs and DR were deployed to minimize the total expenses of the distribution system operation. Second, a simulation platform based on a modified IEEE 123 bus system was developed via MATLAB/Simulink for practical day-ahead scheduling analysis of a distribution system with a high penetration of RESs. The simulation results indicate the positive effects of DR implementation, BESS employment, and the permission of bidirectional power flow between the utility and the distribution system on decreasing RES curtailment and distribution system operation costs. Specifically, the RES curtailments for both load types became zero (from the highest 600 kW to zero for type A and from the highest 400 kW to zero for type B) with the permission of bidirectional power flow. This indicates that the electricity sales to the utility decrease the RES curtailments to the largest extent. In addition, the BESS charging/discharging power variation results justified the adopted BESS model that excludes the binary variables. Finally, the effectiveness of the developed platform for day-ahead scheduling simulations was demonstrated.
One weakness of this study is the neglect of distribution system power flow. In future studies, the power flow formulation should be considered. Besides, as the operation of WTs will be affected by the system frequency, the frequency stability should also be verified. Furthermore, the optimal locations and corresponding number and rated powers of BESSs in the distribution system highly penetrated by RESs can be studied based on the proposed optimization method and simulation platform, considering the initial investment and maintenance of the BESSs.
Author Contributions
Conceptualization, X.Z. and S.C.; methodology, X.Z. and S.C.; software, X.Z.; validation, S.C.; formal analysis, X.Z.; investigation, Y.S.; resources, S.C.; data curation, X.Z. and Y.S.; writing—original draft preparation, X.Z. and S.C.; writing—review and editing, X.Z. and S.C.; visualization, X.Z. and Y.S.; supervision, S.C.; project administration, S.C.; funding acquisition, S.C. All authors have read and agreed to the published version of the manuscript.
Funding
This research was supported in part by the KEPCO Research Institute under the project entitled “A Research of Advanced Distribution Planning System for Mid-long term (R20DA16),” in part by Korea Institute of Energy Technology Evaluation and Planning (KETEP) grant funded by the Korea government (MOTIE) (No. 20191210301890), and in part by the Basic Research Program through the National Research Foundation of Korea (NRF) funded by the MSIT (No. 2020R1A4A1019405).
Institutional Review Board Statement
Not applicable.
Informed Consent Statement
Not applicable.
Data Availability Statement
Not applicable.
Conflicts of Interest
The authors declare no conflict of interest.
Abbreviations
| BESS | Battery energy storage system |
| DR | Demand response |
| MILP | Mixed-integer linear programming |
| PV | Photovoltaic panel |
| RES | Renewable energy sources |
| SOC | State of charge |
| UTIL | Utility |
| WT | Wind turbine |
| Sets and indexes | |
| The index of DR price levels | |
| The set of DR price levels | |
| The index of time intervals | |
| The set of time intervals | |
| Variables | |
| The total BESS degradation cost | |
| The total revenue of selling electricity to customers | |
| The total purchase cost for buying electricity from RESs | |
| The total penalty cost for curtailing RESs | |
| The total purchase cost for buying electricity from the utility | |
| F | The total operation costs |
| The BESS power | |
| The BESS rated power | |
| The BESS charging power | |
| The BESS discharging power | |
| All the loads in the distribution system at the time t before DR | |
| All the loads in the distribution system at the time t after DR | |
| The PV output | |
| The power bought from the RESs | |
| The power curtailment for the RESs | |
| The electricity power buying from the utility | |
| The electricity power sold to the utility | |
| The overall electricity power traded with the utility | |
| The WT output | |
| SOC level of the BESS at the time t (%) | |
| The binary decision of DR price level j at the time t | |
| Parameters | |
| The instant BESS degradation cost at the time t | |
| The instant price of buying electricity from the RESs at the time t | |
| The instant penalty cost of curtailing RESs at time t | |
| The instant price of buying electricity from the utility at time t | |
| The instant price of selling electricity to the utility at time t | |
| The BESS capacity | |
| The DR rate on the price level j | |
| The original price for customers before DR | |
| The SOC level of the BESS at the beginning of the scheduling horizon | |
| The SOC level of the BESS at the end of the scheduling horizon | |
| The maximum level of SOC (%) | |
| The minimum level of SOC (%) | |
| The price rate at the level j | |
| BESS discharging efficiency | |
| BESS charging efficiency | |
| The time interval (15 min herein) | |
| The ratio of to | |
References
- Kabak, M.; Dağdeviren, M. Prioritization of renewable energy sources for Turkey by using a hybrid MCDM methodology. Energy Convers. Manag. 2014, 79, 25–33. [Google Scholar] [CrossRef]
- Vasiyullah, S.F.S.; Bharathidasan, S.G. Profit Based Unit Commitment of Thermal Units with Renewable Energy and Electric Vehicles in Power Market. J. Electr. Eng. Technol. 2021, 16, 115–129. [Google Scholar] [CrossRef]
- Tazay, A.F.; Samy, M.M.; Barakat, S. A Techno-Economic Feasibility Analysis of an Autonomous Hybrid Renewable Energy Sources for University Building at Saudi Arabia. J. Electr. Eng. Technol. 2020, 15, 2519–2527. [Google Scholar] [CrossRef]
- Lian, J.; Zhang, Y.; Ma, C.; Yang, Y.; Chaima, E. A review on recent sizing methodologies of hybrid renewable energy systems. Energy Convers. Manag. 2019, 199, 112027. [Google Scholar] [CrossRef]
- Li, R.; Wang, W.; Wu, X.; Tang, F.; Chen, Z. Cooperative planning model of renewable energy sources and energy storage units in active distribution systems: A bi-level model and Pareto analysis. Energy 2019, 168, 30–42. [Google Scholar] [CrossRef]
- Brenna, M.; Foiadelli, F.; Longo, M.; Zaninelli, D. Improvement of Wind Energy Production through HVDC Systems. Energies 2017, 10, 157. [Google Scholar] [CrossRef] [Green Version]
- Parhizi, S.; Lotfi, H.; Khodaei, A.; Bahramirad, S. State of the Art in Research on Microgrids: A Review. IEEE Access 2015, 3, 890–925. [Google Scholar] [CrossRef]
- Abdalla, M.A.A.; Min, W.; Mohammed, O.A.A. Two-Stage Energy Management Strategy of EV and PV Integrated Smart Home to Minimize Electricity Cost and Flatten Power Load Profile. Energies 2020, 13, 6387. [Google Scholar] [CrossRef]
- Wang, B.; Zhang, C.; Dong, Z. Interval Optimization Based Coordination of Demand Response and Battery Energy Storage System Considering SoC Management in A Microgrid. IEEE Trans. Sustain. Energy 2020, 11, 2922–2931. [Google Scholar] [CrossRef]
- Tabatabaee, S.; Mortazavi, S.S.; Niknam, T. Stochastic scheduling of local distribution systems considering high penetration of plug-in electric vehicles and renewable energy sources. Energy 2017, 121, 480–490. [Google Scholar] [CrossRef]
- Ziadi, Z.; Taira, S.; Oshiro, M.; Funabashi, T. Optimal Power Scheduling for Smart Grids Considering Controllable Loads and High Penetration of Photovoltaic Generation. IEEE Trans. Smart Grid 2014, 5, 2350–2359. [Google Scholar] [CrossRef]
- Mohammadjafari, M.; Ebrahimi, R.; Parvin Darabad, V. Optimal Energy Management of a Microgrid Incorporating a Novel Efficient Demand Response and Battery Storage System. J. Electr. Eng. Technol. 2020, 15, 571–590. [Google Scholar] [CrossRef]
- Silva, V.A.; Aoki, A.R.; Lambert-Torres, G. Optimal Day-Ahead Scheduling of Microgrids with Battery Energy Storage System. Energies 2020, 13, 5188. [Google Scholar] [CrossRef]
- Chen, H.; Gao, L.; Zhang, Z.; Li, H. Optimal Energy Management Strategy for an Islanded Microgrid with Hybrid Energy Storage. J. Electr. Eng. Technol. 2021, 16, 1313–1325. [Google Scholar] [CrossRef]
- Talluri, G.; Lozito, G.M.; Grasso, F.; Iturrino Garcia, C.; Luchetta, A. Optimal Battery Energy Storage System Scheduling within Renewable Energy Communities. Energies 2021, 14, 8480. [Google Scholar] [CrossRef]
- Xing, Y.; Zhao, H.; Shen, Z.; Zhang, L.; Zhang, Z.; Li, Q.; Wu, S. Optimal Coordinated Energy Management in Active Distribution System with Battery Energy Storage and Price-Responsive Demand. Math. Probl. Eng. 2021, 2021, 6620550. [Google Scholar] [CrossRef]
- Kalantar-Neyestanaki, M.; Cherkaoui, R. Coordinating Distributed Energy Resources and Utility-Scale Battery Energy Storage System for Power Flexibility Provision Under Uncertainty. IEEE Trans. Sustain. Energy 2021, 12, 1853–1863. [Google Scholar] [CrossRef]
- Gill, S.; Kockar, I.; Ault, G.W. Dynamic Optimal Power Flow for Active Distribution Networks. IEEE Trans. Power Syst. 2014, 29, 121–131. [Google Scholar] [CrossRef] [Green Version]
- Zhang, X.; Son, Y.; Choi, S. Optimization of Flexible Resources for Distribution Systems with High Penetration of Renewable Energy Sources and Battery Energy Storage Systems. In Proceedings of the APAP 2021 Conference, Jeju, Korea, 11–14 October 2021. [Google Scholar]
- Group, I.P.A.D. IEEE PES AMPS DSAS Test Feeder Working Group. Available online: https://site.ieee.org/pes-testfeeders/resources/ (accessed on 1 July 2021).
- Dudgeon, G. Available online: https://www.mathworks.com/matlabcentral/fileexchange/66599-distribution-system-model-in-simscape-123-node-test-feeder (accessed on 1 July 2021).
- Gurobi. Available online: http://www.gurobi.com (accessed on 1 July 2021).
- Lofberg, J. YALMIP: A toolbox for modeling and optimization in MATLAB. In Proceedings of the 2004 IEEE International Conference on Robotics and Automation (IEEE Cat. No.04CH37508), Taipei, China, 2–4 September 2004; pp. 284–289. [Google Scholar]
- Choi, S. Practical Coordination Between Day-Ahead and Real-Time Optimization for Economic and Stable Operation of Distribution Systems. IEEE Trans. Power Syst. 2018, 33, 4475–4487. [Google Scholar] [CrossRef]
- AEMO. Available online: https://www.aemo.com.au/ (accessed on 1 July 2021).
- KEPCO. Available online: https://home.kepco.co.kr/kepco/EN/F/htmlView/ENFBHP00102.do?menuCd=EN060201 (accessed on 1 July 2021).
- Roy, R.; Jadhav, H.T. Optimal power flow solution of power system incorporating stochastic wind power using Gbest guided artificial bee colony algorithm. Int. J. Electr. Power Energy Syst. 2015, 64, 562–578. [Google Scholar] [CrossRef]
- Aparicio, N.; MacGill, I.; Rivier Abbad, J.; Beltran, H. Comparison of Wind Energy Support Policy and Electricity Market Design in Europe, the United States, and Australia. IEEE Trans. Sustain. Energy 2012, 3, 809–818. [Google Scholar] [CrossRef]
- Zhang, C.; Chen, H.; Ngan, H.; Liang, Z.; Guo, M.; Hua, D. Solution of reactive power optimisation including interval uncertainty using genetic algorithm. IET Gener. Transm. Distrib. 2017, 11, 3657–3664. [Google Scholar] [CrossRef]
- Zhang, X.; Son, Y.; Cheong, T.; Choi, S. Affine-arithmetic-based microgrid interval optimization considering uncertainty and battery energy storage system degradation. Energy 2022, 242, 123015. [Google Scholar] [CrossRef]
Publisher’s Note: MDPI stays neutral with regard to jurisdictional claims in published maps and institutional affiliations. |
© 2022 by the authors. Licensee MDPI, Basel, Switzerland. This article is an open access article distributed under the terms and conditions of the Creative Commons Attribution (CC BY) license (https://creativecommons.org/licenses/by/4.0/).

















