Next Article in Journal
A Two-Stage Decision-Making Method Based on WebGIS for Bulk Material Transportation of Hydropower Construction
Previous Article in Journal
Research on Straw-Based High-Quality Energy in China under the Background of Carbon Neutrality
 
 
Font Type:
Arial Georgia Verdana
Font Size:
Aa Aa Aa
Line Spacing:
Column Width:
Background:
Article

Artificial Neural Network and Regression Models for Predicting Intrusion of Non-Reacting Gases into Production Pipelines

by
Girma Tadesse Chala
1 and
Berihun Mamo Negash
2,*
1
Department of Mechanical (Well) Engineering, International College of Engineering and Management, P.O. Box 2511, CPO Seeb, Muscat 111, Oman
2
Department of Petroleum Engineering, Universiti Teknologi PETRONAS, Seri Iskandar 32610, Malaysia
*
Author to whom correspondence should be addressed.
Energies 2022, 15(5), 1725; https://doi.org/10.3390/en15051725
Submission received: 11 December 2021 / Revised: 4 January 2022 / Accepted: 14 January 2022 / Published: 25 February 2022

Abstract

Wax deposition and gelation of waxy crude oil in production pipelines are detrimental to crude oil transportation from offshore fields. A waxy crude oil forms intra-gel voids in pipelines under cooling mode, particularly below the pour point temperature. Consequently, intrusion of non-reacting gas into production pipelines has become a promising method to lessen the restart pressure required and clear the clogged gel. A trial-and-error method is currently employed to determine the required restart pressure and restart time in response to injected gas volume. However, this method is not always accurate and requires expert knowledge. In this study, predictive models based on an Artificial Neural Network (ANN) and multilinear regression are developed to predict restart pressure and time as a function of seabed temperature and non-reacting gas injected volume. The models’ outcomes are compared against experimental results available from the literature. The empirical models predicted the response variables with an absolute error of below 5% compared to the experimental studies. Thus, such models would allow accurate estimation of restart pressure, thereby improving transportation efficiency in offshore fields.

1. Introduction

The production of waxy crude oil at offshore fields has increased due to new oil field discoveries and depletion of onshore fields. The ambient temperature is a central factor in ensuring smooth production and transportation of waxy crude oil from these fields. Waxy crude oil usually contains high paraffin waxes up to 50% [1,2]. As a result, the fluid experiences a high pour point temperature, which is usually higher than the ambient temperature. The cold environment at the seabed makes wax precipitation unavoidable [3,4]. Wax precipitation usually takes place when the pressure and temperature of waxy crude oil drop to the point of onset of crystallization [5,6,7]. Continuous deposition of waxes during dynamic cooling could result in a sudden flow shutdown in the pipeline [8,9]. Deposition of waxes has increasingly become a major problem in the oil industry, leading to costly production and material loss [10,11]. Waxy crude oil gel exhibits yield stress that increases with further cooling and precipitation of waxes [12,13,14,15]. Laboratory investigation showed that temperature history, shear history, ageing, and composition were the four factors affecting the yield strength of waxy crude oil [16].
Kasumu et al. [17] observed the dependency of the wax precipitation temperature on the cooling rate with an opposite trend reported between them. Valinejad et al. [18] investigated the effects of operating factors such as inlet oil temperature, flow rate, temperature difference between the crude oil and the pipe wall, wax content, and time on wax deposition in waxy crude oil during dynamic cooling at the laminar flow region using the Taguchi experimental design method. They observed that the change in temperature between the crude oil and the surroundings had a significant effect on wax deposition compared to the flow rate, for which a small effect was noticed. It was also reported that higher wax content in waxy crude oil would lead to more wax deposited on the wall of pipelines.
Irani et al. [19] demonstrated how the crude oil of high pour point temperature can be handled during transportation. Treatments to reduce the pour point temperature of the sample are needed when reducing the restart pressure for ease of operations. There have been different techniques proposed to inhibit waxes prone to deposition to some level [20]. Wax inhibitor, internal coating with plastic, use of chemicals, insulation, pour point depressant, catalytic treatment, thermal treatment, and wax control polymers were among the few mechanisms used earlier to retard wax deposition. Hsu et al. [21] observed the dependence between the wax inhibitor and temperature. In an attempt to prevent wax deposition, Smith et al. [22] evidenced the higher cooling rate of waxy crude oil inside an insulated pipe under shutdown conditions, and this implied that prevention of wax precipitation would be almost impossible.
In alleviating problems related to transportation of waxy crude oil through cold seabed via pipelines at offshore fields, the study of the temperature and pressure profiles of the waxy crude oil was reported to be useful as it could save the use of expensive chemical treatments during restarting of flow [23,24]. Remarkably, thermal analysis could help to understand and develop control strategies alleviating flow problems [25,26,27]. Thermal shrinkage experienced during cooling of waxy crude oil produces an intra-gel void, and this reduces the strength of the gel structure [28,29,30]. On the other hand, flow assurance could be maintained by injecting non-reacting gas into production pipelines to ease the restarting of the pumping of waxy crude oil. In line with this, experiments conducted by Sulaiman et al. [31] showed that the injection of non-reacting gas could alleviate the restart flow problem and save costs on the usage of pumps. Nitrogen gas was utilized for the analysis as it is a less costly, non-corrosive, and oxygen-free gas. Two modes of restart, instantaneous and gradual, were applied and both showed positive results in easing the restart process. The need to investigate the effects of seabed temperature and injected gas volume on restart pressure and time is essential to understand the different phenomena of restarting conditions for flow assurances at offshore fields [18]. However, there have been no models available to predict restart pressure and time when injecting non-reacting gases into production pipelines. The objective of the current study was, therefore, to develop predictive models for restart pressure and restart time at the instance of injection of non-reacting gases into production pipelines following static cooling. This would help interrelate input factors with response variables. Moreover, the outcome of this study can be beneficial in estimating restart pressure and restart time in response to seabed temperature and injected volume at offshore fields.

2. Methodology

Experiments on the injection of non-reacting gas were conducted in earlier study using a flow loop rig that simulated transportation of waxy crude oil at offshore fields [31]. The flow loop rig replicated a reservoir and seabed at offshore fields using a crude oil tank equipped with a heater and water bath with chiller, respectively. Nitrogen gas was injected into a gelled crude oil cooled statically from a higher temperature above the wax appearance temperature to the lower seabed temperatures of 20 °C, 25 °C, and 30 °C. Four injected gas volumes (gas to crude oil volume ratio) ranging between 0 mL and 150 mL with different water bath temperatures were tested for restart pressure and restart time. Both gradual and instantaneous restart approaches were implemented to observe the influence of injecting non-reacting gas into production pipelines on the restarting of waxy crude oil. In the present study, two approaches, namely multilinear regression and artificial neural network modeling, are used to develop a predictive model for restart pressure and restart time. The data organization and optimization algorithms employed are specific for each approach, and the resulting models and analysis of the results are also distinct. Multiobjective optimizations have a wide application in the oil and gas industries. An example is the application of such algorithms for history matching purpose [32]. History matching is the act of adjusting reservoir parameters to calibrate reservoir models.

2.1. Modeling Approach I: Multilinear Regression

Table 1 and Table 2 present the training and validation data used to establish a functional relationship between (1) restart pressure and WBT and injected gas volume and (2) restart time WBT and injected gas volume. Each of the tables presents the ten experiments, of which one was used as a blind validation experiment. The remaining nine experiments were used to train a second order polynomial model with interaction.
The structure of a second order polynomial model is presented in Equation (1). The constant and the regression coefficients were determined by a least square regression. The performance of the regressed model was measured by the coefficient of determination (R_square) presented in Equation (2). R_square represents the scatter around the regression line. An R_square value of one indicates that the inputs have perfectly described the variability in the output. On the other hand, an R_square value very close to zero indicates that the inputs have no correlation with the output and that it is problematic to precisely predict the output.
The histogram of the residuals, which are calculated by differencing model output and actual data, was also plotted during the validation. The histogram was plotted together with an approximate Gaussian distribution plot defined by the mean and the standard deviation of the residuals. The plot may not necessarily have a predictive value. However, grouping the two plots allows determination of whether the residuals are randomly distributed or exhibit a trend. In cases where the histogram does not fit the approximated Gaussian distribution, the model has to be recalibrated to ensure that there are no (1) missing higher-order variable terms that explain a nonlinear pattern, (2) missing interaction between terms in the existing model, and (3) missing variables. On the other hand, perfectly modeled data exhibit a residual with a mean value of zero, indicating that the residuals were randomly distributed; hence, the model captured the dynamics of the data.
y = β 0 + j = 1 k β j x j + i < j k β i j x i x j + j = 1 k β j j x j 2 + ϵ .  
where
y   = output;
x i   a n d   x j   = inputs;
β 0 = a constant; and
β j ,   β i j ,   a n d   β j j   = regression coefficients.
R _ s q u a r e = 1     ( E r r o r   S u m   o f   s q u a r e s T o t a l   s u m   o f   s q u a r e   ) = 1   ( y i y i ^ )   ( y i y ¯ ^ )
where
y i = Experimental output;
y i ^ = Predicted output; and
y ¯ ^ = Mean of experimental output.

2.2. Modeling Approach II: Artificial Neural Network Modeling

The neural fitting tool was designed to select data, create, and train a neural network architecture, and evaluate its performance using the mean square error and regression analysis. In this study, one out of the ten experiments was kept for a blind validation, while the remaining nine were used to train the selected architecture. The training was based on a two-layer feed forward network shown in Figure 1. A two-layer feed-forward network with sigmoid hidden neurons and linear output neurons, can fit multidimensional mapping problems arbitrarily well given consistent data and enough neurons in its hidden layer. The network was trained by the Levenberg-Marquardt backpropagation algorithm.
The training of ANN model architecture was performed separately on instantaneous and gradual gas injection cases. Table 3 shows the input variables and output variables used to run the training network. The input and output data from all the experiments were concatenated to one large data set. As a result, the gradual gas injection experiment resulted in a total of 1988 rows of input and output data. Similarly, the instantaneous gas injection experiment resulted in a dataset with 836 rows, 3 input columns, and 1 output column.
A regression plot and performance plot were used to observe the accuracy between the simulated results and the experimental results based on the mean square error (MSE) (Equation (3)) and the coefficient of determination (R_square) value. The performance plot, where the mean square error value should be closer to zero value for better outcome difference, can be obtained from the set of input and target values. The regression value measures the correlation between the input and target values. In order to obtain a better outcome from the simulation process, the regression value, R_square was maintained at higher values for high accuracy results between the experiment and simulation methods.
M S E = 1 N i = 1 N ( y i y o ) 2
given,
y i = The actual output (the measured restart pressure);
y o = The output computed by the net (estimated restart pressure from the ANN); and
N = Number of inputs to the function.

3. Results and Discussion

In this study, two approaches were proposed to model restart pressure and restart time in both instantaneous and gradual modes of nitrogen gas injection. In the first approach, a training dataset that consisted of WBT and injected volume as input and restart pressure and restart time as output was prepared. Multilinear regression modelling that included interaction parameters of order two was employed to find two functional relationships. The relationships described the restart pressure and restart time as a function of the WBT and injected volume. As a result, Equations (4) and (5) were obtained for gradual gas injection case, and Equations (6) and (7) were obtained for instantaneous gas injection case.
Restart Pressure = 4.68244 0.176423 × W B T 0.00894462 × I n j _ V o l + 0.00235446 × W B T 2 +   0.00016 × W B T × I n j _ V o l + 0.0000122831 × I n j _ V o l 2
Restart time = 389.473 + 48.2538 × W B T 1.62423 I n j _ V o l 1.06508 W B T 2 + 0.022 × W B T × I n j _ V o l + 0.00442615 × I n j _ V o l 2
Restart Pressure = 3.03749 0.0804384 × W B T 0.00996699 × I n j _ V o l + 0.000868767 × W B T 2 + 0.000316 × W B T × I n j _ V o l 0.0000020411 × I n j _ V o l 2
Restart time = 33.6884 1.1726 × W B T + 0.578562 × I n j _ V o l + 0.0294521 × W B T 2 0.014 × W B T × I n j _ V o l 0.00158493 × I n j _ V o l 2
Table 4, Table 5, Table 6 and Table 7 present the analysis of variance (ANOVA) for restart pressure and restart time. The R_square statistic of the models of the gradual gas injection indicated that the model as fitted explained 98.944% and 65.4562% of the variability in restart pressure and restart time, respectively. Similarly, the R_square statistic of the models of the instantaneous gas injection indicated that the models as fitted explained 99.7243% and 64.5906% of the variability in restart pressure and restart time, respectively. The Durbin-Watson (DW) statistic tested the residuals to determine if there was any significant correlation based on the order in which they occurred in the data file. Since the p-value of all four models was greater than 5.0%, there was no indication of serial autocorrelation in the residuals at the 5.0% significance level. The coefficients with a p-value less than 0.05 were considered in the regression equation with 95% confidence level [33]. It was stated that coefficient with p-values less than 10% could also be considered in the model with 90% confidence limit [34].
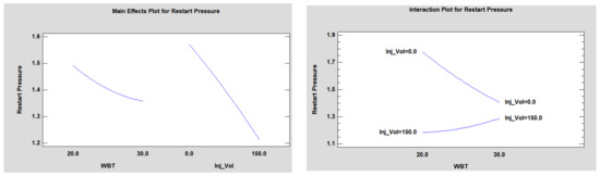
A main effect plot and interaction plot presented in Figure 2, Figure 3, Figure 4 and Figure 5 were used to examine differences between level means for the two factors. There is a main effect when different levels of a factor affect the response differently. A main effects plot graphs the response mean for each factor level connected by a line. In all the plots it can be observed that the patterns exhibited were statistically significant. The main effect plot for restart time indicated that there was an optimum WBT and injected gas volume.
A blind case was used to validate the developed equations of both gradual and instantaneous injection modes. It was found that the percentage relative error in restart pressure and restart time for the gradual mode of gas injection was 3.93% and 17.07%, respectively. On the other hand, the percentage relative errors of the instantaneous gas injection models were found to be 0.27% and 22.33% for restart pressure and restart time. Despite the large error encountered in the estimation of the restart time, the restart pressure was estimated with a reasonable accuracy.
In the second approach, a dataset that consisted of the WBT, injected gas volume, and time as input and restart pressure as output was set for both gradual and instantaneous gas injection cases. The dataset was used to train an artificial neural network architecture and explain restart pressure. A two-layer feed-forward network with sigmoid hidden neurons and linear output neurons (fitnet) was used for the multidimensional mapping problem. Given consistent data and enough neurons in its hidden layer a neural network model is a good estimator [35]. The network was trained with the Levenberg-Marquardt backpropagation algorithm. The input and output dataset were organized in such a way that one of the 10 experiments in each of the gradual and instantaneous gas injection cases was kept for blind validation of the trained neural network model.
In the case of gradual gas injection, the training of a two-layer neural network architecture with 10 neurons converged at epoch 64 with a mean square error of 0.013328 as presented in Figure 6. Furthermore, the residuals of the model obtained by differentiating model output and validation data, are plotted in Figure 7. It is observed that the residuals were normally distributed with a mean value of 0.098 and standard deviation of 0.1180. This whiteness test indicated the residuals did not emanate from the model but from errors encountered during the experiment, such as human error and observation error. A cross plot analysis presented in Figure 8 shows that the model did not overestimate or underestimate the observation. Moreover, the R2 value of 0.9506 indicated that the variables included in the model explained 95.06% of the observed variation. Finally, the observed and model output was plotted (Figure 9) in the same plot to compare the trend exhibited and the restart pressure. The restart pressure was obtained by reading the maximum point in the plot. As a result, the restart pressure determined by the model was 1.675 bar, while the experimental value was 1.812 bar. The error in the restart pressure was only 7.5%. Therefore, it is concluded that the proposed artificial neural network was able to predict the restart pressure with an acceptable accuracy.
In the case of instantaneous gas injection, the training of a two-layer neural network architecture with 10 neurons converged at epoch 100 with a mean square error of 0.01636, as presented in Figure 10. Furthermore, the residuals of the model obtained by differentiating model output and validation data, are plotted in Figure 11. It is observed that the residuals were normally distributed with a mean value of −0.0084 and standard deviation of 0.13. This whiteness test indicated the residuals did not emanate from the model but from errors encountered during experiment, such as human error and observation error. A cross plot analysis presented in Figure 12 shows that the model did not overestimate or underestimate the observation. Moreover, the R_square value of 0.9024 indicated that the variables included in the model explained 90.24% of the observed variation. Finally, a plot of observed and model output was plotted (Figure 13) in the same plot to compare the trend exhibited and the restart pressure. The restart pressure was obtained by reading the maximum point in the plot. As a result, the restart pressure determined by the model was 1.353 bar, while the experimental value is 1.465 bar. The relative error in the restart pressure was only 7.6%. Therefore, it is concluded that the proposed artificial neural network was able to predict the restart pressure with an acceptable accuracy. In general, this study is the first of its kind in intrusion of non-reacting gases studies. Future research in this area can improve the models by using advanced methods such as Monte Carlo Methods, linear Chain methods, and deep learning methods [36].

4. Conclusions

One of the flow assurance problems encountered during crude oil transport is the prevalence of waxes in crude oil, which significantly increases flow restart pressure and restart time. Intrusion of non-reacting gases before flow startup was projected to lessen the pumping power required to resume flow. However, determining the power requirement in the presence of non-reacting gases is a daunting task. Currently the less accurate “trial and error” method is used. In this study, predictive models for the intrusion of non-reacting gas into production pipeline were developed via ANN and multilinear regressions. The percent deviations between the predicted values and the experimental results were estimated to be below 5%, showing well fitted models. The models developed, particularly, would help predict restart pressure and restart time from the WBT and injected volume of non-reacting gases. In addition, the effects of main operating factors on response variables at offshore fields could be addressed, which would help alleviate flow assurance issues. In addition, insights on the effects of the interaction effects on the response variables would aid increasing the efficiency of waxy oil production at offshore fields.

Author Contributions

G.T.C.: planning, methodology, experiment, investigation, writing and reviewing; B.M.N.: planning, methodology, modelling, data curation, writing and reviewing. All authors have read and agreed to the published version of the manuscript.

Funding

The authors would like to express their gratitude to the Petroleum Research Fund (cost centre: 0153AB-A33) for providing the funding to conduct the research. The authors also acknowledge the support of the Institute of Hydrocarbon Recovery at Universiti Teknologi PETRONAS throughout the research period.

Institutional Review Board Statement

Not applicable.

Informed Consent Statement

Not applicable.

Data Availability Statement

Not applicable.

Conflicts of Interest

The authors declare that they have no known competing financial interests or personal relationships that could have appeared to influence the work reported in this paper.

References

  1. Ajienka, J.A.; Ikoku, C.U. The Effect of Temperature on the Rheology of Waxy Crude Oils; Society of Petroleum Engineers: Richardson, TX, USA, 1991. [Google Scholar]
  2. Ragunathan, T.; Husin, H.; Wood, C.D. Wax Formation Mechanisms, Wax Chemical Inhibitors and Factors Affecting Chemical Inhibition. Appl. Sci. 2020, 10, 479. [Google Scholar] [CrossRef]
  3. Chala, G.T.; Sulaiman, S.A.; Japper-Jaafar, A.; Abdullah, W.A.K.W. Temporal variation of voids in waxy crude oil gel in the presence of temperature gradient. Chem. Eng. Commun. 2019, 207, 1403–1414. [Google Scholar] [CrossRef]
  4. Shafquet, A.; Ismail, I.; Japper-Jaafar, A.; Sulaiman, S.A.; Chala, G. Estimation of gas void formation in statically cooled waxy crude oil using online capacitance measurement. Int. J. Multiph. Flow 2015, 75, 257–266. [Google Scholar] [CrossRef]
  5. Sánchez-Minero, F.; Sánchez-Reyna, G.; Ancheyta, J.; Marroquin, G. Comparison of correlations based on API gravity for predicting viscosity of crude oils. Fuel 2014, 138, 193–199. [Google Scholar] [CrossRef]
  6. Sun, H.; Lei, X.; Shen, B.; Zhang, H.; Liu, J.; Li, G.; Wu, D. Rheological properties and viscosity reduction of South China Sea crude oil. J. Energy Chem. 2018, 27, 1198–1207. [Google Scholar] [CrossRef]
  7. Van Der Geest, C.; Guersoni, V.C.B.; Merino-Garcia, D.; Bannwart, A.C. Rheological study under simple shear of six gelled waxy crude oils. J. Non-Newton. Fluid Mech. 2017, 247, 188–206. [Google Scholar] [CrossRef]
  8. Sulaiman, S.A.; Chala, G.T.; Zainur, M.Z. Experimental investigation of compressibility of waxy crude oil subjected to static cooling. J. Pet. Sci. Eng. 2019, 182, 106378. [Google Scholar] [CrossRef]
  9. Thuc, P.D.; Bich, H.V.; Son, T.C.; Hoe, L.D.; Vygovskoy, V.P. The Problem in Transportation of High Waxy Crude Oils Through Submarine Pipelines at JV Vietsovpetro Oil Fields, Offshore Vietnam. J. Can. Pet. Technol. 2003, 42, 233–241. [Google Scholar] [CrossRef]
  10. Coutinho, J.; Pauly, J.; Daridon, J.-L. A thermodynamic model to predict wax formation in petroleum fluids. Braz. J. Chem. Eng. 2001, 18, 411–422. [Google Scholar] [CrossRef]
  11. Bao, Y.; Zhang, J. Restart behavior of gelled waxy crude oil pipeline based on an elasto-viscoplastic thixotropic model: A numerical study. J. Non-Newton. Fluid Mech. 2020, 284, 104377. [Google Scholar] [CrossRef]
  12. Chala, G.; Sulaiman, S.A.; Japper-Jaafar, A. Flow start-up and transportation of waxy crude oil in pipelines—A review. J. Non-Newton. Fluid Mech. 2018, 251, 69–87. [Google Scholar] [CrossRef]
  13. Li, C.; Yang, Q.; Lin, M. Effects of stress and oscillatory frequency on the structural properties of Daqing gelled crude oil at different temperatures. J. Pet. Sci. Eng. 2009, 65, 167–170. [Google Scholar] [CrossRef]
  14. Pannu, J.K.; Sariman, M.Z. Yield Stress Measurement and Thixotropic Behaviour of Waxy Crude Oil from the Malay Basin. In Proceedings of the International Petroleum Technology Conference, Beijing, China, 26–28 March 2013. [Google Scholar]
  15. Li, H.; Li, Z.; Xie, Y.; Guo, W.; Huang, Q.; Chen, C.; Ma, C.; Xu, M.; Han, S.; Zhang, J. Impacts of shear and thermal histories on the stability of waxy crude oil flowability improvement by electric treatments. J. Pet. Sci. Eng. 2021, 204, 108764. [Google Scholar] [CrossRef]
  16. Hou, L.; Zhang, J.-J. Viscoelasticity of gelled waxy crude oil. J. Cent. South Univ. Technol. 2007, 14, 414–417. [Google Scholar] [CrossRef]
  17. Kasumu, A.S.; Arumugam, S.; Mehrotra, A.K. Effect of cooling rate on the wax precipitation temperature of “waxy” mixtures. Fuel 2013, 103, 1144–1147. [Google Scholar] [CrossRef]
  18. Valinejad, R.; Nazar, A.R.S. An experimental design approach for investigating the effects of operating factors on the wax deposition in pipelines. Fuel 2013, 106, 843–850. [Google Scholar] [CrossRef]
  19. Irani, C.; Zajac, J. Handling of High Pour Point West African Crude Oils. J. Pet. Technol. 1982, 34, 289–298. [Google Scholar] [CrossRef]
  20. Taraneh, J.B.; Rahmatollah, G.; Hassan, A.; Alireza, D. Effect of wax inhibitors on pour point and rheological properties of Iranian waxy crude oil. Fuel Process. Technol. 2008, 89, 973–977. [Google Scholar] [CrossRef]
  21. Hsu, J.J.C.; Santamaria, M.M.; Brubaker, J.P.; Hawker, P. Wax Deposition and Gel Strength of Waxy Live Crudes. In Proceedings of the Offshore Technology Conference, Houston, TX, USA, 2–5 May 1994. [Google Scholar]
  22. Smith, P.B.; Ramsden, R.M.J. The Prediction of Oil Gelation in Submarine Pipelines and The Pressure Required For Restarting Flow. In Proceedings of the SPE European Petroleum Conference, London, UK, 24–27 October 1978. [Google Scholar]
  23. Bomba, J.G. Offshore Pipeline Transport of Waxy Crude Oils. In Proceedings of the Offshore South East Asia Show, Singapore, 28–31 January 1986. [Google Scholar]
  24. Sarkar, B.; Bhattacharya, A. Transportation of Waxy Crude Through Pipeline Systems: Analysis of Some Critical Design Parameters. In Proceedings of the First International Offshore and Polar Engineering Conference, Edinburgh, UK, 11–16 August 1991. [Google Scholar]
  25. Wang, Z.; Xu, Y.; Zhao, Y.; Li, Z.; Liu, Y.; Hong, J. Role of Shearing Dispersion and Stripping in Wax Deposition in Crude Oil Pipelines. Energies 2019, 12, 4325. [Google Scholar] [CrossRef]
  26. Zougari, M.I. Shear driven crude oil wax deposition evaluation. J. Pet. Sci. Eng. 2010, 70, 28–34. [Google Scholar] [CrossRef]
  27. Seyyedattar, M.; Zendehboudi, S.; Butt, S. Technical and Non-technical Challenges of Development of Offshore Petroleum Reservoirs: Characterization and Production. Nat. Resour. Res. 2020, 29, 2147–2189. [Google Scholar] [CrossRef]
  28. Chala, G.; Sulaiman, S.A.; Japper-Jaafar, A.; Abdullah, W.A.K.W.; Mokhtar, M.M.M. Gas void formation in statically cooled waxy crude oil. Int. J. Therm. Sci. 2014, 86, 41–47. [Google Scholar] [CrossRef]
  29. Chala, G.T.; Sulaiman, S.A.; Japper-Jaafar, A.; Abdullah, W.A.K.W. Effects of cooling regime on the formation of voids in statically cooled waxy crude oil. Int. J. Multiph. Flow 2015, 77, 187–195. [Google Scholar] [CrossRef]
  30. Chala, G.T.; Sulaiman, S.A.; Japper-Jaafar, A.; Abdullah, W.A.K.W. Impacts of Cooling Rates on Voids in Waxy Crude Oil under Quiescent Cooling Mode. Appl. Mech. Mater. 2015, 799–800, 62–66. [Google Scholar] [CrossRef]
  31. Sulaiman, S.A.; Biga, B.K.; Chala, G. Injection of non-reacting gas into production pipelines to ease restart pumping of waxy crude oil. J. Pet. Sci. Eng. 2017, 152, 549–554. [Google Scholar] [CrossRef]
  32. Negash, B.M.; Ayoub, M.A.; Jufar, S.R.; Robert, A.J. History Matching Using Proxy Modeling and Multiobjective Optimizations. In ICIPEG 2016; Springer: Singapore, 2017; pp. 3–16. [Google Scholar]
  33. Montgomery, D.C. Design and analysis of experiment, 5th ed.; Wiley Inc.: New York, NY, USA, 1997. [Google Scholar]
  34. Liu, J.; Hu, H.; Xu, J.; Wen, Y. Optimizing enzymatic pretreatment of recycled fiber for improving its draining ability using response surface methodology. BioResources 2012, 7, 2121–2140. [Google Scholar] [CrossRef][Green Version]
  35. Negash, B.M.; Yaw, A.D. Artificial neural network based production forecasting for a hydrocarbon reservoir under water injection. Pet. Explor. Dev. 2020, 47, 383–392. [Google Scholar] [CrossRef]
  36. Cetnar, J.; Stanisz, P.; Oettingen, M. Linear Chain Method for Numerical Modelling of Burnup Systems. Energies 2021, 14, 1520. [Google Scholar] [CrossRef]
Figure 1. The two-layer feed-forward network, Source: MATLAB R2018a software.
Figure 1. The two-layer feed-forward network, Source: MATLAB R2018a software.
Energies 15 01725 g001
Figure 2. Main effect and interaction plots for the restart pressure during the gradual injection.
Figure 2. Main effect and interaction plots for the restart pressure during the gradual injection.
Energies 15 01725 g002
Figure 3. Main effect and interaction plots for the restart time during the gradual injection.
Figure 3. Main effect and interaction plots for the restart time during the gradual injection.
Energies 15 01725 g003
Figure 4. Main effect and interaction plots for the restart pressure during the instantaneous injection.
Figure 4. Main effect and interaction plots for the restart pressure during the instantaneous injection.
Energies 15 01725 g004
Figure 5. Main effect and interaction plots for the restart time during the instantaneous injection.
Figure 5. Main effect and interaction plots for the restart time during the instantaneous injection.
Energies 15 01725 g005
Figure 6. Number of epochs vs. mean square error for the gradual gas injection model.
Figure 6. Number of epochs vs. mean square error for the gradual gas injection model.
Energies 15 01725 g006
Figure 7. Histogram of residuals for the gradual gas injection model.
Figure 7. Histogram of residuals for the gradual gas injection model.
Energies 15 01725 g007
Figure 8. Cross plot of model output and observation for the gradual gas injection case.
Figure 8. Cross plot of model output and observation for the gradual gas injection case.
Energies 15 01725 g008
Figure 9. Comparison of the ANN model output and observation for the gradual gas injection experiment.
Figure 9. Comparison of the ANN model output and observation for the gradual gas injection experiment.
Energies 15 01725 g009
Figure 10. Number of epochs vs. mean square error for the instantaneous gas injection model.
Figure 10. Number of epochs vs. mean square error for the instantaneous gas injection model.
Energies 15 01725 g010
Figure 11. Histogram of residuals for the instantaneous gas injection model.
Figure 11. Histogram of residuals for the instantaneous gas injection model.
Energies 15 01725 g011
Figure 12. Crossplot of model output and observation for the instantaneous gas injection case.
Figure 12. Crossplot of model output and observation for the instantaneous gas injection case.
Energies 15 01725 g012
Figure 13. Comparison of the ANN model output and observation for the instantaneous gas injection case.
Figure 13. Comparison of the ANN model output and observation for the instantaneous gas injection case.
Energies 15 01725 g013
Table 1. Summary of the restart pressure and restart time of the gradual gas injection experiment.
Table 1. Summary of the restart pressure and restart time of the gradual gas injection experiment.
InputsOutputs
Experiment No.WBT (°C)Injected Volume (mL)Restart Pressure (Bar)Restart Time (s)Data Type
13001.4986Training
22501.812177Validation
32002.077136Training
430501.35176Training
525501.49685Training
620501.858115Training
72501.789185Training
825501.49685Training
9251001.396108Training
10251501.2783Training
Table 2. Summary of the restart pressure and restart time of the instantaneous gas injection experiment.
Table 2. Summary of the restart pressure and restart time of the instantaneous gas injection experiment.
InputsOutputs
ExperimentWBT (°C)Injected Volume (mL)Restart Pressure (Bar)Restart Time (s)Data Type
13001.41526Training
22501.56321Training
32001.78523Training
430501.36828Training
525501.46537Validation
620501.5832Training
72501.56321Training
825501.46537Training
9251001.35625Training
10251501.20923Training
Table 3. Artificial Neural Network (ANN) input and output variables.
Table 3. Artificial Neural Network (ANN) input and output variables.
VariablesSymbol
Input Variables
Water bath temperature W B T
Nitrogen gas injection flow rateInj_Vol
Output Variable
Restart pressureP
Restart timet
Table 4. Analysis of Variance for the restart pressure of the gradual injection model.
Table 4. Analysis of Variance for the restart pressure of the gradual injection model.
SourceSum of SquaresDfMean SquareF-Ratiop-Value
A: WBT0.043617810.043617821.640.0187
B: Inj_Vol0.14216310.14216370.540.0035
AA0.0059656810.005965682.960.1838
AB0.001610.00160.790.4386
BB0.0079087210.007908723.920.1419
Total error0.0060464830.00201549
Total (corr.)0.5725828
Table 5. Analysis of Variance for the restart time of the gradual injection model.
Table 5. Analysis of Variance for the restart time of the gradual injection model.
SourceSum of SquaresDfMean SquareF-Ratiop-Value
A: WBT224.451224.450.200.6878
B: Inj_Vol2487.0212487.022.170.2368
AA1220.7811220.781.070.3776
AB30.25130.250.030.8812
BB1026.9411026.940.900.4133
Total error3431.6631143.89
Total (corr.)9934.228
Table 6. Analysis of Variance for the restart pressure of the instantaneous pressure.
Table 6. Analysis of Variance for the restart pressure of the instantaneous pressure.
SourceSum of SquaresDfMean SquareF-Ratiop-Value
A: WBT0.003537810.003537817.290.0253
B: Inj_Vol0.093437410.0934374456.710.0002
AA0.00086630810.0008663084.230.1318
AB0.00624110.00624130.510.0117
BB0.00019495110.0001949510.950.4010
Total error0.00061376730.000204589
Total (corr.)0.2225868
Table 7. Analysis of Variance for the restart time of the instantaneous pressure.
Table 7. Analysis of Variance for the restart time of the instantaneous pressure.
SourceSum of SquaresDfMean SquareF-Ratiop-Value
A: WBT11.25111.250.420.5652
B: Inj_Vol1.3975711.397570.050.8349
AA0.99562810.9956280.040.8602
AB12.25112.250.450.5495
BB117.5491117.5494.340.1286
Total error81.2842327.0947
Total (corr.)229.5568
Publisher’s Note: MDPI stays neutral with regard to jurisdictional claims in published maps and institutional affiliations.

Share and Cite

MDPI and ACS Style

Chala, G.T.; Negash, B.M. Artificial Neural Network and Regression Models for Predicting Intrusion of Non-Reacting Gases into Production Pipelines. Energies 2022, 15, 1725. https://doi.org/10.3390/en15051725

AMA Style

Chala GT, Negash BM. Artificial Neural Network and Regression Models for Predicting Intrusion of Non-Reacting Gases into Production Pipelines. Energies. 2022; 15(5):1725. https://doi.org/10.3390/en15051725

Chicago/Turabian Style

Chala, Girma Tadesse, and Berihun Mamo Negash. 2022. "Artificial Neural Network and Regression Models for Predicting Intrusion of Non-Reacting Gases into Production Pipelines" Energies 15, no. 5: 1725. https://doi.org/10.3390/en15051725

APA Style

Chala, G. T., & Negash, B. M. (2022). Artificial Neural Network and Regression Models for Predicting Intrusion of Non-Reacting Gases into Production Pipelines. Energies, 15(5), 1725. https://doi.org/10.3390/en15051725

Note that from the first issue of 2016, this journal uses article numbers instead of page numbers. See further details here.

Article Metrics

Back to TopTop