Parametric Evaluation of Cooling Pipe in Direct Evaporation Artificial Ice Rink
Abstract
:1. Introduction
2. Models and Methods
2.1. Ice Rink Geometry
2.2. Mathematical Model
2.3. Grid Independence Verification
2.4. Model Validation
3. Results and Discussion
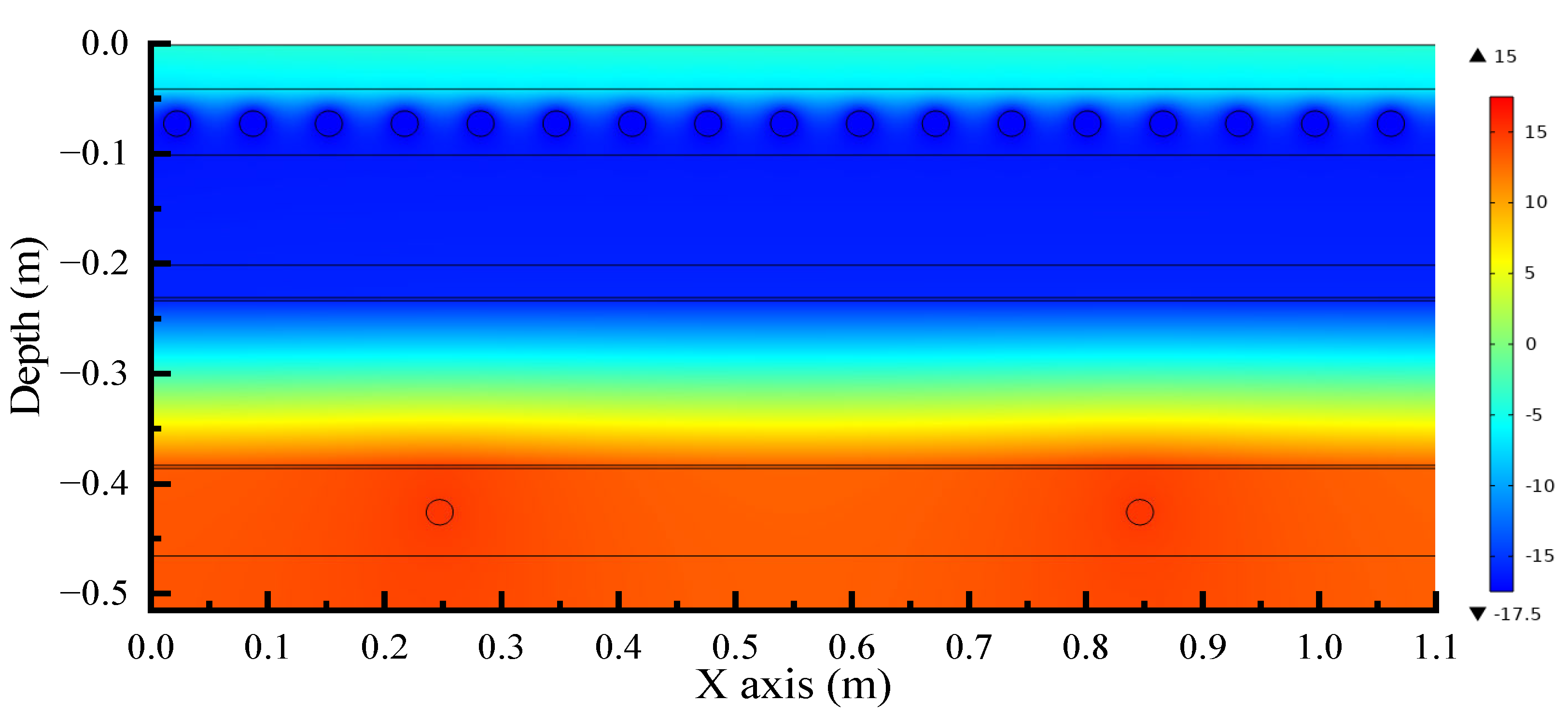
3.1. Temperature Distribution of the Ice Rink
3.2. Effect of Temperature of the Working Medium in Antifreeze Pipe
3.3. Influence of Ice Surface Temperature on Heat Flux and Cooling Pipe Temperature
3.4. Influence of the Cooling Pipe Spacing on Heat Flux and Temperature of the Cooling Pipes
3.5. Influence of Cooling Pipe Diameter on Heat Flux and Temperature of the Cooling Pipes
4. Conclusions
- (1)
- The influence of the temperature of the antifreeze pipe on the ice surface temperature and the heat flux of the cooling pipe can be ignored, that is, when the temperature of the antifreeze pipe changes within the range of 15–35 °C, the ice surface temperature changes within the range of 0–0.02 °C. From the temperature cloud diagram, the antifreeze pipe and the insulation layer effectively protect the impact caused by the downward transmission of cold energy, so the selection of the temperature of the antifreeze pipe can be determined according to the actual situation.
- (2)
- With the decrease in the ice surface temperature, the required heat flux of the cooling pipe increases, and the evaporation temperature of the working medium in the cooling pipe decreases. For example, when the ice surface temperature decreases from −3 °C to −5 °C, the heat flux and the evaporation temperature of the working medium in the cooling pipe in summer increase from 287.0 W/m2 to 298.9 W/m2 and from −29 °C to −32 °C, respectively.
- (3)
- When the ice surface temperature is constant, with the increase in the cooling pipe spacing, the required heat flux of the cooling pipes increases, the evaporation temperature of the working medium in the cooling pipes decreases, and the temperature non-uniformity of the ice surface increases. With the cooling pipe, spacing is increased from 30 mm to 60 mm, the heat flux of the required cooling pipes increases by about 28–39 W/m2 and the evaporation temperature of the working medium in the cooling pipes decreases by 1.2–1.5 °C for every 10 mm increment of spacing. The chosen cooling pipe spacing is sufficient for creating an ice surface of uniform temperature.
- (4)
- When the ice surface temperature is constant, with the increase in the cooling pipe diameter, the required heat flux of the cooling pipe decreases, the evaporation temperature of the working medium in the cooling pipes increases, and the temperature non-uniformity of the ice surface decrease. With the diameter of the cooling pipe from 16 mm to 40 mm, the evaporation temperature of the working medium in the cooling pipe increases by about 2.2–2.9 °C and the heat flux of the cooling pipe decreases by 37.3–49.4 W/m2 for every 5 mm increase in the cooling pipe diameter. The chosen cooling pipe diameters are sufficient for creating ice surfaces of uniform temperature.
Author Contributions
Funding
Data Availability Statement
Acknowledgments
Conflicts of Interest
Nomenclature
| q | Heat flux, W/m2 |
| c | Specific heat, W/m2 |
| h | Heat or mass transfer coefficient |
| v | Velocity, m/s |
| d | Humidity ratio, g/kg |
| r | Latent heat, kJ/kg |
| Le | Lewis number |
| t | Temperature, °C |
| P | Power, W |
| E | Illuminance, lx |
| U | Utilization coefficient |
| K | Maintenance factor |
| R | Thermal resistance, m2∙°C/W |
| Greek | |
| ρ | Density, kg/m3 |
| ε | Blackness emissivity |
| σ | Blackness radiation coefficient |
| Φ | Luminous flux of light source, lm/W |
| Subscripts | |
| c | Convective heat transfer |
| a | Air |
| i | Ice |
| s | Surface |
| m | Mass transfer |
| Water to ice | |
| p | Constant pressure |
| e | Enclosure |
| r | Radiant heat transfer |
| lg | Lighting equipment |
| p | Skaters |
| s | Sum |
| sand | Sand layer |
| ground | Soil (ground) |
| ap | Antifreeze pipe |
References
- Lin, W.; Liu, X.; Li, S.; Zhang, T. Investigation on thermal environment and heat transfer characteristics in ice rinks with different envelopes. Build. Environ. 2022, 219, 109250. [Google Scholar] [CrossRef]
- Martin, T. Evolution of Ice Rinks. Ashrae J. 2004, 46, S24–S27. [Google Scholar]
- Liu, S. Research on Load of Outdoor Ice Rink Based on CFD Technology. Master’s Thesis, Hunan University of Technology, Zhuzhou, China, 2018. [Google Scholar]
- Shahzad, K. An Ice Rink Refrigeration System based on CO2 as Secondary Fluid in Copper Tubes. Master’s Thesis, Royal Institute of Technology Stockholm, Stockholm, Sweden, 2006. [Google Scholar]
- Wang, P.; Li, M.; Song, R.; Zhan, H.; Ma, Y. Analysis and Research on Artificial Ice Rink with CO2 Transcritical/Subcritical Cooling. J. Refrig. Technol. 2020, 40, 25–30. [Google Scholar]
- Ma, Y.; Wang, P. Brief Introduction of CO2 Refrigeration System in the National Speed Skating Stadium and Ammonia Refrigeration System in the National Snowmobile Sled Center for Beijing Winter Olympics in 2022. Chin. J. Refrig. Technol. 2020, 40, 2–7. [Google Scholar]
- Sawalha, S. Carbon Dioxide in Supermarket Refrigeration. Ph.D. Thesis, Royal Institute of Technology Stockholm, Stockholm, Sweden, 2008. [Google Scholar]
- Rogstam, J.; Prakash, J. Energy Analysis of Backavallen Ice Rink Refrigeration System with CO2 as Heat Transfer Liquid in Copper Tubes; Sveriges Energi & Kylcentrum: Katrineholm, Swiden, 2007. [Google Scholar]
- Zhang, Z.; Yuwen, Y.; Zhang, Z. Application of CO2 Refrigeration Systems in Artificial Ice Rinks. Refrigeration 2021, 40, 28–33. [Google Scholar]
- Momeni, H.; Keshtkar, M.M. Thermodynamic, Economic, and Environmental Comparison Between the Direct and Indirect CO2 Refrigeration Cycle With Conventional Indirect NH3 Cycle With Considering a Heat Recovery System in an Ice Rink: A Case Study. J. Energy Resour. Technol. 2019, 142, 1–7. [Google Scholar] [CrossRef]
- Zhang, Z.; Xu, Y.; Yin, H.; Gong, K.; Wang, K. Performance analysis of ice rink refrigeration system using natural working fluid. Cryog. Supercond. 2022, 50, 51–57. [Google Scholar]
- Liu, K. Application of Natural Refrigerant CO2 in Ice Rinks of Beijing Winter Olympics in 2022. Chinese J. Refrig. Technol. 2020, 40, 20–24. [Google Scholar]
- Wang, G.; Zhang, X. Review of CO2 Thermodynamic System for Ice Rinks. Chin. J. Refrig. Technol. 2020, 40, 31–37+45. [Google Scholar]
- Rogstam, J. CO2 refrigeration systems evolution for ice rinks. Ashrae J. 2016, 58, 34–48. [Google Scholar]
- Hou, A.; Dong, J.; Jiang, Y. The Research Progress of CO2 Used for Ice Rink Refrigeration System. Refrig. Air Cond. 2015, 29, 11–15. [Google Scholar]
- Bellache, O.; Ouzzane, M.; Galanis, N. Coupled Conduction, Convection, Radiation Heat Transfer with Simultaneous Mass Transfer in Ice Rinks. Numer. Heat Transf. 2005, 48, 219–238. [Google Scholar] [CrossRef]
- Bellache, O.; Ouzzane, M.; Galanis, N. Numerical prediction of ventilation patterns and thermal processes in ice rinks. Build. Environ. 2005, 40, 417–426. [Google Scholar] [CrossRef]
- Mun, J.; Krarti, M. Experimental Analysis of Heat Transfer from Ice Rink Floors. In Proceedings of the Asme International Solar Energy Conference, Denver, CO, USA, 8–13 July 2006. [Google Scholar]
- Zhou, W.; Gan, Z.; Han, L. Simulation of the Optimal Refrigerated Floor Design for Ice Rinks. Energies 2021, 14, 1535. [Google Scholar] [CrossRef]
- Wang, B. Application research on refrigeration systems of ice rink with CO2 as refrigerant. Master’s Thesis, Harbin Institute of Technology, Harbin, China, 2018. [Google Scholar]
- Li, L.; Liu, X.; Zhang, T. Experimental investigation of frosting process on ice surface in ice rink. Energy Build. 2022, 255, 111671. [Google Scholar] [CrossRef]
- International Ice Hockey Federation. Technical Guidelines of an Ice Rink; International Ice Hockey Federation: Zürich, Switzerland, 2011. [Google Scholar]
- Estruc, I.M. Investigation of How Insulation Affects the Pipe System in the Soil for Ice Rinks. Master’s Thesis, University of Gävle, Gavle, Sweden, 2014. [Google Scholar]
- Zhou, M. Analysis and Simulation of the Temperature Distribution around the Horizontal Heat Exchanger. Master’s Thesis, Hunan University, Changsha, China, 2014. [Google Scholar]
- Fan, A.; Liu, W.; Wang, C. Simulation on the daily change of soil temperature un-der various environment conditions. Acta Energy Sol. Sin. 2003, 24, 167–171. [Google Scholar]
- Li, L.; Liu, X.; Zhang, T. Investigation of heat and mass transfer characteristics in the ice rink: Ice making, maintaining and resurfacing processes. Build. Environ. 2021, 196, 107779. [Google Scholar] [CrossRef]
- Liu, X. Study on Heat Transfer and Refrigeration System of Ice Rink Using CO2 as Coolant. Master’s Thesis, North China University of Science and Technology, Tangshan, China, 2021. [Google Scholar]















| Layers | Thickness (mm) | Density (kg/m3) | Specific Heat [J/(kg·°C)] | Conductivity [W/(m·K)] |
|---|---|---|---|---|
| Ice | 40 | 995 | 2.1 | 2.22 |
| Sand | 60 | 1600 | 0.1 | 0.335 |
| Concrete | 100 | 2300 | 0.657 | 1.046 |
| Cement | 30 | 1860 | 0.84 | 0.72 |
| Waterproof layer | 2.5 | 2330 | 0.84 | 1.15 |
| Polystyrene | 150 | 23 | 1.47 | 0.035 |
| Soil | 50 | 1300 | 1.046 | 0.837 |
| Parameter | Significance | Value | |
|---|---|---|---|
| Summer | Winter | ||
| ta (°C) | Air temperature | 27 | 17 |
| ti (°C) | Ice surface temperature | −5 to −3 | −5 to −3 |
| hi [W/(m·°C)] | Heat transfer coefficient between air and ice surface | 2.583 | 2.583 |
| hm [kg(m2·s)] | Mass transfer coefficient between air and ice surface | 0.0028 | 0.0028 |
| da (g/kg) | Air moisture content | 2.75 | 5.5 |
| tap (°C) | Temperature of the antifreeze pipe | 15–35 | |
| tl=10 (°C) | Temperature at 10 m underground | 14.5 | |
Publisher’s Note: MDPI stays neutral with regard to jurisdictional claims in published maps and institutional affiliations. |
© 2022 by the authors. Licensee MDPI, Basel, Switzerland. This article is an open access article distributed under the terms and conditions of the Creative Commons Attribution (CC BY) license (https://creativecommons.org/licenses/by/4.0/).
Share and Cite
Zhang, Z.; Wang, S.; Yang, M.; Gong, K.; Chen, Y. Parametric Evaluation of Cooling Pipe in Direct Evaporation Artificial Ice Rink. Energies 2022, 15, 7989. https://doi.org/10.3390/en15217989
Zhang Z, Wang S, Yang M, Gong K, Chen Y. Parametric Evaluation of Cooling Pipe in Direct Evaporation Artificial Ice Rink. Energies. 2022; 15(21):7989. https://doi.org/10.3390/en15217989
Chicago/Turabian StyleZhang, Zhenying, Shiqi Wang, Meiyuan Yang, Kai Gong, and Yanhua Chen. 2022. "Parametric Evaluation of Cooling Pipe in Direct Evaporation Artificial Ice Rink" Energies 15, no. 21: 7989. https://doi.org/10.3390/en15217989
APA StyleZhang, Z., Wang, S., Yang, M., Gong, K., & Chen, Y. (2022). Parametric Evaluation of Cooling Pipe in Direct Evaporation Artificial Ice Rink. Energies, 15(21), 7989. https://doi.org/10.3390/en15217989

