Performance Evaluation of a Solar Heat-Driven Poly-Generation System for Residential Buildings Using Various Arrangements of Heat Recovery Units
Abstract
1. Introduction
2. Systems Description
3. Thermodynamics Analysis and Mathematical Modeling
- All processes inside the system run at a constant rate;
- The system fails to account for air and water leaks in its components;
- Energy from motion and gravity is ignored;
- Wet-bulb air and blowdown water temperatures remain stable as they leave the humidifier;
- There is no difference in the mass flow rate between process air, return air, and water.
- At the outlet of the ORC condenser, the temperatures of the air (ta8) and the water (tw3) are the same;
- HE-2 operates at full efficiency (ta8 = ts1);
- At the turbine inlet, the ORC fluid is dry-saturated and superheated, depending on the values of tevap and the degree of superheating.
- At the pump input, the ORC fluid is in a saturated liquid condition due to the condenser’s pressure;
- The energy used by auxiliary components (such as fans) is not considered in the DCS and HDH systems;
- n-Octane, an organic fluid with desirable performance and thermodynamic characteristics [47], is used for comparative investigation of the suggested systems; and
3.1. Organic Rankine Cycle (ORC)
3.2. Desiccant Cooling System (DCS)
3.3. Humidification–Dehumidification Water Desalination System (HDH)
3.4. Hot Water for Domestic Application in IS-I
3.5. Air and Water Waste Heat Recovery in IS-II
3.6. System Performance Parameters and Evaluation
- : hours of daylight (12 h);
- WUR: water unit rate USD/kg
- EUR: Energy unit rate USD/kWh
4. Results and Discussion
4.1. Model Validation
4.2. System Productivity
4.3. System Performance
4.4. System Selection, Evaluation, and Assessment
4.5. Comparisons with Previous Related Systems
5. Conclusions and Recommendations
- With the suggested poly-generation systems, small and medium-sized buildings may generate their power, fresh water, and cooling/domestic heating while still providing a comfortable environment for their occupants.
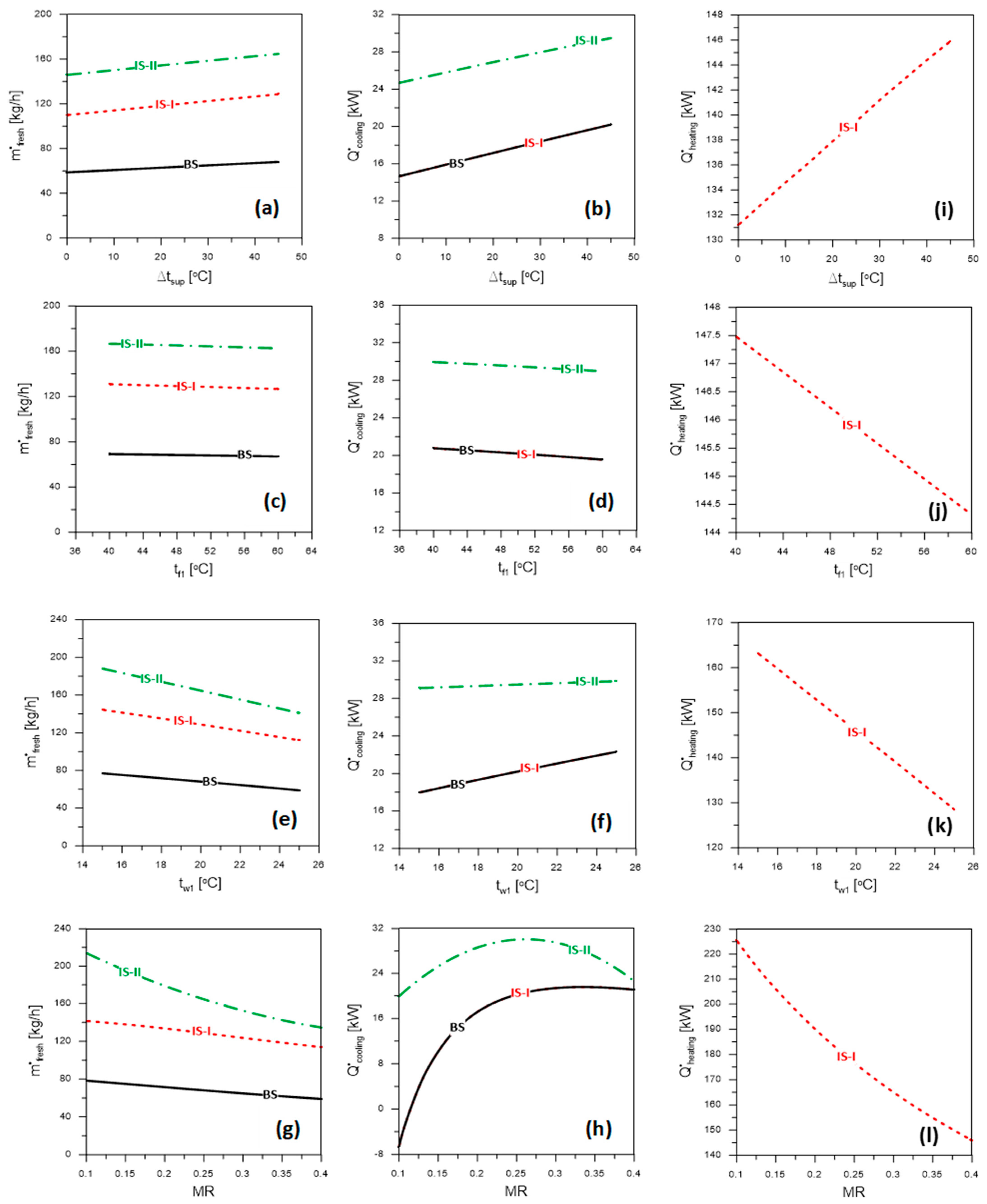
- , , and all increase with tsup and are reduced with ORC condensing temperature, whereas tw1 has a negative impact on , a positive impact on , and a negligible impact on .
- Mass flow rate ratio (MR) has adverse effects on and a positive effect on until it reaches a maximum value at MR = 0.25, then reduces with increased MR.
- The IS-II system exhibits a higher freshwater productivity and space cooling capacity that the other systems (BS and IS-I).
- The GORHDH, TGOR, STG, and STGP values for the IS-I system are greater than those of the BS and IS-II systems, whereas the STG and STGP values for the IS-I system are higher than those of the BS system.
- Seawater inlet temperature adversely affects GORHDH, COPDCS (IS-II), TGOR, STG, and STGP for all systems.
- COPDCS, TGOR, STGP, and STG increase with increased MR until they reach the highest values at MR = 0.25, then decrease considerably.
- For MR > 0.25, the COPDCS of the IS-I and BS systems is higher than that of the IS-II system.
- The maximum , , and within the ranges of all studied parameters are 102.0 kW (all systems), 214.0 kg/h (IS-II), and 29.94 kW (IS-II), respectively.
- The maximum TGOR, STG, and STGP within the varieties of all studied parameters are 0.6303 (IS-I), 3.8239 kWh/m2 (IS-I), and USD 0.1490/m2 (IS-I), respectively.
- In conclusion, future research on poly-generation systems should focus on enhancing ORC to power various air conditioning (absorption and adsorption) and desalination (RO and MED) systems.
Author Contributions
Funding
Acknowledgments
Conflicts of Interest
Nomenclature
| A | Area, m2 |
| Cp | Specific heat, kJ/kg K |
| F1, F2 | Combined potential |
| hfg | Water latent heat of evaporation, kJ/kg |
| h | Specific enthalpy, kJ/kg |
| Q• | Rate of heat transfer, kW |
| t | Temperature, °C |
| W | Humidity ratio, gv/kga |
| Subscript | |
| a | Air/dry air/actual |
| atm | Atmosphere |
| avg | Average |
| g | Generator |
| hum | Humidifier |
| i = 1,2,3 | Index referring to numerous locations of the desiccant system |
| imp | Improvement |
| in | Input |
| ind | Independent |
| ma | Moist air |
| v | Water vapor |
| reg | Regeneration |
| R,a | Return air |
| P,a | Process air |
| P | Pump |
| t | Turbine |
| w | Seawater |
| 1, 2, 3, … | State points |
| Abbreviations | |
| RO | Reverse osmosis |
| SOFC | Solid oxide fuel cell |
| STG | Specific total gained energy, kWh/m2 |
References
- Mehrpooya, M.; Sharifzadeh, M.M.M.; Rosen, M.A. Energy and exergy analyses of a novel power cycle using the cold of LNG (liquefied natural gas) and low-temperature solar energy. Energy 2016, 95, 324–345. [Google Scholar] [CrossRef]
- Karellas, S.; Braimakis, K. Energy—Exergy analysis and economic investigation of a cogeneration and trigeneration ORC–VCC hybrid system utilizing biomass fuel and solar power. Energy Convers. Manag. 2016, 107, 103–113. [Google Scholar] [CrossRef]
- Sahoo, U.; Kumar, R.; Pant, P.C.; Chaudhury, R. Scope and sustainability of hybrid solarebiomass power plant with cooling, desalination in polygeneration process in India. Renew. Sustain. Energy Rev. 2015, 51, 304–316. [Google Scholar] [CrossRef]
- Irshad, K.; Zahir, M.H.; Shaik, M.S.; Ali, A. Buildings’ Heating and Cooling Load Prediction for Hot Arid Climates: A Novel Intelligent Data-Driven Approach. Buildings 2022, 12, 1677. [Google Scholar] [CrossRef]
- Mustafa, J.; Husain, S.; Alqaed, S.; Khan, U.A.; Jamil, B. Performance of Two Variable Machine Learning Models to Forecast Monthly Mean Diffuse Solar Radiation across India under Various Climate Zones. Energies 2022, 15, 7851. [Google Scholar] [CrossRef]
- Das, L.; Aslfattahi, N.; Habib, K.; Saidur, R.; Irshad, K.; Yahya, S.M.; Kadirgama, K. Improved Thermophysical Characteristics of a New Class of Ionic Liquid + Diethylene Glycol/Al2O3 + CuO Based Ionanofluid as a Coolant Media for Hybrid PV/T System. Therm. Sci. Eng. Prog. 2022, 36, 101518. [Google Scholar] [CrossRef]
- Khaliq, A.; Refaey, H.; Alharthi, M.A. Development and analysis of a novel CSP source driven cogeneration cycle for the production of electric power and low temperature refrigeration. Int. J. Refrig. 2021, 130, 330–346. [Google Scholar] [CrossRef]
- Chen, Q.; Xu, J.; Chen, H. A New Design Method for Organic Rankine Cycles with Constraint of Inlet and Outlet Heat Carrier Fluid Temperatures Coupling with the Heat Source. Appl. Energy 2012, 98, 562–573. [Google Scholar] [CrossRef]
- Mahmoudi, S.M.S. Utilization of Waste Heat from GT-MHR for Power Generation in Organic Rankine Cycles. Appl. Therm. Eng. 2010, 30, 366–375. [Google Scholar] [CrossRef]
- Habka, M.; Ajib, S. Evaluation of Mixtures Performances in Organic Rankine Cycle When Utilizing the Geothermal Water with and without Cogeneration. Appl. Energy 2015, 154, 567–576. [Google Scholar] [CrossRef]
- Kumar, R.; Shukla, A.K.; Sharma, M.; Nandan, G. Thermodynamic investigation of water generating system through HDH desalination and RO powered by organic Rankine cycle. Mater. Today 2021, 46, 5256–5261. [Google Scholar] [CrossRef]
- Yari, M.; Ariyanfar, L.; Aghdam, E.A. Analysis and performance assessment of a novel ORC based multigeneration system for power, distilled water and heat. Renew. Energy 2018, 119, 262–281. [Google Scholar]
- He, W.F.; Han, D.; Xu, L.N.; Yue, C.; Pu, W.H. Performance Investigation of a Novel Water–Power Cogeneration Plant (WPCP) Based on Humidification Dehumidification (HDH) Method. Energy Convers. Manag. 2016, 110, 184–191. [Google Scholar] [CrossRef]
- El-Agouz; Sathyamurthy, R.; Manokar, M. Improvement of Humidification–Dehumidification Desalination Unit Using a Desiccant Wheel. Chem. Eng. Res. Des. 2018, 131, 104–116. [Google Scholar] [CrossRef]
- Abdelgaied, M.; Kabeel, A.E.; Zakaria, Y. Performance Improvement of Desiccant Air Conditioner Coupled with Humidification-Dehumidification Desalination Unit Using Solar Reheating of Regeneration Air. Energy Convers. Manag. 2019, 198, 111808. [Google Scholar] [CrossRef]
- Nada, S.; Fouda, A.; Mahmoud, M.; Elattar, H. Experimental investigation of air-conditioning and HDH desalination hybrid system using new packing pad humidifier and strips-finned helical coil. Appl. Therm. Eng. 2021, 185, 116433. [Google Scholar] [CrossRef]
- Fouda, A.; Nada, S.; Elattar, H. An integrated A/C and HDH water desalination system assisted by solar energy: Transient analysis and economical study. Appl. Therm. Eng. 2016, 108, 1320–1335. [Google Scholar] [CrossRef]
- Elattar, H.F.; Nada, S.A.; Al-Zahrani, A.; Fouda, A. Humidification-dehumidification water desalination system integrated with multiple evaporators/condensers heat pump unit. Int. J. Energy Res. 2020, 44, 6396–6416. [Google Scholar] [CrossRef]
- Wang, J.; Wu, J.; Zheng, C. Analysis of Tri-Generation System in Combined Cooling and Heating Mode. Energy Build. 2014, 72, 353–360. [Google Scholar] [CrossRef]
- Ahmadi, P.; Dincer, I.; Rosen, M.A. Performance Assessment and Optimization of a Novel Integrated Multigeneration System for Residential Buildings. Energy Build. 2013, 67, 568–578. [Google Scholar] [CrossRef]
- Mohammadi, S.M.H.; Ameri, M. Energy and Exergy Analysis of a Tri-Generation Water-Cooled Air Conditioning System. Energy Build. 2013, 67, 453–462. [Google Scholar] [CrossRef]
- Liu, H.; Zhou, Q.; Zhao, H.; Wang, P. Experiments and thermal modeling on hybrid energy supply system of gas engine heat pumps and organic Rankine cycle. Energy Build. 2015, 87, 226–232. [Google Scholar] [CrossRef]
- Sibilio, S.; Rosato, A.; Ciampi, G.; Scorpio, M.; Akisawa, A. Building-integrated trigeneration system: Energy, environmental and economic dynamic performance assessment for Italian residential applications. Renew. Sustain. Energy Rev. 2017, 68, 920–933. [Google Scholar] [CrossRef]
- Jradi, M.; Riffat, S. Tri-generation systems: Energy policies, prime movers, cooling technologies, configurations and operation strategies. Renew. Sustain. Energy Rev. 2014, 32, 396–415. [Google Scholar] [CrossRef]
- Leonzio, G. An innovative trigeneration system using biogas as renewable energy. Chin. J. Chem. Eng. 2018, 26, 1179–1191. [Google Scholar] [CrossRef]
- Zhang, X.; Li, H.; Liu, L.; Zeng, R.; Zhang, G. Analysis of a feasible trigeneration system taking solar energy and biomass as co-feeds. Energy Convers. Manag. 2016, 122, 74–84. [Google Scholar] [CrossRef]
- Maraver, D.; Uche, J.; Royo, J. Assessment of high temperature organic Rankine cycle engine for polygeneration with MED desalination: A preliminary approach. Energy Convers. Manag. 2012, 53, 108–117. [Google Scholar] [CrossRef]
- Islam, S.; Dincer, I.; Yilbas, B.S. Development, analysis and assessment of solar energy based multigeneration system with thermoelectric generator. Energy Convers. Manag. 2018, 156, 746–756. [Google Scholar] [CrossRef]
- Calise, F.; d’Accadia, M.D.; Macaluso, A.; Piacentino, A.; Vanoli, L. Exergetic and exergoeconomic analysis of a novel hybrid solar–geothermal polygeneration system producing energy and water. Energy Convers. Manag. 2016, 115, 200–220. [Google Scholar] [CrossRef]
- Zare, V. A comparative thermodynamic analysis of two tri-generation systems utilizing low-grade geothermal energy. Energy Convers. Manag. 2016, 118, 264–274. [Google Scholar] [CrossRef]
- Azhar, M.S.; Rizvi, G.; Dincer, I. Integration of renewable energy based multigeneration system with desalination. Desalination 2017, 404, 72–78. [Google Scholar] [CrossRef]
- Ghorbani, B.; Mehrpooya, M.; Sadeghzadeh, M. Developing a Tri-Generation System of Power, Heating, and Freshwater (for an Industrial Town) by Using Solar Flat Plate Collectors, Multi-Stage Desalination Unit, and Kalina Power Generation Cycle. Energy Convers. Manag. 2018, 165, 113–126. [Google Scholar] [CrossRef]
- Baghernejad, A.; Yaghoubi, M.; Jafarpur, K. Exergoeconomic Comparison of Three Novel Trigeneration Systems Using SOFC, Biomass and Solar Energies. Appl. Therm. Eng. 2016, 104, 534–555. [Google Scholar] [CrossRef]
- Abdelhay, A.; Fath, H.S.; Nada, S.A. Solar driven polygeneration system for power, desalination and cooling. Energy 2020, 198, 117341. [Google Scholar] [CrossRef]
- Dabwan, Y.N.; Pei, G.; Gao, G.; Feng, J.; Li, J. A Novel Integrated Solar Tri-Generation System for Cooling, Freshwater and Electricity Production Purpose: Energy, Economic and Environmental Performance Analysis. Sol. Energy 2020, 198, 139–150. [Google Scholar] [CrossRef]
- Yao, E.; Wang, H.; Wang, L.; Xi, G.; Maréchal, F. Multi-Objective Optimization and Exergoeconomic Analysis of a Combined Cooling, Heating and Power Based Compressed Air Energy Storage System. Energy Convers. Manag. 2017, 138, 199–209. [Google Scholar] [CrossRef]
- Gholizadeh, T.; Vajdi, M.; Rostamzadeh, H. A New Trigeneration System for Power, Cooling, and Freshwater Production Driven by a Flash-Binary Geothermal Heat Source. Renew. Energy 2020, 148, 31–43. [Google Scholar] [CrossRef]
- Bellos, E.; Tzivanidis, C. Multi-Objective Optimization of a Solar Driven Trigeneration System. Energy 2018, 149, 47–62. [Google Scholar] [CrossRef]
- Gholizadeh, T.; Vajdi, M.; Rostamzadeh, H. Exergoeconomic optimization of a new trigeneration system driven by biogas for power, cooling, and freshwater production. Energy Convers. Manag. 2020, 205, 112417. [Google Scholar] [CrossRef]
- Ghorab, M.; Yang, L.; Entchev, E.; Lee, E.-J.; Kang, E.-C.; Kim, Y.-J.; Bae, S.; Nam, Y.; Kim, K. Multi-objective optimization of hybrid renewable Tri-generation system performance for buildings. Appl. Sci. 2022, 12, 888. [Google Scholar] [CrossRef]
- Li, J.; Zoghi, M.; Zhao, L. Thermo-economic assessment and optimization of a geothermal-driven tri-generation system for power, cooling, and hydrogen production. Energy 2022, 244, 123151. [Google Scholar] [CrossRef]
- Fouda, A.; Nada, S.; Elattar, H.; Rubaiee, S.; Al-Zahrani, A. Performance analysis of proposed solar HDH water desalination systems for hot and humid climate cities. Appl. Therm. Eng. 2018, 144, 81–95. [Google Scholar] [CrossRef]
- Dincer, I.; Demir, M.E. Steam and Organic Rankine Cycles. Compr. Energy Syst. 2018, 4, 264–311. [Google Scholar]
- Fouda, A.; Elattar, H.F.; Rubaiee, S.; Bin Mahfouz, A.S.; Alharbi, A.M. Thermodynamic and Performance Assessment of an Innovative Solar-Assisted Tri-Generation System for Water Desalination, Air-Conditioning, and Power Generation. Eng. Technol. Appl. Sci. Res. 2022, 12, 9316–9328. [Google Scholar] [CrossRef]
- Almehmadi, F.A.; Elattar, H.F.; Fouda, A.; Alqaed, S.; Mustafa, J.; Alharthi, M.A.; Refaey, H.A. Energy Performance Assessment of a Novel Solar Poly-Generation System Using Various ORC Working Fluids in Residential Buildings. Energies 2022, 15, 8286. [Google Scholar] [CrossRef]
- Eldean, M.A.S.; Soliman, A.M. Study of using solar thermal power for the margarine melting heat process. J. Sol. Energy Eng. 2015, 137, 210041–2100413. [Google Scholar] [CrossRef]
- Walraven, D.; Laenen, B.; D’Haeseleer, W. Comparison of thermodynamic cycles for power production from low-temperature geothermal heat sources. Energy Convers. Manag. 2013, 66, 220–233. [Google Scholar] [CrossRef]
- Almehmadi, F.A.; Elattar, H.F.; Fouda, A.; Alqaed, S.; Alharthi, M.A.; Refaey, H.A. Towards an Efficient Multi-Generation System Providing Power, Cooling, Heating, and Freshwater for Residential Buildings Operated with Solar-Driven ORC. Appl. Sci. 2022, 12, 11157. [Google Scholar] [CrossRef]
- Zhang, T.; Ma, J.; Zhou, Y.; Wang, Y.; Chen, Q.; Li, X.; Liu, L. Thermo-Economic Analysis and Optimization of ICE-ORC Systems Based on a Splitter Regulation. Energy 2021, 226, 120271. [Google Scholar] [CrossRef]
- Ayompe, L.M.; Duffy, A. Thermal Performance Analysis of a Solar Water Heating System with Heat Pipe Evacuated Tube Collector Using Data from a Field Trial. Sol. Energy 2013, 90, 17–28. [Google Scholar] [CrossRef]
- Panaras, G.; Mathioulakis, E.; Belessiotis, V.; Kyriakis, N. Theoretical and experimental investigation of the performance of a desiccant air-conditioning system. Renew. Energy 2010, 35, 1368–1375. [Google Scholar] [CrossRef]
- Mekhilef, S.; Saidur, R.; Safari, A. A Review on Solar Energy Use in Industries. Renew. Sustain. Energy Rev. 2011, 15, 1777–1790. [Google Scholar] [CrossRef]
- Wang, N.; Wang, D.; Dong, J.; Wang, H.; Wang, R.; Shao, L.; Zhu, Y. Performance assessment of PCM-based solar energy assisted desiccant air conditioning system combined with a humidification-dehumidification desalination unit. Desalination 2020, 496, 114705. [Google Scholar] [CrossRef]
- Nada, S.A.; Elattar, H.F.; Fouda, A. Performance Analysis of Proposed Hybrid Air Conditioning and Humidification–Dehumidification Systems for Energy Saving and Water Production in Hot and Dry Climatic Regions. Energy Convers. Manag. 2015, 96, 208–227. [Google Scholar] [CrossRef]
- Zubair, S.M.; Antar, M.A.; Elmutasim, S.; Lawal, D.U. Performance evaluation of humidification-dehumidification (HDH) desalination systems with and without heat recovery options: An experimental and theoretical investigation. Desalination 2018, 436, 161–175. [Google Scholar] [CrossRef]
- Galloni, E.; Fontana, G.; Staccone, S. Design and experimental analysis of a mini ORC (organic Rankine cycle) power plant based on R245fa working fluid. Energy 2015, 90, 768–775. [Google Scholar] [CrossRef]
- Al-Sulaiman, F.A.; Dincer, I.; Hamdullahpur, F. Energy analysis of a trigeneration plant based on solid oxide fuel cell and organic Rankine cycle. Int. J. Hydrogen Energy 2010, 35, 5104–5113. [Google Scholar] [CrossRef]
- Huang, Y.; Wang, Y.; Rezvani, S.; McIlveen-Wright, D.; Anderson, M.; Mondol, J.; Zacharopolous, A.; Hewitt, N. A techno-economic assessment of biomass fuelled trigeneration system integrated with organic Rankine cycle. Appl. Therm. Eng. 2013, 53, 325–331. [Google Scholar] [CrossRef]
- Puig-Arnavat, M.; Bruno, J.C.; Coronas, A. Modeling of trigeneration configurations based on biomass gasification and comparison of performance. Appl. Energy 2014, 114, 845–856. [Google Scholar] [CrossRef]
- Elattar, H.F.; Fouda, A.; Nada, S.A. Performance Investigation of a Novel Solar Hybrid Air Conditioning and Humidification–Dehumidification Water Desalination System. Desalination 2016, 382, 28–42. [Google Scholar] [CrossRef]
- Choi, J.H.; Ahn, J.H.; Kim, T.S. Performance of a triple power generation cycle combining gas/steam turbine combined cycle and solid oxide fuel cell and the influence of carbon capture. Appl. Therm. Eng. 2014, 71, 301–309. [Google Scholar] [CrossRef]
- Chen, Y.; Zhao, D.; Xu, J.; Wang, J.; Lund, P.D. Performance analysis and exergo-economic optimization of a solar-driven adjustable tri-generation system. Energy Convers. Manag. 2021, 233, 113873. [Google Scholar] [CrossRef]
- Lian, Z.; Chua, K.; Chou, S. A thermoeconomic analysis of biomass energy for trigeneration. Appl. Energy 2010, 87, 84–95. [Google Scholar] [CrossRef]







| Assumptions | |
|---|---|
| Pump efficiency of ORC, ηpump [49] | 0.85 |
| Turbine efficiency of ORC, ηturbine [49] | 0.85 |
| Evacuated tube solar collector efficiency, ηsolar [50] | 0.6320 |
| ORC electrical generator efficiency, ηg [49] | 0.95 |
| Desiccant wheel efficiency, ηF1 [49,51] | 0.05 |
| Desiccant wheel efficiency, ηF2 [49,51] | 0.95 |
| Evaporative cooler-1 efficiency, ηDEC-1 [49,51] | 0.90 |
| Evaporative cooler-2 efficiency, ηDEC-2 [49,51] | 0.90 |
| Heat exchanger effeciencies, ηHE-1, ηHE-2, ηHE-3, and ηHE-4 [49,51] | 0.80 |
| Dehumidifier efficiency, ηDh [17]. | 0.95 |
| HDH | ORC | DCS | |||||||||
|---|---|---|---|---|---|---|---|---|---|---|---|
| m•w/m•a (kgw/kga) | GORHDH | Pevap [bar] | ηORC | Treg [°C] | COPDCS | ||||||
| Exp. Zubair et al. [55] | Num. Current Model | Relative Error (%) | Exp. Galloni et al. [56] | Num. Current Model | Relative Error (%) | Exp. Panaras et al. [51] | Num. Current Model | Relative Error (%) | |||
| 1.36 | 0.335 | 0.325 | 3 | 6.180 | 6.313 | 5.842 | 7.46 | 50 | 0.387 | 0.402 | 3.8 |
| 6.897 | 6.347 | 6.35 | 0.05 | ||||||||
| 1.89 | 0.365 | 0.375 | 2.7 | 7.906 | 5.241 | 6.96 | 32 | 60 | 0.412 | 0.431 | 4.6 |
| 8.806 | 8.150 | 7.423 | 9 | ||||||||
| 2.27 | 0.375 | 0.387 | 3.2 | 9.587 | 8.981 | 7.777 | 13.4 | 70 | 0.443 | 0.470 | 6.1 |
| 9.955 | 8.889 | 7.931 | 10.8 | ||||||||
| Ref. | System Structure | System Productivities | Initial Motivator | Purpose | Description of the Research | Max. Freshwater Productivity (kg/h) | TGORmax/ηmax |
|---|---|---|---|---|---|---|---|
| Nada et al. [54] | co-generation | Cooling and fresh water | Vapor compression refrigeration cycle | Residential | Experimental | 17.42 | --- |
| Fouda et al. [17] | Modeling | 21.5 | |||||
| Nada et al. [52] | 375 | ||||||
| Elattar et al. [60] | 534 | ||||||
| Abdelhay et al. [34] | tri-generation | Electricity, cooling, and potable water | Solar/Rankine cycle | Residential | 22.9 | --- | |
| Chen et al. [62] | Cooling, heating, and power | Solar/ORC combined | --- | 82.96% | |||
| Fouda et al. [44] | Electricity, cooling, and potable water | 72.37 | 26.43 % | ||||
| Bellos and Tzivanidis [38] | Cooling, heating, and power | Solar | Residential | --- | 87.39% | ||
| Lian et al. [63] | Steam turbine (biomass) | Industrial | 72.8 % | ||||
| Choi et al. [61] | Combined-cycle gas turbine | Commercial | 53.3% | ||||
| Puig-Arnavat et al. [59] | Internal combustion engine | 64.2% | |||||
| Al-Sulaiman et al. [57] | SOFC/ORC combined | 74% | |||||
| Huang et al. [58] | ORC | 71.7% | |||||
| Current systems | Poly-generation | Cooling, heating, power, and fresh water | Solar/ORC combined | Residential | Modeling | 214.7 (IS-II) | 63.03% (IS-I) |
Publisher’s Note: MDPI stays neutral with regard to jurisdictional claims in published maps and institutional affiliations. |
© 2022 by the authors. Licensee MDPI, Basel, Switzerland. This article is an open access article distributed under the terms and conditions of the Creative Commons Attribution (CC BY) license (https://creativecommons.org/licenses/by/4.0/).
Share and Cite
Alqaed, S.; Fouda, A.; Elattar, H.F.; Mustafa, J.; Almehmadi, F.A.; Refaey, H.A.; Alharthi, M.A. Performance Evaluation of a Solar Heat-Driven Poly-Generation System for Residential Buildings Using Various Arrangements of Heat Recovery Units. Energies 2022, 15, 8750. https://doi.org/10.3390/en15228750
Alqaed S, Fouda A, Elattar HF, Mustafa J, Almehmadi FA, Refaey HA, Alharthi MA. Performance Evaluation of a Solar Heat-Driven Poly-Generation System for Residential Buildings Using Various Arrangements of Heat Recovery Units. Energies. 2022; 15(22):8750. https://doi.org/10.3390/en15228750
Chicago/Turabian StyleAlqaed, Saeed, Ali Fouda, Hassan F. Elattar, Jawed Mustafa, Fahad Awjah Almehmadi, Hassanein A. Refaey, and Mathkar A. Alharthi. 2022. "Performance Evaluation of a Solar Heat-Driven Poly-Generation System for Residential Buildings Using Various Arrangements of Heat Recovery Units" Energies 15, no. 22: 8750. https://doi.org/10.3390/en15228750
APA StyleAlqaed, S., Fouda, A., Elattar, H. F., Mustafa, J., Almehmadi, F. A., Refaey, H. A., & Alharthi, M. A. (2022). Performance Evaluation of a Solar Heat-Driven Poly-Generation System for Residential Buildings Using Various Arrangements of Heat Recovery Units. Energies, 15(22), 8750. https://doi.org/10.3390/en15228750

