You are currently viewing a new version of our website. To view the old version click .
Energies
  • Article
  • Open Access

26 October 2022

Study of Heat Flux Density of Dish Solar Cavity Heat Absorber

,
,
and
1
School of Energy and Power Engineering, Northeast Electric Power University, Jilin 132012, China
2
Jilin Heating Group Co., Ltd., Jilin 132012, China
3
School of Energy Power and Mechanical Engineering, North China Electric Power University, Beijing 100096, China
*
Author to whom correspondence should be addressed.
This article belongs to the Special Issue Heat Transfer in Solar Collector

Abstract

The solar cavity heat absorber is the core component of a solar thermal power generation system; its structure and installation position directly affect the efficiency of the heat absorber. To study the influence of these factors on the performance of the heat absorber, in this paper, a numerical simulation of dish solar collector optics is constructed based on the Monte Carlo method, and the distribution characteristics of heat flux density under different heat absorber structures and installation positions are analyzed. The results show that the heat flux density on the inner wall surface of the absorber has a linear relationship with the solar radiation intensity; under the same cavity depth, the energy received by the cylindrical, dome, and inverted cone absorbers is easier to deposit on the top. The heat flux density on the top surface of the inner cavity presents an annular distribution law. As the position of the heat absorber moves away from the dish solar collector surface, the top energy is gradually transferred to the circumferential surface. When the heat absorber is in position B, the total power ratio of different heat absorber structures entering the cavity can reach 99%. At this time, the circular type of heat absorber is more conducive to the full heat absorption of the working medium.

1. Introduction

As a major energy country, China is dominated by traditional coal-fired power generation, but pollution, greenhouse gas emissions, and dwindling fossil fuel resources are becoming increasingly evident, making traditional thermal power plants controversial [1]. At the same time, with China’s “3060” target, traditional coal-fired power generation will face reform in the future, of which the complementary approach of solar and traditional coal-fired units is one of the effective ways to solve this dilemma [2,3,4]. Solar thermal power generation mainly has three forms of solar thermal power generation: tower, trough, and dish [5]. While dish solar thermal power generation technology has a higher photoelectric conversion efficiency among the three forms of solar thermal power generation, it also has the advantages of a large concentrating multiplier, high efficiency, and strong modularity [6,7], providing a complementary heat source for coal-fired units with a more desirable quality than the other two forms.
Concentrated Solar Power (CSP) [8,9] uses solar energy concentrated in a dish solar collector to heat the receiver medium (liquid or gas) to a high temperature, which is converted to mechanical energy by a Stirling machine or turbine and then to electrical energy by a generator. The effect of CSP systems on light and heat collection determines the degree of energy conversion and power generation efficiency of the system [10]. Loni [11] investigated three different cavity receivers by numerical means and verified them with experimental results using a hemispherical cavity receiver with oil as the working fluid, which showed that the efficiency of the hemispherical heat absorber was higher when oil was used as the working fluid. Arjun [12] proposed a new cavity heat absorber and simulated the heat loss of the new heat absorber and compared it with cylindrical and conical cavity heat absorbers to verify that the improved new cavity heat absorber can significantly reduce the heat loss. Yong Shuai [13] developed a radiation flux density distribution measurement system for parabolic dish solar heat absorbers and compared the radiation performance of several different cavity geometries using the Monte Carlo ray-tracing method. The results show that the cavity geometry has a significant impact on the overall flux distribution. Bellos [14] used numerical simulations to analyze the difference in thermal efficiency between cylindrical, rectangular, spherical, and conical heat absorbers. The results show that rectangular heat absorbers are not conducive to heat exchange, while conical heat absorbers have higher optical and thermal efficiency and are a more desirable design structure for heat absorbers. Kasaeian [15] studied and investigated different receiver geometries and optimization methods using parabolic collectors. The results show that the ratio of diameter to length, the inclination of the cavity, the type of pipe, and the shape of the pipe are obvious in the heat loss value of the cavity. Therefore, the best geometric shape of the cavity receiver is crucial. Qianjun Mao [16] studied the radiation flux on the focal plane of four different shapes of heat sinks using Monte Carlo ray tracing without considering the internal cavity of the heat sink. The results show that the cylindrical heat absorber has the best radiation flux among the four types of heat absorbers. The radiation flux in the focal plane increases with the decrease of the focal length, and the diameter of the spot increases with the increase of the focal length. Yong Shuai [17] proposed an upside-down pear cavity heat absorber using a Monte Carlo ray-tracing method and combining optical properties to predict the radiation performance of the disc solar concentrator/cavity receiver system, analyzes the effects of solar shape and surface slope errors, and compares the uniformity properties of wall fluxes from five conventional geometries. Ahmed M [18] uses ray-tracing methods and CFD models to study heat absorbers in three structural forms: cylindrical, conical, and spherical, in order to analyze their optical and heat transfer laws. It shows that the conical heat absorber gathers high energy and has low heat loss. Jian Yan [19] used the ray-tracing method to establish a detailed optical model with non-ideal optical factors, studied the influence of non-ideal optical factors in the OPSDC system on the optical performance of cylindrical and conical heat absorbers, and compared them with the traditional disc solar heat absorber (COSDC) system. The results show that under the same non-ideal optical factors, not only is the OPSDC system and its peak local concentration ratio (LCR) and inhomogeneity factors significantly smaller than the COSDC system, but it also has excellent optical performance.
Research on the performance of the dish type solar heat absorber has always been a popular direction, but most of the relevant studies focus on the impact of the structural parameters of the heat absorber on the overall efficiency of the system and ignore the impact of the installation position of the heat absorber. In practical projects, the heat flow density distribution on the wall surface of the cavity is obviously different for different heat absorber structures at different installation positions, so the cavity structure and installation position of the heat absorber jointly affect the system efficiency. Therefore, it is very important to obtain the effect of the structure difference and installation location change on the heat flux distribution of the heat absorber. In view of the above problems, this paper studies the heat flux distribution on the inner wall of the heat absorber when four types of heat absorber structures are installed at different positions, which provides a reference for the optimization of the working fluid flow parameters of the heat absorber in the future.

2. Research Objects and Methods

In this paper, the research object is a parabolic dish solar energy system. The dish with an opening radius of R = 2.5 m and a focal length of f = 5 m are investigated. Four types of cavity heat absorbers are constructed: inverted dome, dome body, cylindrical, and domed, as shown in Figure 1 and Figure 2. The structure parameters of the heat absorber are: h1 = 380 mm, h2 = 275 mm, h3 = 75 mm, d1 = 360 mm, d2 = 190 mm, and θ = 75°.
Figure 1. Schematic diagram of a dish-type collector.
Figure 2. Heat absorber and installation position.
As can be seen from Figure 2, the location of the power deposited by the heat absorber is mainly concentrated on the inner cavity perimeter and the inner cavity top surface. In order to compare the effect of the heat absorber installation position on the heat flux density of the wall surfaces inside the heat absorber, three heat absorber installation positions are set in this paper, where the heat absorber is in positions A and C, where the light ideally enters the cavity in its entirety; and position B, where the bottom end of the heat absorber is in the focal position. In order to better compare the distribution of heat flux density at each wall of the cavity, each wall of the heat absorber cavity is individually marked in this paper, as shown in Figure 2.
In this paper, in conjunction with the method proposed by Jeter [20] for the calculation of the concentrating ratio on a smooth focal plane, a COMSOL ray optics module [21] is used to simulate the reflection deposition process of disc solar rays, where the area differentiation unit at rc on the concentrator surface and at r on the receiver focal plane is considered, as shown in Figure 3.
Figure 3. Diagram of a parabolic solar concentrator.
The normal directions of the faces on the concentrator and focal planes are r c n c and r n , respectively, O is the focal point, and the concentration ratio at r is expressed as follows:
C r = 1 I 0 Ω f cos ( θ ) cos ( θ c ) r r c 2 d A c
f ( δ ) = I 0 / π sin ψ m 2 δ ψ m 0 δ > ψ m
In the above equation, f is the radiation intensity, Ω is the surface integral of the collector surface, I0 is the incident solar flux, ψ m is the maximum solar circular angle, and d A c is the area differentiation unit on the collector surface.

3. Numerical Results and Discussion

3.1. Influence of the Form and Mounting Position of the Heat Absorber on the Heat Flux Density on the Wall Surface of the Chamber

Due to the actual disc surface processing errors, the disc surface has a certain roughness. In order to make the calculation results more in line with the actual situation, this paper introduced the reflection error to achieve the correction of the surface roughness on the optical path [22,23,24], setting the disc surface reflection error of 1 mrad.
Figure 4 shows the distribution of heat flux density on the inner cavity wall surface of different heat absorbers. The results show that: the focal point is close to the top of the heat absorber (position C), which will make the heat flux density at the bottom of the heat absorber more concentrated; as the heat absorber moves up, the concentrated heat flux density gradually disperses to the circumferential direction. When the heat absorber is located at position A, due to the reflection error, the bottom of the heat absorber and the light collection port will deposit some light; this makes the heat flux density in these areas increase slightly. The distribution of heat flux on the walls of the cavity differs slightly between the different structures of the heat absorber, especially between the cone and inverted cone structures at positions A and B. The areas of high heat flux density on the circumference show a clear band distribution.
Figure 4. Heat flux distribution on the inner walls of different heat sinks.

3.2. Effect of Changes in the Position of the Heat Absorber on the Heat Flux Density on the Wall Surface of the Chamber

The location of the heat receiver can affect the heat flow density distribution of the heat receiver. For further comparison, each wall of the internal cavity of the heat absorber was marked in this section, and the edge line of the internal cavity wall in the central part of the heat absorber was taken as the sampling line, and the heat flux density distribution along the edge line of the internal cavity wall is shown in Figure 5. The results show that when the irradiation intensity is 1000 W/m2, the heat flux density at the top centre of the dome heat absorber can reach 289.6 kW/m2 when it is located at position C. When the irradiation intensity decreases to 800 W/m2, the heat flux density at the top centre also decreases, with a value of 231.7 kW/m2, a change of about 0.8 times, and the other positions also show the same change pattern. The heat absorber position can influence the heat flux density distribution on the wall inside the absorber. In the range from position A to position C, as the absorber moves up, the heat flux density distribution on the wall can be adjusted, thus avoiding too much concentration in the high heat flux density area and improving the heat absorption efficiency of the heat absorber. As the heat absorber gets closer to position A, although it allows for a more even distribution of heat flux density on the walls of the inner cavity, it will increase the heat flux density at the light opening and the bottom of the heat absorber, reducing the overall heat absorption efficiency.
Figure 5. Heat flux distribution on the boundary line of the inner cavity of the heat absorber.
The structure is designed to deposit light at five locations: the bottom of the inner chamber, the circumference of the inner chamber, the top of the inner chamber, the circumference of the light opening, and the outer bottom of the heat absorber. In order to compare the deposition power on each surface, this section counts the optical deposition power on each wall surface as shown in Figure 6. The results show that the optical deposition power on the circumferential wall and top surface of the inner cavity accounts for a large part of the total power, while the bottom of the inner cavity has basically no optical deposition power formation, and the irradiation intensity also shows a linear proportional pattern with the power at each location. As the heat absorber light port moves down (from position C to position A), the position of the main power deposition of the heat absorber changes significantly. The main light deposition power of dome type and frustum type heat absorbers increases first and then decreases, while the cylindrical and inverted cone heat absorbers show a gradually increasing pattern. The results in Figure 6 show that the individual power levels are not only related to the position of the heat absorber but are also influenced by the structure of the absorber, which will be compared in detail in the next section.
Figure 6. Light deposition power on each surface of the heat absorber.

3.3. Influence of the Shape of the Heat Absorber Cavity on the Density Distribution of the Heat Flow

Since the heat absorbers designed in this paper are based on the premise that the depth of the cavity is the same, but the total length of the sidelines on the middle surface of the cavities in different structures is different, iIn order to quantify the difference of heat flux distribution on the boundary line of the cavity middle surface of different heat absorbers structures, in this section, we will unify the sidelobes, and take the starting point of the sample line to be 0, and the distance from each point along the line to the starting point as 1, in order to obtain the proportion of the distance from each position to the starting point with respect to the total length L, the distribution of heat flux corresponding to each scale point is obtained as shown in Figure 7. It is shown that when the heat sink is at position A, there are multiple peaks in heat sinks of various shapes, and the peak heat flux from heat sinks of various structures is near. The cone type heat absorber has the highest peak heat flux density value, followed by the dome type heat absorber, followed by the cylindrical type and the inverted cone type heat absorber. The peak values of the cylindrical-type heat absorber and the inverted cone type heat absorber are relatively close to the range of areas of high heat flux density. In the cone type thermal receiver, the proportional width between the two peaks is the longest. Simultaneously, the law of decreasing heat flux density in the central region emerges, and its peak value is greater than that of heat absorbers from other structures, While the second extreme value appears near the l/L of 10% and 90% for the thermal receiver of the cone type, which is similar to other structure rules, but the value is much higher than other structure heat absorbers. When the heat absorber is at position B, the proportional width between the two peaks of the cone type heat absorber is the longest, and the density of heat flow in the core region decreases at the same time. The dome type heat absorber has the highest peak heat flux density, and the central region also has a slight tendency to decrease; When the heat absorber is at position C, fundamentally, the heat flux distribution of the various structures is similar, and the heat flux in the center zone of the round table heat absorber decreases slightly. Furthermore, one can see from the results in the figure above that, the range of the low heat flux zone in the core zone gradually narrows as the heat absorber descends, but the value of the main peak increases significantly, and the value of other peaks decreases or even drops near the lowest value.
Figure 7. Heat flux distribution on the inner cavity wall of the heat absorber (irradiation intensity of 1000 W/m2).
In order to compare the differences in the power deposition of the main rays under different structural conditions, this section counts the heat flux density distribution on the inner cavity perimeter and inner cavity top surface edges as shown in Figure 8. The results show that, when the installation position is unchanged, the heat flux variation law of the top surface of the inner cavity of the cylindrical and inverted conical heat absorbers is relatively similar, and the values are also relatively close. The peak heat flux density on the circumference of the inner cavity of the cone heat absorber is the highest of the designed structures. The cylindrical heat absorber shows a monotonic increase in heat flux density along the circumference of the inner cavity and the top surface of the inner cavity.
Figure 8. Heat flux distribution on the circumference and top surface of the inner cavity of the heat absorber.
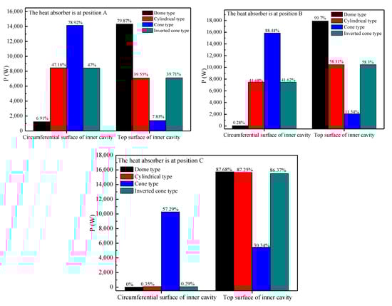
Figure 9 shows the deposition power of the light rays on the circumference of the inner cavity and the top surface of the inner cavity of the heat absorber. When the heat absorber is in position A, the power at the top of the inner cavity of the domed heat absorber is close to the power at the circumference of the inner cavity of the square table heat absorber, and the total power in the two cavities is relatively close. When the heat absorber is in position B, the total power ratio of different heat receiver structures entering the cavity can reach more than 99%, indicating that the current position is the best acceptance efficiency among the three designed positions, while the light power of the cylindrical heat absorber is mainly deposited on the circumference of the inner cavity, while the domed heat absorber is mainly deposited on the top surface of the absorber. When the heat absorber is in position C, the power on the circumference of the inner cavity of the square table heat absorber is about twice the power on the top surface of the inner cavity, while the circumference of the inner cavity of other structures basically does not deposit light power. In addition to the surface power, the heat transfer efficiency of the system is also related to the coil form, mass residence time, and mass parameters. It is necessary to design the heat pipe sparse density for different structures to ensure that the mass is fully heat exchanged at the position of higher deposited power. Therefore, the mass needs sufficient residence time when flowing through the high heat flux area. However, due to the structural characteristics, the top surface of the heat absorber cavity cannot be arranged into too dense a coil to achieve the purpose of increasing the mass flow time, so the circumference of the cavity needs to become the main heat transfer area. As can be seen from the above, the cone top heat absorber is more conducive to the full heat absorption of the mass in position B.
Figure 9. The light deposition power of the inner cavity surface and the inner cavity top surface of the heat collector.

4. Conclusions

This paper uses the Monte Carlo ray-tracing method to analyse the effects of different heat absorber structure forms and installation positions on the heat flux density and power share of the cavity wall surface, using four types of heat absorbers as research objects. The main conclusions are as follows:
(1)
Among the four types of heat absorbers studied in this paper, the heat flux distribution pattern on the circumference of the cone type heat absorber is obviously affected by the installation position, and the heat flux density can be adjusted on the top surface and circumference of the inner cavity by adjusting the installation position, while the other three types of heat absorbers show a concentrated heat flux density distribution pattern on the top surface of the inner cavity;
(2)
The position of the heat absorber can affect the power distribution ratio of each wall inside the heat absorber. At position C, although it can improve the distribution of heat flux density on the inner wall and avoid the concentration of high heat flux density areas, it is not conducive to the full heat exchange of the heat absorber. The closer the heat absorber is to position A, the more evenly the heat flux density of the inner wall surface is distributed, but it will increase the heat flux density of the light opening and the bottom of the heat absorber, which in turn reduces the overall heat absorption efficiency;
(3)
When the heat absorber is in position B, the total power ratio of different heat absorber structures entering the cavity can reach more than 99%. When the heat absorber with dome type heat absorber is in position B, it is more favorable for the working medium to fully absorb heat.

Author Contributions

Funding acquisition, J.D.; Investigation, H.L.; Project administration, H.L. and L.W.; Resources, L.W.; Software, L.W.; Validation, Y.G.; Writing—original draft, J.D. All authors have read and agreed to the published version of the manuscript.

Funding

This research was supported by PhD research startup foundation of Northeast Electric Power University (BSJXM-2018208).

Institutional Review Board Statement

Not applicable.

Conflicts of Interest

The authors declare no conflict of interest.

References

  1. Yang, Y.; Yan, Q.; Zhai, R.; Kouzani, A.; Hu, E. An efficient way to use medium-or-low temperature solar heat for power generation integration into conventional power plant. Appl. Therm. Eng. 2011, 31, 157–162. [Google Scholar] [CrossRef]
  2. Mehrpooya, M.; Ghorbani, B.; Sadeghzadeh, M. Hybrid solar parabolic dish power plant and high-temperature phase change material energy storage system. Int. J. Energy Res. 2019, 43, 1–16. [Google Scholar] [CrossRef]
  3. Zhu, Y.; Zhai, R.; Zhao, M.; Yang, Y.; Yan, Q. Evaluation methods of solar contribution in solar aided coal-fired power generation system. Energy Convers. Manag. 2015, 102, 209–216. [Google Scholar] [CrossRef]
  4. Cui, Y.-H.; Yang, Y.-P.; Zhang, M.-M. Solar-coal Complementary Electric Generation System and Its Modes. Proc. CSEE 2008, 28, 102–107. [Google Scholar]
  5. Zhang, Y.-M.; Wang, J. Series on solar thermal power generation--light concentrating solar thermal power generation. Sol. Energy 2016, 1, 39–41. [Google Scholar]
  6. Zhang, X.-Y.; Yang, X.-H.; Tian, R. Study of the thermal performance of a dual-side heating flat plate receiver in a parabolic concentrating solar power system. J. Eng. Therm. Energy Power 2018, 33, 115–123. [Google Scholar]
  7. Xu, H.-T.; Rao, J.-W.; Guo, Y.-P. Experiment and simulation studies of solar CPV/T system by using fresnel lens. J. Eng. Therm. Energy Power 2019, 34, 114–120. [Google Scholar]
  8. He, Y.L.; Wang, K.; Qiu, Y.; Du, B.C.; Liang, Q.; Du, S. Review of the solar flux distribution in concentrated solar power: Non-uniform features, challenges, and solutions. Appl. Therm. Eng. 2019, 25, 448–474. [Google Scholar] [CrossRef]
  9. Vignarooban, K.; Xu, X.; Arvay, A.; Hsu, K.; Kannan, A.M. Heat transfer fluids for concentrating solar power systems-A review. Appl. Energy 2015, 146, 383–396. [Google Scholar] [CrossRef]
  10. He, Y.; Wang, K.; Du, B.; Qiu, Y.; Zheng, Z.; Liang, Q. Non-uniform characteristics of solar flux distribution in the concentrating solar power systems and its corresponding solutions: A review. Chin. Ence Bull. 2016, 61, 3208–3237. [Google Scholar]
  11. Loni, R.; Asli-Ardeh, E.A.; Ghobadian, B.; Bellos, E.; Le Roux, W.G. Numerical investigation of a solar dish concentrator with different cavity receivers and working fluids. J. Clean. Prod. 2018, 198, 1013–1030. [Google Scholar] [CrossRef]
  12. Arjun, S.K.; Natarajan, S.K. Comparative Study of Modified Conical Cavity Receiver With Other Receivers for Solar Paraboloidal Dish Collector System. Environ. Sci. Pollut. Res. 2022, 29, 7548–7558. [Google Scholar]
  13. Shuai, Y.; Xia, X.-L.; Tan, H.-P. Numerical simulation and experiment research of radiation performance in a dish solar collector system. Front. Energy 2010, 4, 488–495. [Google Scholar] [CrossRef]
  14. Bellos, E.; Bousi, E.; Tzivanidis, C.; Pavlovic, S. Optical and thermal analysis of different cavity receiver designs for solar dish concentrators. Energy Convers. Manag. 2019, X, 100013. [Google Scholar] [CrossRef]
  15. Kasaeian, A.; Kouravand, A.; Rad, M.A.; Maniee, S.; Pourfayaz, F. Cavity receivers in solar dish collectors: A geometric overview. Renew. Energy 2021, 169, 53–79. [Google Scholar] [CrossRef]
  16. Mao, Q.; Zhang, L.; Wu, H. Study on Concentrating Characteristics of a Solar Parabolic Dish Concentrator within High Radiation Flux. Int. J. Photoenergy 2015, 2015, 787280. [Google Scholar] [CrossRef]
  17. Shuai, Y.; Xia, X.L.; Tan, H.P. Radiation performance of dish solar concentrator/cavity receiver systems. Solar Energy. 2008, 82, 13–21. [Google Scholar] [CrossRef]
  18. Daabo, A.M.; Mahmoud, S.; Al-Dadah, R.K. The optical efficiency of three different geometries of a small scale cavity receiver for concentrated solar applications. Appl. Energy. 2016, 179, 1081–1096. [Google Scholar] [CrossRef]
  19. Yan, J.; Peng, Y.; Wang, H. Assessing the impact of non-ideal optical factors on optimized solar dish collector system with mirror rearrangement. Int. J. Energy Res. 2020, 44, 8799–8822. [Google Scholar] [CrossRef]
  20. Jeter, S.M. The distribution of concentrated solar radiation in paraboloidal collectors. J. Sol. Energy Eng. 1986, 108, 219–225. [Google Scholar] [CrossRef]
  21. Madsen, C.K. Linking Diffractive and Geometrical Optics Surface Scattering at a Fundamental Level. Opt. Photonics J. 2022, 12, 1–17. [Google Scholar] [CrossRef]
  22. Gu, Y.J.; Geng, Z.; Zhang, C.; Wang, P. Review on key technologies of concentrating solar thermal power generation systems. Therm. Power Gener. 2017, 46, 6–13. [Google Scholar]
  23. Li, S.-H.; Wang, L.-W.; Liao, M.-J.; Wang, J.Y. Distribution characteristics of heat flux density of dish solar collectors. Therm. Power Gener. 2017, 9, 78–82. [Google Scholar]
  24. Yang, Z.; Dai, Y.-F.; Wang, G.-L. Measure of Optical Errors Based on Harvey-Shack Surface Scattering Theory. Acta Opt. Sin. 2007, 24, 1992–1996. [Google Scholar]
Publisher’s Note: MDPI stays neutral with regard to jurisdictional claims in published maps and institutional affiliations.

Article Metrics

Citations

Article Access Statistics

Multiple requests from the same IP address are counted as one view.