Next Article in Journal
Application of Multilayer Extreme Learning Machine for Efficient Building Energy Prediction
Next Article in Special Issue
Fault Diagnosis Techniques for Nuclear Power Plants: A Review from the Artificial Intelligence Perspective
Previous Article in Journal
Research on Vibration Data-Driven Fault Diagnosis for Iron Core Looseness of Saturable Reactor in UHVDC Thyristor Valve Based on CVAE-GAN and Multimodal Feature Integrated CNN
Previous Article in Special Issue
Uncertainty Propagation of Fission Product Yields from Uranium and Plutonium in Pebble-Bed HTGR Burnup Calculation
 
 
Font Type:
Arial Georgia Verdana
Font Size:
Aa Aa Aa
Line Spacing:
Column Width:
Background:
Article

Nuclear Data Sensitivity and Uncertainty Study for the Pressurized Water Reactor (PWR) Benchmark Using RMC and SCALE

1
School of Nuclear Science and Engineering, North China Electric Power University, Beijing 102206, China
2
Institute of Nuclear and New Energy Technology, Tsinghua University, Beijing 100084, China
*
Author to whom correspondence should be addressed.
Energies 2022, 15(24), 9511; https://doi.org/10.3390/en15249511
Submission received: 11 October 2022 / Revised: 3 December 2022 / Accepted: 7 December 2022 / Published: 15 December 2022
(This article belongs to the Special Issue Mathematics and Computational Methods in Nuclear Energy Technology)

Abstract

In order to improve the safety and economy of nuclear reactors, it is necessary to analyze the sensitivity and uncertainty (S/U) of the nuclear data. The capabilities of S/U analysis has been developed in the Reactor Monte Carlo code RMC, using the iterated fission probability (IFP) method and the superhistory method. In this paper, the S/U capabilities of RMC are applied to a typical PWR benchmark B&W’s Core XI, and compared with the multigroup and continuous-energy S/U capabilities in the SCALE code system. The S/U results of the RMC-IFP method and the RMC-superhistory method are compared with TSUNAMI-CE/MG in SCALE. The sensitivity results and the uncertainty results of major nuclides that contribute a lot to the uncertainties in keff are in good agreement in both RMC and SCALE. The RMC-superhistory method has the same precision as the IFP method, but it reduces the memory footprint by more than 95% and only doubles the running time. The superhistory method has obvious advantages when there are many nuclides and reaction types to be analyzed. In addition, the total uncertainties in the keff of the first-order uncertainty quantification method are compared with the stochastic sampling method, and the maximum relative deviation of total uncertainties in the keff is 8.53%. Verification shows that the capabilities of S/U analysis developed in the RMC code has good accuracy.

1. Introduction

Neutron transport problem solution methods in reactor physical analysis can be divided into the deterministic method and the Monte Carlo (MC) method. Compared with the deterministic method, the Monte Carlo method has the advantages of fewer approximations to deal with three-dimensional complex geometric models and is suitable for complex geometric models. However, the calculation accuracy of the Monte Carlo is dependent on the number of simulated particles. In the early days, due to the high cost of computers, the Monte Carlo method was mainly used as a supplement to the deterministic method. With the development of computational tools, the Monte Carlo method is used more widely. Therefore, the validations and comparisons of the Monte Carlo codes are important.
A lot of research work has been carried out for the MC-based code-to-code and code-to-experiment validations and comparisons. D. Chersola compared Serpent 2 and MCNP6 for the evaluation of some important nuclear parameters in different positions of the LR-0 reactor mock-up [1]. Shichang Liu compared the deterministic codes DRAGON and DONJON with the Monte Carlo code RMC for the criticality and burnup-dependent neutronics of the JRR-3M plate-type research reactor [2,3]. Daniel J. Kelly III compared the MC21/CTF solution for VERA Core Physical Benchmark Progression problem 6 with the MC21/COBRA-IE and VERA solutions [4]. Jaakko Leppänen used the experimental measurement results of the MIT BEAVRS benchmark for the validation of the Serpent-ARES code sequence [5].
At present, the codes with the capabilities of sensitivity and uncertainty analysis mainly include MCNP6 [6] developed by the Los Alamos National Laboratory in the United States, SCALE [7] developed by the Oak Ridge National Laboratory in the United States, MONK10 [8] developed by the Answering Software Center in the United Kingdom, and SERPENT2 [9] developed by the Finland National Technology Research Center, etc.
The reactor Monte Carlo analysis code RMC [10] developed by the Department of Engineering Physics of Tsinghua University is capable of handling complex geometric structures, describing complex spectra and materials using continuous-energy point cross-sections, calculating the eigenvalues and eigenfunctions of critical problems, on-the-fly crosssection treatment [11], and sensitivity and uncertainty analysis. The SCALE code system developed by the Oak Ridge National Laboratory [12] is widely used in criticality safety, reactor physics, shielding, sensitivity and uncertainty analysis. It is a modular code system in which the control module can call each function module in a specified order to accomplish a specific task.
Sensitivity analysis is a specified quantity describing the extent to which a change in a parameter affects the calculation results, as evaluated by the sensitivity coefficients [13]. By performing sensitivity analysis on each parameter of the system, important nuclear data (data with large sensitivity coefficients) can be obtained. In practical applications, the parameters that have the most effect on the output results can be separated from the many input parameters. This makes system analysis easier and makes sure that the output results are correct.
Uncertainty analysis methods mainly include the first-order uncertainty quantification method and the stochastic sampling method. The sensitivity coefficients are the basis of the first-order uncertainty quantification method [14]. In the Monte Carlo codes, solving the sensitivity coefficients has the problem of a large memory footprint, which is proportional to the number of particles simulated in each generation and the number of responses for sensitivity analysis [15,16]. Due to memory limitations, it is difficult to reduce the uncertainty of sensitivity statistics by increasing the number of particles. Uncertainty can be determined by the sandwich rule r y 2 = S V r S T [14]. This method depends on sensitivity coefficients. If the sensitivity coefficients can be calculated efficiently, the uncertainties of the responses caused by the uncertainties of each nuclear dat can be given with this equation. The stochastic sampling method has a serious time-consuming problem. Generally, it can only analyze the total uncertainty of the calculation results caused by all the perturbed nuclear data at one time. If it is necessary to analyze the uncertainty of the calculation results caused by the uncertainty of each parameter in turn, each parameter should be perturbed and calculated separately.
The reactor physical design mostly adopts the best estimate technology, and its calculation results are affected by engineering uncertainties such as fuel manufacturing tolerance, calculation uncertainties such as calculation model approximation, and phenomenon uncertainties such as densification and rod bending. Uncertainties in nuclear data such as microscopic cross-sections due to measurement errors and deviations in their evaluation model parameters are one of the important sources of computational uncertainties [17].
In this paper, the RMC code and the SCALE 6.2.1 code are used to analyze the sensitivity and uncertainty of nuclear data for the PWR benchmark [18] in the ICSBEP (International Handbook of Evaluated Criticality Safety Benchmark Experiences), and the calculation results of the sensitivity and uncertainty of RMC and SCALE are compared. The IFP method and the superhistory method in the RMC are used to calculate sensitivity. The TSUNAMI-3D-K5 module and the SAMPLER module in the SCALE code system are used to calculate the uncertainty caused by nuclear data.
In the next section, the Monte Carlo method, the first-order uncertainty quantification method, and the stochastic sampling method are introduced. The details of the benchmark are introduced in Section 3. The sensitivity and uncertainty results calculated by the RMC code and the SCALE code are presented in Section 4. The conclusions are presented in Section 5.

2. Methodology

2.1. Monte Carlo Method

The essence of the Monte Carlo particle transport simulation method is to establish the real movement history of a single particle in a system [19]. The movement history of particles is a random process. The spatial position, initial movement direction, and energy of particles are random variables. Furthermore, the distance from the particle to the next collision point, the type of collision, and the result of the collision are also random processes. The simulation history of a single particle roughly includes the following steps:
  • Stochastically sampling the spatial position, movement direction, and energy generated by particles;
  • Stochastically sampling the distance from the particle to the next collision point, and moving the particle to the collision point;
  • Sampling the collision reaction type. If the particle is not killed (the particle is absorbed or leaves the whole system), the new movement direction and energy are randomly selected according to the reaction type. If secondary particles are generated, they will still be moved using the same method.
There are two main methods to calculate uncertainty by the Monte Carlo method, which are the first-order uncertainty quantification method and the stochastic sampling method.

2.2. The First-Order Uncertainty Quantification Method

The response y can be expressed as a function of the nuclear data x = ( x 1 , , x n ) :
y = f ( x 1 , , x n )
Because of the uncertainty of the nuclear data ( x 1 , , x n ) , the nominal value of the nuclear data is x 0 = ( x 1 0 , , x n 0 ) , and the error is δ x 1 , , δ x n . Therefore, Equation (1) can be expressed as:
y = f ( x 1 0 + δ x 1 , , x n 0 + δ x n )
The first-order Taylor expansion of response y near the nominal value x 0 of the nuclear data is as follows:
y = f x 0 + i = 1 n f x i x 0 δ x i
Suppose the nuclear data ( x 1 , , x n ) follows the joint probability density function p ( x 1 , , x n ) [9], then the expected value of this nuclear data is defined as:
E ( x i ) = x i 0
i = 1 , , n , n is the total number of nuclear data. The variance of the nuclear data is defined as:
var ( x i ) = σ x i 2 = x i x i 0 2 p ( x 1 , , x n ) d x 1 d x n
The covariance of the nuclear data is defined as:
cov ( x i , x j ) = x i x i 0 x j x j 0 p x i , , x n d x 1 d x n
The expected value of response y is defined as:
E ( y ) = i = 1 n f x i x 0 ( x i x i 0 ) p ( x 1 , , x n ) d x 1 d x n + f x 0 = f x 0
The variance of response y is defined as:
var ( y ) = σ y 2 = E ( y E ( y ) 2 ) = ( i = 1 n f x i x 0 δ x i ) 2 p ( x 1 , , x n ) d x 1 d x n = i = 1 n f x i x 0 2 var ( x i ) + 2 i = 1 n f x i x 0 f x y x 0 cov ( x i , x j )
Equation (8) can be expressed as:
r y 2 = ( σ y y ) 2 = i = 1 n ( ( x i y f x i ) x 0 ) 2 ( σ x i x i ) 2 + 2 i j n ( x i y f x i ) x 0 ( ( x j y f x j ) x 0 cov ( x i , x j ) x i x j = i = 1 n ( S x i y r x i ) 2 + 2 i j n S x i y S x j y r cov ( x i , x j ) = S V r S T
S x i y = ( x i y f x i ) x 0 is the sensitivity coefficient, S = ( S x 1 y , , S x n y ) is the sensitivity coefficient vector, and V r is the relative covariance matrix corresponding to the nuclear data.
Equation (9) is the sandwich rule. This method can give the uncertainty of the response caused by the uncertainty of each nuclear data, but it depends on the calculation results of the sensitivity coefficients. The sensitivity coefficients are generally obtained by solving the perturbation equation. The more responses there are, the more equations there are to be solved, resulting in a large memory footprint. Therefore, the sandwich rule loses its advantage when there are too many responses. The sensitivity analysis methods in RMC are the IFP method and the superhistory method [20]. The memory footprint of the IFP method is proportional to the number of particles simulated per generation. In the superhistory method, the source perturbation effects are estimated by tracking the source particles and their progenies over super-generations within a single particle history [21]. The memory occupation of the method depends on the expected value of fission neutrons produced by a neutron history rather than being proportional to the number of particles per generation, and thus the method can significantly reduce the memory footprint.

2.3. Stochastic Sampling Method

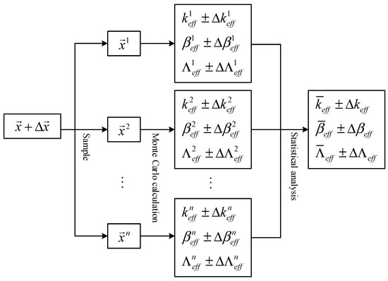
Figure 1 is the flow chart of the stochastic sampling method. Firstly, samples are randomly sampled based on the uncertainty of nuclear data. Then, for each sample, a Monte Carlo calculation is performed to obtain the calculation results under different samples. Finally, these results are statistically analyzed to calculate the standard deviation of the results, that is, uncertainty. The stochastic sampling method is easy to operate and has strong universality, which is not only applicable to the Monte Carlo code, but also applicable to the deterministic code. In Figure 1, the three responses of keff, βeff, and λeff are analyzed simultaneously. However, the stochastic sampling method can only analyze the uncertainty of the calculation results caused by the uncertainty of all parameters at one time. If we want to obtain the uncertainty of the calculation results caused by the uncertainty of a single parameter, we need to perturb each parameter separately and repeat the process shown in Figure 1. For example, in a stochastic sampling calculation, if the 235U and 238U nuclear data are perturbed at the same time, the total uncertainty of the calculation results caused by the uncertainty of the 235U and 238U nuclear data will be obtained. If we want to analyze the uncertainty of the calculation results caused by the uncertainty of the 235U or 238U nuclear data, two stochastic sampling calculations should be conducted, and a single calculation will only perturb one of the 235U and 238U nuclear data.
The selection of sample size depends on the required probability and statistical tolerance limit [22]. The minimum number of samples required can be described by the Wilks equation [23,24]. If the minimum value of samples sampled n times is x1 and the maximum value is xn, then the issue is the value of the degree of confidence α when the probability that the sample with an infinite number of samples falls between x1 and xn is p. According to the Wilks equation, the relationship between the minimum sample number n, the probability p, and the degree of confidence α is defined as:
1 p n n ( 1 p ) p n 1 α
The minimum sample number n required for a specific probability p and degree of confidence is shown in Table 1. With a 95% degree of confidence and 95% probability, the minimum number of samples required is 93. Based on the numerical empirical experiment [25], 300 samples are selected for each stochastic sampling calculation, which can not only ensure the calculation accuracy, but also reduce the computation time.

3. Benchmark

B&W’s Core XI conducted a series of low-enrichment UO2 fuel rod grid experiments at Babcock and Wilcox’s (B&W) Lynchburg Research Center beginning in January 1970 and ending in early 1971. The experiments for Core XI were performed in a large aluminum tank, which was filled with borated water and UO2 fuel rods. The fuel rods used low-enriched uranium, and the cladding material was aluminum 6061. The water level height was 145 cm, and each loading scheme was slightly supercritical by adjusting the boron concentration in the borated water. In this paper, one eighth of the core of Loading Scheme 8 is chosen to be modeled, and the whole core can be reflected through symmetry, as shown in Figure 2. The core’s central region and a 3 × 3 array of PWR (Pressurized Water Reactor) fuel assemblies are very similar, with fuel rods in each fuel assembly arranged in a 15 × 15 lattice. The pitch is 1.6358 cm, and the core diameter is 152.4 cm. The nine assemblies are surrounded by a drive zone consisting of low-enriched uranium fuel rods, which has an irregular boundary. In the entire core of Loading Scheme 8, there are 4808 fuel rods, 9 water holes (located in the center of each fuel assembly), 144 Pyrex rods, no Vicor or Al2O3 rods, 794 ppm soluble boron concentration, and 293 K core temperature.
The Pyrex rod, as shown in Figure 3A, is composed of B, Si, O, Na, and Al materials, with a length of 163.324 cm and a diameter of 1.17 cm. Figure 3B shows the fuel rod. The enrichment of UO2 is 2.459%. The diameter of the fuel pellet is 1.0297 cm, and the length is 163.324 cm. Al, Mg, Si, Fe, and other materials make up the fuel rod cladding. The cladding thickness is 0.0881 cm. Reference 18 provides more detailed information about the core geometry and materials.

4. Result

4.1. Comparison of Sensitivity

In this paper, TSUNAMI-3D-K5 and RMC are used to calculate the keff sensitivity to nuclear data for B&W’s Core XI Loading Scheme 8. The RMC code uses the ENDF/B-VII.1 library with 500,000 particles, and the SCALE code uses the ENDF/B-VII.0 library and the 238-group ENDF/B-VII.0 library with 200,000 particles. The results of the SCALE code and the RMC code keff calculation are shown in Table 2, and the relative deviation of the results is −0.087%.
The equation for calculating the relative deviations [26] is defined as:
δ = x R M C x S C A L E x S C A L E × 100 %
In Equation (11), x is one of the SCALE and RMC sensitivity results to a nuclide-reaction type.
The IFP method and the superhistory method of RMC are used to calculate the sensitivity coefficients. The TSUNAMI-3D-K5 module of SCALE is used to calculate the sensitivity coefficients of CE (continuous-energy) and MG (multigroup). As shown in Figure 4, the important nuclear data, primarily 235U fission, 1H elastic, 238U capture, 238U (n, γ), 10B capture, and 10B (n, α) are in good agreement.
The reaction types represented by MT numbers used in this paper are shown in Table 3.
Table 4 shows the keff sensitivity results to nuclear data calculated by the SCALE and RMC codes and compares the relative deviations of the results of the two codes.
From Table 3, it can be seen that most of the calculations of the SCALE and RMC procedures are in good agreement, and the elastic scattering reaction type of 235U and the (n,2n) reaction type of 238U are in poor agreement. Table 5 shows the standard deviation calculated by SCALE and RMC for the two nuclides. The equation for calculating the relative combined standard deviation [26] is defined as:
STD = ( S T D R M C ) 2 + ( S T D S C A L E ) 2
In Equation (12), STDRMC is the standard deviation of keff sensitivity to nuclear data calculated by the RMC code.
The sensitivity calculation results of the RMC code for the elastic scattering reaction type of 235U in Table 4 are within three times the relative combined standard deviation of the calculation results of the SCALE code. That is, the sensitivity calculation of the RMC code satisfies both the conditions of the sensitivity calculation results being greater than the SCALE code minus three times the relative combined standard deviation, and being less than the sensitivity calculation results of the SCALE code plus three times the relative combined standard deviation. However, the results of the two codes for the 238U (n, 2n) reaction type are in poor agreement, and the sensitivity calculation results of the RMC code are not within three times the relative combined standard deviation of the SCALE calculation results.
The IFP method and superhistory method in the RMC code are used calculate the keff sensitivity to nuclear data, both of which have 500,000 particles, 100 inactive generations, and 900 active generations, with 50 cores in parallel. As shown in Table 6, although the IFP method can save about half of the running time, the memory footprint is more than 20 times that of the superhistory method. The more nuclides and reaction types that are analyzed, the more memory is required. It is difficult for general-purpose equipment to meet such a large memory demand. For this situation, the superhistory method has obvious advantages.

4.2. Comparison of Uncertainty

4.2.1. SCALE 56-Group-cov7.1 Covariance Library

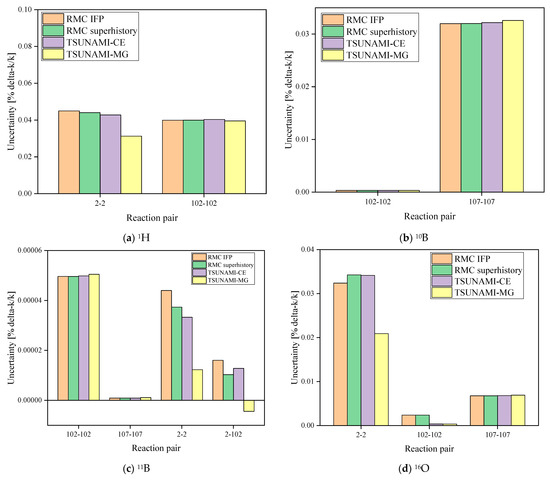
TSUNAMI-CE, TSUNAMI-MG, and RMC are used to calculate the uncertainty in keff caused by the nuclear data uncertainty of the PWR benchmark. The RMC code uses the 44-group covariance library in the SCALE6.1 code, and the SCALE code uses the 56-group-cov7.1 covariance library. The uncertainty calculation of TSUNAMI and RMC uses the first-order uncertainty quantification method, and the uncertainty calculation results are shown in Figure 5.
It can be seen from Figure 5 that the uncertainty of the 235U and 238U nuclear data contributes the most to the uncertainty in keff, and the calculation results are in good agreement. The uncertainty calculation results for each nuclide are shown in Table 7. The RMC value in the table is the average value of the IFP method and the superhistory method, and the TSUNAMI value is the average value of CE and MG.
The relative deviations of 10B, 52Cr, 55Mn, and 234U in Table 7 exceed 100%. Comparing the sensitivity values of these nuclides, as shown in Table 8, the sensitivity results calculated by the two codes are in good agreement. The uncertainties of these four nuclides are calculated by the first-order uncertainty quantification method, which is closely related to the sensitivity and covariance library. Therefore, the reason for the large relative deviation between the two codes should be the use of a different covariance library.

4.2.2. SCALE 44-Group Covariance Library

The 56-group-cov7.1 covariance library used in the SCALE code is changed to the 44-group covariance library and recalculated, and the results are shown in Figure 6. It can be seen from Figure 6 that the uncertainty of the 235U and 238U nuclear data contributes the most to the uncertainty in keff, and the calculation results are also in good agreement.
The uncertainty calculation results for each nuclide and relative deviations are shown in Table 9. The RMC value in the table is the average value of the IFP method and the superhistory method, and the TSUNAMI value is the average value of CE and MG.
The degree of uncertainty agreement is significantly improved when the same covariance library is used for both codes. This shows that the large relative deviation between the two codes in Table 7 is caused by different covariance libraries.
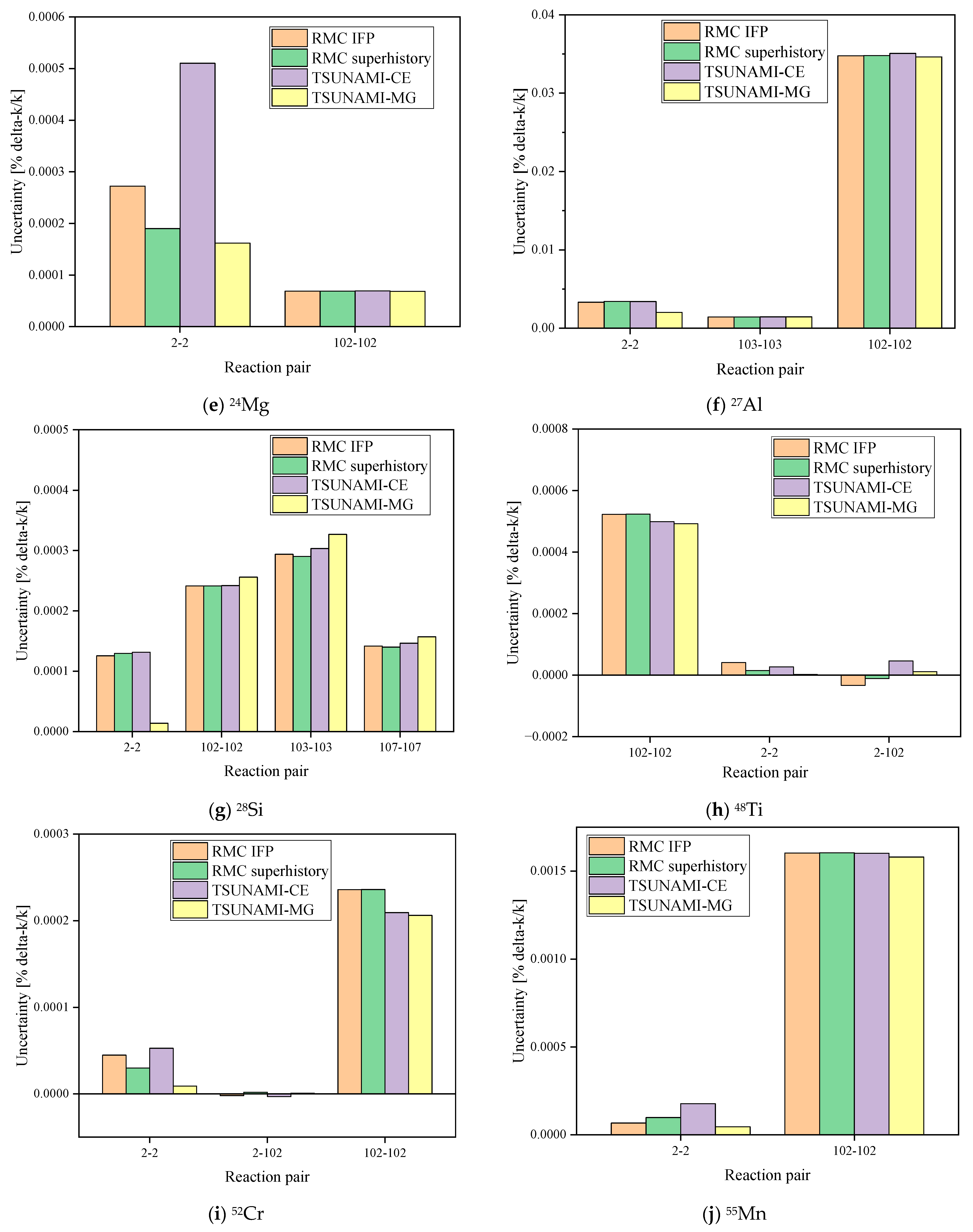
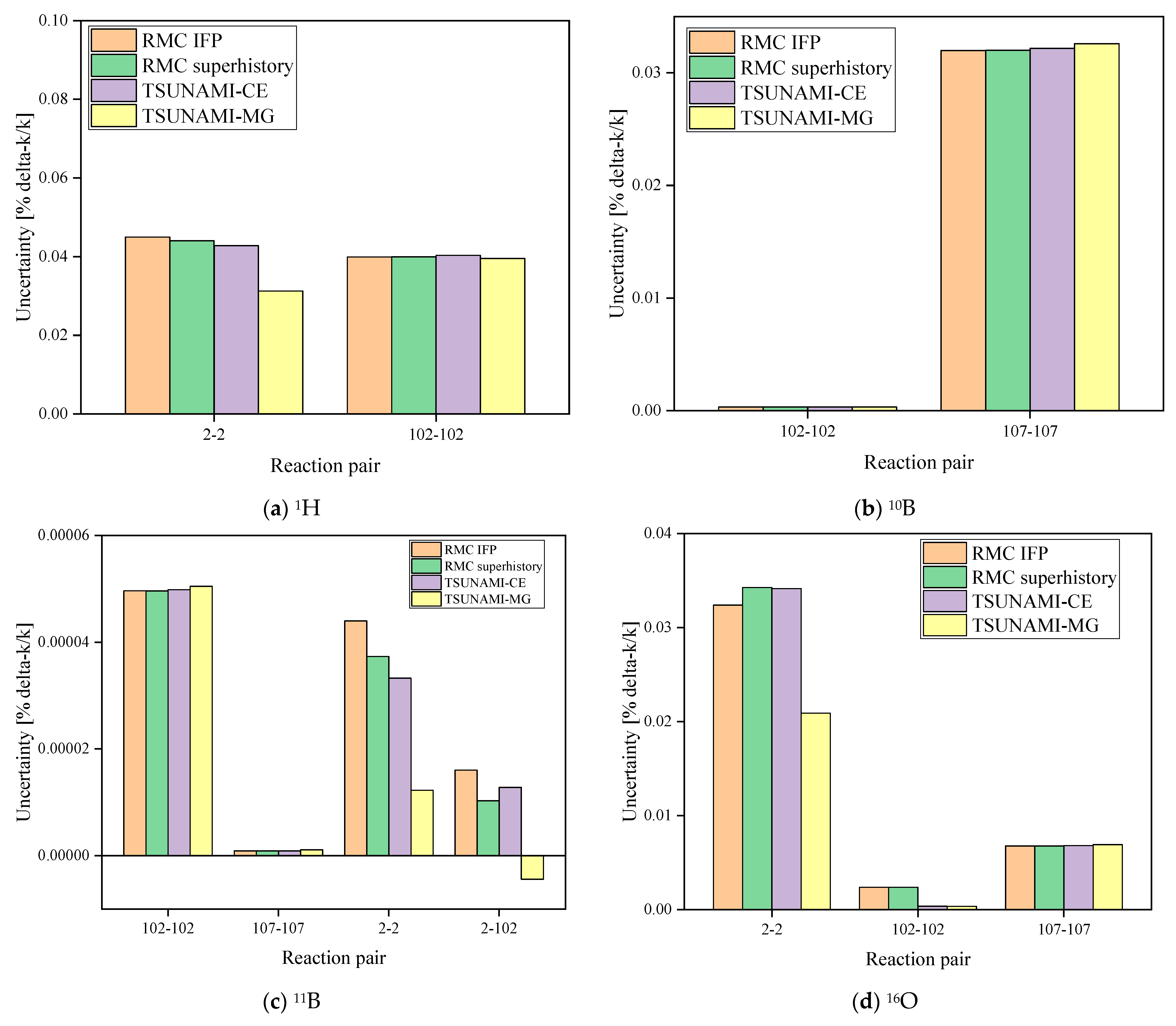
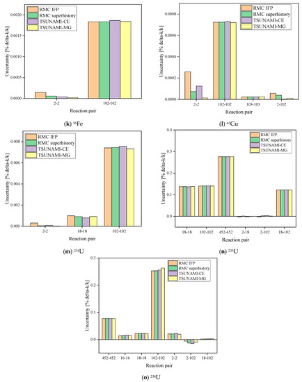
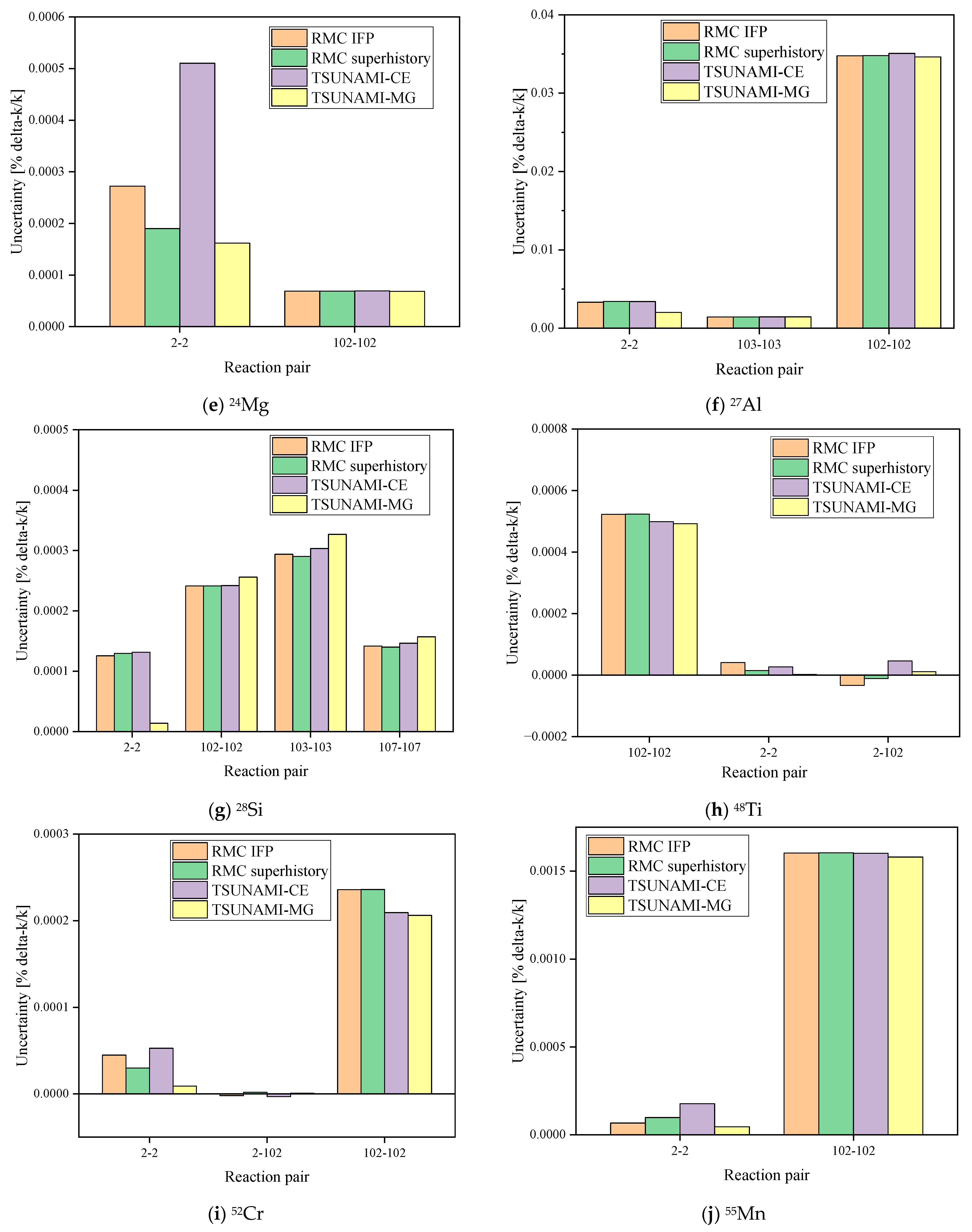
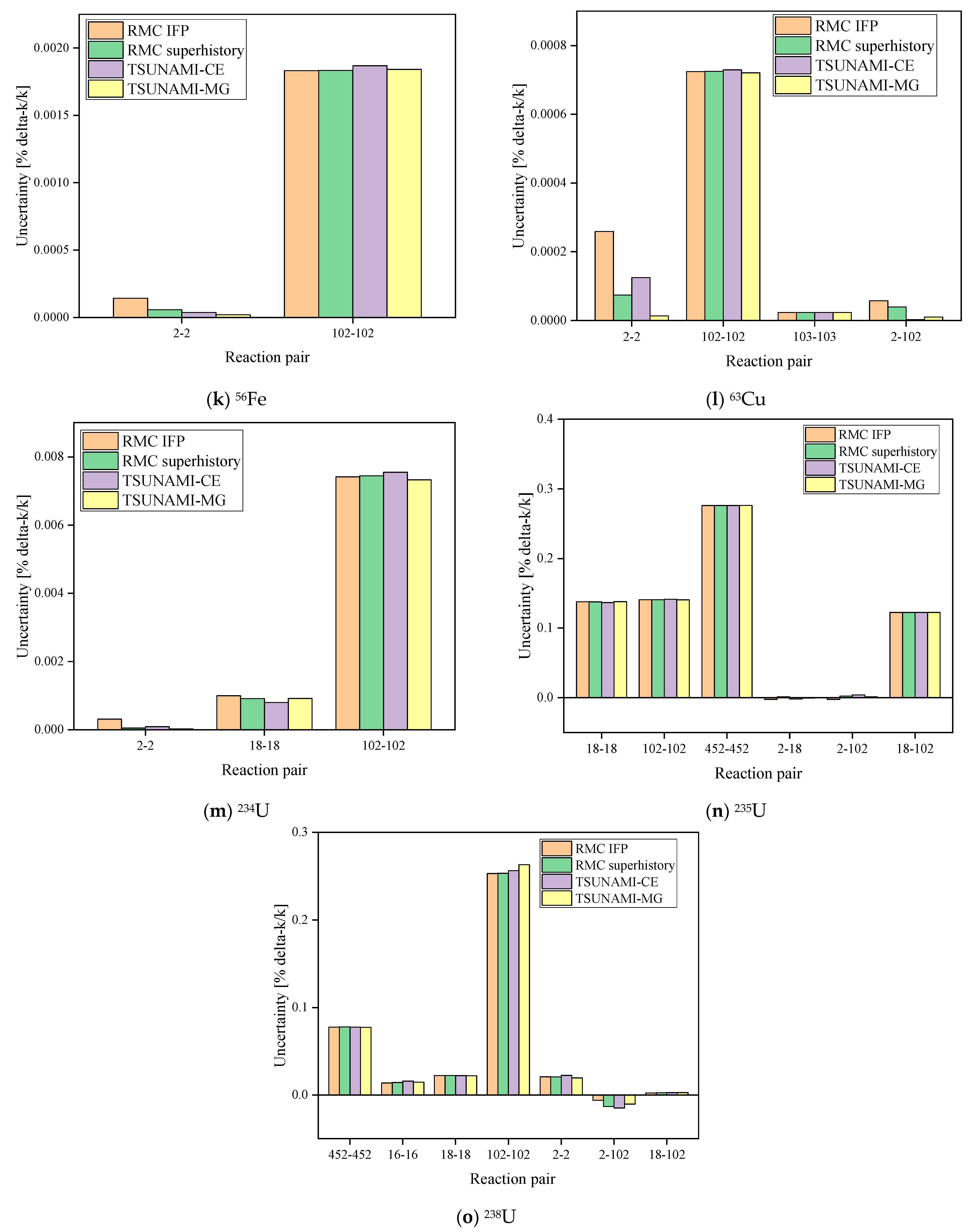
The uncertainties of the partial reaction pairs for the different nuclides are shown in Figure 7, and both RMC and SCALE are calculated using the 44-group covariance library. The results of the RMC IFP method and the superhistory method are in good agreement. The TSUNAMI-CE and TSUNAMI-MG results are mostly in good agreement, with some reaction pairs in poor agreement. The relative deviations of different codes for large uncertainty results are small.
The SAMPLER module in SCALE is used to calculate the uncertainty in keff. Only the cross-sections are perturbed, with 300 stochastic samples. Using generic regular expressions (GREP), the keff calculation result is extracted to obtain the total uncertainty. Table 10 shows the total uncertainty calculated by the first-order uncertainty quantification method and the stochastic sampling method. The total uncertainty calculated using the first-order uncertainty quantification method is in good agreement for both codes. Among them, the difference between the uncertainty in the keff results of TSUNAMI-MG and RMC is the largest, and their relative deviation is −2.615%. The maximum relative deviation of the total uncertainty calculated by the first-order uncertainty quantification method and the stochastic sampling method is 8.53%.

5. Conclusions

In this work, the B&W’s Core XI benchmark was modeled using RMC and SCALE to verify the accuracy of the sensitivity and uncertainty analysis methods developed in RMC. The sensitivity and uncertainty calculation results of the IFP method and the superhistory method of RMC were compared with that of TSUNAMI-CE/MG in SCALE. The nuclear cross-sections with high sensitivity and the uncertainty of nuclides with large contributions to the uncertainty in keff were in good agreement between the two codes. Verification shows that the capabilities of sensitivity and uncertainty analysis developed in the RMC code has good accuracy.
A detailed comparative analysis of the advantages and disadvantages of different sensitivity and uncertainty analysis methods was also conducted. The total uncertainty in the keff of the first-order uncertainty quantification method was compared with that of the stochastic sampling method, and the maximum relative deviation of total uncertainties in keff is 8.53%. Moreover, compared with the IFP method, the superhistory method can reduce the memory footprint by more than 95%, but the computation time was only about twice as much as the IFP method. The superhistory method shows advantages for the cases which have many nuclides and reaction types to be analyzed.

Author Contributions

Conceptualization, S.L. and C.J.; methodology, S.L.; software, J.L.; validation, C.J. and S.Z.; formal analysis, C.J.; investigation, C.J.; writing—original draft preparation, C.J. and S.Z.; writing—review and editing, Y.C. and S.Z.; funding acquisition, S.L. All authors have read and agreed to the published version of the manuscript.

Funding

This research was funded by Project 12175067/11905060 of the National Natural Science Foundation of China, the Natural Science Foundation of Hebei Province (no. A2022502008), the Fundamental Research Funds for the Central Universities (2022JG002), and the Young Elite Scientists Sponsorship Program (2020QNRC001) of China Association for Science and Technology.

Data Availability Statement

Not applicable.

Conflicts of Interest

The authors declare no conflict of interest.

References

  1. Chersola, D.; Mazzini, G.; Košťál, M.; Miglierini, B.; Hrehor, M.; Lomonaco, G.; Borreani, W.; Ruščák, M. Application of Serpent 2 and MCNP6 to study different criticality configurations of a VVER-1000 mock-up. Ann. Nucl. Energy 2016, 94, 109–122. [Google Scholar] [CrossRef]
  2. Liu, S.; Wang, G.; Liang, J.; Wu, G.; Wang, K. Burnup-dependent core neutronics analysis of plate-type research reactor using deterministic and stochastic methods. Ann. Nucl. Energy 2015, 85, 830–836. [Google Scholar] [CrossRef]
  3. Liu, S.; Wang, G.; Wu, G.; Wang, K. Neutronics comparative analysis of plate-type research reactor using deterministic and stochastic methods. Ann. Nucl. Energy 2015, 79, 133–142. [Google Scholar] [CrossRef]
  4. Kelly, D.J., III; Kelly, A.E.; Aviles, B.N.; Godfrey, A.T.; Salko, R.K.; Collins, B.S. MC21/CTF and VERA multiphysics solutions to VERA core physics benchmark progression problems 6 and 7. Nucl. Eng. Technol. 2017, 49, 1326–1338. [Google Scholar] [CrossRef]
  5. Leppänen, J.; Mattila, R.; Pusa, M. Validation of the Serpent-ARES code sequence using the MIT BEAVRS benchmark—Initial core at HZP conditions. Ann. Nucl. Energy 2014, 69, 212–225. [Google Scholar] [CrossRef]
  6. Goorley, T.; James, M.; Booth, T.; Brown, F.; Bull, J.; Cox, L.J.; Durkee, J.; Elson, J.; Fensin, M.; Forster, R.A.; et al. Initial MCNP6 Release Overview. Nucl. Technol. 2012, 180, 298–315. [Google Scholar] [CrossRef]
  7. Rearden, B.T.; Williams, M.L.; Jessee, M.A.; Mueller, D.E.; Wiarda, D.A. Sensitivity and uncertainty analysis capabilities and data in SCALE. Nucl. Technol. 2011, 174, 236–288. [Google Scholar] [CrossRef]
  8. Baker, C.; Smith, P.N.; Mason, R.; Shepherd, M.; Richards, S.; Hiles, R.; Perry, R.; Hanlon, D.; Dobson, G. Calculating Uncertainty on K-effective with MONK10. In Proceedings of the ICNC 2015, Anaheim, CA, USA, 16–19 February 2015; pp. 1073–1082. [Google Scholar]
  9. Aufiero, M.; Bidaud, A.; Hursin, M.; Leppänen, J.; Palmiotti, G.; Pelloni, S.; Rubiolo, P. A collision history-based approach to sensitivity/perturbation calculations in the continuous energy Monte Carlo code SERPENT. Ann. Nucl. Energy 2015, 85, 245–258. [Google Scholar] [CrossRef]
  10. Wang, K.; Li, Z.; She, D.; Liang, J.; Xu, Q.; Qiu, Y.; Yu, J.; Sun, J.; Fan, X.; Yu, G. RMC–A Monte Carlo code for reactor core analysis. Ann. Nucl. Energy 2015, 82, 121–129. [Google Scholar] [CrossRef]
  11. Liu, S.; Yuan, Y.; Yu, J.; Wang, K. Development of on-the-fly temperature-dependent cross-sections treatment in RMC code. Ann. Nucl. Energy 2016, 94, 144–149. [Google Scholar] [CrossRef]
  12. Saylor, E.M.; Marshall, W.J.; Clarity, J.B.; Clifton, Z.J.; Rearden, B.T. Criticality Safety Validation of SCALE 6.2.2; Technical Report ORNL/TM-2018/884; Oak Ridge National Laboratory: Oak Ridge, TN, USA, 2018. [Google Scholar]
  13. Perfetti, C.M.; Rearden, B.T. Development of a Generalized Perturbation Theory Method for Sensitivity Analysis Using Continuous-Energy Monte Carlo Methods. Nucl. Sci. Eng. 2016, 182, 354–368. [Google Scholar] [CrossRef]
  14. Cacuci, D.G. Handbook of Nuclear Engineering; Nuclear Engineering Fundamentals; Springer: Berlin/Heidelberg, Germany, 2010; Volume I. [Google Scholar]
  15. Qiu, Y.S. Nuclear Data Sensitivity and Uncertainty Analysis in the Burnup Calculation Based on RMC Code; Tsinghua University: Beijing, China, 2017. [Google Scholar]
  16. Shi, G.; Jia, C.; Guo, X.; Li, K.; Wang, K.; Huang, S.; Cheng, Q. Improved generalized perturbation theory method for sensitivity analysis of generalized response function. Prog. Nucl. Energy 2021, 134, 103643. [Google Scholar] [CrossRef]
  17. Ware, T.; Dobson, G.; Hanlon, D.; Hiles, R.; Mason, R.; Perry, R. Determining the nuclear data uncertainty on MONK10 and WIMS10 criticality calculations. EPJ Web Conf. 2017, 146, 06023. [Google Scholar] [CrossRef]
  18. Mosteller, R.D.; Pelowitz, D.B. Critical Lattices of UO2 Fuel Rods and Perturbing Rods in Borated Water; Nuclear Energy Agency: Paris, France, 1995; Report NEA/NSC/DOC(95)03/IV; Volume IV LEU-COMP-THERM-008. [Google Scholar]
  19. Haghighat, A. Monte Carlo Methods for Particle Transport; CRC Press: Boca Raton, FL, USA, 2020. [Google Scholar]
  20. Qiu, Y.; Shang, X.; Tang, X.; Liang, J.; Wang, K. Computing eigenvalue sensitivity coefficients to nuclear data by adjoint superhistory method and adjoint Wielandt method implemented in RMC code. Ann. Nucl. Energy 2016, 87, 228–241. [Google Scholar] [CrossRef]
  21. Shi, G.; Yu, G.; Jia, C.; Wang, K.; Huang, S.; Cheng, Q.; Li, H. Superhistory-based differential operator method for generalized responses sensitivity calculations. Ann. Nucl. Energy 2020, 140, 107291. [Google Scholar] [CrossRef]
  22. Glaeser, H. GRS Method for Uncertainty and Sensitivity Evaluation of Code Results and Applications. Sci. Technol. Nucl. Install. 2008, 2008, 1–7. [Google Scholar] [CrossRef]
  23. Wilks, S.S. Determination of Sample Sizes for Setting Tolerance Limits. Ann. Math. Stat. 1941, 12, 91–96. [Google Scholar] [CrossRef]
  24. Wilks, S.S. Statistical Prediction with Special Reference to the Problem of Tolerance Limits. Ann. Math. Stat. 1942, 13, 400–409. [Google Scholar] [CrossRef]
  25. Rochman, D.; Zwermann, W.; van der Marck, S.C.; Koning, A.J.; Sjöstrand, H.; Helgesson, P.; Krzykacz-Hausmann, B. Efficient use of Monte Carlo: Uncertainty propagation. Nucl. Sci. Eng. 2014, 177, 337–349. [Google Scholar] [CrossRef]
  26. Zhang, X.; Liu, S.; Yan, Y.; Qin, Y.; Chen, Y. Application of the neutron-photon-electron coupling transport of cosRMC in fusion neutronics. Fusion Eng. Des. 2020, 159, 111875. [Google Scholar] [CrossRef]
Figure 1. Flow chart of stochastic sampling method.
Figure 1. Flow chart of stochastic sampling method.
Energies 15 09511 g001
Figure 2. B&W’s Core XI 1/8 core.
Figure 2. B&W’s Core XI 1/8 core.
Energies 15 09511 g002
Figure 3. (A) Pyrex Rod, (B) Fuel Rod.
Figure 3. (A) Pyrex Rod, (B) Fuel Rod.
Energies 15 09511 g003
Figure 4. B&W’s Core XI Partial Nuclide Sensitivity.
Figure 4. B&W’s Core XI Partial Nuclide Sensitivity.
Energies 15 09511 g004
Figure 5. Uncertainty in keff caused by uncertainty of nuclear data of different nuclides (SCALE 56-group-cov7.1 covariance library).
Figure 5. Uncertainty in keff caused by uncertainty of nuclear data of different nuclides (SCALE 56-group-cov7.1 covariance library).
Energies 15 09511 g005
Figure 6. Uncertainty in keff caused by uncertainty of nuclear data of different nuclides (SCALE 44-group covariance library).
Figure 6. Uncertainty in keff caused by uncertainty of nuclear data of different nuclides (SCALE 44-group covariance library).
Energies 15 09511 g006
Figure 7. Uncertainty of partial reaction pairs of different nuclides.
Figure 7. Uncertainty of partial reaction pairs of different nuclides.
Energies 15 09511 g007aEnergies 15 09511 g007bEnergies 15 09511 g007c
Table 1. Degree of confidence, probability, and sample size.
Table 1. Degree of confidence, probability, and sample size.
Degree of Confidence\Probability0.900.950.99
0.903877388
0.954693473
0.9964130662
Table 2. SCALE code and RMC code keff calculation results.
Table 2. SCALE code and RMC code keff calculation results.
Codekeff
SCALE0.997654 ± 0.000099
RMC0.996782 ± 0.000031
Table 3. Reaction type corresponding to MT number.
Table 3. Reaction type corresponding to MT number.
MT NumberReaction
2Elastic scattering
101Capture
16(n, 2n)
18Fission
102(n, γ)
103(n, p)
107(n, α)
452 ν ¯
Table 4. SCALE and RMC code keff sensitivity to nuclear data.
Table 4. SCALE and RMC code keff sensitivity to nuclear data.
Nuclide, Reaction TypeSensitivityRelative Deviation
SCALERMC IFP MethodRMC Superhistory MethodSCALE and RMC IFP MethodSCALE and RMC Superhistory Method
235U, fission0.4151 ± 2.049 × 10−40.4194 ± 2.430 × 10−40.4189 ± 8.038 × 10−51.036%0.915%
235U, capture−0.1022 ± 3.387 × 10−5−0.1014 ± 4.813 × 10−5−0.1014 ± 1.457 × 10−5−0.783%−0.783%
235U, elastic8.953 × 10−5 ± 7.418 × 10−5−1.197 × 10−6 ± 9.189 × 10−57.887 × 10−5 ± 3.355 × 10−5−101.337%−11.907%
10B, capture−0.1443 ± 6.899 × 10−5−0.1435 ± 9.588 × 10−5−0.1435 ± 3.193 × 10−5−0.554%−0.554%
10B, (n, α)−0.1443 ± 6.898 × 10−5−0.1434 ± 9.587 × 10−5−0.1435 ± 3.192 × 10−5−0.624%−0.554%
238U, capture−0.1912 ± 7.072 × 10−5−0.1892 ± 1.108 × 10−4−0.1893 ± 3.222 × 10−5−1.046%−0.994%
238U, (n, γ)−0.1911 ± 7.068 × 10−5−0.1892 ± 1.108 × 10−4−0.1893 ± 3.222 × 10−5−0.994%−0.942%
238U, (n, 2n)1.229 × 10−3 ± 6.963 × 10−69.965 × 10−4 ± 1.932 × 10−59.974 × 10−4 ± 9.482 × 10−6−18.918%−18.845%
1H, elastic0.2142 ± 1.671 × 10−30.2138 ± 2.063 × 10−30.2157 ± 6.569 × 10−4−0.187%0.700%
1H, (n, γ)−8.075 × 10−2 ± 3.135 × 10−5−7.994 × 10−2 ± 4.478 × 10−5−7.999 × 10−2 ± 1.422 × 10−5−1.003%−0.941%
16O, elastic1.899 × 10−2 ± 6.586 × 10−41.884 × 10−2 ± 9.363 × 10−41.994 × 10−2 ± 2.902 × 10−4−0.790%5.003%
16O, (n, α)−2.889 × 10−3 ± 4.474 × 10−4−2.875 × 10−3 ± 6.655 × 10−6−2.870 × 10−3 ± 1.996 × 10−6−0.485%−0.658%
Table 5. Standard deviation of some nuclides reaction types.
Table 5. Standard deviation of some nuclides reaction types.
Nuclide, Reaction TypeStandard DeviationRelative Combined Standard Deviation
SCALERMC IFP MethodRMC Superhistory MethodSCALE and RMC IFP MethodSCALE and RMC Superhistory Method
235U, elastic7.418 × 10−59.189 × 10−53.355 × 10−51.181 × 10−48.141 × 10−5
238U, (n, 2n)6.963 × 10−61.932 × 10−59.482 × 10−62.152 × 10−51.176 × 10−5
Table 6. Performance of the IFP method and the superhistory method in RMC.
Table 6. Performance of the IFP method and the superhistory method in RMC.
MethodMemory Footprint/GRunning Time/Minutes
IFP methodAbout 180541
Superhistory methodAbout 81150
Table 7. Uncertainty of nuclides (SCALE 56-group-cov7.1 covariance library).
Table 7. Uncertainty of nuclides (SCALE 56-group-cov7.1 covariance library).
NuclideRMC [%delta-k/k]TSUNAMI [%delta-k/k]Relative Deviation
H-15.983 × 10−2 ± 3.075 × 10−59.247 × 10−2 ± 5.053 × 10−6−35.303%
B-103.201 × 10−2 ± 3.858 × 10−71.210 × 10−2 ± 2.771 × 10−8164.545%
B-116.650 × 10−5 ± 1.650 × 10−96.065 × 10−5 ± 1.480 × 10−99.653%
O-163.412 × 10−2 ± 3.519 × 10−52.728 × 10−2 ± 3.582 × 10−525.073%
Mg-242.457 × 10−4 ± 1.533 × 10−72.542 × 10−4 ± 4.150 × 10−8−3.329%
Al-273.469 × 10−2 ± 7.283 × 10−62.313 × 10−2 ± 9.836 × 10−649.978%
Si-284.267 × 10−4 ± 1.849 × 10−85.863 × 10−4 ± 9.169 × 10−8−27.223%
Ti-485.246 × 10−4 ± 2.494 × 10−96.708 × 10−4 ± 2.754 × 10−9−21.799%
Cr-522.388 × 10−4 ± 5.713 × 10−91.144 × 10−4 ± 3.850 × 10−9108.666%
Mn-551.605 × 10−3 ± 4.055 × 10−85.548 × 10−4 ± 3.268 × 10−8189.299%
Fe-561.835 × 10−3 ± 1.797 × 10−81.855 × 10−3 ± 1.876 × 10−8−1.078%
Cu-637.508 × 10−4 ± 3.135 × 10−87.648 × 10−4 ± 1.399 × 10−8−1.827%
U-2347.495 × 10−3 ± 7.169 × 10−73.395 × 10−3 ± 4.892 × 10−8120.766%
U-2350.3607 ± 3.241 × 10−50.4257 ± 2.788 × 10−5−15.270%
U-2380.2696 ± 2.671 × 10−40.2808 ± 4.185 × 10−5−3.978%
Table 8. Sensitivity of total reaction type.
Table 8. Sensitivity of total reaction type.
Nuclide, Reaction TypeRMCTSUNAMIRelative Deviation
10B, total−0.1435 ± 9.477 × 10−5−0.1453 ± 7.032 × 10−5−1.239%
52Cr, total−2.473 × 10−5 ± 1.265 × 10−5−2.373 × 10−5 ± 8.829 × 10−64.210%
55Mn, total−3.832 × 10−4 ± 2.788 × 10−5−3.910 × 10−4 ± 1.960 × 10−5−1.996%
234U, total−1.389 × 10−3 ± 1.197 × 10−5−1.387 × 10−3 ± 8.750 × 10−60.202%
Table 9. Uncertainty of nuclides (SCALE 44-group covariance library).
Table 9. Uncertainty of nuclides (SCALE 44-group covariance library).
NuclideRMC [%delta-k/k]TSUNAMI [%delta-k/k]Relative Deviation
H-15.983 × 10−2 ± 3.075 × 10−55.461 × 10−2 ± 2.036 × 10−59.542%
B-103.201 × 10−2 ± 3.858 × 10−73.240 × 10−2 ± 2.474 × 10−7−1.204%
B-116.650 × 10−5 ± 1.650 × 10−95.684 × 10−5 ± 1.759 × 10−916.988%
O-163.412 × 10−2 ± 3.519 × 10−52.846 × 10−2 ± 2.600 × 10−519.904%
Mg-242.457 × 10−4 ± 1.533 × 10−73.455 × 10−4 ± 1.453 × 10−7−28.874%
Al-273.469 × 10−2 ± 7.283 × 10−63.486 × 10−2 ± 5.100 × 10−6−0.479%
Si-284.267 × 10−4 ± 1.849 × 10−84.332 × 10−4 ± 1.241 × 10−8−1.512%
Ti-485.246 × 10−4 ± 2.494 × 10−94.973 × 10−4 ± 2.119 × 10−95.493%
Cr-522.388 × 10−4 ± 5.713 × 10−92.112 × 10−4 ± 2.718 × 10−913.074%
Mn-551.605 × 10−3 ± 4.055 × 10−81.595 × 10−3 ± 6.420 × 10−80.651%
Fe-561.835 × 10−3 ± 1.797 × 10−81.855 × 10−3 ± 1.038 × 10−8−1.023%
Cu-637.508 × 10−4 ± 3.135 × 10−87.306 × 10−4 ± 1.430 × 10−82.774%
U-2347.495 × 10−3 ± 7.169 × 10−77.491 × 10−3 ± 4.186 × 10−70.071%
U-2350.3607 ± 3.241 × 10−53.634 ± 1.083 × 10−4−0.752%
U-2380.2696 ± 2.671 × 10−42.727 ± 1.713 × 10−4−1.143%
Table 10. Total uncertainty in keff.
Table 10. Total uncertainty in keff.
CodeTSUNAMI-CETSUNAMI-MGRMCSAMPLER
Uncertainty [%delta-k/k]0.45960.46270.45060.4926
Publisher’s Note: MDPI stays neutral with regard to jurisdictional claims in published maps and institutional affiliations.

Share and Cite

MDPI and ACS Style

Jin, C.; Liu, S.; Zhang, S.; Liang, J.; Chen, Y. Nuclear Data Sensitivity and Uncertainty Study for the Pressurized Water Reactor (PWR) Benchmark Using RMC and SCALE. Energies 2022, 15, 9511. https://doi.org/10.3390/en15249511

AMA Style

Jin C, Liu S, Zhang S, Liang J, Chen Y. Nuclear Data Sensitivity and Uncertainty Study for the Pressurized Water Reactor (PWR) Benchmark Using RMC and SCALE. Energies. 2022; 15(24):9511. https://doi.org/10.3390/en15249511

Chicago/Turabian Style

Jin, Chengjian, Shichang Liu, Shenghao Zhang, Jingang Liang, and Yixue Chen. 2022. "Nuclear Data Sensitivity and Uncertainty Study for the Pressurized Water Reactor (PWR) Benchmark Using RMC and SCALE" Energies 15, no. 24: 9511. https://doi.org/10.3390/en15249511

APA Style

Jin, C., Liu, S., Zhang, S., Liang, J., & Chen, Y. (2022). Nuclear Data Sensitivity and Uncertainty Study for the Pressurized Water Reactor (PWR) Benchmark Using RMC and SCALE. Energies, 15(24), 9511. https://doi.org/10.3390/en15249511

Note that from the first issue of 2016, this journal uses article numbers instead of page numbers. See further details here.

Article Metrics

Back to TopTop