Abstract
Due to a large amount of particulate matter in industrial flue gas, the formation of particulate deposits on the flue wall will increase the instability of equipment operation, which needs to be solved urgently. In this paper, a numerical investigation on the characteristics of particulate deposition and removal in the furnace flue was carried out for waste heat and energy recovery. This research adopted a comprehensive fouling model combined with the discrete phase model (DPM) which was performed by the CFD framework and extended by user-defined functions (UDFs). Firstly, the particulate deposition and removal algorithms were proposed to develop the judgment criterion of particle fouling based on the Grant and Tabakoff particle–wall rebound model and the Johnson–Kendall–Roberts (JKR) theory. This model not only considered the particles transport, sticking, rebound, and removal behaviors, but also analyzed the deposition occurring through the multiple impactions of particles with the flue wall. Then, the influence of furnace gas velocity, particle concentration, and inflection angle α of the tee section on the particulate fouling were predicted. The results show that the furnace gas velocity, particle concentration, and flue structure have significant effects on particle fouling and distribution, and the particle fouling mainly occurs in the blind elbow section and the tee sections of the flue. In addition, the fouling mass of particles decreases with an increasing furnace gas velocity and the decrease in particle concentration. Lastly, the fouling mass of particles decreases with the increase in the inflection angle α of the tee section, and the location of particle fouling gradually transfers from the blind elbow section to the tee section.
1. Introduction
The rotary kiln-electric furnace (RKEF) process is the one of the most widely adopted technological processes for ferronickel smelting production due to the advantages of yielding high grade nickel/iron from crude ferronickel products, less harmful elements, high production efficiency, and maturing process [1]. Nonetheless, the RKEF process also suffers from the high energy consumption and a large amount of by-product (e.g., slag and off-gas), which restricts its development; thus, reducing the energy consumption while achieving the same quality product has become a pressing need for the current ferronickel smelting industry. For this reason, the furnace gas which contains a vast amount of CO is recycled into rotary kilns as auxiliary fuel and combusted with bituminous coal, with a goal to improve the utilization rate of residual heat and energy. In the smelting process of electric furnaces, the ores will undergo the reduction reaction and slagging reaction. Meanwhile, the furnace gas is produced, and then escapes from the ores with many pores. Moreover, the furnace gas will carry a large amount of ore particles into the flue. In the flue, the ore particles are likely to impact the flue wall and deposit on the wall, which can cause severe hazards to the flue structure, such as fouling, erosion, corrosion, and capacity-limiting plugging. In serious cases, the ore particle deposition even leads to significant deterioration of the flue service life and the furnace gas delivery rate. In view of the fact that the flue is the transportation equipment for utilizing residual heat and energy of furnace gas in the RKEF process, a profound study on the mechanism of particle transportation, deposition, and removal in the flue is the key to ensure the stability and efficient recycling of residual furnace gas energy. Therefore, the research on the characteristics of particulate deposition and removal in flues is needed.
In the flue, the transportation process of ore particles with high-temperature furnace gas is a complex process of multiphase flow and multi-physical field coupling, which includes the hydrodynamics, heat and mass transfer of gas-solid two-phase, as well as the collision, rebound, sticking, and removal of particles. Thus, in order to accurately predict the motion and fouling behaviors of the ore particles, the method of combining experimental investigation and numerical simulation is applied to research the particulate transport and deposition mechanisms. Hosseini et al. [2] studied particle deposition in compact heat exchangers by using experimental and numerical simulation methods, and analyzed the influence of flow velocity on the particle deposition characteristics and mechanism for different particle sizes. Waclawiak et al. [3] proposed a model of powdery, medium-temperature particulate deposition on superheater tubes, which is not only using the DEFINE_DPM_EROSION procedure to calculate the deposition rate, but also using the DEFINE_GRID_MOTION procedure to consider the change in morphologies of the fouled tube wall caused by the growth of the deposits. Moreover, the effectiveness of the particle deposition model is verified by the experimental data. With the rapid development of computational fluid dynamics (CFDs), the researchers carried out a more in-depth study of developing the mathematical models for describing the formation mechanism of particulate fouling. Tang et al. [4] proposed particle deposition and removal algorithms to establish the judgment criterion of particle fouling based on the energy conservation model and the critical moment theory, and simulated the particle fouling process for different particle sizes and flue gas velocities. Lee et al. [5] established the sticking probability model of a deposit surface based on the energy conservation theory. The model not only considers the deposition through the multiple impactions of particles with the deposit surface, but also analyzes the influence of different parameters on particle sticking such as particle viscosity, surface tension, impact velocity, impact angle, and the thickness of the sticky layer on a particle. Xu et al. [6] developed a predictive particle fouling model based on the Johnson–Kendall–Roberts (JKR) theory and the critical deposition velocity criterion, and applied the DEFINE_DPM_BC macro to modify the wall boundary conditions, with the goal to determine whether the particles deposited. Moreover, the effects of gas drag, gravity, buoyancy, Brownian, Saffman lift, and thermophoretic forces on the particle deposition process were investigated. In recent years, researchers found that the fouling rate on the deposit surface is dependent upon the particle transport mechanism and the particle impact behavior [7]. The mechanisms of transporting particles toward the deposit surface are expressed in terms of inertial impact, thermophoresis, condensation, and turbulent diffusion [5,8,9,10]. Inertial impact is considered to be the dominant transport mechanism for particles with its size larger than 10 μm, while the particle with its size smaller than 10 μm is mainly transported by eddy transport and thermophoresis toward the deposit surface [11].
In addition, particle fouling depends not only on the transport mechanism, but also on the physical properties of the particles (e.g., the particle size, viscosity, and chemical properties etc.), the physical properties of the collision surface (e.g., wall temperature and roughness etc.), and the particle impact behavior (e.g., particle impact velocity and angle etc.) [7,8,11,12,13]. In addition, other factors such as the equipment geometry, fluid dynamics, and the chemical reactions in the transportation process also have a significant effect on the particle fouling process [7,11]. Lee et al. [5] proposed the adhesion probability of the particle is determined by particle viscosity, surface tension, impact speed and angle, and the sticky layer thickness on a particle. Zhou et al. [14] pointed out that the critical deposition velocity ucr is a criterion for comparing the normal impact velocity of particles with the critical deposition velocity based on the JKR theory. It is found that when the impact velocity of particles is less than the critical sticking velocity, the particles may adhere to the wall, otherwise particles may rebound or remove other deposited particles [15,16]. Han et al. [7] established a numerical model to numerically predict the deposition rate of particles by comprehensively considering particle transport, impact velocity, and impact angle. Lee et al. [17] used CFD software to simulate the deposition of particles and evaluated whether the particles may deposit on the surface by considering the gravity, rebound, and adhesion forces during the particle–wall impact.
These things considered, Knudsen et al. [18] proposed that chemical reaction fouling is determined by two opposite mechanisms: deposition and removal. Meanwhile, it is found in Ref. [4] that a comprehensive particle fouling model should consist of both particle deposition and the removal sub-models based on Kern–Seaton theory. Thus, the study of particle fouling needs to consider not only the mechanism of particle deposition and rebound, but also discuss the particle removal mechanism. El-Batsh et al. [19] studied the deposition and removal mechanism of particles on turbine blades based on the analysis of the critical capture velocity and critical shear velocity as particle–wall collision. Pan et al. [20] proposed a comprehensive particle fouling model to study the process of particle deposition and fouling removal in inertial impaction process. Abd-Elhady et al. [16] numerically predicted the effect of critical sticking velocity and the removal velocity on the growth rate of particulate fouling layers during particle–wall collision.
Although the research on the mechanism of particle deposition, rebound, and removal has achieved significant progress in boilers, there are still relatively few research in published literature that focus on particle deposition and removal in electric furnace flues. This working condition has the characteristics of large range of particle size (e.g., 5~140 μm), large proportion of big particles (e.g., about 90% particles larger than 10 μm), high furnace gas temperature (e.g., 800~1000°C), and high flow velocity. This study comprehensively considers the influence of Saffman’s lift, gravity, and drag forces on the particle deposition process [21], combined with the physical properties of particles actually measured by Dalian Huarui Heavy Industry Group Co., Ltd. (Dalian, China). In order to accurately predict the particle fouling mass, the particle deposition mass rate and removal mass rate are evaluated. Meanwhile, the time amplification factor is applied to simulate the actual fouling process, and to convert the simulation results and simulation time into the actual time scale. Furthermore, the effects of flow velocity, particle concentration, and inflection angle α of the tee section on the particle fouling mass and location were investigated, and the optimization scheme of flue structure was proposed.
2. Physical Model
2.1. Technology Process
As shown in Figure 1, in the RKEF process, the semi-dry laterite ores are firstly mixed with the anthracite and the limestone in the raw proportioning station, and then fed into the rotary kiln for roasting and pre-reduction processes. Finally, the calcined laterite ores are transported into the enclosed electric furnace for reduction smelting. The electric furnace uses arc heat and resistance heat to smelt the calcined laterite ores. Undergoing the reduction and slagging reaction, the ferronickel and slag are then generated and the furnace gas (containing large amounts of carbon monoxide) is also produced. In order to improve the utilization rate of residual heat and energy of RKEF process, the flue is used to recover the furnace gas as auxiliary fuel, which is also help to reduce the unit coal consumption of ferronickel alloy. In this process, the high-temperature furnace gas may carry a large amount of ores particles into the flue. During the transportation process, a series of particle behaviors will take place, such as particle transport, impact, sticking, rebound, and removal.
Figure 1.
RKEF process flow diagram.
2.2. Physical Model of the Flue
In this paper, the structure of the flue is shown in Figure 2. The electric furnace flue is composed of the furnace mouth section, flue section I, flue section II, flue section III, tee section, blind elbow section and outlet section. The flue model is characterized with the angle of tee section α = 80°. The flue is composed of shell, cement layer,. and fluid domain. Q235b steel is selected for the shell according to the actual survey data. The specific dimensions are shown in Table 1.
Figure 2.
Schematic diagram of flue structure.
Table 1.
The parameters used by the model.
3. Mathematical Model
In order to study the gas–solid two-phase flow characteristics between furnace gas and solid particles in the flue, the Eulerian–Lagrangian method is applied to solve the particle-laden furnace gas flow problem. The Eulerian model is employed to describe the gas phase flow, while the stochastic Lagrangian model is used to predict the particle’s motion. In this study, the furnace gas is a three-dimensional turbulent flow with characteristics of particle-laden, heat, and mass transfers. In addition, the fluid is considered as unsteady during the simulation of furnace gas flow [6], and the furnace gas parameters are shown in Table 2. The RNG k-ε turbulence model with enhanced wall treatment is employed to forecast the gas flow field and heat transfer process [22]. The governing equations of mass, momentum, and energy of the continuous phase, as well as the equations of the RNG k-ε turbulence model exist in a large portion of the literature and will not be repeated here for simplicity [11,17,23,24].
Table 2.
Physical parameters of furnace gas.
According to the field monitoring data, the furnace gas is composed of carbon monoxide (i.e., 55.8~75%), hydrogen (i.e., 1.8~2.6%), methane (i.e., 3.5~4.8%), nitrogen (i.e., 15.8~35.6%), and carbon dioxide (i.e., 1.9~2.6%). Thus, the density of mixed gas was solved according to the ideal gas state equation, and given as:
where MA is the molar mass of component A; R is the universal gas constant (molar gas constant), R = 8.314, J/mol·K; T is the gas temperature, K; p is the gas pressure, Pa.
The viscosity of mixed gas is expressed as:
where yA is the mole fraction of component A in the mixed gas; μA is the viscosity of component A at the same temperature, Pa·s.
3.1. Particle Equations of Motion
For particle phase modeling, the Lagrange method is applied to track the trajectory of particle combined with considering the force balance on the particle. The particle dispersion due to turbulence is analyzed numerically by using a stochastic tracking model associated with discrete random walk (DRW) model [4,7]. Meanwhile, the DRW model is also employed to evaluate the influence of instantaneous turbulent velocity fluctuations of the gas on the particle trajectories [22]. We assume that the ore particles are spherical and sufficiently dense. In addition, the particle are transported in the gas flow without rotating. The force balance equation of particles is expressed in terms of the drag force, gravity force, and additional forces per unit mass:
where FD(u − up) is the drag force per unit mass acting on the particle (m/s2), and , u and up are the velocity of air and particle, respectively (m/s), ρ and ρp are furnace gas and particle density, respectively (kg/m3), μ is the molecular viscosity of furnace gas (kg/(m·s)), dp is the diameter of the particle (m), g is the gravitational acceleration (m/s2), CD is the non-linear drag coefficient [25], Rep is the relative particle Reynolds number, and , is the gravity force per unit mass (m/s2), Fai is the additional forces per unit mass (m/s2).
Within the range of particle sizes (i.e., 5~140 μm) analyzed in this paper, the drag force plays an important role in the particle motion and deposition process, which may be one order of magnitude larger than other forces [16]. Furthermore, the gravity force is the body force acting on the particle, and needs to be considered due to some of large particles (i.e., dp > 20 μm) used in this study. In this paper, the additional forces contain the Basset force, Brownian, thermophoretic, pressure gradient, virtual mass, and Saffman’s lift forces, and the magnitude of these forces are dependent on the particle flow and property (such as particle size and density). Thus some necessary discussions are implemented to evaluate whether some of the forces are small enough to be ignored. The Basset force caused by the unsteady flow is negligible due to the particles with density being significantly greater than gas density. It is reasonable to ignore the thermophoretic and Brownian forces since both the thermophoretic and Brownian forces are valid for submicron particles (i.e., dp < 1 μm).
According to Ref. [26], the pressure gradient and virtual mass forces are several orders of magnitude smaller than other external forces, since the ratio of gas density to particulate density is quite small (i.e., approximately 0.0002178), and thus leading to neglect the pressure gradient and virtual mass forces. Saffman’s lift force may influence some small particles (i.e., 5~10 μm) motion near the flue wall, because the Saffman’s lift force may play a dominant role in the near-wall area with the high-velocity gradient to consider Saffman’s lift force. Its general form is provided by Saffman: , where KC = 2.594, dij the deformation tensor [27]. Therefore, only the drag, gravity, and Saffman’s lift forces for particulate motion are considered in this study.
3.2. Particle-Surface Interactions
3.2.1. Deposition Model
As the particle–wall collision process occurs, the particle may have a chance to deposit on the wall if it meets deposition criterion. In this work, the evaluation criterion is implemented based on the JKR theory [28]. In this model, the critical deposition velocity is applied as a criterion to determine whether the particle deposits on the wall or rebounds to the flow. When the impact velocity of particles is less than the critical sticking velocity, the particles may stick to the wall; otherwise particles may rebound or remove other deposited particles. In addition, the deposition model also analyzes the particle sticking caused by the multiple impacts of particles. Figure 3 is a schematic diagram of particle transportation and fouling formation in the flue. When particle deposition occurs on the flue wall, the mass of deposited particles will be recorded by user-defined memory (UDM). According to Ref [28], the critical deposition velocity can be written as:
where K is the effective stiffness parameter, and can be defined as:
where Es and Ep represent the young’s modulus of the wall and particle, respectively, vs and vp represent the Poisson’s ratios of the wall and particle, respectively, dp is particle diameter, ρp is the particle density, Rr is the particle restitution coefficient. Equation (4) shows that the smaller Rr, the greater the critical deposition velocity, which will lead to an increase in the number of deposited particles. The particle restitution coefficient is specified as 0.9 considering that is commonly used in similar researches [29].
Figure 3.
Schematic diagram of particle transportation and fouling formation.
3.2.2. Rebound Model
The particle–wall rebound model is very important to obtain the rebound angle and velocity of particle impacting the wall [30]. It is widely known that when the particles collide with the wall, particles will lose a fraction of their kinetic energy due to plastic deformation of the particle. In addition, the energy loss is commonly much smaller than the initial kinetic energy of incident particles, and then the particles will rebound into the flow, resulting in the change in rebound velocity and angle for the particles. In this paper, the particle rebound model proposed by Grant and Tabakoff [31] is used to calculate the velocity change during the particle–wall collision. In addition, the model is based on the coefficient of restitution to predict the energy loss caused by particle impaction, and is written as:
where en and et are the normal and tangential velocity restitution coefficients, respectively, u1n and u2n are the normal velocities before and after particle collision with the wall respectively, u1t and u2t are the tangential velocities before and after particle collision with the wall, respectively, θ is the particle impact angle.
3.2.3. Remove Model
Most research shows that fouling formation is the result of the simultaneous action of two opposing mechanisms, such as deposition and removal [32]. For the moment, the theoretical analysis and experiments are implemented to show that the removal rate depends upon the fouling thickness, shear action and strength of the deposit layer. According to Ref. [33], the removal rate of fouling is considered to be directly proportional to the local wall shear stress and the fouling thickness, and inversely proportional to the strength bond factor, as shown in Equation (9) [4,6]:
where is the removal rate, k is the removal constant, ψ is the strength bond factor of the deposit layer, ε is deposit porosity, τw is the local wall shear stress on the deposit surface, and is expressed as , xf is the fouling layer thickness, and , mf is fouling mass per unit area.
As mentioned above, fouling mass is the difference between the deposition and removal mass. The fouling mass can be expressed as:
where md is the deposition mass, mr is the removal mass, and defined as:
where mr,t is the removal mass starting at time t, represents the additional removal mass within time step Δt.
4. Time Magnification Factor
In the actual fouling formation process, it usually takes a few hours or even some months to stabilize fouling accumulation in a flue for a dynamic balance of deposition and removal. In the numerical simulation process, the calculation time step must be small enough to accurately describe the particle fouling process. However, it is unrealistic to calculate the actual fouling accumulation process (in the order of several hours or even some months) with such a small time step. Thus, it is necessary to expand the simulation time scale of fouling accumulation, which can enlarge the simulation results and time of fouling accumulation to match the actual time scale [4].
In the simulation, if the deposition particle number of the fluid node is bigger than critical value (i.e., critical deposition number ncr), the fluid node will become the solid node causing the fluid node shift the critical thickness δcr in a certain orientation [4,34]. In addition, the fouling growth rate is dependent upon ncr. Thus, in order to scale up the simulation results of fouling to the actual scale, it is assumed that when the number of deposited particles per square millimeter area is equal to ncr, the thickness of the deposition layer will correspondingly increase by δcr. Furthermore, for scaling up the simulation time to the actual time scale, it is necessary to multiply the simulation time by time magnification factor N. The N is as given in Equation (12):
where the magnification factor N1 and N2 are shown as:
where ϕ = 1–ε, ε is the fouling porosity, and l is the length of the wall grid. Where Cp, CF are the particle concentration in the simulation and the actual process, nin is the particle number injected into the computational domain, uin is the flow velocity, Sin is the cross-sectional area of the computational domain, and tstep is the time step.
It is necessary to determine the values of ncr and δcr before the simulation. In this study, we set ncr = 40~60, uin = 3 m/s, dp = 28.13 μm, and δcr = 1.0 mm. So the simulated time can be transformed into the actual time by Equation (12), and then the relationship between fouling mass and time for different ncr may be obtained, as shown in Figure 4. When ncr is larger than 55, the increase in fouling resistance is independent of the value of ncr. Therefore, ncr = 60 and δcr = 1 mm are chosen in the following research.
Figure 4.
The relationship between deposition mass and time for different ncr.
5. Boundary Condition
In this paper, the velocity inlet and pressure outlet are used as the inlet and outlet boundary conditions. Moreover, both the inlet and outlet conditions are escape, and the wall is set as reflect. At the flue surfaces, the no-slip boundary condition is specified [35,36]. The inlet temperature of the flue is 1073 K, the inlet speed of furnace gas is 3 m/s to 7 m/s, and the particle concentration is 5 g/m3 to 10 g/m3. The physical properties of furnace gas given by the enterprise are shown in Table 2. Moreover, by assuming that the initial particle velocity equals to inlet velocity of furnace gas and 9000 particles are injected at flue inlet each time step with a time step size of 0.001 s. The specific physical properties are shown in Table 3.
Table 3.
Physical properties of the deposition model.
6. Size Distribution of Particles
For predicting the deposition characteristics in the flue, the particle size provided by Dalian Huarui Heavy Industry Group Co. Ltd. was selected for following simulation, and the particle size considered in this paper follows Rosin–Rammler distribution between 5~140 μm for matching the actual size distribution of incident particles, as shown in Figure 5. As can be seen in the figure, particle size is mainly distributed in the range of less than 100 μm, with an average particle size of 28.13 μm.
Figure 5.
Particle size distribution in flue.
7. Numerical Method and Validation
7.1. Numerical Method
In present study, the commercial software FLUENT is used to numerically simulate particle fouling process in a flue with a scheme of double precision. The second-order upwind scheme is applied to discretize the convective and diffusive terms. The SIMPLE algorithm is adopted to carry out velocity–pressure coupling. The convergence criterion is that the residual of each governing equation is less than 1.0 × 10−4 except that the energy equation is 1.0 × 10−6. It is assumed that the interaction or impact between particles and the influence of particle phase on fluid phase are ignored, which allows for an adoption of a one-way coupling for the particle phase [37]. A stochastic tracking model associated with discrete random walk is used to predict the turbulent dispersion of particles in the continuous phase, and the particles are monitored till they exit the computational domain. The fouling model shown in Figure 6 is carried out using fluent user-defined files (UDFs), which modifies the simulation procedure. In addition, the present work adopts the DEFINE_DPM_EROSION macro to modify the boundary conditions of deposit surface to evaluate whether particles were deposited. The user-defined memory (UDM) is applied to store the mass of deposited particles. In the procedure, the fouling mass depends on the difference between the deposition and removal masses.
Figure 6.
Numerical procedure for fouling model.
7.2. Grid Generation and Independence Validation
The commercial software ICEM is used to establish a structural grid for the discretization of the computational domain, and the computational domain is divided into three parts: carbon steel layer, cement layer, and fluid domain layer, as shown in Figure 7. It is well known that the mesh number may influence the simulation result of particle fouling. Therefore, the grid independence verification is necessary to perform for ensuring the accuracy of the simulation. The numerical simulation was carried out for different number of meshes, and the values of Re and Nu at the flue outlet were plotted against the mesh number, as shown in Figure 8. It is clear from this figure that the values of Re and Nu no longer change significantly with increasing grid number when the grid number is approximately 1.95 million under the same conditions. In order to meet the requirements of calculation accuracy and efficiency, the overall mesh number of the physical model is taken to be 1.95 million.
Figure 7.
Computational grid.
Figure 8.
Value of Nu and Re for different grid generations.
7.3. Numerical Validation
In order to validate the accuracy of the mathematical models and numerical methods in terms of particle fouling, a numerical simulation on the deposition mass is performed and is compared with the experimental results presented in Ref. [4] and simulation results obtained in Xu et al. [6] and Tang et al. [4]. Figure 9 shows the comparison of experimental and numerical results on the fouling mass. It can be found that our simulation result is in good agreement with the experimental result presented in Ref. [4], and the relative difference among the both is 12.2%. The comparative results of the fouling mass for 5 μm particle diameter are shown in Figure 9. As can be seen from the Figure 10, the deposit mass increases with increasing time and the relative errors between our simulation result and the other two results are 8.52% and 4.56%, respectively. Thus our simulation result basically coincided with the results of two references, which can verify the feasibility of the particle fouling model developed in this paper.
Figure 9.
Comparing of experimental and numerical results of the fouling mass at various time [4].
Figure 10.
Mass verification results of particle deposition [4,6].
8. Results and Discussion
In order to solve the particle fouling problem in the flue of electric furnace, in the following research, the particle fouling behavior in the flue was first analyzed, and then the effects of furnace gas velocity, particle concentration, and inflection angle α of the tee section on particle fouling were discussed, and the gas–solid two-phase heat and mass transfer mechanism and particle fouling mechanism were investigated.
Figure 11 shows a steady-state particle deposition mass rate graph. It can be found from Figure 11 that particle fouling generally occurs where the furnace structure changes, such as cross-sectional area alterations, flue inflections, blind elbows, and tee sections. As the particles flow into the flue with the furnace gas, particle fouling occurs first at the furnace mouth section due to the sudden reduction in cross-sectional area of the flue and the inertia impaction of the particles. Then, the particles will flow through the section Ⅰ, section Ⅱ and section Ⅲ of flue in turn, and the fouling occurs at the corner of the flue. There are two reasons for this result: firstly, as the furnace gas carrying particles flows to the inside corner of the flue, due to the influence of the corner structure, turbulence and the boundary layer separation of the fluid occurs and vortexes are formed, and then the fouling is caused by turbulent eddies and Brownian diffusion [21]; secondly, the particle flow with the furnace gas to the outside corner of the flue, and particle fouling will occur due to Brownian diffusion and particle inertia [21]. Afterwards fouling also occurs when the particles flow with the furnace gas through the tee section, blind elbow section, and outlet section. In addition, the blind elbow section and the tee section are the main fouling areas in the flue, and the reasons of fouling will be introduced in detail in Section 8.3.
Figure 11.
Particle deposition mass rate distribution in the flue.
8.1. Furnace Gas Velocity
In this study, to investigate the effects of flow velocity on particle deposition, removal, and fouling masses, the furnace gas velocity was varied from 5 m/s to 10 m/s during the simulation, as shown in Figure 12. It can be found that the deposition and fouling masses decrease with the increase in furnace gas velocity. At the same time, the deposition and fouling masses show an asymptotic tendency [20]. At lower velocities (5 m/s), the inertial and diffusion forces are smaller than the drag force; the smaller the Stokes number, the poorer the particle following, and so the deposition and fouling masses grow rapidly. As the furnace gas velocity increases, the impact velocity of the particles increases and produces a lower deposition rate; leading to a decrease in deposition and fouling masses. Wang et al. [4] also pointed out that the kinetic energy of particles increase as the velocity of flow increasing and the adhesion energy is not sufficient to cause deposition. As a result, the number of particles that can adhere to the wall will decrease, leading to a decrease in deposition and fouling masses.
Figure 12.
Particle deposition mass, removal mass, and fouling mass versus time at the different velocities. (a) Deposition mass; (b) Removal mass; (c) Fouling mass.
In addition, it is also seen from the Figure 12 that the removal mass decreases with increasing the furnace gas velocity. This is because increasing the velocity of gas leads to an enhancement of the fluid shear stress. From Equation (9), it is obvious that the higher the wall shear stress of the fluid, the higher the particle removal force, and the increase in the removal force is also able to increase the fouling removal mass rate, leading to an increase in the removal mass with the increase in the furnace gas velocity.
Based on the above two reasons, this paper concludes that the increase in the velocity of the gas leads to a decrease in the deposition and fouling masses, conversely, an increase in the removal mass. Thus, to better compare and predict the asymptotic behavior of fouling mass, a curve was fitted to the simulated data. The extension line in the figure indicates the extension of the fitted curve beyond the simulation time.
8.2. Particle Concentration
It is found that particle concentration is also one of the main factors affecting particle deposition. Therefore, to examine the effect of particle concentration on fouling characteristics, the particle concentration was varied from 5 g/m3 to 10 g/m3 during the simulation. Figure 13 plots the particle deposition, removal, and fouling masses versus time at various concentrations. As shown in Figure 13a,c, the deposition and fouling masses increase continuously with the increase in particle concentration, and the removal mass also increases gradually. The reason for the above results is that when the particle concentration increases, the amount of particles per unit volume of furnace gas increases, which will increase the number of particles collision with the wall, and subsequently increase the particle deposition mass. As a result, the thickness of the deposition layer will also increase. From Equation (9), it can be seen that the increase in deposition layer thickness leads to increasing removal rate, which, however, has a relatively small order of magnitude effect on the removal rate. To sum up, the fouling mass increases with increasing particle concentration.
Figure 13.
Particle deposition mass, removal mass, and fouling mass versus time at the different concentrations. (a) Deposition mass; (b) Removal mass; (c) Fouling mass.
8.3. Flue Structure Optimization
The present study finds that the particles are mainly deposited in the blind elbow section and the tee section, and so the effect of the inflection angle α of the tee section on the deposition characteristics of the flue blind elbow section and the tee section was investigated based on the actual working conditions of the flue equipment in the field, and the range of angle α in the simulation is 80°~120°. Figure 14 plots the variations of the steady-state deposition mass rate versus angle α for the tee section, blind elbow section, and outlet section. It can be seen from Figure 14 that the deposition mass rate decreases with increasing the angle α for the blind elbow section and outlet section, but the deposition mass rate increases with increasing the angle α for the tee section.
Figure 14.
Deposition mass rate of each section for various angle α.
Figure 15 shows the particle deposition characteristic in the blind elbow, outlet, and tee sections for different inflection angle α. From the figure, it can be seen that the deposition mass rate of the blind elbow section and outlet section decreases with the increase in the inflection angle α, and the range of the deposition also decreases; however, the deposition mass rate in the deposition zone A of the tee section increases with the increase in the angle α, and the particle deposition location is transferred from the blind elbow section to the deposition zone A. At the same time, the deposition mass rate in the deposition zone B of the tee section decreases with the increase in the angle α, but the range of deposition is more dispersed. The reasons for this phenomenon are as follows.
Figure 15.
Distribution of particle deposition at various angle α. (a) α = 80°; (b) α = 100°; (c) α = 120°.
Firstly, with the increase in the inflection angle α, the amount of furnace gas flowing into the blind elbow section gradually decreases, which leads to the decrease in the pressure of the blind elbow section from 106 Pa to 34 Pa. This conclusion can be reflected by the pressure distribution diagram of the blind elbow section as shown in Figure 16. Therefore, the number of particles entering the blind elbow section also decreases, and a large number of particles flow directly into the flue outlet section with the mainstream furnace gas, as shown in Figure 17. Figure 17a shows that the collision zone of particles with the flue wall can be predicted based on the trajectory of the particles. As the angle α increases, the collision zone between the particles and the wall in the blind elbow section is shrinking, causing the range of the deposition zone to decrease correspondingly. In addition, the number of particles flowing into the blind elbow section decreases with the angle α increases, leading to a decrease in the number of particles deposited, which in turn causes a decrease in the deposition mass rate in the blind elbow section.
Figure 16.
The local pressure distribution in the flue at the different angle α. (a) α = 80°; (b) α = 100°; (c) α = 120°.
Figure 17.
The diagram of particle trajectory at different angle α. (a) α = 80°; (b) α = 100°; (c) α = 120°.
Secondly, it can be seen from Figure 17 that the particles enter the blind elbow section with the furnace gas and first flow to the lower part of the blind elbow section, then flow along the wall to the upper part of the blind elbow section, and finally flow to the outlet section. In this process, the particles are transported to the wall by inertial collision and the turbulent diffusion mechanism. Thus the fouling behaviors of the blind elbow section and deposition zone A are mainly caused by the particle inertial and Brownian diffusion. As shown in Figure 18, when the furnace gas carrying particles flows to the outlet section, due to the influence of the tee structure, turbulence and boundary layer separation of the fluid occurs and vortexes are formed. So the deposition behavior in the deposition zone B is mainly caused by the turbulent eddies and Brownian diffusion [21].
Figure 18.
The effect of various angle α on the flue vortex structure. (a) α = 80°; (b) α = 100°; (c) α = 120°.
Thirdly, Figure 18 shows the variation of vortex in the tee section for different inflection angle α. It can be found from the Figure 18 that with increasing angle α, the turbulence intensity and boundary-layer separation phenomenon of the fluid will gradually become weaker, which leads to decrease the size of vortex core in the deposition zone B, and then makes the deposition behavior in the deposition zone B change from deposition caused by turbulent eddies to deposition caused by Brownian diffusion. Furthermore, the velocity distribution of the cross-section C also reflects the decrease in the size of vortex core with increasing angle α.
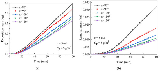
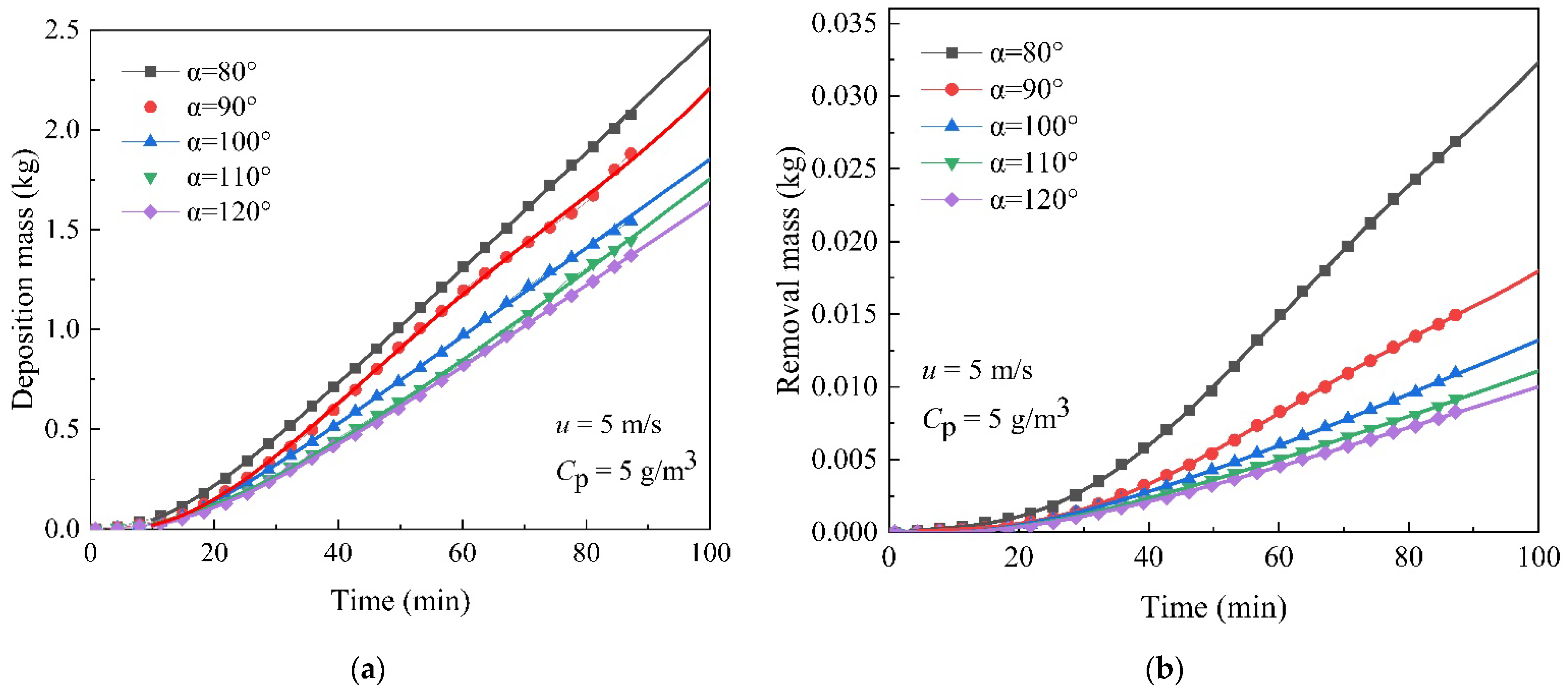
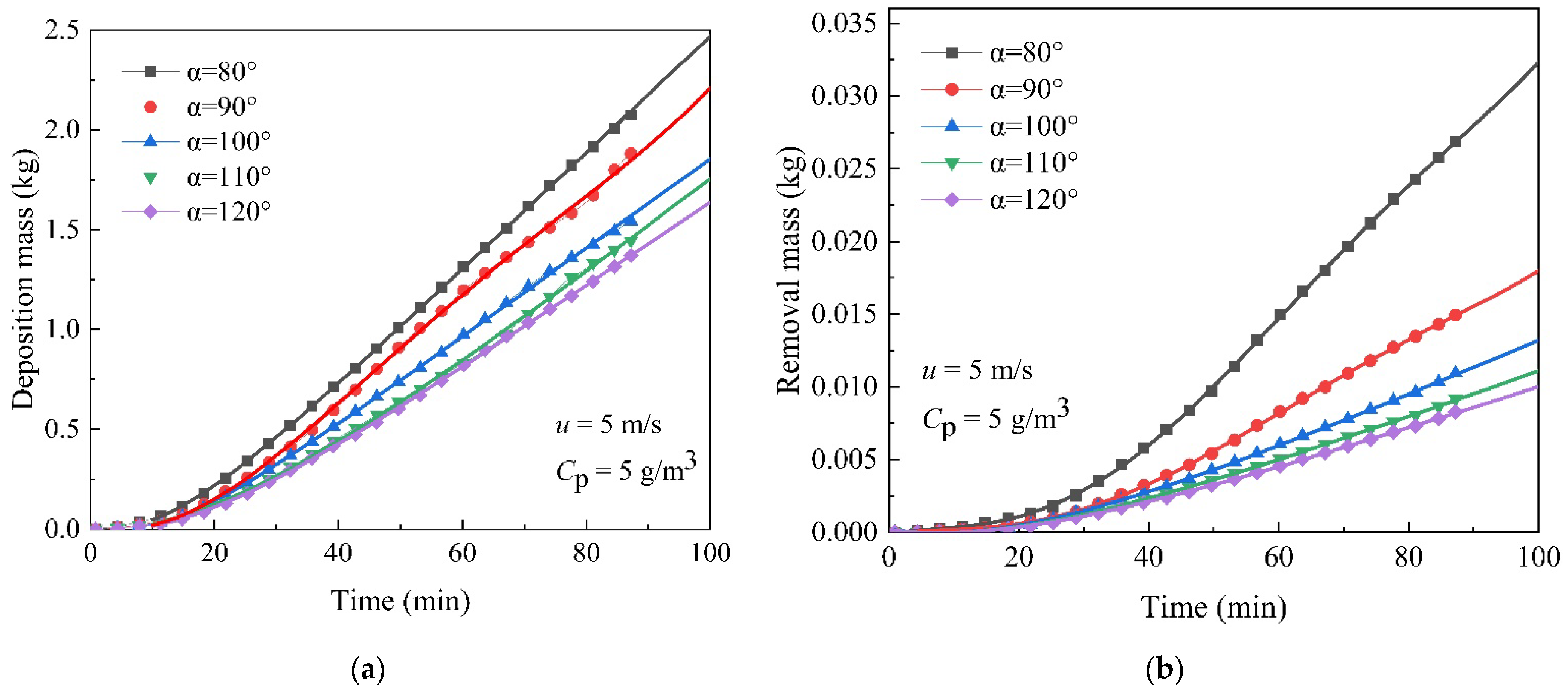
Figure 19 depicts the particle deposition, removal, and fouling masses versus time for different inflection angle α. It can be seen from Figure 15 that the deposition, removal, and fouling masses decrease with the angle α increases. This is because the deposition of particles in the flue mainly occurs in the blind elbow section, where the deposition mass is much larger than the deposition mass in other sections of the flue. Meanwhile, the deposition mass of the blind elbow section decreases with the increasing angle α, which causes the deposition mass of the whole flue to decrease with the increasing angle α.

Figure 19.
Particle deposition mass, removal mass, and fouling mass versus time for the different angle α. (a) Deposition mass; (b) Removal mass; (c) Fouling mass.
9. Conclusions
The numerical simulation is used to investigate the particle fouling characteristics of the flue in the rotary kiln-electric furnace smelting process. In this study, the particle fouling model considering the particle deposition and removal mechanism is developed. The model adopts Grant and Tabakoff particle–wall rebound model and Johnson–Kendall–Roberts (JKR) theory with UDFs to develop the judgment criterion of particle fouling. The time amplification factor is applied to simulate the actual fouling process, and to convert the simulation results and simulation time into the actual time scale. The effects of furnace gas velocity, particle concentration, and inflection angles α of the tee section on the fouling mass and location of particles were investigated comparatively. We obtained the following conclusions:
- (1)
- Particle fouling generally occurs where the furnace structure changes, such as cross-sectional area alteration, flue inflection, blind elbows, and tee sections where fouling behaviors are mainly caused by turbulent eddies, Brownian diffusion, and particle inertia. Meanwhile, the blind elbow section and the tee section are the main locations of particle fouling.
- (2)
- The fouling mass is strongly dependent on the furnace gas velocity. The deposition mass and fouling mass of particles decrease with the increase in furnace gas velocity, and show an asymptotic behavior. Meanwhile, the removal mass of particles increases with the increase in furnace gas velocity. Therefore, appropriately increasing the furnace gas velocity is an effective measure to reduce particle fouling in the flue.
- (3)
- Particle concentration is another major factor affecting particle fouling. The deposition, removal, and fouling masses of particles increase with increasing particle concentration.
- (4)
- The fouling mass rate in the blind elbow and outlet sections of the flue decreases with increasing the inflection angle α of the tee section. However, the fouling mass rate of the tee section increases with the increase in the inflection angle α of the tee section. Meanwhile, the particle fouling position is transferred from the blind elbow section to the deposition zone A of the tee section. In addition, the fouling mass rate of the tee section deposition zone B decreases with the increase in the tee section inflection angle α, and the deposition area is more dispersed.
- (5)
- The deposition mass, removal mass, and fouling mass decrease with increasing the inflection angle α of the tee section. Therefore, appropriately increasing the tee section inflection angle α is an effective measure to reduce particle fouling in the flue.
Author Contributions
Conceptualization, P.L. and W.L.; methodology, P.L. and W.L.; software, P.L. and W.L.; validation, P.L., K.G. and W.L.; formal analysis, P.L. and C.H.; investigation, P.L. and W.L.; resources, P.L.; data curation, P.L., H.Z., R.H. and Z.S.; writing-original draft preparation, P.L. and W.L.; writing-review and editing, P.L. and W.L.; visualization, W.L.; supervision, P.L.; project administration, P.L.; funding acquisition, P.L. and W.L. All authors have read and agreed to the published version of the manuscript.
Funding
This research was funded by the Doctoral Initiation Fund (No. 2019-BS-189) and the Postdoctoral Project (No. 271259).
Data Availability Statement
Not applicable.
Acknowledgments
The authors greatly acknowledge the financial support from the Doctoral Initiation Fund (Grant No. 047252038).
Conflicts of Interest
The authors declare no conflict of interest.
Nomenclature
| General Symbols | |
| CD | the non-linear drag coefficient |
| CF | particle concentration in the actual process, kg/m3 |
| CS | particle concentration in the simulation, kg/m3 |
| dp | the diameter of the particle, m |
| dij | the deformation tensor |
| Ep | Young’s modulus of the particle, GPa |
| Es | Young’s modulus of the wall, GPa |
| en | the normal velocity restitution coefficients |
| et | the tangential velocity restitution coefficients |
| Fai | the additional forces per unit mass |
| FD | drag force, N |
| Fsaff | Saffman’s lift force, N |
| g | gravitational acceleration, m/s2 |
| KC | constant |
| K | effective stiffness parameter |
| k | the removal constant |
| l | the length of the wall grid, m |
| MA | the molar mass of component A, g/mol |
| removal mass rate, kg/(m2·s) | |
| md | deposition mass, kg |
| mr | removal mass, kg |
| mr,t | removal mass starting at time t, kg |
| mf | fouling mass, kg |
| ncr | the critical deposition number |
| N1,N2 | the magnification factor |
| nin | the inlet number of particles each time step |
| R | the universal gas constant, J/mol·K |
| Rr | the kinematic restitution coefficient |
| Rep | Reynolds number of the particle |
| Sin | the area of inlet surface, m2 |
| T | temperature, K |
| tstep | the time step size |
| u | the velocity of gas, m/s |
| up | the velocity of particle, m/s |
| ucr | the critical deposition velocity, m/s |
| uin | gas inlet velocity, m/s |
| yA | the mole fraction of component A in the mixed gas |
| vs | the Poisson’s ratios of the wall |
| vp | the Poisson’s ratios of the particle |
| u1n | the normal velocities before particle collision with the wall respectively, m/s |
| u2n | the normal velocities after particle collision with the wall respectively, m/s |
| u1t | the tangential velocities before particle collision with the wall respectively, m/s |
| u2t | the tangential velocities after particle collision with the wall respectively, m/s |
| Greek Letters | |
| Δt | computing time step, s |
| δcr | the critical thickness, m |
| ε | deposit porosity |
| θ | the particle impact angle |
| μA | the viscosity of component A, Pa·s |
| μ | the molecular viscosity of furnace gas, kg/(m·s) |
| ρ | gas density, kg/m3 |
| ρp | particle density, kg/m3 |
| τw | wall shear stress |
| ψ | the strength bond factor |
| Subscripts | |
| n | normal |
| p | particle |
| t | tangential |
| s | wall |
References
- Liu, P.; Li, B.; Cheung, S. Material and energy flows in rotary kiln-electric furnace smelting of ferronickel alloy with energy saving. Appl. Therm. Eng. 2016, 109, 542–559. [Google Scholar] [CrossRef]
- Hosseini, S.B.; Khoshkhoo, R.H.; Malabad, S.M.J. Numerical study on polydisperse particle deposition in a compact heat exchanger. Appl. Therm. Eng. 2017, 127, 330–346. [Google Scholar] [CrossRef]
- Waclawiak, K.; Kalisz, S.A. practical numerical approach for prediction of particulate fouling in PC boilers. Fuel 2012, 97, 38–48. [Google Scholar] [CrossRef]
- Tang, S.Z.; Wang, F.L.; Ren, Q. Fouling characteristics analysis and morphology prediction of heat exchangers with a particulate fouling model considering deposition and removal mechanisms. Fuel 2017, 203, 725–738. [Google Scholar] [CrossRef]
- Lee, B.E.; Fletcher, C.A.J.; Shin, S.H. Computational study of fouling deposit due to surface-coated particles in coal-fired power utility boilers. Fuel 2002, 81, 2001–2008. [Google Scholar] [CrossRef]
- Xu, Z.; Han, Z.; Sun, A. Numerical study of particulate fouling characteristics in a rectangular heat exchange channel. Appl. Therm. Eng. 2019, 154, 657–667. [Google Scholar] [CrossRef]
- Han, H.; He, Y.L.; Tao, W.Q. A parameter study of tube bundle heat exchangers for fouling rate reduction. Int. J. Heat Mass Tran. 2014, 72, 210–221. [Google Scholar] [CrossRef]
- Zbogar, A.; Frandsen, F.; Jensen, P.A. Shedding of ash deposits. Prog. Energy Combust. 2009, 35, 31–56. [Google Scholar] [CrossRef]
- Konstandopoulos, A.G.; Rosner, D.E. Inertial effects on thermophoretic transport of small particles to walls with streamwise curvature—I. Theory. Int. J. Heat Mass Tran. 1995, 38, 2305–2315. [Google Scholar] [CrossRef]
- Bryers, R.W. Fireside slagging, fouling, and high-temperature corrosion of heat-transfer surface due to impurities in steam-raising fuels. Prog. Energy Combust. 1996, 22, 29–120. [Google Scholar] [CrossRef]
- Mu, L.; Zhao, L.; Yin, H. Modelling and measurements of the characteristics of ash deposition and distribution in a HRSG of wastewater incineration plant. Appl. Therm. Eng. 2012, 44, 57–68. [Google Scholar] [CrossRef]
- Wang, J.; Li, G.; Zhu, H. Experimental investigation on convective heat transfer of ferrofluids inside a pipe under various magnet orientations. Int. J. Heat Mass Tran. 2019, 132, 407–419. [Google Scholar] [CrossRef]
- Wang, J.; Li, G.; Li, T. Effect of various surfactants on stability and thermophysical properties of nanofluids. J. Therm. Anal. Calorim. 2021, 143, 4057–4070. [Google Scholar] [CrossRef]
- Zhou, G.; Ye, Q. Experimental investigations of thermal and flow characteristics of curved trapezoidal winglet type vortex generators. Appl. Therm. Eng. 2012, 37, 241–248. [Google Scholar] [CrossRef]
- Abd-Elhady, M.S.; Rindt, C.C.M.; Wijers, J.G. Particulate fouling in waste incinerators as influenced by the critical sticking velocity and layer porosity. Energy 2005, 30, 1469–1479. [Google Scholar] [CrossRef]
- Abd-Elhady, M.S.; Rindt, C.C.M.; Wijers, J.G. Modelling the impaction of a micron particle with a powdery layer. Powder Technol. 2006, 168, 111–124. [Google Scholar] [CrossRef]
- Lee, B.H.; Hwang, M.Y.; Seon, C.Y. Numerical prediction of characteristics of ash deposition in heavy fuel oil heat recovery steam generator. J. Mech. Sci. Tech. 2014, 28, 2889–2900. [Google Scholar] [CrossRef]
- Knudsen, J.G.; Lin, D.; Ebert, W.A. The determination of the threshold fouling curve for a crude oil. Underst. Heat Exch. Foul. Mitig. 1999, 265, 272. [Google Scholar]
- El-Batsh, H.; Haselbacher, H. Numerical investigation of the effect of ash particle deposition on the flow field through turbine cascades. In Proceedings of the ASME Turbo Expo 2002: Power for Land, Sea, and Air, Amsterdam, The Netherlands, 3–6 June 2002. [Google Scholar]
- Pan, Y.; Si, F.; Xu, Z. An integrated theoretical fouling model for convective heating surfaces in coal-fired boilers. Powder Technol. 2011, 210, 150–156. [Google Scholar] [CrossRef]
- Lu, H.; Lu, L.; Jiang, Y. Numerical study of monodispersed particle deposition rates in variable-section ducts with different expanding or contracting ratios. Appl. Therm. Eng. 2017, 110, 150–161. [Google Scholar] [CrossRef]
- Seyyedbagheri, H.; Mirzayi, B. CFD modeling of high inertia asphaltene aggregates deposition in 3D turbulent oil production wells. J. Pet. Sci. Eng. 2017, 150, 257–264. [Google Scholar] [CrossRef]
- Zheng, D.; Wang, J.; Chen, Z. Performance analysis of a plate heat exchanger using various nanofluids. Int. J. Heat Mass Tran. 2020, 158, 119993. [Google Scholar] [CrossRef]
- Chen, Z.; Zheng, D.; Wang, J. Experimental investigation on heat transfer characteristics of various nanofluids in an indoor electric heater. Renew. Energy 2020, 147, 1011–1018. [Google Scholar] [CrossRef]
- Clift, R.; Grace, J.R.; Weber, M.E. Bubbles, Drops, and Particles; Dover Publications: New York, NY, USA, 1978; pp. 16–94. [Google Scholar]
- Zhao, B.; Zhang, Y.; Li, X. Comparison of indoor aerosol particle concentration and deposition in different ventilated rooms by numerical method. Build. Environ. 2004, 39, 1–8. [Google Scholar] [CrossRef]
- Li, A.; Ahmadi, G. Dispersion and deposition of spherical particles from point sources in a turbulent channel flow. Aerosp. Sci. Technol. 1992, 16, 209–226. [Google Scholar] [CrossRef]
- Brach, R.M.; Dunn, P.F. A mathematical model of the impact and adhesion of microsphers. Aerosp. Sci. Technol. 1992, 16, 51–64. [Google Scholar] [CrossRef]
- Rong, W.; Feng, Y.; Schwarz, P. Numerical study of the solid flow behavior in a rotating drum based on a multiphase CFD model accounting for solid frictional viscosity and wall friction. Powder Technol. 2020, 361, 87–98. [Google Scholar] [CrossRef]
- Pei, J.; Lui, A.; Zhang, Q. Numerical investigation of the maximum erosion zone in elbows for liquid-particle flow. Powder Technol. 2018, 333, 47–59. [Google Scholar] [CrossRef]
- Grant, G.; Tabakoff, W. Erosion prediction in turbomachinery resulting from environmental solid particles. J. Aircr. 1975, 12, 471–478. [Google Scholar] [CrossRef]
- Paz, C.; Suárez, E.; Eirís, A. Development of a predictive CFD fouling model for diesel engine exhaust gas systems. Heat Transf. Eng. 2013, 34, 674–682. [Google Scholar] [CrossRef]
- Wang, F.L.; He, Y.L.; Tang, S.Z. Parameter study on the fouling characteristics of the H-type finned tube heat exchangers. Int. J. Heat Mass Tran. 2017, 112, 367–378. [Google Scholar] [CrossRef]
- Tong, Z.X.; Li, M.J.; He, Y.L. Simulation of real time particle deposition and removal processes on tubes by coupled numerical method. Appl. Energy 2017, 185, 2181–2193. [Google Scholar] [CrossRef]
- Tian, K.; Tang, Z.; Wang, J. Numerical Investigations of Film Cooling and Particle Impact on the Blade Leading Edge. Energies 2021, 14, 1102. [Google Scholar] [CrossRef]
- Jin, W.A.; Kai, Y.A.; My, A. Effects of pin fins and vortex generators on thermal performance in a microchannel with Al2O3 nanofluids. Energy 2022, 239, 122606. [Google Scholar]
- Wang, J.; Tian, K.; Zhu, H. Numerical investigation of particle deposition in film-cooled blade leading edge. Numer. Heat Trans. Part A Appl. 2020, 77, 579–598. [Google Scholar] [CrossRef]
Publisher’s Note: MDPI stays neutral with regard to jurisdictional claims in published maps and institutional affiliations. |
© 2022 by the authors. Licensee MDPI, Basel, Switzerland. This article is an open access article distributed under the terms and conditions of the Creative Commons Attribution (CC BY) license (https://creativecommons.org/licenses/by/4.0/).