Next Article in Journal
Diagnostic Fracture Injection Tests Analysis and Numerical Simulation in Montney Shale Formation
Next Article in Special Issue
A Review on Power Electronic Topologies and Control for Wave Energy Converters
Previous Article in Journal
Performance Analysis of Thermal Energy Storage System Integrated with a Cooking Unit
Previous Article in Special Issue
High-Efficiency and High-Performance Power Electronics for Power Grids and Electrical Drives
 
 
Font Type:
Arial Georgia Verdana
Font Size:
Aa Aa Aa
Line Spacing:
Column Width:
Background:
Article

Observer-Based, Robust Position Tracking in Two-Mass Drive System

by
Jacek Kabziński
* and
Przemysław Mosiołek
Institute of Automatic Control, Lodz University of Technology, 90-924 Lodz, Poland
*
Author to whom correspondence should be addressed.
Energies 2022, 15(23), 9093; https://doi.org/10.3390/en15239093
Submission received: 18 October 2022 / Revised: 25 November 2022 / Accepted: 27 November 2022 / Published: 30 November 2022

Abstract

Precise motion control remains one of the most important problems in modern technology. It is especially difficult in the case of two-mass systems with flexible coupling if only the motor position and velocity are measured. We propose a new methodology of control system design in this situation. The concept is founded on a robust observer design, based on a linear matrix inequality (LMI) solution. The observer cooperates with the original nonlinear controller. The presented approach allows us to solve the position tracking problem for a two-mass drive, with unknown parameters, in the presence of disturbances (for instance, nonlinear friction-like torques) acting on both ends of the flexible shaft. Under this set of assumptions, the problem was never solved previously. The closed-loop system stability is investigated, and the uniform ultimate boundedness of state estimation errors and tracking errors is proven using Lyapunov techniques. Numerical properties of the design procedure and characteristic features of the observer, controller, and closed-loop system are demonstrated by several examples.

1. Introduction

Precise motion control remains one of the most important problems in modern technology. The accurate tracking of the desired position trajectory is required in numerous branches of industry, various areas of robot applications, transportation, medical technologies, and many fields of everyday human activity. Modern servo drives, equipped with efficient and precise electrical motors, power electronic devices, and fast microprocessor controllers acting according to advanced control algorithms, usually match all requirements of accurate motion control. The idea of perfect control is based on the ability of an electric motor control system to generate the desired torque almost without any delay or inertia. The mechanical part of the system is responsible for transmitting this propelling torque to a load machine. Usually, it is assumed that the coupling satisfies the strict assumptions
  • the coupling is perfectly rigid and the position and the velocity of the load are the same as the position and the velocity of the motor shaft,
  • the parameters of the load machine are known and constant,
  • the acting disturbances are linear functions of state variables, for instance, viscous friction is proportional to rotational speed.
Under this hypothesis, it is possible to obtain high-quality motion tracking using standard, linear control algorithms. Unfortunately, in numerous important applications all these theoretical assumptions are substantially violated. This contribution considers such a situation, described by the following five assumptions:
(A1)
load position tracking is the main control aim,
(A2)
the motor is coupled with the load by a flexible shaft,
(A3)
the system is modeled by ordinary differential equations, but the parameters of the shaft and of the load machine are not known exactly,
(A4)
nonlinear disturbance torques are acting on both ends of the shaft independently,
(A5)
only the motor position and velocity are measured.
The adopted assumptions (A1–A5) result from the analysis of practical applications. We will address their significance in the following paragraphs.
Regarding (A1) and (A2):
This type of drive is usually modeled as the so-called two-mass system. The first mass represents the motor and is connected by a flexible coupling with the load mass. The torque transmitted by the shaft consists of two components: the first part (stiffness torque) is proportional to the angle of torsion, and the second (damping torque) is proportional to the time derivative of the angle of torsion. Therefore, elastic coupling is completely characterized by two constant coefficients—the stiffness coefficient and the damping coefficient. Examples of two-mass drives can be found in numerous applications, starting from huge industrial drives with a log transmission shaft, belt, or chain, such as rolling mill drives [1], conveyer belt drives [2], cage-hoist drives [3,4], drilling rigs used in oil and gas explorations [5], some special drives used in textile [6] and paper machines [7], space antennas [8] and manipulators [9]. A major problem of such systems, limiting their performance, is the existence flow-frequency torsional vibrations. A similar phenomenon, although in higher frequencies, is observed in CNC drives [10], wind turbines [11], and microelectromechanical systems (MEMS) [12]. An important example of a two-mass drive is a robotic manipulator with flexible joints [13]. Usually, a kind of harmonic reducer transmission is applied [14]. The high-speed deformation of the flexible wheel in the harmonic reducer often increases the internal flexibility of the joint.
Although for some of the applications mentioned above, such as drilling rigs and others, speed control and attenuation of torsional oscillations is the main control problem, position tracking remains the main control aim for many others (robotic drives, CNC drives, etc.). The arguments presented above justify why assumptions (A1) and (A2) are considered.
Regarding (A3) and (A4):
A two-mass system can be modeled using several sophisticated approaches:
  • distributed parameter models are used [15,16] if the shaft is long and axial, torsional, and lateral vibrations occur at the same time,
  • neutral-type time-delay models [17,18] can be applied if delays connected with the oscillatory waves traveling through the shaft are significant,
  • fractional order calculus [19] and some very specific techniques [20,21] can be used in special situations.
However, the majority of practically applicable controllers for two-mass drives were reported with the use of lumped parameter models, i.e., using ordinary differential equations (ODEs). The system is modeled as a mass-spring-damper, but the system parameters (especially the load inertia, stiffness, and dumping coefficients) are not known exactly, only some approximate values are available as an initial guess. Furthermore, in numerous applications, one has to consider disturbance torques acting independently at both ends of the shaft—the motor end and the load end. These disturbances, working against the motion, may be caused by friction or any other resistance caused by the load mechanism. It is rational to assume that a general, nonlinear function of the motor/load position and speed is available to model the disturbance torques, but again, the parameters are not known exactly. This reasoning explains why assumptions (A3) and (A4) are made.
Regarding (A5):
In a two-mass system, the position and the velocity of the motor end of the shaft are different then the position and the velocity of the load end. Although the load position tracking is the control aim, in numerous applications a direct measurement of the load-end shaft position and velocity is impossible. It is obvious in drilling rigs or CNC machines when the drill operates cutting a machining substance. Even if installing sensors at each end of the coupling is technically possible (as in some advanced robotic applications), numerous sensors may cause problems connected to zero drift, noise, and hysteresis, not to mention cost, fragility, and durability. Therefore, the number of sensors used is limited. This explains assumption (A5).
Control and state observations in two-mass drives have been hot research topics for many years. Although plenty of publications are available, it is difficult to find results concerning all conditions (A1–A5) considered and justified in this paper. Table 1 presents a comparison of several recently published references. The presented contribution is the only one taking all conditions (A1–A5) into account.
Of course, controller and observer designs for two-mass drives were investigated in the literature, under various assumptions, together or separately. Several active control methods were used to design controllers for two-mass systems, such as classical linear control techniques—proportional-integral (PI) control, linear-quadratic regulator (LQR), root locus, etc. [22]; artificial intelligence-based methods—artificial neural networks [23], linear model predictive control [24], fuzzy controllers [25]; nonlinear control techniques—nonlinear neural networks [26], adaptive nonlinear control [27,28,29], and a wave-based disturbance observer approach [30]. The majority of the described observer design methods concern load velocity observers. Among them are Luenberger observers (linear or nonlinear) [31], Kalman filters (extended, unscented) [32,33], moving horizon estimators [34], multilayer observers [35,36], LQ observers [37], and fixed gain filters (FGFs) [13]. A separate group consists of observers designed by numerous techniques inspired by artificial intelligence, but usually, the stability of such solutions was not proven.
Assumptions (A1–A5) determine that we have to cope with problems of state reconstruction (because of A5) and the tracking control (A1) for a nonlinear system (A4) with unknown parameters (A3). Therefore, an obvious technique to consider is to join an adaptive observer and an adaptive controller. This problem was investigated in [38] and it was observed that it requires the active cooperation of two adaptation mechanisms: the first acting in the observer and the other one in the controller. It is well known that adaptive observers for nonlinear systems require special conditions [39,40] and that the derivation of the stability and tuning is complicated.
Hence, in this contribution, the design is based on the nominal values of parameters and the effects of parameter mismatches and external disturbances are compensated using robust control techniques. First, the robust observer design technique is used [41]. It leads to a linear matrix inequality, which connects the observer’s performance with the uncertainty constraints. Adopting this design technique makes the Luenberger-type observer the most appropriate. The observer design is presented in Section 3, and stability (in the sense of uniform ultimate boundedness of the estimation error) is established. Next, the estimated load position and speed, together with the measured motor position and speed are used to design a nonlinear tracking controller. A procedure similar to backstepping is used, with some smart modifications. The uniform ultimate boundedness of the tracking error is demonstrated using Lyapunov techniques and the bounds on the tracking error are investigated. Finally, experiments with the closed-loop system are presented and conclusions are derived.
Table 1. Recent references.
Table 1. Recent references.
Assumptions
References(A1)(A2)(A3)(A4)(A5)ApproachIs Stability Proven?
[25]Violated—speed controlSatisfiedSatisfiedSatisfiedViolated—motor and load speed are measuredFuzzy controller with type I and type II fuzzy sets, tuned by PSONo
[37]Violated—speed controlSatisfiedPartially satisfied—”small” model inaccuraciesViolated—linear modelPartially satisfied—load speed estimation onlyLQ technique for observer, linear controllerYes—under assumptions of linearity
[42]SatisfiedSatisfiedViolated—known parametersViolated—load torque proportional to the load positionSatisfiedLinear state observer and zero-order disturbance observerYes—under assumptions of linearity
[35,36]Violated—speed controlSatisfiedViolated—known parametersViolated—constant load torque Partially satisfied—load speed estimation onlyParallel connection of the linear Luenberger observersNo
[13]SatisfiedSatisfiedViolated—known parametersViolated—constant load torqueSatisfiedSteady-state Kalman filter (KF), the fixed gain filter (FGF)Yes
[31]Violated—speed controlSatisfiedViolated—known parametersViolated—constant load torque Partially satisfied—load speed estimation onlyLinear and nonlinear Extended State Observer (ESO) is an essential part of the Active Disturbance Rejection Control.No
[29]Violated—speed controlSatisfiedSatisfiedViolated—constant load torqueViolated—motor and load speed are measuredNonlinear adaptive controllerYES
This contributionSatisfiedSatisfiedSatisfiedSatisfiedSatisfiedRobust observer, nonlinear controllerYES

2. Plant Model and the Problem Statement

We consider a two-mass drive system modeled by ordinary differential equations
x ˙ 1 = x 2 J 2 x ˙ 2 = c ( x 3 x 1 ) + d ( x 4 x 2 ) b 2 x 2 T f 2 ( x 2 ) d 2 ( t ) x ˙ 3 = x 4 J 4 x ˙ 4 = c ( x 3 x 1 ) d ( x 4 x 2 ) b 4 x 4 T f 4 ( x 4 ) d 4 ( t ) + T ,
where the used symbols represent:
  • J 2 —the inertia of the load,
  • J 4 —the inertia of the motor,
  • x 1 ,   x 2 —the angular position and velocity of the load,
  • x 3 ,   x 4 —the angular position and velocity of the motor,
  • T —the drive torque developed by the motor (the control input),
  • c —the stiffness coefficient,
  • d —the dumping coefficient,
  • b 2 ,   b 4 —the viscous friction coefficients associated with the load and the motor, respectively,
  • T f 2 ( x 2 ) ,   T f 4 ( x 4 ) —the nonlinear friction torque associated with the load and the motor, respectively,
  • d 2 ( t ) ,   d 4 ( t ) —the unstructured components representing all modeling errors and external disturbances.
We assume that friction, or any other torque acting against the motion, affects both sides of the shaft. It is modeled as a linear component (ex. viscus friction) b i x i ,   i = 2 , 4 (which will be included into a linear part of the model) and a nonlinear, smooth, and bounded component T f i ( x i ) ,   i = 2 , 4 . Exemplary functions T f i ( x i ) ,   i = 2 , 4 may be given by
T f i ( x i ) = ( f s i + ( f c i f s i ) e ( x i x s i ) 2 ) tanh ( K i x i ) ;       i = 2 , 4
representing the Stribeck effect on friction [43] and being parameterized by constant f s i ,   f c i ,   x s i ,   K i ,   i = 2 , 4 . The obtained results can be easily generalized to other forms of friction and load torque models, provided that T f i ,   i = 2 , 4 remain smooth and bounded functions of the state variables.
Bounded components d 2 ( t ) ,   d 4 ( t ) represent any uncertainties due to modelling errors, parameter mismatch, or external disturbances. In Equations (1)–(4), they have the character of additional load torques, not included in the parameterized components. As the modelling is as accurate as possible, it is reasonable to assume that d 2 ( t ) ,   d 4 ( t ) are bounded. Of course, motor-side parameters are usually much better known than load-side, and among them, the motor inertia J 4 is assumed to be known exactly.
Only the motor-side position and rotational speed are measured:
y = G x = [ x 3 x 4 ] = [ 0 0 1 0 0 0 0 1 ] x .
The aim of the derivation presented in this contribution is:
  • to design a robust observer able to estimate all state variables of the plant,
  • to propose a controller, which will allow sufficiently fast and accurate tracking of the desired load position x 1 d ( t ) .
Adopting notation
C 1 = c J 2 ,   C 2 = c J 4 , D 1 = d J 2 ,   D 2 ( t ) = d 2 ( t ) J 2 ,   D 4 = d J 4 ,   D 5 ( t ) = d 4 ( t ) J 4 ,   B 2 = b 2 J 2 ,   B 4 = b 4 J 4 ,   T F 2 ( x 2 ) = T f 2 ( x 2 ) J 2 ,   T F 4 ( x 4 ) = T f 4 ( x 4 ) J 4 ,   R = 1 J 4 ,
allows us to re-write the plant model (1) in a compact form:
x ˙ = A x F ( x ) + [ 0 0 0 1 ] R T + D ( t ) ,   x = [ x 1 x 2 x 3 x 4 ] ,
where
A = [ 0 1 0 0 C 1 D 1 B 2 C 1 D 1 0 0 0 1 C 2 D 4 C 2 D 4 B 4 ] ,       F ( x ) = [ 0 T F 2 ( x 2 ) 0 T F 4 ( x 4 ) ] ,     D ( t ) = [ 0 D 2 ( t ) 0 D 5 ( t ) ] .  
As d i ,   T f i ,   i = 2 , 4 are bounded functions, it is evident that | | F ( x ) | | ,   | | D ( t ) | | are bounded as well.
It is assumed that nominal, approximate values of model parameters in Equation (1) are available for the design. The subscript N denotes these values, i.e., C 1 N , C 2 N   D 1 N , D 4 N ,   B 2 N , B 4 N , T F 2 N ( x 2 ) , T F 4 N ( x 4 ) are known instead of the exact parameters used in Equations (5) and (6). Similarly, A N and F N ( x ) denote values calculated, as in Equation (6) but with the use of nominal parameters.
If the parameter mismatch is considered, i.e., it is assumed that instead of the exact values of A and F ( x ) , A N and F N ( x ) are available, the plant model may be represented as
x ˙ = A N x F N ( x ) + [ 0 0 0 1 ] R T + D c ( t ) = A N x F N ( x ) + [ 0 0 0 1 ] R T + (   A A N ) x ( t ) F ( x ( t ) ) + F N ( x ( t ) ) + D ( t ) ,
where
D c ( t ) =   Δ A x ( t ) Δ F ( x ( t ) ) + D ( t ) , Δ A = A A N = [ 0 0 0 0 C 1 + C 1 N D 1 + D 1 N B 2 + B 2 N C 1 C 1 N D 1 D 1 N 0 0 0 0 C 2 C 2 N D 4 D 4 N C 2 + C 2 N D 4 + D 4 N B 4 + B 4 N ] , Δ F N = F F N = [ 0 T F 2 ( x 2 ) T F 2 N ( x 2 ) 0 T F 4 ( x 4 ) T F 4 N ( x 4 ) ] .
As F ( x ) is a bounded function, its nominal model F N ( x ) is also bounded. Therefore, for any x the difference Δ F N ( x ) = F N ( x ) F ( x ) is bounded and for any two arguments x ,   x ^   F N ( x ) F N ( x ^ ) is bounded. As propelling torques acting in the system are limited and torques acting against the motion increase with the increasing velocities, the maximum available velocities are limited. Therefore, because of the structure of Δ A , Δ A x is bounded, and finally, D c ( t ) is bounded as well. The component D c ( t ) represents any uncertainty resulting from modelling errors, parameter mismatches, or external disturbances.
Let us denote another uncertainty-representing signal D p ( t ) = D c ( t ) + F N ( x ^ ( t ) ) F N ( x ( t ) ) , where x ^ ( t ) states for the estimated state variables. D p ( t ) includes a mismatch due to the state estimation error, and, as explained in the previous paragraph, it is also bounded.

3. The Observer

A robust observer is proposed for system Equation (7) as a simple extension of the Luenbeger observer and the observer robustness is obtained by the LMI technique. The observer equation is
x ^ ˙ = A N x ^ F N ( x ^ ) + [ 0 0 0 1 ] R T + L G ( x x ^ ) ,
where x ^ denotes the observer state variables and e = : x x ^ is the state estimation error. The matrix G , defined in Equation (3) declares that the motor speed and position are measured, while the matrix L represents the observer gains to be designed. Therefore, the estimation error dynamics is obtained by subtracting Equation (9) from Equation (7):
e ˙ = x ˙ x ^ ˙ = A N x F N ( x ) + [ 0 0 0 1 ] R T + D c ( t ) A N x ^ + F N ( x ^ ) [ 0 0 0 1 ] R T L G ( x x ^ ) = ( A N L G ) e + D p ( t ) .
where D p ( t ) = D c ( t ) + F N ( x ^ ( t ) ) F N ( x ( t ) ) .
The feedback-gain matrix L is designed to assure the robust stability of Equation (10). The Lyapunov function
V = e T P e
with a positive definite matrix P is considered. Let us introduce three more design parameters—a symmetric matrix M and positive scalars α and ϵ , which will be used to tune the observer accuracy and robustness.
The derivative of the Lyapunov function Equation (11) along the trajectories of system (10) is given by:
V ˙ = e ˙ T P e + e T P e ˙ = e T ( A N L G ) T P e + e T P ( A N L G ) e + D p T ( t ) P e + e T P D p ( t ) .
Hence, selecting
L = P 1 M G T ,
and adding and subtracting terms α e T e ,   ϵ D p T ( t ) D p ( t ) we obtain
V ˙ = e T A N T P e + e T P A N e e T G T G M e e T M G T G e + D p T ( t ) P e + e T P D p ( t ) + α e T e α e T e ϵ D p T ( t ) D p ( t ) + ϵ D p T ( t ) D p ( t ) .
This can be transformed into
V ˙ = γ T [ A N T P + P A N G T G M M G T G + α 1 4 P P ϵ 1 4 ] γ α e T e + ϵ D p T ( t ) D p ( t )
where γ = [ e D p ( t ) ] and hence, the observer stability theorem can be formulated.
Theorem 1.
If the linear matrix inequality
[ A N T P + P A N G T G M M G T G + α 1 4 P P ϵ 1 4 ] 0
is fulfilled for a symmetric M and positive definite P ,   for certain   ϵ > 0 ,   α > 0 , then for any uncertainty representing the component fulfilling
D p T ( t ) D p ( t ) ε 1
the trajectories of the system (10) are ultimately uniformly bounded (UUB) [44].
Proof of Theorem 1.
Indeed, under conditions (16) and (17), it follows from (15) that
V ˙ α e T e + ϵ ε 1 .
Hence, from (18) V ˙ < 0 outside of the set H = { e :   e T e ϵ ε 1 α } , and so, the trajectories of system (10) are ultimately uniformly bounded (UUB) to the set H ˜ —the tightest level set of V ( e ) (11) containing the set H [44]. Moreover, the set H ˜ is contained in H ¯ = { e :   e T e ϵ ε 1 λ m ( P ) α } , where λ m ( P ) stands for the minimal eigenvalue of the symmetric matrix P . □
The presented reasoning demonstrates that the state estimation error trajectories are UUB, and indicate the impact of the parameters λ m ( P ) ,   α ,   ϵ on the target set. The constraint e T e ϵ ε 1 λ m ( P ) α is usually very conservative and a better accuracy of the state estimation is obtained in practice, due to smart tuning.
The matrix M offers more flexibility while solving the LMI Equation (16). Although it is possible to solve Equation (16) with the pre-defined M , say M = I , having a symmetric M as design parameters is a smart trick to improve the obtained solution.
The quadruple of the matrices and parameters { M ,   P ,   ϵ > 0 , α > 0 }   fulfilling the LMI Equation (16) is not unique. To enhance the accuracy of the observer, it is necessary to select the minimal value of ϵ and the maximal value of λ m ( P ) and α among all solutions of Equation (16). If the value of ϵ   decreases, the set of remaining parameters α ,   P ,   M fulfilling Equation (16) narrows down. Similarly, if α increases, the set of remaining parameters ϵ ,   P ,   M fulfilling Equation (16) narrows down. Finally, it may be demonstrated that the biggest eigenvalue of P , λ M ( P ) , determines the speed of convergence to the target set. It is recommended that λ M ( P ) is not too high and so, the ratio λ M ( P ) λ m ( P ) should be as close to 1 as possible. The observer is always stable in the UUB sense, but the accuracy of the state estimation decreases if the disturbance bound ε 1 increases. The selected solution of Equation (16) decides about the important features of the observer, such as the magnitude of the observer gains.
Some numerical aspects of solving the LMI Equation (16) are presented by Example 1.
Example 1.
Numerical aspects of the observer design
The data are taken from the example described in Section 4, where A N = [ 0 1 0 0 1.2647 0.1364 1.2647 0.0027 0 0 0 1 0.2229 0.0005 0.2229 0.2008 ] and G = [ 0 0 1 0 0 0 0 1 ] .
The eigenvalues of the matrix A N are λ 1 = 0 , λ 2 = 0.1904 and λ 3 , 4 = 0.0734 ± 1.2172 i .
First, Nesterov and Nemirovski’s projective method [45], implemented in the function mincx from the MATLAB LMI toolbox was used to minimize the ϵ subject to the LMI Equation (16) for a given α > 0 . For matrices M and P , corresponding to the minimal value of ϵ , the minimal and maximal eigenvalues of P , the Frobenius norm of the observer gain matrix | | L | | , and the bound for the ultimate state observation error R = ϵ ε 1 λ m ( P ) α are calculated and presented in Table 2. If the solution of the LMI Equation (16) exists, for any combination of parameters, all eigenvalues of the matrix A N L G in the observer error Equation (10) are placed in the left half plane of the complex numbers. The distance of the closest eigenvalue to the imaginary axis d λ is presented in the last column of the table. Although the stability of this matrix is not enough for the observer stability under disturbances and in case of unknown/changed parameters (in this case LMI Equation (16) must be satisfied), it is sufficient if we know the plant exactly ( D p ( t ) = 0 in Equation (10)).
As shown in Table 2, increasing parameter α increases the minimum value of parameter ϵ, for which there exists a solution of the inequality Equation (16). For larger values of α, we obtain a smaller radius of the set H ¯ , to which the observer’s error trajectories ultimately end up. The observer gain may be reduced by constraining λ M ( P ) λ m ( P ) , but the error bound R increases. The impact of the constraints imposed on the eigenvalues of P on | | L | | and R is presented in Table 3. In this case, the same algorithm implemented in the function feasp was used to calculate M and P from LMI Equation (16), subject to constraints imposed on the eigenvalues of P .
Table 4 shows the impact of the value of parameter ϵ on the solution of LMI Equation (16) for the fixed value of parameter α . Again, the function feasp was used.
Table 4 shows that, for a constant α , an increase in ϵ reduces the value of the observer’s gain matrix L . The change of parameter ϵ has a small influence on the radius of the set H ¯ .
We have to remember that Nesterov and Nemirovski’s projective method implemented in MATLAB function feasp, provides us with ‘the most robust’ solution of the LMI. It maximizes the coefficient p such that the left side of the LMI + p I remains a negative definite. It may offer solutions corresponding to an unnecessary huge p and resulting in an unnecessary big | | L | | . Therefore developing some other methods, for example, minimizing the performance index which takes | | L | | into account, may be beneficial.
The presented remarks and the example demonstrate the main rules of the observer tuning. In summary, a good robust observer design requires obtaining a balance between various requirements.

4. Tracking Controller with the Compensation of the State Estimation Errors

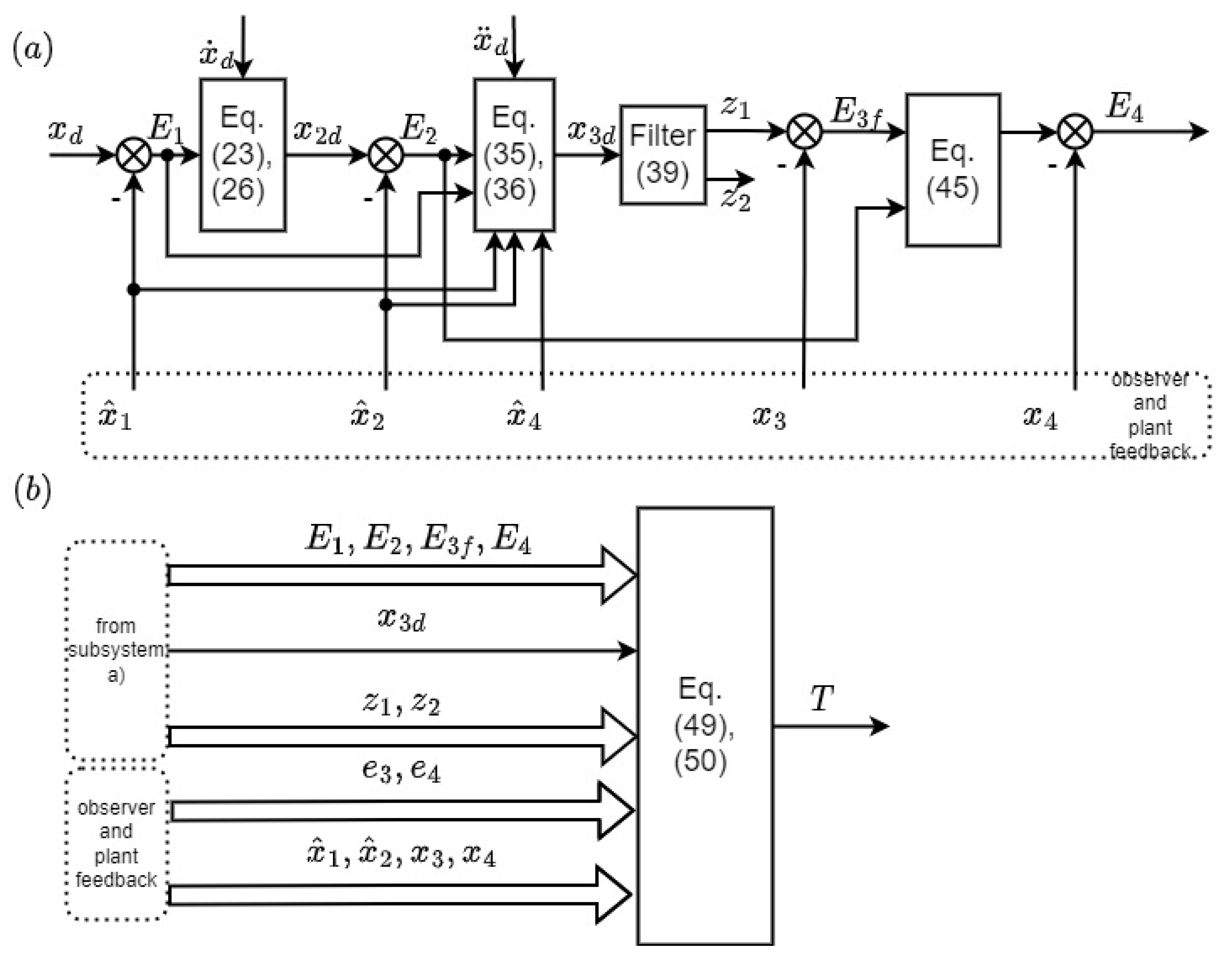
According to the main control aim, the system is supposed to track the desired trajectory x d ( t ) of the load position x 1 . As the motor position and velocity are measured, the third and fourth components of the state estimation error e = x x ^ = [ e 1 e 2 e 3 e 4 ] can be used to improve the control system, while the load position and velocity must be substituted by the estimated variables obtained from the observer. The schema of the control system is presented in Figure 1.
A recurrent, step-by-step technique similar to backstepping is developed to derive the controller. At each stage, a tracking error subsystem is considered, a virtual control signal is pointed, and a Lyapunov function is investigated to propose the desired trajectory of the virtual control, such that it introduces a stabilizing term and cancels unnecessary components in the Lyapunov function derivative. Next, the virtual control tracking error is joined and the procedure is repeated. Finally, the real control is designed. The observer requires the measurement of motor speed and position while all state variables (motor position, motor speed, load position, load speed) are estimated. The nonlinear controller requires all estimated state variables and estimation errors e 3 ,   e 4 , therefore, it uses the measured motor position and speed indirectly. The main advantage of the proposed structure is that the nonlinear controller is able to react to tracking errors and observer estimation errors as well.
Stage 1.
Let us define the observer-based tracking error:
E 1 = x d x ^ 1
and use Equation (9), remembering about the structure of G in Equation (3), to formulate the equation
E ˙ 1 = x ˙ d x ^ ˙ 1 = x ˙ d x ^ 2 l 11 e 3 l 12 e 4
where l 11 ,   l 12 are appropriate entries of the observer gain matrix L and e 3 ,   e 4 are appropriate components of the state estimation error e .
The error E 1 is stabilized by a proper shaping of the signal x ^ 2 (estimated load velocity obtained from the observer), which is forced to follow the desired trajectory x 2 d . Denoting the tracking error for x ^ 2 by
E 2 = x 2 d x ^ 2
provides
E ˙ 1 = x ˙ d x 2 d + E 2 l 11 e 3 l 12 e 4
The desired trajectory x 2 d is proposed as
x 2 d = x ˙ d + w 1 E 1
and the stabilizing gain w 1 will be derived from the Lyapunov function
V 1 = V + 1 2 E 1 2
According to Equations (18) and (23), the derivative of this function along the trajectories of system (22) is given by
V ˙ 1 = V ˙ + E 1 E ˙ 1 α e T e + ϵ ε 1 + E 1 ( w 1 E 1 + E 2 l 11 e 3 l 12 e 4 )
Selecting w 1 as
w 1 = k 1 + l 11 2 + l 12 2 4 r 1 ,
where k 1 > 0 and r 1 > 0 are design parameters, and observing that ‘completing the square technique’ provides
l 11 e 3 E 1 l 12 e 4 E 1 = r 1 ( e 3 2 + e 4 2 ) r 1 ( e 3 + l 11 2 r 1 E 1 ) 2 r 1 ( e 4 + l 11 2 r 1 E 1 ) 2 + l 11 2 + l 12 2 4 r 1 E 1
and allows to represent Equation (25) as
V ˙ 1 α e T e + ϵ ε 1 + E 1 ( k 1 E 1 + l 11 2 + l 12 2 4 r 1 E 1 + E 2 l 11 e 3 l 12 e 4 ) = α e T e + ϵ ε 1 k 1 E 1 2 + E 1 E 2 + r 1 ( e 3 2 + e 4 2 ) r 1 ( e 3 + l 11 2 r 1 E 1 ) 2 r 1 ( e 4 + l 11 2 r 1 E 1 ) 2 ( α r 1 ) e T e k 1 E 1 2 + E 1 E 2 + ϵ ε 1 .
Under conditions that the design parameters are selected to ensure that α r 1 > 0 ,   k 1 > 0 , Equation (28) provides stability after the compensation of the terms E 1 E 2 + ϵ ε 1 , which will be canceled in the next stage. Moreover, Equation (22) is transformed into
E ˙ 1 = w 1 E 1 + E 2 l 11 e 3 l 12 e 4
Stage 2.
The motion of E 2 defined in Equation (22) is given by:
E ˙ 2 = x ˙ 2 d x ^ ˙ 2 = x ¨ d + w 1 E ˙ 1 x ^ ˙ 2 = x ¨ d + w 1 ( w 1 E 1 + E 2 l 11 e 3 l 12 e 4 ) + C 1 N x ^ 1 + ( D 1 N + B 2 N ) x ^ 2 C 1 N x ^ 3 D 1 N x ^ 4 + F 2 N ( x ^ 2 ) l 21 e 3 l 22 e 4 = x ¨ d + w 1 ( w 1 E 1 + E 2 l 11 e 3 l 12 e 4 ) + C 1 N x ^ 1 + ( D 1 N + B 2 N ) x ^ 2 C 1 N x 3 + C 1 N e 3 D 1 N x ^ 4 + F 2 N ( x ^ 2 ) l 21 e 3 l 22 e 4
The motor position x 3 is available and is used as a virtual control stabilizing E 2 . The desired trajectory for x 3 is denoted by x 3 d and the tracking error is defined as
E 3 = x 3 d x 3
Therefore, Equation (30) is transformed into
E ˙ 2 = x ¨ d + w 1 ( w 1 E 1 + E 2 l 11 e 3 l 12 e 4 ) + C 1 N x ^ 1 + ( D 1 N + B 2 N ) x ^ 2 C 1 N x 3 d + C 1 N E 3 + C 1 N e 3 D 1 N x ^ 4 + F 2 N ( x ^ 2 ) l 21 e 3 l 22 e 4
Similar techniques as used in stage 1 are applied to stabilize signals e ,   E 1 ,   E 2 . The Lyapunov function
V 2 = V 1 + 1 2 E 2 2
provides
V ˙ 2 = V ˙ 1 + E 2 E ˙ 2 ( α r 1 ) e T e k 1 E 1 2 + E 1 E 2 + ϵ ε 1 + E 2 ( x ¨ d + w 1 ( w 1 E 1 + E 2 l 11 e 3 l 12 e 4 ) + C 1 N x ^ 1 + ( D 1 N + B 2 N ) x ^ 2 C 1 N x 3 d + C 1 N E 3 + C 1 N e 3 D 1 N x ^ 4 + F 2 N ( x ^ 2 ) l 21 e 3 l 22 e 4 ) .
Having in mind that x 3 d shall provide a negative definite term concerning E 2 and compensate for unnecessary terms in Equation (34), using the square completing technique, as in stage 1, we see that selecting such x 3 d that
C 1 N x 3 d = x ¨ d + w 2 E 2 + w 1 ( w 1 E 1 + E 2 ) + C 1 N x ^ 1 + ( D 1 N + B 2 N ) x ^ 2 D 1 N x ^ 4 + F 2 N ( x ^ 2 ) + C 1 N 2 2 E 2 + E 1 ,
where
w 2 = k 2 + ( w 1 l 11 + l 21 C 1 N ) 2 + ( w 1 l 12 + l 22 ) 2 4 r 2 + C 1 N 2 2
and k 2 > 0 ,   r 2 > 0 are selected by a designer, provides
E ˙ 2 = k 2 E 2 ( w 1 l 11 + l 21 C 1 N ) 2 + ( w 1 l 12 + l 22 ) 2 4 r 2 E 2 + w 1 ( l 11 e 3 l 12 e 4 ) + C 1 N E 3 + C 1 N e 3 l 21 e 3 l 22 e 4 E 1 C 1 N 2 2 E 2 = w 2 E 2 + w 1 ( l 11 e 3 l 12 e 4 ) + C 1 N E 3 + C 1 N e 3 l 21 e 3 l 22 e 4 E 1
and allows to represent the Lyapunov function derivative as
V ˙ 2 = V ˙ 1 + E 2 E ˙ 2 ( α r 1 ) e T e k 1 E 1 2 + E 1 E 2 + ϵ ε 1 + E 2 ( ( w 1 l 11 + l 21 C _ 1 N ) 2 + ( w 1 l 12 + l 22 ) 2 4 r 2 E 2 + w 1 ( l 11 e 3 l 12 e 4 ) ) + E 2 ( k 2 E 2 C 1 N E 3 C 1 N e 3 l 21 e 3 l 22 e 4 E 1 C 1 N 2 2 E 2 ) = ( α r 1 ) e T e k 1 E 1 2 k 2 E 2 2 + ϵ ε 1 + C 1 N E 3 E 2 C 1 N 2 2 E 2 2 + r 2 ( e 3 2 + e 4 2 ) r 2 ( e 3 + w 1 l 11 + l 21 C 1 N 4 r 2 E 2 ) 2 r 2 ( e 4 + w 1 l 12 + l 22 4 r 2 E 2 ) 2 ( α r 1 r 2 ) e T e k 1 E 1 2 k 2 E 2 2 + ϵ ε 1 + C 1 N E 3 E 2 C 1 N 2 2 E 2 2 .
Stage 3.
As expression (35) is quite complex, the exact derivative of x 3 d is substituted by an approximate one provided by a linear filter
z ˙ 1 = z 2 , z ˙ 2 = 1 a 2 ( x 3 d z 1 a 1 z 2 ) .
This technique is called the virtual control command filtering [44] or dynamic surface method [46]. The filter parameters a 1 and a 2 are selected to place the roots of the characteristic polynomial a 2 s 2 + a 1 s + 1 at two negative real positions to make the filter transient sufficiently fast and smooth. It is possible to select the initial conditions of the filter, such that ρ = x 3 d z 1 is bounded:
| ρ | = | x 3 d z 1 | ρ m < .
When the transient of system (39) is finished, z 1 x 3 d and so, z 2 x ˙ 3 d . Therefore, two tracking errors are considered at this stage:
E 3 = x 3 d x 3 ,     E 3 f = z 1 x 3 = ( x 3 d z 1 ) + ( x 3 d x 3 ) = E 3 ρ .
It follows from Equation (39) and Equation (1), that the trajectories of E 3 f are given by
E ˙ 3 f = z ˙ 1 x ˙ 3 = z 2 x 4
and hence, x 4 is used as the virtual control at this stage. The desired trajectory for x 4 is denoted by x 4 d and
E 4 = x 4 d x 4 .
stands for the tracking error.
The Lyapunov function, taking into account signals e ,   E 1 ,   E 2 ,   E 3 f , is
V 3 = V 2 + 1 2 E 3 f 2   .
Selecting x 4 d as
x 4 d = z 2 + k 3 E 3 f + C 1 N E 2 .
where k 3 > 0 , we are able to obtain
E ˙ 3 f = z 2 x 4 d + E 4 = k 3 E 3 f + E 4 C 1 N E 2 .
and
V ˙ 3 = V ˙ 2 + 1 2 E 3 f E ˙ 3 f ( α r 1 r 2 ) e T e k 1 E 1 2 k 2 E 2 2 + ϵ ε 1 C 1 N 2 2 E 2 2 + C 1 N E 3 f E 2 + C 1 N ρ E 2 C 1 N 2 2 E 2 2 + E 3 f ( k 3 E 3 f + E 4 C 1 N E 2 ) = ( α r 1 r 2 ) e T e k 1 E 1 2 k 2 E 2 2 k 3 E 3 f 2 + E 3 f E 4 + ϵ ε 1 1 2 ( ρ C 1 N E 2 ) 2 + 1 2 ρ 2 ( α r 1 r 2 ) e T e k 1 E 1 2 k 2 E 2 2 k 3 E 3 f 2 + E 3 f E 4 + ϵ ε 1 + 1 2 ρ m 2
Stage 4.
Finally, we are able to use the real control T to stabilize the complete system. We start with the dynamics of the tracking error Equation (43):
E ˙ 4 = x ˙ 4 d x ˙ 4 = x 4 d x ˙ 4 = z ˙ 2 + k 3 E ˙ 3 f + C 1 N E ˙ 2 C 2 N x 1 D 4 N x 2 + C 2 N x 3 + ( D 4 N + B 4 N ) x 4 + F N 4 ( x 4 ) R T D C 4 ( t ) = 1 a 2 ( x 3 d z 1 a 1 z 2 ) + k 3 ( k 3 E 3 f + E 4 C 1 N E 2 ) + C 1 N ( w 2 E 2 + w 1 ( l 11 e 3 l 12 e 4 ) + C 1 N E 3 ) + C 1 N ( C 1 N e 3 l 21 e 3 l 22 e 4 E 1 ) + C 2 N x 3 + ( D 4 N + B 4 N ) x 4 + F N 4 ( x 4 ) C 2 N x ^ 1 C 2 N e 1 D 4 N x ^ 2 D 4 N e 2 R T D C 4 ( t )
where D C 4 ( t ) stands for the fourth component of uncertainty representing signal D C ( t ) defined in Equation (8) and is bounded: | D C 4 ( t ) | D c 4 m ε 1 .
Selecting the control
R T = 1 a 2 ( x 3 d z 1 a 1 z 2 ) + k 3 ( k 3 E 3 f + E 4 C 1 N E 2 ) + C 1 N ( w 2 E 2 + C 1 N E 3 ) + C 1 N ( w 1 ( l 11 e 3 l 12 e 4 ) + C 1 N e 3 l 21 e 3 l 22 e 4 E 1 ) + C 2 N x 3 + ( D 4 N + B 4 N ) x 4 + F N 4 ( x 4 ) C 2 N x ^ 1 D 4 N x ^ 2 + ε 1 tanh ( E 4 μ ) + w 4 E 4 + E 3 f
with
w 4 = k 4 + C 2 N 2 + D 4 N 2 4 r 3
where the design parameters are k 4 > 0 ,   r 3 > 0 ,   μ > 0 , we are able to obtain
E ˙ 4 = k 4 E 4 E 3 f C 2 N 2 + D 4 N 2 4 r 3 E 4 C 2 N e 1 D 4 N e 2 ε 1 tanh ( E 4 μ ) D C 4 ( t )
The final Lyapunov function, taking the complete system and the observer into account is
V 4 = V 3 + 1 2 E 4 2 .
Therefore,
V ˙ 4 = V ˙ 3 + E 4 E ˙ 4 ( α r 1 r 2 ) e T e k 1 E 1 2 k 2 E 2 2 k 3 E 3 f 2 + E 3 f E 4 + ϵ ε 1 + 1 2 ρ m 2 + E 4 ( k 4 E 4 E 3 f C 2 N 2 + D 4 N 2 4 r 3 E 4 C 2 N e 1 D 4 N e 2 ε 1 tanh ( E 4 μ ) D C 4 ( t ) ) = ( α r 1 r 2 ) e T e k 1 E 1 2 k 2 E 2 2 k 3 E 3 f 2 k 4 E 4 2 + ϵ ε 1 + 1 2 ρ m 2 + r 3 ( e 1 2 + e 2 2 ) r 3 ( e 1 + C 2 N 2 r 3 E 4 ) 2 r 3 ( e 2 + D 4 N 2 r 3 E 4 ) 2 ε 1 E 4 tanh ( E 4 μ ) E 4 D C 4 ( t )
and this provides the inequality
V ˙ 4 ( α r 1 r 2 r 3 ) e T e k 1 E 1 2 k 2 E 2 2 k 3 E 3 f 2 k 4 E 4 2 + ϵ ε 1 + 1 2 ρ m 2 ε 1 E 4 tanh ( E 4 μ ) + ε 1 | E 4 | ε 1 | E 4 | + | E 4 | | D C 4 ( t ) | .
Using the well-known inequality 0 | u | u tanh ( u μ ) 0.278 μ [47] simplifies Equation (54) into
V ˙ 4 ( α r 1 r 2 r 3 ) e T e k 1 E 1 2 k 2 E 2 2 k 3 E 3 f 2 k 4 E 4 2 + ϵ ε 1 + 1 2 ρ m 2 + 0.278 μ ε 1 .
This derivation can be concluded by the following theorem.
Theorem 2.
If the positive design parameters α ,   ϵ (for the observer) and k 1 , k 2 , k 3 ,   k 4 , r 1 , r 2 , r 3 , μ (for the controller) are selected to fulfill the condition
α r 1 r 2 r 3 > 0 ,    
the trajectories of the state vector ϑ = [ e   E 1   E 2   E 3 f   E 4 ] T are uniformly ultimately bounded (UUB).
Proof of Theorem 2.
Indeed, it follows from (55) that V ˙ 4 < 0 outside a compact set D = { ϑ :   ϑ 2 Ω K m } , where Ω = ϵ ε 1 + 1 2 ρ m 2 + 0.278 μ ε 1 and K m = min { α r 1 r 2 r 3 , k 1 , k 2 , k 3 ,   k 4   } , so the trajectories of ϑ are ultimately uniformly bounded (UUB) to the tightest level set of V 4 ( ϑ ) containing the set D [44].
Moreover, it is possible to reduce the volume of D by increasing K m , i.e., increasing α , k 1 , k 2 , k 3 ,   k 4 . □
The obtained result concerns the tracking gap E 1 = x 1 d x ^ 1 between the desired load position and the estimated load position obtained from the observer. The main aim of the controller is to diminish the tracking error x 1 d x 1 between the desired and real load position. Considering that
| x 1 d x 1 | = | x 1 d x ^ 1 + x ^ 1 x 1 | = | E 1 e 1 | | E 1 | + | e 1 |
and that both E 1 and e 1 are UUB proves that also x 1 d x 1 is UUB.
Further investigation of Equation (55) allows to write down:
V ˙ 4 ( α r 1 r 2 r 3 ) e T e k 1 E 1 2 k 2 E 2 2 k 3 E 3 f 2 k 4 E 4 2 + Ω ( α r 1 r 2 r 3 λ M ( P ) ) e T λ M ( P ) e k 1 E 1 2 k 2 E 2 2 k 3 E 3 f 2 k 4 E 4 2 2 γ m 1 2 ( 2 e T P e + E 1 2 + E 2 2 + E 3 f 2 + E 4 2 ) + Ω = k m V 4 + Ω
where
γ m = min { α r 1 r 2 r 3 2 λ M ( P ) ,   k 1 ,   k 2 , k 3 , k 4 } ,   k m = 2 γ m .
The inequality (58) is the initial point to the series of transformations:
e k m t V ˙ 4 k m e k m t V 4 + e k m t Ω d d τ [ e k m τ V 4 ] e k m t Ω 0 t d d τ [ e k m τ V 4 ( τ ) ] d τ 0 t e k m τ Ω d τ e k m t V 4 | 0 t   e k m t Ω k m | 0 t e k m t V 4 V 4 ( 0 ) Ω k m ( e k m t 1 ) V 4 ( t ) e k m t V 4 ( 0 ) + Ω k m ( 1 e k m t )
Using the last inequality, we obtain
1 2 λ m ( P ) e 1 2 1 2 λ m ( P ) e T e 1 2 e T P e V 4 e k m t V 4 ( 0 ) + Ω k m ( 1 e k m t )
and
1 2 E 1 2 V 4 e k m t V 4 ( 0 ) + Ω k m ( 1 e k m t ) .
As E 1 2 + 2 e 1 E 1 + e 1 2 0 and ( x 1 d x 1 ) 2 = ( E 1 e 1 ) 2 = E 1 2 2 e 1 E 1 + e 1 2 E 1 2 2 e 1 E 1 + e 1 2 + E 1 2 + 2 e 1 E 1 + e 1 2 = 2 ( E 1 2 + e 1 2 ) , inequalities (59) and (60) result in
( x 1 d x 1 ) 2 2 ( E 1 2 + e 1 2 ) e k m t V 4 ( 0 ) + Ω k m ( 1 e k m t ) + 1 λ m ( P ) ( e k m t V 4 ( 0 ) + Ω k m ( 1 e k m t ) ) e k m t ( V 4 ( 0 ) + V 4 ( 0 ) λ m ( P ) ) + ( Ω k m + Ω λ m ( P ) k m ) ( 1 e k m t ) .
So, for t
lim t | x 1 d x 1 | Ω k m + Ω λ m ( P ) k m .
The inequalities (63) and (64) derived here may be too conservative to provide practical constraints for the tracking error, but they clearly indicate the influence of the design parameters on the transient and quasi-steady-state behavior of the tracking error.
In Figure 2, the schema of the proposed controller is presented. The procedure for tuning the controller parameters is shown in Figure 3.

5. Results

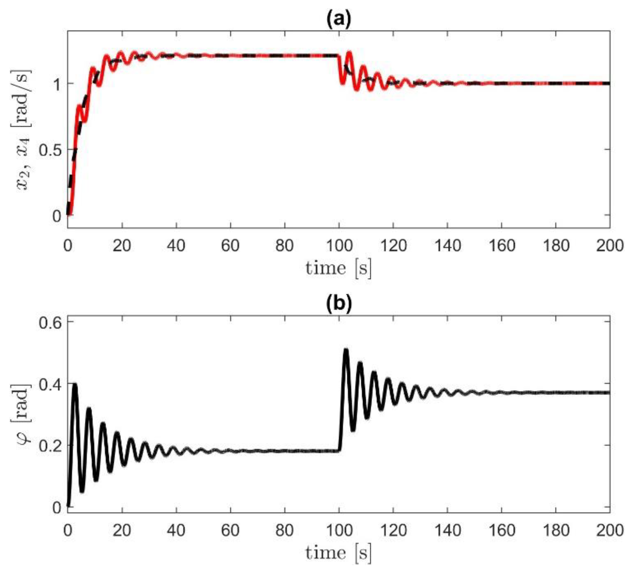
The distinctive features of the proposed approach are investigated by a simulation of a drive with load and motor inertia J 2 = 374   [ k g   m 2 ] ,     J 4 = 2122   [ k g   m 2 ] . Such big values are typical for huge manipulators used in heavy industries. The parameter J 4 contains not only the motor but also the so-called rotary table. A simplified diagram of such a device, used to manipulate objects in a huge CNC machine is shown in Figure 4.
The friction torques of the motor T 4 and load T 2 are described by
T i ( x i ) = b i x i + T f i ( x i ) ,       T f i ( x i ) = ( f s i + ( f c i f s i ) e ( x i x s i ) 2 ) tanh ( K i x i ) ;       i = 2 , 4 .
The parameters in Equation (65) are: b 4 = 50   [ N m s r a d ] ,   b 2 = 425   [ N m s r a d ] ,   f s 4 = 150   [ N m ] ,   f c 4 = 400   [ N m ] , f s 2 = 15   [ N m ]   ,   f c 2 = 24   [ N m ] ,   x s 2 = x s 4 = 0 , 1 [ r a d s ] ,   K 2 = K 4 = 100   [ s r a d ]   . The stiffness and damping parameters of the shaft are: c = 473   [ N m r a d ]   ,   d = 1 [ N m · s r a d ] . The exact value of matrix A is:
A = [ 0 1 0 0 1.2647 0.1364 1.2647 0.0027 0 0 0 1 0.2229 0.0005 0.2229 0.2008 ]
The step response of the motor speed and the load speed is shown in Figure 5. At t = 100   [ s ] ,     f s 2   ,   f c 2 were multiplied by 10 / 3 . We can observe the oscillatory character of the two-mass resonant systems. As the moments of inertia J 4 ,     J 2 are quite big, the plant is rather slow. The strongly nonlinear friction also contributes to high amplitude oscillations visible during the first 40 s of the step response. In Figure 6, the open loop position control is presented. The drive is started with constant torque T = 550   [ N m ] . At time t = 40   [ s ] the value of the propelling torque T was changed to zero. Torsional vibrations are visible in both cases—in Figure 5 and Figure 6, during the starting and braking phases. The oscillatory shaft twisting is visible in plots of the torsion angle. Of course, it is an unacceptable phenomenon and will be eliminated by the proposed controller.
Simulation examples, selected from many performed, are presented below. In the first example, the properties of the proposed robust observer were checked. The second example presents the results of the designed control algorithm.

5.1. Example 2—Observer Performance

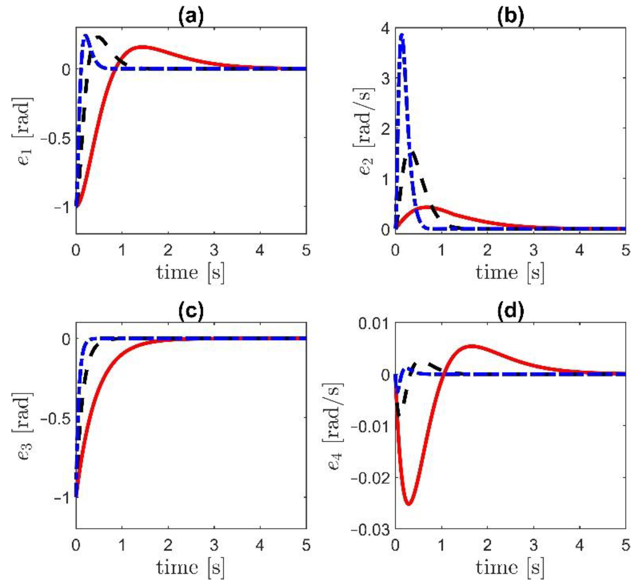
First, the features of the observer proposed in Section 2 are presented. The tuning of the observer begins with selecting parameters α and ϵ and solving inequality (16). The gain matrix L is calculated from Equation (13).
In the first experiment, the influence of the design parameters on the performance of the observer was checked. The initial conditions for the observer were selected as x ^ ( 0 ) = [ 1   0   1   0 ] T and for the two mass system as x = [ 0   0   0   0 ] T . The constant torque T = 2000   [ N m ] is applied. It was assumed that all plant parameters are known, so the nominal matrix A N was equal to the true matrix A . The tests were carried out for three values of the parameter α : α 1 = 1 ; α 2 = 3 and α 3 = 7 , while ϵ remains constant ϵ = 100 . Following the solution of LMI (16), the gain matrices L were obtained:
L 1 = [ 0 498 37.9 6.3 69 30 6.7 179 ] ;   L 2 = [ 0 1169 12.6 437 69 10 2.2 186 ] ;   L 3 = [ 0 1870 10 1568 16 1 0.22 4.4 ]  
The results of the experiment are shown in Figure 7. All errors converge to zero, so x ^ x . The proposed observer provides the perfect estimation of state variables x if the exact parameters of the plant are known. A faster error convergence is obtained for higher values of parameter α .
In the second experiment, the observer robustness was tested against the parametric uncertainty. The observer errors e 1 and e 2 are shown in Figure 8 for two different values of parameters α . The observer is started knowing the actual values of parameters J 1 , J 2 , f s 4 , f c 4 ,   f s 2   , f c 2 , x s 2 , and x s 4 . The real parameters c , d , b 2 , and b 4 used in the observer were equal to 110% of the nominal parameters. The constant torque T = 2000   [ N m ] was applied. At t = 60   [ s ] , the actual value of J 2   (load inertia) was increased to 120 % of the nominal value ( J 2 = 449   [ k g   m 2 ] ). Finally, at t = 120   [ s ] , the actual   f s 2 and f c 2 (load-end friction parameters) were increased to 120 % of the nominal values ( f s 2 = 18   [ N m ] ,   f c 2 = 29   [ N m ] ). The initial conditions of the observer and the drive were equal.
The proposed observer is working correctly. The influence of the plant parameter changes is stronger if the design parameter α is smaller. For a wide range of parameter changes, the proposed observer is stable in the UUB sense, the steady-state errors are small (less than 0.25% of the steady-state values), and will be compensated by the nonlinear tracking controller.

5.2. Example 2—Closed-Loop System Performance

The closed-loop system is designed, starting with the selection of parameters α and ϵ . Next, the LMI Equation (16) is solved and therefore the observer is designated. The design of the controller requires the selection of the parameters of the filter— a 1 and a 2 Equation (39), and next, the controller parameters k 1 , k 2 , k 3 ,   k 4 , r 1 , r 2 , r 3 , μ must be adjusted, having in mind inequality (56). The gains k 1 , k 2 , k 3 ,   k 4 are especially important, as they influence the speed of convergence and the quasi-steady-state behavior of the tracking errors.
For all presented experiments, the observer was designed using α = 0.5 and ϵ = 300. The gain matrix L was calculated from Equation (13)
L = [ 0 223.4 1.2647 231.04 4.6 1 0.2229 12263 ]  
The filter parameters in Equation (39) are a 1 = 0.02 and a 2 = 10 4 . The controller parameters r 1 = r 2 = r 3 = 0.05 , μ = 0.01 are constant, while a few variants of the gains k 1 , , k 4 are tested.
During the first experiment, the position tracking of a continuous reference trajectory is studied. The desired position is x 1 d = 0.3 sin ( 0.3 t ) . The observer initial condition is x ^ ( 0 ) = [ 0   0   0   0 ] T and the drive initial condition is x ( 0 ) = [ 0.3   0   0   0 ] T .
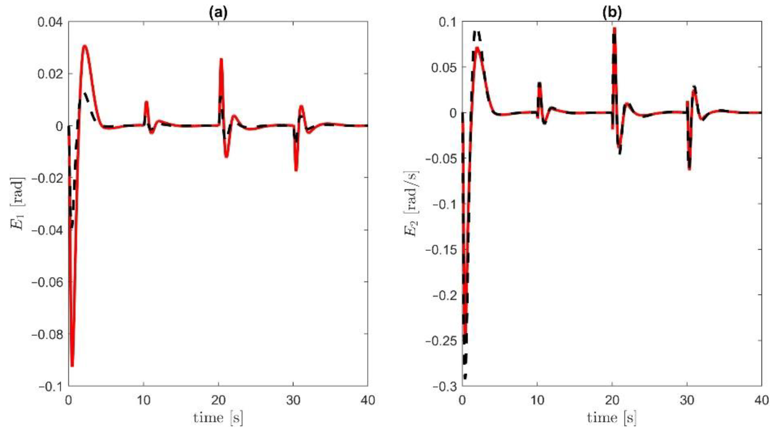
Nominal values of parameters J 2 ,   f s 2 , and f c 2 are equal to 120% of the true values. Other parameters are known exactly. The results of the experiments are shown in Figure 7, Figure 8 and Figure 9.
Figure 9 demonstrates the internal controller tracking errors E 1 = x d x ^ 1 and E 2 = x 2 d x ^ 2 for the different values of control parameters k 1 , , k 4 . Filtered error E 3 f and error E 4 are shown in Figure 10 (only initial and quasi-steady state parts of the time history are presented in Figure 10b). The proposed controller is working correctly in a wide range of controller gains k 1 , , k 4 . The internal signals of the controller are UUB. For the bigger values of parameters k i the steady-state tracking errors E i are smaller.
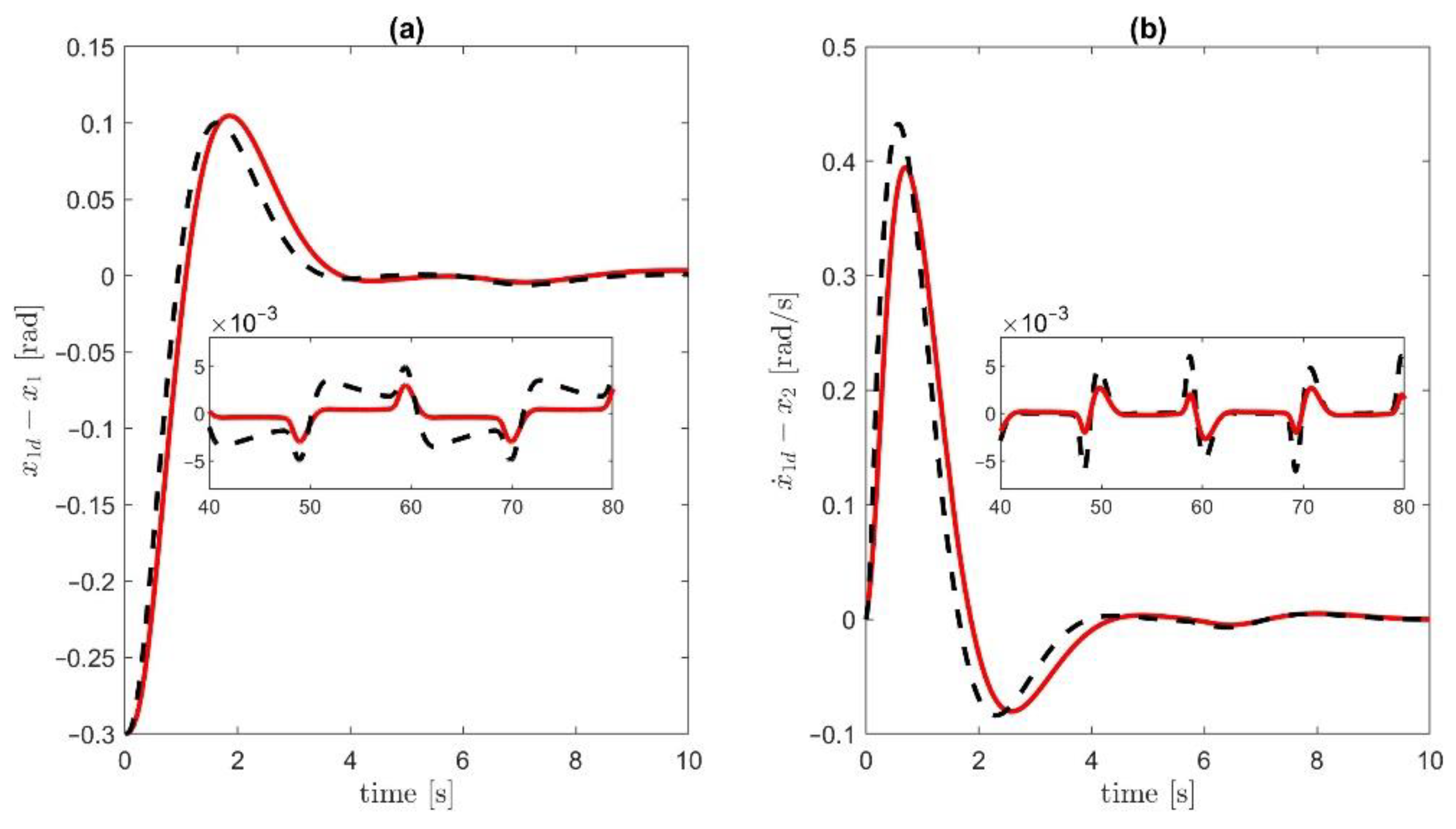
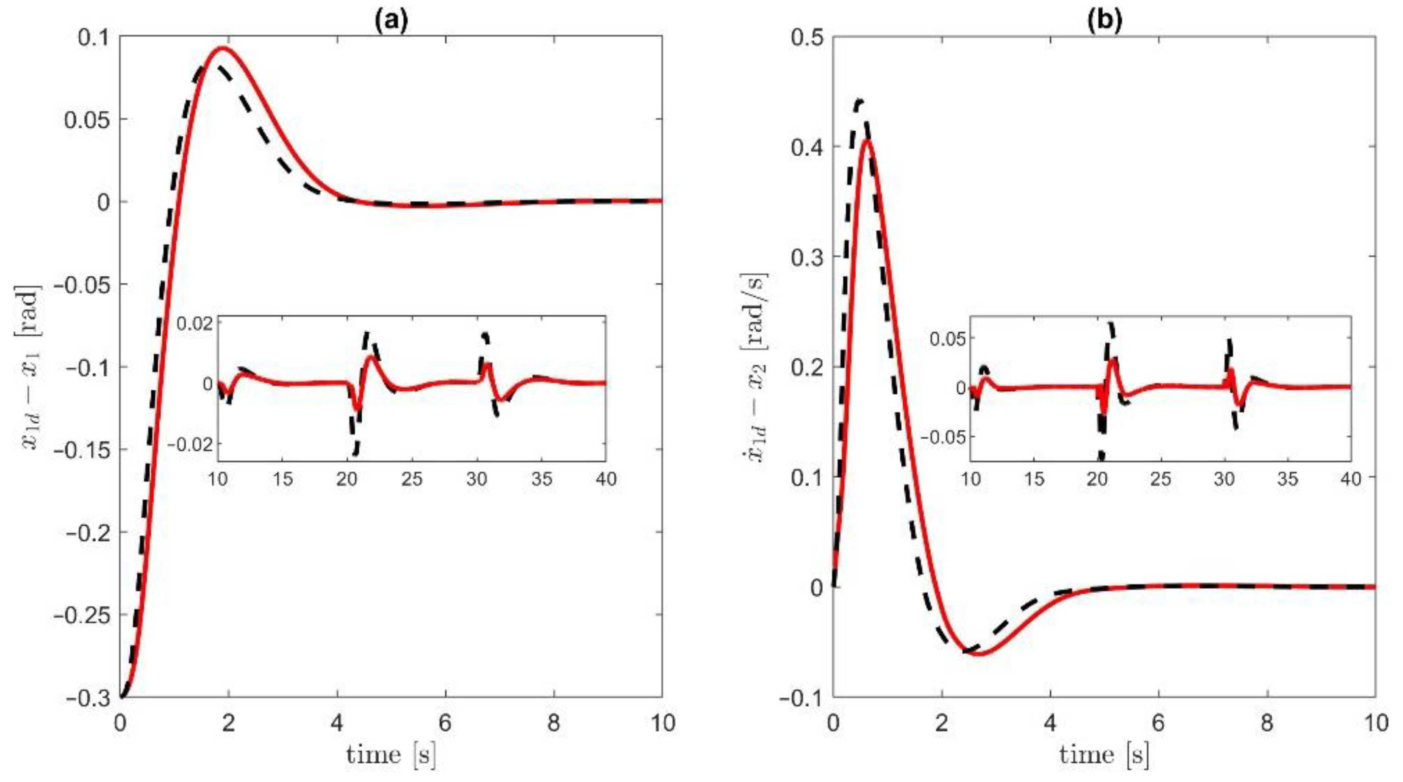
Of course, the control aim is to minimize the tracking errors x 1 d x 1 and x ˙ 1 d x 2 . It is demonstrated in Figure 11 (again, only initial and quasi-steady state parts of the plots are presented) that these tracking errors are sufficiently small (quasi-steady state error amplitude is smaller than 1.7% of the reference amplitude) and increasing gains k 1 , , k 4 of the controller reduces the quasi-steady state errors. In the interval [ 40 ,   80 ] [ s ] , both the mean and the extremal quasi-steady state error for k 1 = k 2 = k 3 = k 4 = 15 (solid red line in Figure 11) are evidently smaller than for k 1 = k 2 = k 3 = k 4 = 5 (dashed black line in Figure 11).
The reference x 1 d = 0.3 sin ( ω t ) ,   ω = 0.3   [ r a d s ] results in the reversal motion between [ 0.3 ,   0.3 ]   [ r a d ] with the speed in the range [ 0.09 ,   0 , 09 ]   [ r a d s ] . Although the quasi-steady state tracking error is small | x 1 d x 1 | < 10 3   [ r a d ] , the extrema of this error occur close to extremal values of x 1 d , so, when the desired speed is close to zero. To check the impact of the variable desired speed on the accuracy of tracking, the same experiment was repeated with different values of ω . Two quality measures were used to evaluate the operation of the control system during the transient: the maximum absolute error (MAE) and integral squared error (ISE). Results are presented in Table 5. It may be observed that bigger ω (faster reversal motion) results in a bigger MAE and ISE, while the quasi-steady state tracking error remains at the same level.
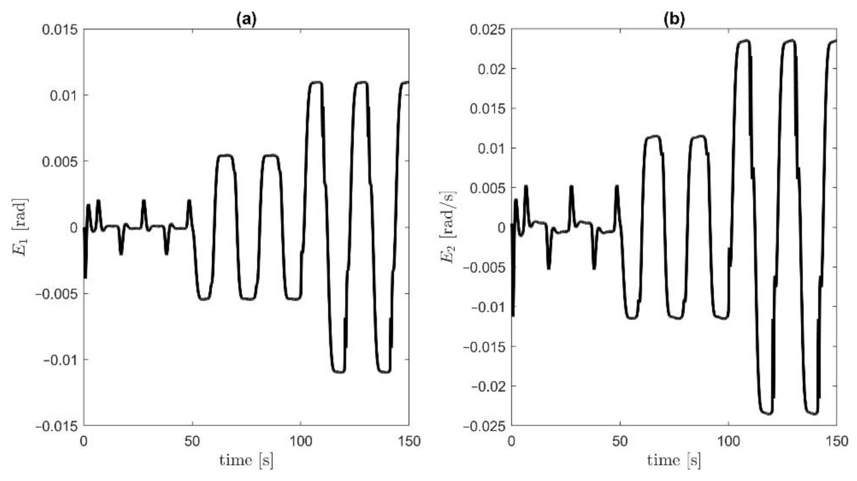
In the second experiment, the main control aim is to follow the desired position trajectory shown in Figure 12. Initially, the reference position x 1 d starts from 0 to 0.2 [ r a d ] . At t = 10   [ s ] ,   x 1 d is changed from 0.2 [ r a d ] to 0.1 [ r a d ] . Next, at t = 20   [ s ] ,   x 1 d is changed from 0.1 [ r a d ] to 0.2 [ r a d ] . For the end, at t = 30   [ s ] ,   x 1 d is changed from 0.2 [ r a d ] to 0 [ r a d ] .
Figure 13 demonstrates the tracking errors E 1 = x d x ^ 1 and E 2 = x 2 d x ^ 2 for different values of control parameters k 1 , , k 4 . The tracking errors x 1 d x 1 and x ˙ 1 d x 2 . are demonstrated in Figure 14—again only the initial and quasi-steady state parts of the plots are presented. In the interval [ 10 ,   40 ] [ s ] , both, the mean and the extremal quasi-steady state error for k 1 = k 2 = k 3 = k 4 = 15 (solid red line in Figure 14) are evidently smaller than for k1 = k2 = k3 = k4 = 5 (dashed black line in Figure 14), so increasing the gains k 1 , , k 4 reduces the quasi-steady state errors. Despite the rapid changes in the desired speed x ˙ 1 d presented in Figure 12, the proposed controller offers a fast response to any change of the reference and a small steady-state error. The control system is stable. The torsional oscillations of the shaft are eliminated. Good tracking and transient performances are maintained, although the desired trajectory is not smooth at the isolated points.
The aim of the third experiment is to demonstrate the robustness of the proposed controller against the friction changes. The drive started knowing the actual values of the friction parameters. The reference position x 1 d = 0.3 sin ( 0.3 t ) is applied. At time t = 50   [ s ] , the actual values   f s 2 and f c 2 were increased, achieving 130 % of initial values ( f s 2 = 19.5 [ N m ] ,   f c 2 = 31   [ N m ] ) and at t = 100   [ s ] , the real values   f s 4 and f c 4 were increased to 110 % of the initial values ( f s 4 = 165 [ N m ] ,   f c 4 = 440   [ N m ] ). The simulation results obtained with k 1 = k 2 = k 3 = k 4 = 5 are presented in Figure 15 and Figure 16.
Following the change of the actual friction parameters, the system remains stable. All tracking errors are bounded. As it may be expected, more differences between the actual and nominal parameters increase the tracking errors, but the tracking is still sufficiently accurate and fast.
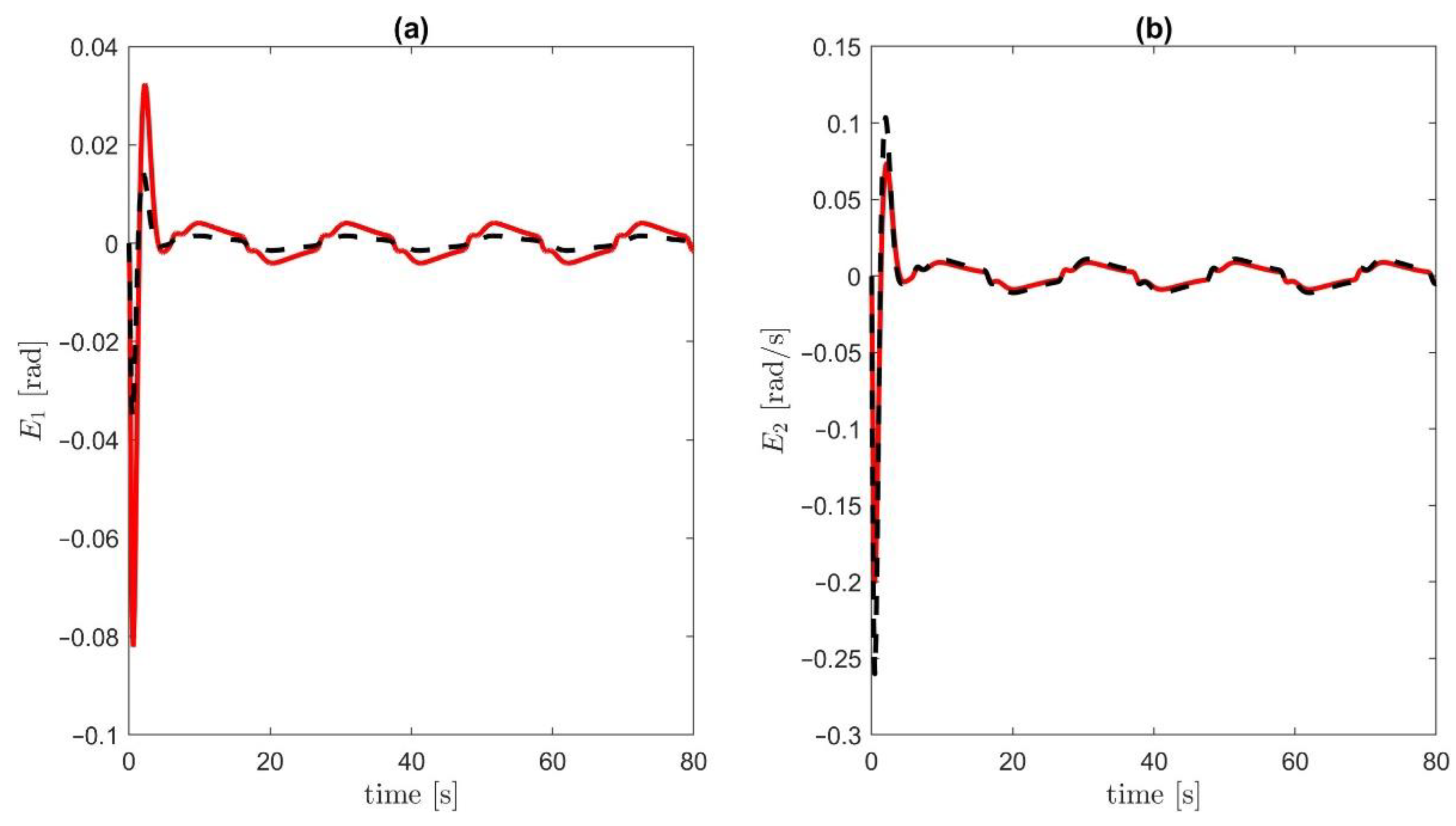
The aim of the last experiment is to demonstrate the robustness of the proposed regulator to the unstructured disturbances d 2 ( t ) and d 4 ( t ) , which represent the external disturbances, modelling inaccuracies, etc. The drive started knowing the actual values of all parameters. The reference position x 1 d = 0.3 sin ( 0.3 t ) is applied. The controller gains are k 1 = k 2 = k 3 = k 4 = 5 . At time t = 50   [ s ] , the disturbance d 2 ( t ) = 4 sin ( 0.5 t ) appears. At t = 150   [ s ] , the disturbance d 2 ( t ) disappears and the disturbance d 4 ( t ) = 6 sin ( 0.1 t ) appears. Such disturbances are quite big, compared with the reference x 1 d and x ˙ 1 d . The internal controller’s tracking errors are presented in Figure 17a,b, while the resulting tracking errors x 1 d x 1 ,   x ˙ 1 d x 2 in Figure 18.
Again, it is demonstrated that the proposed controller is robust against the external disturbances. When a disturbance occurs, the tracking error increases but remains bounded and the tracking accuracy is satisfactory.

6. Conclusions

A two-mass system considered here, was modelled by ordinary differential equations. A robust control approach was applied, which means that the nominal parameters were considered, and the system uncertainty represents a modelling gap between a nominal model and a real plant. The model includes nonlinear reactive torques, acting against the motion on both ends of a flexible shaft. Furthermore, the unstructured disturbances representing the external signals and modelling errors are included into the considered model. The only critical assumption concerning the model is that any uncertainty considered is bounded, however knowing the bound is not necessary. Thanks to this approach, the model used can be very general, flexible, and useful in numerous applications.
As the only measured signals are motor speed and position, an observer was necessary to control the load position effectively. Having considered several possibilities, a robust observer, based on the LMI solution, was designed to obtain the state estimation. It was formally proven that the estimation error is uniformly ultimately bounded (UUB), despite any bounded uncertainties. The observer design methodology was discussed and the impact of the design parameters on the observer performance was clearly established. The problem of testing several different algorithms to solve the LMI (16) will be the topic of further research.
A nonlinear controller was designed to cooperate with the observer and to assure sufficiently the accurate tracking of a desired position by the load. The controller was derived using a creative modification of backstepping. The control command filtering technique was used to avoid an ‘explosion of complexity’. Finally, it was proven that the closed-loop observer-controller system trajectories are UUB despite any bounded uncertainties.
Several constraints on the state estimation errors and tracking errors, concerning the speed of convergence and the quasi-steady-state behavior, were derived. Although the obtained bounds are rather conservative, the derived formulae clearly indicate the influence of design parameters on the system performance. Therefore, the obtained controller, although containing 10 design parameters, is easy to tune.
Finally, the system performance was investigated by several examples concerning a huge manipulator. It was demonstrated that:
  • the state estimations became accurate if the real system agrees with the model exactly,
  • it is easy to obtain sufficiently accurate state estimations in the presence of any bounded parameter gap and bounded disturbances, by straightforward parameter tuning,
  • the obtained closed-loop system tracks the desired load position sufficiently accurately and its UUB stability remains robust against the changes of parameters and the presence of bounded (but necessarily small) external disturbances, even if the reference trajectory is not smooth at the isolated points.
In summary, the problem of load position tracking by a two-mass system with incomplete state measurements was solved under a unique, never reported in references, set of assumptions. The proposed novel approach, connecting a robust, LMI-based technique to design an observer and a nonlinear controller derivation assuring the UUB stability, proved to be effective and comfortable and may be recommended for practical applications. The same observer-controller eliminates effectively two main difficulties occurring in a two-mass system control problem: the torsional oscillations of the flexible shaft and the degrading influence of the nonlinear friction or friction-like disturbance acting on both ends of the shaft.
A reliable study of the practical implementation of the described theory is left to the next paper. The obtained results make the practical implementation plans realistic, the controller is tunable and robust. The preliminary results are promising. The practical implementations depend on several factors neglected during the theoretical design, such as the sampling time, the digital position measurement, the digital speed calculation method, the unmodeled dynamics (inertia, delay) in propelling the torque generation, etc. The impact of all of these factors on the overall performance of the system is complicated. It is well known that some of them, such as increasing the sampling time, deteriorate the quality of the control. The control of so-called “imperfect systems” has been studied only recently and it has been noticed that in some electromechanical systems, it is possible to exploit the inevitable imperfections associated with the physical realizations, by stimulating the hidden dynamics associated with them [48]. For the discussed system, it may be the unmodeled dynamics of sensors and actuators. Thus, the problem remains complex, and the study of the qualitative and quantitative impacts of all of these factors on the system performance requires separate research and will be presented soon.

Author Contributions

Main idea, J.K. and P.M.; methodology, J.K. and P.M.; simulations, P.M.; validation, J.K.; writing—original draft preparation, J.K. and P.M.; writing—review, J.K.; visualization, P.M. All authors have read and agreed to the published version of the manuscript.

Funding

This research was funded by Politechnika Łódzka (Lodz University of Technology), subtask 1.1 of the task budget entitled: “Intensification of the publishing activity of employees, doctoral students and students of TUL by co-financing the OPEN ACCESS publication”. The APC was funded by Politechnika Łódzka.

Data Availability Statement

Not applicable.

Conflicts of Interest

The authors declare no conflict of interest.

References

  1. Peng, Y.; Cui, J.; Sun, J.; Zhang, M. Torsional Vibration for Rolling Mill with the Drive System Shaft Axis Deviations. Arab. J. Sci. Eng. 2021, 46, 12165–12177. [Google Scholar] [CrossRef]
  2. Bortnowski, P.; Gładysiewicz, L.; Król, R.; Ozdoba, M. Models of Transverse Vibration in Conveyor Belt—Investigation and Analysis. Energies 2021, 14, 4253. [Google Scholar] [CrossRef]
  3. Kim, T.; Lee, U.-K.; Kim, S.W.; Lim, H.; Kim, C.-W.; Cho, H.; Kang, K.-I. Flexible Double-Cage Hoist for High Operational Efficiency in Tall Building Construction. Autom. Constr. 2018, 96, 280–291. [Google Scholar] [CrossRef]
  4. Guo, Y.; Zhang, D.; Zhang, X.; Wang, S.; Ma, W. Experimental Study on the Nonlinear Dynamic Characteristics of Wire Rope under Periodic Excitation in a Friction Hoist. Shock Vib. 2020, 2020, 8506016. [Google Scholar] [CrossRef]
  5. Riane, R.; Doghmane, M.Z.; Kidouche, M.; Djezzar, S. Observer-Based H&infin; Controller Design for High Frequency Stick-Slip Vibrations Mitigation in Drill-String of Rotary Drilling Systems. Vibration 2022, 5, 264–289. [Google Scholar] [CrossRef]
  6. Chang, R.-I.; Lee, C.-Y.; Hung, Y.-H. Cloud-Based Analytics Module for Predictive Maintenance of the Textile Manufacturing Process. Appl. Sci. 2021, 11, 9945. [Google Scholar] [CrossRef]
  7. Valenzuela, M.A.; Bentley, J.M.; Lorenz, R.D. Evaluation of Torsional Oscillations in Paper Machine Sections. IEEE Trans. Ind. Appl. 2005, 41, 493–501. [Google Scholar] [CrossRef]
  8. Lu, G.; Zhou, J.; Cai, G.; Lv, L.; Fang, G. Active Vibration Control of a Large Space Antenna Structure Using Cable Actuator. AIAA J. 2021, 59, 1457–1468. [Google Scholar] [CrossRef]
  9. Zhang, Y.; Zhang, M.; Fan, C.; Li, F. A Finite-Time Trajectory-Tracking Method for State-Constrained Flexible Manipulators Based on Improved Back-Stepping Control. Actuators 2022, 11, 139. [Google Scholar] [CrossRef]
  10. Yang, H.; Wang, Z.; Zhang, T.; Du, F. A Review on Vibration Analysis and Control of Machine Tool Feed Drive Systems. The Int. J. Adv. Manuf. Technol. 2020, 107, 503–525. [Google Scholar] [CrossRef]
  11. Awada, A.; Younes, R.; Ilinca, A. Review of Vibration Control Methods for Wind Turbines. Energies 2021, 14, 3058. [Google Scholar] [CrossRef]
  12. Hua, Y.; Wang, S.; Li, B.; Bai, G.; Zhang, P. Dynamic Modeling and Anti-Disturbing Control of an Electromagnetic MEMS Torsional Micromirror Considering External Vibrations in Vehicular LiDAR. Micromachines 2021, 12, 69. [Google Scholar] [CrossRef] [PubMed]
  13. Wang, C.; Liu, J.; Xin, L.; Li, G.; Pan, J. Design of Full-Order State Observer for Two-Mass Joint Servo System Based on the Fixed Gain Filter. IEEE Trans. Power Electron. 2022, 37, 10466–10475. [Google Scholar] [CrossRef]
  14. Li, W.; Chen, L. Study on Modeling and Degradation Law of Transmission Efficiency for Harmonic Reducer. J. Fail. Anal. Prev. 2022. [Google Scholar] [CrossRef]
  15. Saldivar, B.; Mondié, S.; Ávila Vilchis, J.C. The Control of Drilling Vibrations: A Coupled PDE-ODE Modeling Approach. Int. J. Appl. Math. Comput. Sci. 2016, 26, 335–349. [Google Scholar] [CrossRef]
  16. Di Meglio, F.; Aarsnes, U.J.F. A Distributed Parameter Systems View of Control Problems in Drilling. IFAC-PapersOnLine 2015, 48, 272–278. [Google Scholar] [CrossRef]
  17. Saldivar, B.; Mondie, S.; Loiseau, J.J.; Rasvan, V. Stick-Slip Oscillations in Oillwell Drilstrings: Distributed Parameter and Neutral Type Retarded Model Approaches. IFAC Proc. Vol. 2011, 18, 284–289. [Google Scholar] [CrossRef]
  18. Boussaada, I.; Mounier, H.; Niculescu, S.I.; Cela, A. Analysis of Drilling Vibrations: A Time-Delay System Approach. In Proceedings of the 2012 20th Mediterranean Conference on Control and Automation, MED 2012—Conference Proceedings, Barcelona, Spain, 3–6 July 2012; pp. 610–614. [Google Scholar] [CrossRef][Green Version]
  19. Lozynskyy, A.; Chaban, A.; Perzyński, T.; Szafraniec, A.; Kasha, L. Application of Fractional-Order Calculus to Improve the Mathematical Model of a Two-Mass System with a Long Shaft. Energies 2021, 14, 1854. [Google Scholar] [CrossRef]
  20. Chaban, A.; Lis, M.; Szafraniec, A.; Jedynak, R. Application of Genetic Algorithm Elements to Modelling of Rotation Processes in Motion Transmission Including a Long Shaft. Energies 2021, 14, 115. [Google Scholar] [CrossRef]
  21. Popenda, A.; Lis, M.; Nowak, M.; Blecharz, K. Mathematical Modelling of Drive System with an Elastic Coupling Based on Formal Analogy between the Transmission Shaft and the Electric Transmission Line. Energies 2020, 13, 1181. [Google Scholar] [CrossRef]
  22. Szabat, K.; Orlowska-Kowalska, T. Vibration Suppression in a Two-Mass Drive System Using PI Speed Controller and Additional Feedbacks—Comparative Study. IEEE Trans. Ind. Electron. 2007, 54, 1193–1206. [Google Scholar] [CrossRef]
  23. Orlowska-Kowalska, T.; Dybkowski, M.; Szabat, K. Adaptive Sliding-Mode Neuro-Fuzzy Control of the Two-Mass Induction Motor Drive Without Mechanical Sensors. IEEE Trans. Ind. Electron. 2010, 57, 553–564. [Google Scholar] [CrossRef]
  24. Serkies, P.J.; Szabat, K. Application of the MPC to the Position Control of the Two-Mass Drive System. IEEE Trans. Ind. Electron. 2013, 60, 3679–3688. [Google Scholar] [CrossRef]
  25. Derugo, P.; Szabat, K.; Pajchrowski, T.; Zawirski, K. Fuzzy Adaptive Type II Controller for Two-Mass System. Energies 2022, 15, 419. [Google Scholar] [CrossRef]
  26. Kamiński, M.; Szabat, K. Adaptive Control Structure with Neural Data Processing Applied for Electrical Drive with Elastic Shaft. Energies 2021, 14, 3389. [Google Scholar] [CrossRef]
  27. Kabziński, J.; Mosiołek, P. Adaptive Control of Nonlinear Resonant Systems with Damping. In Proceedings of the 2015 20th International Conference on Methods and Models in Automation and Robotics (MMAR), Miedzyzdroje, Poland, 24–27 August 2015; pp. 659–664. [Google Scholar]
  28. Kabziński, J. Adaptive Control of Drillstring Torsional Oscillations. IFAC-PapersOnLine 2017, 50, 13360–13365. [Google Scholar] [CrossRef]
  29. Kabziński, J.; Mosiołek, P. Integrated, Multi-Approach, Adaptive Control of Two-Mass Drive with Nonlinear Damping and Stiffness. Energies 2021, 14, 5475. [Google Scholar] [CrossRef]
  30. Inoue, Y.; Katsura, S. Spatial Disturbance Suppression of a Flexible System Based on Wave Model. IEEJ J. Ind. Appl. 2018, 7, 236–243. [Google Scholar] [CrossRef]
  31. Wicher, B.; Brock, S. Tuning Optimization of Extended State Observer for Two Mass System with Elastic Joint and Backlash. In Proceedings of the 2018 18th International Conference on Mechatronics—Mechatronika (ME), Brno, Czech Republic, 5–7 December 2018; pp. 1–6. [Google Scholar]
  32. Dróżdż, K.; Szabat, K. Application of Unscented Kalman Filter in Adaptive Control Structure of Two-Mass System. In Proceedings of the 2016 IEEE International Power Electronics and Motion Control Conference (PEMC), Varna, Bulgaria, 25–28 September 2016; pp. 1150–1154. [Google Scholar] [CrossRef]
  33. Yokoyama, M.; Oboe, R.; Shimono, T. Robustness Analysis of Two-Mass System Control Using Acceleration-Aided Kalman Filter. In Proceedings of the IECON 2018—44th Annual Conference of the IEEE Industrial Electronics Society, Washington, DC, USA, 21–23 October 2018; pp. 4600–4605. [Google Scholar] [CrossRef]
  34. Serkies, P. Estimation of State Variables of the Drive System with Elastic Joint Using Moving Horizon Estimation (MHE). Bull. Pol. Acad. Sci. Tech. Sci. 2019, 67, 883–892. [Google Scholar] [CrossRef]
  35. Szabat, K.; Tokarczyk, A.; Wróbel, K.; Katsura, S. Application of the Multi-Layer Observer for a Two-Mass Drive System. In Proceedings of the 2020 IEEE 29th International Symposium on Industrial Electronics (ISIE), Delft, The Netherlands, 17–19 June 2020; pp. 265–270. [Google Scholar] [CrossRef]
  36. Szabat, K.; Wróbel, K.; Śleszycki, K.; Katsura, S. States Estimation of the Two-Mass Drive System Using Multilayer Observer. In Proceedings of the 2021 IEEE 19th International Power Electronics and Motion Control Conference (PEMC), Gliwice, Poland, 25–29 April 2021; pp. 743–748. [Google Scholar] [CrossRef]
  37. Sieklucki, G. Optimization of Observers in a Two-Mass System—Dual LQ Problem. In Proceedings of the 2018 International Symposium on Electrical Machines (SME), Andrychów, Poland, 10–13 June 2018; pp. 1–6. [Google Scholar] [CrossRef]
  38. Kabziński, J.; Mosiołek, P. Adaptive, Observer-Based Synchronization of Different Chaotic Systems. Appl. Sci. 2022, 12, 3394. [Google Scholar] [CrossRef]
  39. Dimassi, H.; Said, S.H.; Loria, A.; M’Sahli, F. An Adaptive Observer for a Class of Nonlinear Systems with a High-Gain Approach. Application to the Twin-Rotor System. Int. J. Control 2021, 94, 370–381. [Google Scholar] [CrossRef]
  40. Pourgholi, M.; Majd, V.J. An LMI-Based Adaptive Resilient Observer Design for a Class of Nonlinear Systems. In Proceedings of the 2009 IEEE Control Applications, (CCA) & Intelligent Control, (ISIC), St. Petersburg, Russia, 8–10 July 2009; pp. 643–647. [Google Scholar] [CrossRef]
  41. Chen, M.-S.; Chen, C.-C. Robust Nonlinear Observer for Lipschitz Nonlinear Systems Subject to Disturbances. IEEE Trans. Automat. Control 2007, 52, 2365–2369. [Google Scholar] [CrossRef]
  42. Bo, T.X.; Ohishi, K.; Miyazaki, T.; Yokokura, Y. Sensor-Less Torque Control Considering Contact Phase for Two-Mass System. In Proceedings of the 2018 IEEE 15th International Workshop on Advanced Motion Control (AMC), Tokyo, Japan, 9–11 March 2018; pp. 687–692. [Google Scholar] [CrossRef]
  43. Pennestrì, E.; Rossi, V.; Salvini, P.; Valentini, P.P. Review and Comparison of Dry Friction Force Models. Nonlinear Dyn. 2016, 83, 1785–1801. [Google Scholar] [CrossRef]
  44. Kabziński, J.; Mosiołek, P. Projektowanie Nieliniowych Układów Sterowania (Nonlinear Control Design); PWN SA: Warszawa, Poland, 2018; ISBN 978-83-01-19697-4. [Google Scholar]
  45. Nesterov, Y.; Nemirovskii, A. Interior-Point Polynomial Algorithms in Convex Programming; Society for Industrial and Applied Mathematics: Philadelphia, PA, USA, 1994. [Google Scholar] [CrossRef]
  46. Swaroop, D.; Hedrick, J.K.; Yip, P.P.; Gerdes, J.C. Dynamic Surface Control for a Class of Nonlinear Systems. IEEE Trans. Automat. Control 2000, 45, 1893–1899. [Google Scholar] [CrossRef]
  47. Yuan, X.; Chen, B.; Lin, C. Prescribed Finite-Time Adaptive Neural Tracking Control for Nonlinear State-Constrained Systems: Barrier Function Approach. IEEE Trans. Neural. Netw. Learn Syst. 2021, 1–10. [Google Scholar] [CrossRef]
  48. Bucolo, M.; Buscarino, A.; Famoso, C.; Fortuna, L.; Frasca, M. Control of imperfect dynamical systems. Nonlinear Dyn. 2019, 98, 2989–2999. [Google Scholar] [CrossRef]
Figure 1. The control system schema.
Figure 1. The control system schema.
Energies 15 09093 g001
Figure 2. Diagram of the controller: (a) preparation of the auxiliary signals, (b) the control signal.
Figure 2. Diagram of the controller: (a) preparation of the auxiliary signals, (b) the control signal.
Energies 15 09093 g002
Figure 3. The procedure for tuning the controller parameters.
Figure 3. The procedure for tuning the controller parameters.
Energies 15 09093 g003
Figure 4. Schematic diagram of a drive with an elastic coupling.
Figure 4. Schematic diagram of a drive with an elastic coupling.
Energies 15 09093 g004
Figure 5. Step response of the motor speed and the load speed, T = 1000   [ N ] : (a) load speed x 2 (solid red line) and motor speed x 4 (dashed black), (b) torsion angle φ = x 3 x 1 .
Figure 5. Step response of the motor speed and the load speed, T = 1000   [ N ] : (a) load speed x 2 (solid red line) and motor speed x 4 (dashed black), (b) torsion angle φ = x 3 x 1 .
Energies 15 09093 g005
Figure 6. Open loop position control: (a) load position x 1 , (b) motor position x 2 , (c) torsion angle φ = x 3 x 1 .
Figure 6. Open loop position control: (a) load position x 1 , (b) motor position x 2 , (c) torsion angle φ = x 3 x 1 .
Energies 15 09093 g006
Figure 7. Observer errors e 1 (a), e 2 (b), e 3 (c), and e 4 (d). Dashed blue line— α = 7 , dash-dotted black line— α = 3 , solid red line— α = 1 .
Figure 7. Observer errors e 1 (a), e 2 (b), e 3 (c), and e 4 (d). Dashed blue line— α = 7 , dash-dotted black line— α = 3 , solid red line— α = 1 .
Energies 15 09093 g007
Figure 8. Influence of the parameter changes on observer error e 1 (a) and e 2 (b). Dashed black line— α = 7 , solid red line— α = 5 .
Figure 8. Influence of the parameter changes on observer error e 1 (a) and e 2 (b). Dashed black line— α = 7 , solid red line— α = 5 .
Energies 15 09093 g008
Figure 9. (a) Tracking error E 1 , (b) tracking error E 2 . Dashed black line— k 1 = k 2 = k 3 = k 4 = 15 , solid red line— k 1 = k 2 = k 3 = k 4 = 5 .
Figure 9. (a) Tracking error E 1 , (b) tracking error E 2 . Dashed black line— k 1 = k 2 = k 3 = k 4 = 15 , solid red line— k 1 = k 2 = k 3 = k 4 = 5 .
Energies 15 09093 g009
Figure 10. (a) Tracking error E 3 f , (b) tracking error E 4 . Dashed black line— k 1 = k 2 = k 3 = k 4 = 15 , solid red line— k 1 = k 2 = k 3 = k 4 = 5 .
Figure 10. (a) Tracking error E 3 f , (b) tracking error E 4 . Dashed black line— k 1 = k 2 = k 3 = k 4 = 15 , solid red line— k 1 = k 2 = k 3 = k 4 = 5 .
Energies 15 09093 g010
Figure 11. (a) Tracking error x 1 d x 1 , (b) tracking error x ˙ 1 d x 2 . Dashed black line— k 1 = k 2 = k 3 = k 4 = 5 , solid red line— k 1 = k 2 = k 3 = k 4 = 15 .
Figure 11. (a) Tracking error x 1 d x 1 , (b) tracking error x ˙ 1 d x 2 . Dashed black line— k 1 = k 2 = k 3 = k 4 = 5 , solid red line— k 1 = k 2 = k 3 = k 4 = 15 .
Energies 15 09093 g011
Figure 12. The desired trajectory x 1 d   ( solid   red   line ) and derivative x ˙ 1 d (dashed black line).
Figure 12. The desired trajectory x 1 d   ( solid   red   line ) and derivative x ˙ 1 d (dashed black line).
Energies 15 09093 g012
Figure 13. (a) Tracking error E1, (b) tracking error E2. Dashed black line— k 1 = k 2 = k 3 = k 4 = 5 , solid red line— k 1 = k 2 = k 3 = k 4 = 15 .
Figure 13. (a) Tracking error E1, (b) tracking error E2. Dashed black line— k 1 = k 2 = k 3 = k 4 = 5 , solid red line— k 1 = k 2 = k 3 = k 4 = 15 .
Energies 15 09093 g013
Figure 14. (a) Tracking error x 1 d x 1 , (b) tracking error x ˙ 1 d x 2 . Dashed black line— k 1 = k 2 = k 3 = k 4 = 5 , solid red line— k 1 = k 2 = k 3 = k 4 = 15 .
Figure 14. (a) Tracking error x 1 d x 1 , (b) tracking error x ˙ 1 d x 2 . Dashed black line— k 1 = k 2 = k 3 = k 4 = 5 , solid red line— k 1 = k 2 = k 3 = k 4 = 15 .
Energies 15 09093 g014
Figure 15. (a) Tracking error E 1 , (b) tracking error E 2 .
Figure 15. (a) Tracking error E 1 , (b) tracking error E 2 .
Energies 15 09093 g015
Figure 16. (a) Tracking error x 1 d x 1 , (b) tracking error x ˙ 1 d x 2 .
Figure 16. (a) Tracking error x 1 d x 1 , (b) tracking error x ˙ 1 d x 2 .
Energies 15 09093 g016
Figure 17. (a) Tracking error E 1 , (b) tracking error E 2 .
Figure 17. (a) Tracking error E 1 , (b) tracking error E 2 .
Energies 15 09093 g017
Figure 18. (a) Tracking error x 1 d x 1 , (b) tracking error x ˙ 1 d x 2 .
Figure 18. (a) Tracking error x 1 d x 1 , (b) tracking error x ˙ 1 d x 2 .
Energies 15 09093 g018
Table 2. Minimization of the ϵ subject to LMI (16) for various values of α .
Table 2. Minimization of the ϵ subject to LMI (16) for various values of α .
α Minimum   Value   of   Parameter   ϵ λ m ( P ) λ M ( P ) | | L | | R = ϵ λ m ( P ) α ε 1 d λ
0.1 3.7831 0.2163 3.7 × 10 4 4.7 · 10 4 174.94 ε 1 0.40
0.5 18.911 1.0536 8.3 × 10 4 2.1 · 10 4 35.897 ε 1 0.41
1 2.1808 1.2 × 10 5 1.5 · 10 4 17.333 0.40
5189.29 10.851 2.6 × 10 5 6.6 · 10 3 3.4889 ε 1 0.40
10377.87 21.544 3.7 × 10 5 4.7 · 10 3 1.7539 ε 1 0.41
501892.9 109.66 8.2 × 10 5 2.1 · 10 3 0.3452 ε 1 0.39
1003781.8218.45 1.2 × 10 6 1.5 · 10 3 0.1731 ε 1 0.39
Table 3. Impact of the constraints imposed on the eigenvalues of P on | | L | | and R for ϵ = 100 ,   α = 3 .
Table 3. Impact of the constraints imposed on the eigenvalues of P on | | L | | and R for ϵ = 100 ,   α = 3 .
λ M c ( P ) λ M c ( P ) λ m c ( P ) λ m ( P ) λ M ( P ) | | L | | R = ϵ λ m ( P ) α ε 1 d λ
1004010.94273.24962.939 6.093   ε 1 0.18
2004017.219128.839.845 3.872   ε 1 0.21
5004028.345297.35115.48 2.352   ε 1 0.19
50016724.209289.24140.63 2.754   ε 1 0.21
50062.526.678292.19122.69 2.499   ε 1 0.19
5003622.164311.16703.12 3.008   ε 1 0.20
Table 4. Solutions of LMI (16) for the constant α = 1 and various ϵ .
Table 4. Solutions of LMI (16) for the constant α = 1 and various ϵ .
ϵ λ m ( P ) λ M ( P ) | | L | | ϵ λ m ( P ) α ε 1 d λ
1 1.3471 6.1 · 10 4 1.4 × 10 4 47.232 ε 1 0.20
2 2.3238 8.5 · 10 4 1.1 × 10 4 86.065 ε 1 0.23
5 4.7792 1.4 · 10 5 8 × 10 3 104.62 ε 1 0.26
10 9.7384 1.9 · 10 5 5.7 × 10 3 102.69 ε 1 0.26
20 22.437 2.7 · 10 5 3.7 × 10 3 89.14 ε 1 0.23
50 60.971 4.4 · 10 5 2.1 × 10 3 82 ε 1 0.21
100 126.87 8.6 · 10 5 1.1 × 10 3 78.823 ε 1 0.21
Table 5. Comparison of the quality indices ISE and MAE for the different values of ω .
Table 5. Comparison of the quality indices ISE and MAE for the different values of ω .
ω I S E ( x 1 d x 1 ) M A E ( x 1 d x 1 ) I S E ( x ˙ 1 d x 2 ) M A E ( x ˙ 1 d x 2 )
0.6 0.0023 0.008 0.0017 0.01
0.4 0.0008 0.005 0.0007 0.008
0.2 0.0006 0.003 0.0003 0.005
0.1 0.0005 0.002 0.0001 0.003
0.05 0.0004 0.0015 0.00007 0.001
Publisher’s Note: MDPI stays neutral with regard to jurisdictional claims in published maps and institutional affiliations.

Share and Cite

MDPI and ACS Style

Kabziński, J.; Mosiołek, P. Observer-Based, Robust Position Tracking in Two-Mass Drive System. Energies 2022, 15, 9093. https://doi.org/10.3390/en15239093

AMA Style

Kabziński J, Mosiołek P. Observer-Based, Robust Position Tracking in Two-Mass Drive System. Energies. 2022; 15(23):9093. https://doi.org/10.3390/en15239093

Chicago/Turabian Style

Kabziński, Jacek, and Przemysław Mosiołek. 2022. "Observer-Based, Robust Position Tracking in Two-Mass Drive System" Energies 15, no. 23: 9093. https://doi.org/10.3390/en15239093

APA Style

Kabziński, J., & Mosiołek, P. (2022). Observer-Based, Robust Position Tracking in Two-Mass Drive System. Energies, 15(23), 9093. https://doi.org/10.3390/en15239093

Note that from the first issue of 2016, this journal uses article numbers instead of page numbers. See further details here.

Article Metrics

Back to TopTop