Experimental Investigation of Overdischarge Effects on Commercial Li-Ion Cells
Abstract
1. Introduction
2. Materials and Methods
2.1. Experimental Set-Up
- A pressure transmitter (PTX 610-I: range 0–10 barg, output current: 4–20 mA dc nom): a pressure increase in the box, would indicate that the cell has released gas (venting) or has failed, in the form of a relatively moderate rupture or an explosion.
- 3 calibrated thermocouples, type K (accuracy of ±0.1 °C) located in three different points of the cell: in the upper part (Tp), in the central part (Tc) and the lower part (Tn);
- A National Instruments “CompactDAQ” chassis with a thermocouple module (24-bit ADC, 16 channels) and one voltage input module (16-bit ADC, 32 channels);
- A data acquisition system specifically designed using LabVIEW.
2.2. Experimental Procedure
- (1)
- A preliminary test of the initial capacity. The cell was placed in the climatic chamber for 3 h at controlled room temperature. After that, the following cycle was repeated three times, with a rest of 60 min between consecutive cycles:
- Discharge at 1/3 C up to a minimum voltage of 2.5 V for graphite-based anode cells and 1.6 V for Lithium Titanate Oxide (LTO)-based anode cells;
- 1 h rest;
- Charge at 1/3 C with the CC-CV method.
- (2)
- Overdischarge at 1/3 C until different depths of discharge. The depth of discharge has been defined here as the amount of charge removed from the battery at the given state versus the total amount of charge that can be stored in the battery [43], i.e.:
- (3)
- Re-charge of the abused cell. The overdischarged cells, when possible, are then recharged up to the maximum voltage value (SOC% = 100%) using a CC-CV method.
- (4)
- Final capacity test. The capacity test, as performed in the preliminary phase (i.e., before the overdischarge, with three full cycles), was repeated. The results are then compared with those obtained with the initial capacity test in order to verify the capacity decay of the cell due to the overdischarge abuse.
3. Results and Discussion
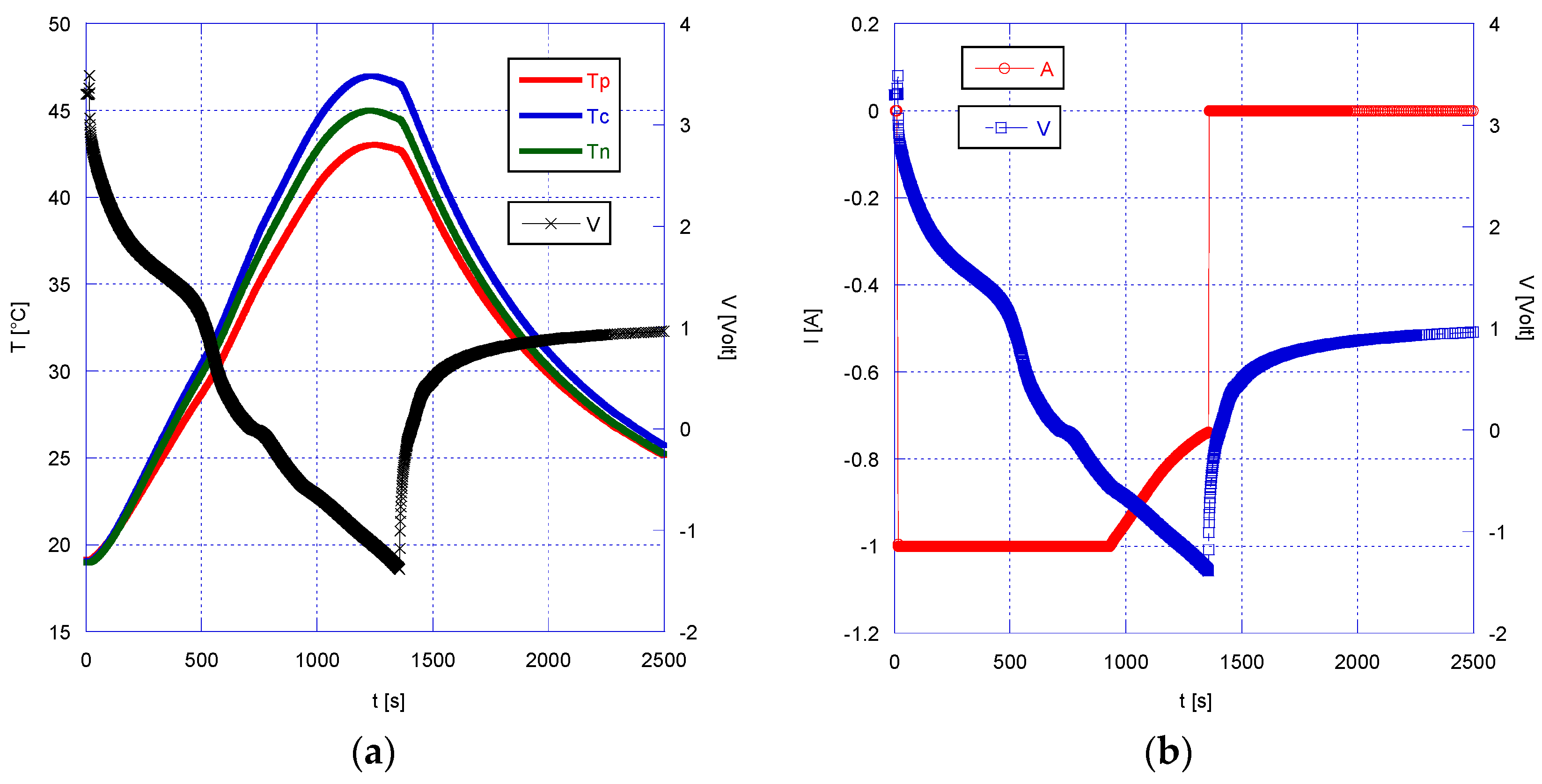
3.1. Graphite-Based Anode Li-Ion Batteries
- The depth of discharge values (DOD%) achieved for each tested cell, calculated according to the definition given above;
- Whether or not it was possible to recharge the cell after the electrical abuse;
- The depth of discharge at which the inversion of the cell voltage trend occurs (this issue will be discussed more fully in the following analysis of results);
- The depth of discharge at which cell polarity inversion occurs (V = 0);
- The ratio between the final and initial average capacities both during charge and discharge.
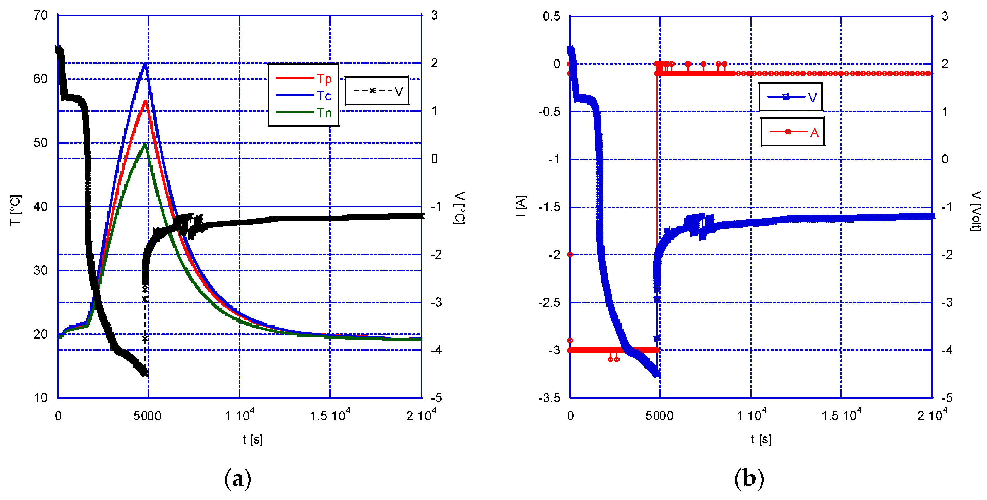
3.2. Lithium Titanate Oxide (LTO)-Based Anode Li-Ion Batteries
4. Conclusions
Author Contributions
Funding
Conflicts of Interest
References
- Feng, X.; Ouyang, M.; Liu, X.; Lu, L.; Xia, Y.; He, X. Thermal runaway mechanism of lithium ion battery for electric vehicles: A review. Energy Storage Mater. 2018, 10, 246–267. [Google Scholar] [CrossRef]
- Wen, J.; Yu, Y.; Chen, C. A Review on Lithium-Ion Batteries Safety Issues: Existing Problems and Possible Solutions. Mater. Express 2012, 2, 197–212. [Google Scholar] [CrossRef]
- Wang, Q.; Ping, P.; Zhao, X.; Chu, G.; Sun, J.; Chen, C. Thermal runaway caused fire and explosion of lithium ion battery. J. Power Sources 2012, 208, 210–224. [Google Scholar] [CrossRef]
- Hendricks, C.; Williard, N.; Mathew, S.; Pecht, M. A failure modes, mechanisms, and effects analysis (FMMEA) of lithium-ion batteries. J. Power Sources 2015, 297, 113–120. [Google Scholar] [CrossRef]
- Soares, F.J.; Carvalho, L.; Costa, I.C.; Iria, J.P.; Bodet, J.M.; Jacinto, G.; Lecocq, A.; Roessner, J.; Caillard, B.; Salvi, O. The STABALID project: Risk analysis of stationary Li-ion batteries for power system applications. Reliab. Eng. Syst. Saf. 2015, 140, 142–175. [Google Scholar] [CrossRef]
- Bubbico, R.; Greco, V.; Menale, C. Hazardous scenarios identification for Li-ion secondary batteries. Saf. Sci. 2018, 108, 72–88. [Google Scholar] [CrossRef]
- Kim, G.H.; Pesaran, A.; Spotnitz, R. A three-dimensional thermal abuse model for lithium-ion cells. J. Power Sources 2007, 170, 476–489. [Google Scholar] [CrossRef]
- Chen, Y.J.W. Evans. J. Electrochem. Soc. 1996, 143, 2708–2712. [Google Scholar] [CrossRef]
- Balakrishnan, P.G.; Ramesh, R.; Prem Kumar, T. Safety mechanisms in lithium-ion batteries. J. Power Sources 2006, 155, 401–414. [Google Scholar] [CrossRef]
- Chen, S.C.; Wan, C.C.; Wang, Y.Y. Thermal analysis of lithium-ion batteries. J. Power Sources 2005, 140, 111–124. [Google Scholar] [CrossRef]
- Menale, C.; D’Annibale, F.; Mazzarotta, B.; Bubbico, R. Thermal management of lithium-ion batteries: An experimental investigation. Energy 2019, 182, 57–71. [Google Scholar] [CrossRef]
- Ahmed, S.I.; Sanad, M.M.S. Maghemite-based anode materials for Li-Ion batteries: The role of intentionally incorporated vacancies and cation distribution in electrochemical energy storage. J. Alloys Compd. 2021, 861, 157962. [Google Scholar] [CrossRef]
- Zhao, D.; Zhang, Z.; Ren, J.; Xu, Y.; Xu, X.; Zhou, J.; Gao, F.; Tang, H.; Liu, S.; Wang, Z.; et al. Fe2VO4 nanoparticles on rGO as anode material for high-rate and durable lithium and sodium ion batteries. Chem. Eng. J. 2023, 451, 138882. [Google Scholar] [CrossRef]
- Ouyang, D.; Chen, M.; Liu, J.; Wei, R.; Weng, J.; Wang, J. Investigation of a commercial lithium-ion battery under overcharge/over-discharge failure conditions. RSC Adv. 2018, 8, 33414–33424. [Google Scholar] [CrossRef] [PubMed]
- Fear, C.; Juarez-Robles, D.; Jeevarajan, J.A.; Mukherjee, P.P. Elucidating copper dissolution phenomenon in Li-ion cells under overdischarge extremes. J. Electrochem. Soc. 2018, 165, A1639–A1647. [Google Scholar] [CrossRef]
- Nemanick, E.J.; Wang, D.; Matsumoto, J.; Ives, N. Effects of Cell Reversal on Li-Ion Batteries. In Proceedings of the 230th ECS Meeting, Honolulu, HI, USA, 2–7 October 2016. [Google Scholar]
- Maleki, H.; Howard, J.N. Effects of overdischarge on performance and thermal stability of a Li-ion cell. J. Power Sources 2006, 160, 1395–1402. [Google Scholar] [CrossRef]
- Hendricks, C.E.; Mansour, A.N.; Fuentevill, D.A.; Waller, G.H.; Ko, J.K.; Pecht, M.G. Copper dissolution in overdischarged lithium-ion cells: X-ray photoelectron spectroscopy and X-ray absorption fine structure analysis. J. Electrochem. Soc. 2020, 167, 90501. [Google Scholar] [CrossRef]
- Shu, J.; Shui, M.; Xu, D.; Wang, D.J.; Ren, Y.L.; Gao, S. A comparative study of overdischarge behaviors of cathode materials for lithium-ion batteries. J. Solid State Electrochem. 2012, 16, 819–824. [Google Scholar] [CrossRef]
- Feng, X.N.; Weng, C.H.; Ouyang, M.G.; Sun, J. Online internal short circuit detection for a large format lithium ion battery. Appl. Energy 2016, 161, 168–180. [Google Scholar] [CrossRef]
- Santhanagopalan, S.; Ramadass, P.; Zhang, J.J. Analysis of internal short-circuit in a lithium ion cell. Power Sources 2009, 194, 550–557. [Google Scholar] [CrossRef]
- Wang, M.; Shi, Y.; Noelle, D.J.; Le, A.V.; Yoon, H.; Chung, H.; Zhang, M.H.; Meng, Y.S.; Qiao, Y. Internal short circuit mitigation of high-voltage lithium-ion batteries with functional current collectors. RSC Adv. 2017, 7, 45662–45667. [Google Scholar] [CrossRef]
- Lai, X.; Zheng, Y.; Zhou, L.; Gao, W. Electrical behavior of over-discharge induced internal short circuit in lithium-ion cells. Electrochim. Acta 2018, 278, 245–254. [Google Scholar] [CrossRef]
- Juarez-Robles, D.; Vyas, A.A.; Fear, C.; Jeevarajan, J.A.; Mukherjee, P.P. Overdischarge and Aging Analytics of Li-Ion Cells. J. Electrochem. Soc. 2020, 167, 090558. [Google Scholar] [CrossRef]
- Brand, M.; Gläser, S.; Geder, J.; Menacher, S.; Obpacher, S.; Jossen, A.; Quinger, D. Electrical safety of commercial Li-ion cells based on NMC and NCA technology compared to LFP technology. World Electr. Veh. J. 2013, 6, 572. [Google Scholar] [CrossRef]
- Cianciullo, M.; Vilardi, G.; Mazzarotta, B.; Bubbico, R. Simulation of the Thermal Runaway Onset in Li-Ion Cells—Influence of Cathode Materials and Operating Conditions. Energies 2022, 15, 4169. [Google Scholar] [CrossRef]
- Wang, D.; Zheng, L.; Li, X.; Du, G.; Zhang, Z.; Feng, Y.; Jia, L.; Dai, Z. Effects of Overdischarge Rate on Thermal Runaway of NCM811 Li-Ion Batteries. Energies 2020, 13, 3885. [Google Scholar] [CrossRef]
- Jeevarajan, J.A.; Strangways, B.; Nelson, T.J. Hazards due to Overdischarge in Lithium-Ion Cylindrical 18650 Cells in Multi-Cell Configurations; National Aeronautics and Space Administration: Las Vegas, NV, USA, 2010. [Google Scholar]
- Ouyang, D.X.; Weng, J.W.; Chen, M.Y.; Liu, J.H.; Wang, J. Experimental analysis on the degradation behavior of overdischarged lithium-ion battery combined with the effect of high-temperature environment. Int. J. Energy Res. 2020, 44, 229–241. [Google Scholar] [CrossRef]
- Doughty, D.; Roth, E.P. A general discussion of Li ion battery safety. Electrochem. Soc. Interface 2012, 21, 37–44. [Google Scholar]
- Zhao, M.; Kariuki, S.; Dewald, H.D.; Lemke, F.R.; Staniewicz, R.J.; Phichita, E.J.; Marsh, R.A. Electrochemical Stability of Copper in Lithium-Ion Battery Electrolytes. J. Electrochem. Soc. 2000, 147, 2874–2879. [Google Scholar] [CrossRef]
- Zheng, Y.; Qian, K.; Luo, D.; Li, Y.; Lu, Q.; Li, B.; He, Y.-B.; Wang, X.; Li, J.; Kang, F. Influence of over-discharge on the lifetime and performance of LiFePO4/graphite batteries. RSC Adv. 2016, 6, 30474–30483. [Google Scholar] [CrossRef]
- Guo, R.; Lu, L.; Ouyang, M.; Feng, X. Mechanism of the entire overdischarge process and overdischarge-induced internal short circuit in lithium-ion batteries. Sci. Rep. 2016, 6, 30248. [Google Scholar] [CrossRef] [PubMed]
- Kishiyama, C.; Nagata, M.; Piao, T.; Dodd, J.; Lam, P.-N.; Tsukamoto, H. Abs. 245. In Proceedings of the 204th Electrochemistry Society Conference, Orlando, FL, USA, 12–16 October 2003. [Google Scholar]
- Zhang, L.; Liu, J.; Du, L.; Xu, X.; Ma, Y.; Qu, B.; Fan, P.; Yin, G.; Yang, F.; Zhu, L. Identifying the aging mechanism in multiple overdischarged LiCoO2/mesocarbon microbeads batteries. Ceram. Int. 2021, 47, 21253–21262. [Google Scholar] [CrossRef]
- Li, H.F.; Gao, J.K.; Zhang, S.L. Effect of overdischarge on swelling and recharge performance of lithium ion cells. Chin. J. Chem. 2008, 26, 1585–1588. [Google Scholar] [CrossRef]
- Tang, Z.Y.; Ruan, Y.L. Progress in capacity fade mechanism of lithium ion battery. Prog. Chem. 2005, 17, 1–7. [Google Scholar]
- Kirillov, S.A.; Potapenko, A.V.; Potapenko, A.V. Effect of overdischarge (overlithiation) on electrochemical properties of LiNi0.5Mn1.5O4 samples of different origin. J. Solid State Electrochem. 2020, 24, 1113–1121. [Google Scholar] [CrossRef]
- He, H.; Liu, Y.; Liu, Q.; Li, Z.; Xu, F.; Dun, C.; Ren, Y.; Wang, M.-x.; Xie, J. Failure Investigation of LiFePO4 Cells in Over-Discharge Conditions. J. Electrochem. Soc. 2013, 160, A793–A798. [Google Scholar] [CrossRef]
- Zhang, L.; Ma, Y.; Cheng, X.; Du, C.; Guan, T.; Cui, Y.; Sun, S.; Zuo, P.; Gao, Y.; Yin, G. Capacity fading mechanism during long-term cycling of over-discharged LiCoO2/mesocarbon microbeads battery. J. Power Sources 2015, 293, 1006–1015. [Google Scholar] [CrossRef]
- Mao, Z. Abs. 304. In Proceedings of the 206th Electrochemistry Society Conference, Honolulu, HI, USA, 3–8 October 2004. [Google Scholar]
- Liu, Y.; Liu, Q.; Li, Z.; Ren, Y.; Xie, J.; He, H.; Xu, F. Failure study of commercial LiFePO4 cells in over-discharge conditions using electrochemical impedance spectroscopy. J. Electrochem. Soc. 2014, 161, A620–A632. [Google Scholar] [CrossRef]
- Waag, W.; Sauer, D.U. Secondary batteries-lead-acid systems|state-of-Charge/Health. Encycl. Electrochem. Power Sources 2009, 793–804. [Google Scholar] [CrossRef]
- Erol, S.; Orazem, M.E.; Muller, R.P. Influence of overcharge and over-discharge on the impedance response of LiCoO2|C batteries. J. Power Sources 2014, 270, 92–100. [Google Scholar] [CrossRef]
- Roscher, M.A.; Bohlen, O.; Vetter, J. OCV Hysteresis in Li-Ion Batteries in-cluding Two-Phase Transition Materials. Int. J. Electrochem. 2011, 2011, 984320. [Google Scholar] [CrossRef]
- Fu, R.; Zhou, X.; Fan, H.; Blaisdell, D.; Jagadale, A.; Zhang, X.; Xiong, R. Comparison of Lithium-Ion Anode Materials Using an Experimentally Verified Physics-Based, Electrochemical Model. Energies 2017, 10, 2174. [Google Scholar] [CrossRef]















| LTO40120 | NCR18650B | |
|---|---|---|
| Rated Capacity | 10,000 mAh | 3200 mAh |
| Nominal Voltage | 2.4V | 3.6 V |
| Max. Charge Voltage | 2.8 V | 4.2 V |
| Standard Charge | 5000 mA (0.5C) | 1625 mA (0.5C) |
| Charge Temp. Range | −20 °C to +50℃ | 0 °C to +45 °C |
| Dimensions (DxH) | 40 mm × 120 mm | 18.5 mm × 65.3 mm |
| Weight | 280 ± 10 g | 46.5 g |
| Overdischarge DOD% | Is It Possible to Re-Charge the Cell? | Actual Initial Capacity [Ah] | Maximum Temperature [°C] | DOD% at the Vmin | DOD% for V = 0 | Ahfin/Ahin Charge | Ahfin/Ahin Discharge |
|---|---|---|---|---|---|---|---|
| 110% | YES | 2.85 | 47 | - | 106 | 0.98 | 0.97 |
| 113% | NO | 2.78 | 48 | 112 | 106 | - | - |
| 125% | NO | 2.91 | 47 | 111 | n.a. | - | - |
| 140% | NO | 2.79 | 47.5 | 113 | 108 | - | - |
| Overdischarge DOD% | Is Possible to Re-Charge the Cell? | Actual Initial Capacity [Ah] | Maximum Temperature [°C] | Vmin [Volt] | DOD% for V = 0 | Ahfin/Ahin Charge | Ahfin/Ahin Discharge |
|---|---|---|---|---|---|---|---|
| 110% | YES | 8.8 | 21 | 1.07 | - | 1 | 1 |
| 120% | YES | 8.49 | 28.6 | −3 | 113 | 1 | 1 |
| 140% | YES | 8.67 | 62.5 | −4.5 | 113 | 0.7 | 0.6 |
Publisher’s Note: MDPI stays neutral with regard to jurisdictional claims in published maps and institutional affiliations. |
© 2022 by the authors. Licensee MDPI, Basel, Switzerland. This article is an open access article distributed under the terms and conditions of the Creative Commons Attribution (CC BY) license (https://creativecommons.org/licenses/by/4.0/).
Share and Cite
Menale, C.; Constà, S.; Sglavo, V.; Della Seta, L.; Bubbico, R. Experimental Investigation of Overdischarge Effects on Commercial Li-Ion Cells. Energies 2022, 15, 8440. https://doi.org/10.3390/en15228440
Menale C, Constà S, Sglavo V, Della Seta L, Bubbico R. Experimental Investigation of Overdischarge Effects on Commercial Li-Ion Cells. Energies. 2022; 15(22):8440. https://doi.org/10.3390/en15228440
Chicago/Turabian StyleMenale, Carla, Stefano Constà, Vincenzo Sglavo, Livia Della Seta, and Roberto Bubbico. 2022. "Experimental Investigation of Overdischarge Effects on Commercial Li-Ion Cells" Energies 15, no. 22: 8440. https://doi.org/10.3390/en15228440
APA StyleMenale, C., Constà, S., Sglavo, V., Della Seta, L., & Bubbico, R. (2022). Experimental Investigation of Overdischarge Effects on Commercial Li-Ion Cells. Energies, 15(22), 8440. https://doi.org/10.3390/en15228440

