Flow around an Oscillating Cylinder at Low Reynolds Number with Forced Convection: Effect of Corner Radius and Reynolds Number
Abstract
1. Introduction
2. Theoretical Modeling
2.1. Domain Discretization
2.2. Governing Equations and Boundary Conditions
2.3. Solution Procedure and Validation
2.4. Grid Independence and Validation
3. Result and Discussion
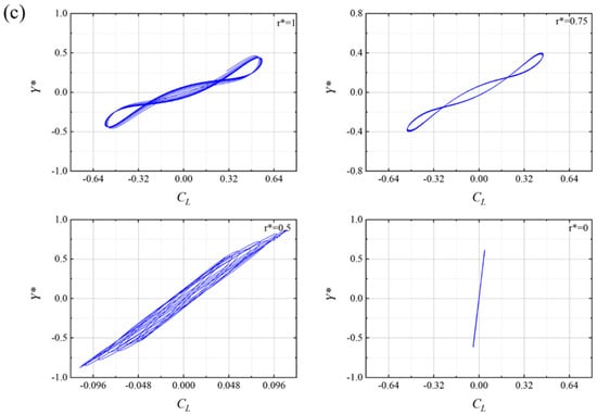
3.1. Effect of Fillet on Vortex-Induced Vibration
3.2. Frequency Response at Different Reynolds Numbers with Varying Radius Corner
3.3. Effect of Fillet on Heat Transfer
4. Concluding Remarks
- Maximum vibrational amplitude was observed for the circular cylinder (r* = 1) and Re = 100 due to lock-in synchronization being present for this specific case. Natural frequency and vibrational frequency overlapped and led to a high vibration amplitude. This vibration persisted for the circular cylinder with an increasing Reynolds number.
- As the Reynolds number increased, a shift from C(2S) to 2S vortex shedding was observed. The value of the Strouhal number was reduced as the filleted radii were reduced from r* = 1 to 0 (square). The Strouhal number increased as the value of the Reynolds number increased for a constant corner radius r* = 0.5, 0.75, and 1. P+S vortex shedding was observed at a higher Reynolds number for the square cylinder.
- Four characteristic oscillation modes could be identified: Mode-I with small oscillation amplitude; mode-II with fluctuating oscillation amplitude known as hysteresis (Beating); mode-III where the amplitude is at the maximum because of lock-in synchronization (i.e., vortex shedding frequency equal to the natural frequency); and mode-IV, constant oscillation amplitude.
- A key conclusion from the study was that a shift happened due to the change in corner radii. The beating phenomenon (mode-II) for the circular cylinder that occurred at Re = 75–85 now occurred at Re = 100 for r* = 0.75, Re = 150 for r* = 0.5, and Re = 200 for r* = 0. Mode-I did not occur for r* = 1, while it occurred for r* = 0.5 at Re = 100 and r* = 0 at Re = 100 and 150.
- The minimum drag coefficient and lift coefficient was observed for r* = 0.5 and Re = 150 as well as at r* = 0.5 and Re = 100, respectively, although the minimum was in the vibrational mode-II type. was observed for r* = 0.5 and Re = 100, which was in vibrational mode-I type.
- The Nusselt number mainly varied over three different Re values for all cases. increased with Reynolds number and r*. Early separation of the boundary layer can reduce the heat transfer, which mitigated the value of the Nusselt number. Maximum and minimum average Nusselt numbers were observed for r* = 1 and Re = 200, and r* = 0 and Re = 200, respectively. They showed a dependence on the Reynold number, filleted radii, and type of flow around the cylinder.
- The flow remained attached to the circular cylinder for a longer time than the square cylinder. A change of 47% in at Re = 100 was observed. The maximum change for the square cylinder to circular cylinder occurred at Re = 150 for . Separation occurring at the edge of the square cylinder caused a huge wake behind it, and the specific region value of decreased rapidly.
5. Prospective Work
Author Contributions
Funding
Institutional Review Board Statement
Informed Consent Statement
Conflicts of Interest
Nomenclature
| Maximum Amplitude | |
| Damping Coefficient | |
| Average Coefficient of Drag | |
| Maximum Coefficient of Drag | |
| Coefficient of Lift | |
| Specific Heat Capacity | |
| Diameter of cylinder | |
| Natural Frequency | |
| Normalized Natural Frequency | |
| Frequency of Oscillation | |
| Spring Constant | |
| Mass | |
| Mass Ratio | |
| Non-Heated Cylinder | |
| Average Nusselt Number | |
| Nusselt Number | |
| Pressure | |
| Prandtl Number | |
| Fillet Corner (r is the radius of the corner, R is the radius of the Cylinder) | |
| Reynolds number | |
| Flow Temperature | |
| Surface Temperature | |
| Strouhal Number | |
| Reduced Velocity | |
| Free Stream Velocity | |
| Y-direction Amplitude | |
| Density | |
| Viscosity | |
| Thermal Conductivity | |
| Damping Ratio |
References
- Feng, C.C. The Measurement of Vortex Induced Effects in Flow Past Stationary and Oscillating Circular and D-Section Cylinders. Ph.D. Thesis, University of British Columbia, Vancouver, BC, Canada, 1968. [Google Scholar] [CrossRef]
- Jauvtis, N.; Williamson, C.H.K. Vortex-Induced Vibration of a Cylinder with Two Degrees of Freedom. J. Fluids Struct. 2003, 17, 1035–1042. [Google Scholar] [CrossRef]
- Sarpkaya, T. A Critical Review of the Intrinsic Nature of Vortex-Induced Vibrations. J. Fluids Struct. 2004, 19, 389–447. [Google Scholar] [CrossRef]
- Williamson, C.H.K.; Govardhan, R. VORTEX-INDUCED VIBRATIONS. Annu. Rev. Fluid Mech. 2004, 36, 413–455. [Google Scholar] [CrossRef]
- Khalak, A.; Williamson, C.H.K. Investigation of Relative Effects of Mass and Damping in Vortex-Induced Vibration of a Circular Cylinder. J. Wind Eng. Ind. Aerodyn. 1997, 69–71, 341–350. [Google Scholar] [CrossRef]
- Williamson, C.H.K.; Roshko, A. Vortex Formation in the Wake of an Oscillating Cylinder. J. Fluids Struct. 1988, 2, 355–381. [Google Scholar] [CrossRef]
- Brika, D.; Laneville, A. Vortex-Induced Vibrations of a Long Flexible Circular Cylinder. J. Fluid Mech. 1993, 250, 481–508. [Google Scholar] [CrossRef]
- Shiels, D.; Leonard, A.; Roshko, A. Flow-induced vibration of a circular cylinder at limiting structural parameters. J. Fluids Struct. 2001, 15, 3–21. [Google Scholar] [CrossRef]
- Robertson, I.; Li, L.; Sherwin, S.J.; Bearman, P.W. A Numerical Study of Rotational and Transverse Galloping Rectangular Bodies. J. Fluids Struct. 2003, 17, 681–699. [Google Scholar] [CrossRef]
- Alam, M.M. Effects of Mass and Damping on Flow-Induced Vibration of a Cylinder Interacting with the Wake of Another Cylinder at High Reduced Velocities. Energies 2021, 14, 5148. [Google Scholar] [CrossRef]
- Kumar, D.; Sen, S. Flow-Induced Vibrations of a Pair of in-Line Square Cylinders. Phys. Fluids 2021, 33, 043602. [Google Scholar] [CrossRef]
- Ajith Kumar, R.; Sohn, C.H.; Gowda, B.H.L. Influence of Corner Radius on the near Wake Structure of a Transversely Oscillating Square Cylinder. J. Mech. Sci. Technol. 2009, 23, 2390–2416. [Google Scholar] [CrossRef]
- Hu, J.; Zhou, Y.; Dalton, C. Effects of the Corner Radius on the near Wake of a Square Prism. Exp. Fluids 2006, 40, 106–118. [Google Scholar] [CrossRef]
- Miran, S.; Sohn, C.H. Numerical Study of the Rounded Corners Effect on Flow Past a Square Cylinder. Int. J. Numer. Methods Heat Fluid Flow 2015, 25, 686–702. [Google Scholar] [CrossRef]
- Adeeb, E.; Haider, B.A.; Sohn, C.H. Influence of Rounded Corners on Flow Interference between Two Tandem Cylinders Using FVM and IB-LBM. Int. J. Numer. Methods Heat Fluid Flow 2018, 28, 1648–1663. [Google Scholar] [CrossRef]
- Zhao, H.; Zhao, M. Effect of Rounded Corners on Flow-Induced Vibration of a Square Cylinder at a Low Reynolds Number of 200. Ocean Eng. 2019, 188, 106263. [Google Scholar] [CrossRef]
- Sen, S.; Mittal, S. Free Vibration of a Square Cylinder at Low Reynolds Numbers. J. Fluids Struct. 2011, 27, 875–884. [Google Scholar] [CrossRef]
- Ghozlani, B.; Hafsia, Z.; Maalel, K. Numerical Study of Flow around an Oscillating Diamond Prism and Circular Cylinder at Low Keulegan-Carpenter Number. J. Hydrodyn. 2012, 24, 767–775. [Google Scholar] [CrossRef]
- Wu, B.; Li, S.; Li, K.; Yang, Q.; Zhang, L.; Qian, G. Large-Eddy Simulation of the near Wake of a 5:1 Rectangular Cylinder in Oscillating Flows at Re=670. J. Wind Eng. Ind. Aerodyn. 2020, 196, 104050. [Google Scholar] [CrossRef]
- Vijay, K.; Srinil, N.; Zhu, H.; Bao, Y.; Zhou, D.; Han, Z. Flow-Induced Transverse Vibration of an Elliptical Cylinder with Different Aspect Ratios. Ocean Eng. 2020, 214, 107831. [Google Scholar] [CrossRef]
- Zhao, J.; Hourigan, K.; Thompson, M.C. Dynamic Response of Elliptical Cylinders Undergoing Transverse Flow-Induced Vibration. J. Fluids Struct. 2019, 89, 123–131. [Google Scholar] [CrossRef]
- Ding, L.; Zou, Q.; Zhang, L.; Wang, H. Research on Flow-Induced Vibration and Energy Harvesting of Three Circular Cylinders with Roughness Strips in Tandem. Energies 2018, 11, 2977. [Google Scholar] [CrossRef]
- Zhao, W.; Xue, F.; Shu, G.; Liu, M.; Lin, L.; Wang, Z.; Xiao, Z. Analysis of Flow-Induced Vibration of Steam Generator Tubes Subjected to Cross Flow. Nucl. Eng. Des. 2014, 275, 375–381. [Google Scholar] [CrossRef]
- Ali, U.; Islam, M.; Janajreh, I.; Fatt, Y.; Alam, M. Flow-Induced Vibrations of Single and Multiple Heated Circular Cylinders: A Review. Energies 2021, 14, 8496. [Google Scholar] [CrossRef]
- Goyder, H.G.D. Flow-Induced Vibration in Heat Exchangers. Chem. Eng. Res. Des. 2002, 80, 226–232. [Google Scholar] [CrossRef]
- Sun, X.; Ye, Z.; Li, J.; Wen, K.; Tian, H. Forced Convection Heat Transfer from a Circular Cylinder with a Flexible Fin. Int. J. Heat Mass Transf. 2019, 128, 319–334. [Google Scholar] [CrossRef]
- Izadpanah, E.; Amini, Y.; Ashouri, A. A Comprehensive Investigation of Vortex Induced Vibration Effects on the Heat Transfer from a Circular Cylinder. Int. J. Therm. Sci. 2018, 125, 405–418. [Google Scholar] [CrossRef]
- Alam, M.; Abdelhamid, T.; Islam, M. Heat Transfer and Flow around Cylinder: Effect of Corner Radius and Reynolds Number. Int. J. Heat Mass Transf. 2021, 171, 121105. [Google Scholar] [CrossRef]
- Kumar, A.; Dhiman, A.; Baranyi, L. Fluid Flow and Heat Transfer around a Confined Semi-Circular Cylinder: Onset of Vortex Shedding and Effects of Reynolds and Prandtl Numbers. Int. J. Heat Mass Transf. 2016, 102, 417–425. [Google Scholar] [CrossRef]
- Mahír, N.; Altaç, Z. Numerical Investigation of Convective Heat Transfer in Unsteady Flow Past Two Cylinders in Tandem Arrangements. Int. J. Heat Fluid Flow 2008, 29, 1309–1318. [Google Scholar] [CrossRef]
- Willden, R.H.J.; Graham, J.M.R. Three Distinct Response Regimes for the Transverse Vortex-Induced Vibrations of Circular Cylinders at Low Reynolds Numbers. J. Fluids Struct. 2006, 22, 885–895. [Google Scholar] [CrossRef]
- Sharma, A.; Eswaran, V. Heat and fluid flow across a square cylinder in the two-dimensional laminar flow regime. Numer. Heat Transf. Part A Appl. 2004, 45, 247–269. [Google Scholar] [CrossRef]
- Singh, S.P.; Mittal, S. Vortex-Induced Oscillations at Low Reynolds Numbers: Hysteresis and Vortex-Shedding Modes. J. Fluids Struct. 2005, 20, 1085–1104. [Google Scholar] [CrossRef]
- Zhao, J.; Leontini, J.S.; Lo Jacono, D.; Sheridan, J. Fluid–Structure Interaction of a Square Cylinder at Different Angles of Attack. J. Fluid Mech. 2014, 747, 688–721. [Google Scholar] [CrossRef]
- Alam, M. A Note on Flow-Induced Force Measurement of Oscillating Cylinder by Loadcell. Ocean Eng. 2022, 245, 110538. [Google Scholar] [CrossRef]
- Bhatt, R.; Alam, M.M. Vibrations of a Square Cylinder Submerged in a Wake. J. Fluid Mech. 2018, 853, 301–332. [Google Scholar] [CrossRef]
- Li, M.; Li, Q.; Shi, H.; Li, M. Effects of Free-Stream Turbulence on the near Wake Flow and Aerodynamic Forces of a Square Cylinder. J. Fluids Struct. 2022, 114, 103748. [Google Scholar] [CrossRef]
- Zheng, Z.C.; Zhang, N. Frequency Effects on Lift and Drag for Flow Past an Oscillating Cylinder. J. Fluids Struct. 2008, 24, 382–399. [Google Scholar] [CrossRef]
- Mittal, S.; Prasanth, T.K.; Behara, S.; Singh, S.P.; Kumar, R. Effect of Blockage on Vortex-Induced Vibrations at Low Reynolds Numbers. J. Fluids Struct. 2006, 22, 865–876. [Google Scholar] [CrossRef]
- Alam, M.; Abdelhamid, T.; Sohankar, A. Effect of Cylinder Corner Radius and Attack Angle on Heat Transfer and Flow Topology. Int. J. Mech. Sci. 2020, 175, 105566. [Google Scholar] [CrossRef]
- Zhang, W.; Chen, X.; Yang, H.; Liang, H.; Wei, Y. Forced Convection for Flow across Two Tandem Cylinders with Rounded Corners in a Channel. Int. J. Heat Mass Transf. 2019, 130, 1053–1069. [Google Scholar] [CrossRef]
- Dhiman, A.K.; Chhabra, R.P.; Sharma, A.; Eswaran, V. Effects of Reynolds and Prandtl Numbers on Heat Transfer Across a Square Cylinder in the Steady Flow Regime. Numer. Heat Transf. Part A Appl. 2006, 49, 717–731. [Google Scholar] [CrossRef]
- Dwivedi, A.R.; Dhiman, A.K. Flow and Heat Transfer Analysis around Tandem Cylinders: Critical Gap Ratio and Thermal Cross-Buoyancy. J. Braz. Soc. Mech. Sci. Eng. 2019, 41, 487. [Google Scholar] [CrossRef]
- Rakhsha, M.; Kees, C.E.; Negrut, D. Lagrangian vs. Eulerian: An Analysis of Two Solution Methods for Free-Surface Flows and Fluid Solid Interaction Problems. Fluids 2021, 6, 460. [Google Scholar] [CrossRef]
- de Moraes, P.G.; Alcântara Pereira, L.A. Surface Roughness Effects on Flows Past Two Circular Cylinders in Tandem Arrangement at Co-Shedding Regime. Energies 2021, 14, 8237. [Google Scholar] [CrossRef]

















| Mesh | Nodes | St | St %Error | %Error | %Error | %Error | |||
|---|---|---|---|---|---|---|---|---|---|
| Grid-I (Coarse) | 15345 | 1.900 | 5.000 | 0.575 | 2.540 | 3.010 | 4.510 | 1.360 | 3.560 |
| Grid-II (Baseline) | 55982 | 0.194 | 3.000 | 0.580 | 1.694 | 2.930 | 1.736 | 1.370 | 2.830 |
| Grid-III (Fine-I) | 75009 | 0.1945 | 2.750 | 0.580 | 1.694 | 2.925 | 1.560 | 1.376 | 2.410 |
| Grid-IV(Fine-II) | 100322 | 0.195 | 2.500 | 0.580 | 1.694 | 2.910 | 1.040 | 1.380 | 2.120 |
| Singh and Mittal [33] | 26020 | 0.200 | 0.590 | 2.88 | 1.41 |
Publisher’s Note: MDPI stays neutral with regard to jurisdictional claims in published maps and institutional affiliations. |
© 2022 by the authors. Licensee MDPI, Basel, Switzerland. This article is an open access article distributed under the terms and conditions of the Creative Commons Attribution (CC BY) license (https://creativecommons.org/licenses/by/4.0/).
Share and Cite
Sarout, Y.; Islam, M.; Fatt, Y.; Janajreh, I. Flow around an Oscillating Cylinder at Low Reynolds Number with Forced Convection: Effect of Corner Radius and Reynolds Number. Energies 2022, 15, 9145. https://doi.org/10.3390/en15239145
Sarout Y, Islam M, Fatt Y, Janajreh I. Flow around an Oscillating Cylinder at Low Reynolds Number with Forced Convection: Effect of Corner Radius and Reynolds Number. Energies. 2022; 15(23):9145. https://doi.org/10.3390/en15239145
Chicago/Turabian StyleSarout, Yuvraj, Md. Islam, Yap Fatt, and Isam Janajreh. 2022. "Flow around an Oscillating Cylinder at Low Reynolds Number with Forced Convection: Effect of Corner Radius and Reynolds Number" Energies 15, no. 23: 9145. https://doi.org/10.3390/en15239145
APA StyleSarout, Y., Islam, M., Fatt, Y., & Janajreh, I. (2022). Flow around an Oscillating Cylinder at Low Reynolds Number with Forced Convection: Effect of Corner Radius and Reynolds Number. Energies, 15(23), 9145. https://doi.org/10.3390/en15239145

