Next Article in Journal
A Review of Applications of Artificial Intelligence in Heavy Duty Trucks
Next Article in Special Issue
Consumers’ Willingness to Pay for the Solar Photovoltaic System in the Post-Subsidy Era: A Comparative Analysis under an Urban-Rural Divide
Previous Article in Journal
3D Geomechanical Model Construction for Wellbore Stability Analysis in Algerian Southeastern Petroleum Field
Previous Article in Special Issue
Carbon Intensity and Green Transition in the Chinese Manufacturing Industry
 
 
Font Type:
Arial Georgia Verdana
Font Size:
Aa Aa Aa
Line Spacing:
Column Width:
Background:
Article

The Effect of Carbon Price Volatility on Firm Green Transitions: Evidence from Chinese Manufacturing Listed Firms

1
School of Economics and Management, Beijing University of Chemical Technology, Beijing 100029, China
2
School of Economics and Management, Tsinghua University, Beijing 100084, China
*
Authors to whom correspondence should be addressed.
Energies 2022, 15(20), 7456; https://doi.org/10.3390/en15207456
Submission received: 19 September 2022 / Revised: 5 October 2022 / Accepted: 7 October 2022 / Published: 11 October 2022

Abstract

Accelerating the promotion of the green transition can help to achieve high-quality development in manufacturing industries. In terms of policies that encourage the transition to green production, carbon trading is a direct and effective means of achieving this goal, and the carbon price is an important regulator in trading. Normally, firms respond to carbon prices by making three behavioral choices: production restrictions, pollution reduction, and the technological transition to green production. This study examines the effect of carbon price volatility on the decision to conduct green production, i.e., transforming to sustainable technologies and processes. In addition, this paper also investigates whether organizational resource slack and organizational technical standards moderate the relationship between the carbon price volatility and firms’ green transitions. The results suggest that a steadily increasing carbon price will motivate firms to make a green transition, but if the carbon price is volatile, firms will be reluctant to make a green transition. This tendency to make a green transition is stronger when firms have resource slack and have implemented green technical standards. The findings provide empirical evidence and policy implications regarding how manufacturing firms can accelerate their green transition.

1. Introduction

Accelerating the green transition is an important way to achieve high-quality development in manufacturing industries [1]. The new European Union Executive Committee President, von der Leyen, launched a major development strategy, the European Green Deal. This series of de-carbonization policies set the ambitious goal centered around the EU becoming the first carbon-neutral region by 2050. Following this prevailing trend of sustainable and low-carbon development, many countries are starting to implement new policies to keep up with the trends, particularly in developing and emerging countries [2]. Furthermore, the green transition has become an integral part of business and political practices. For instance, in 2021, China updated its enhanced carbon emission targets in accordance with the European Green Deal (which followed the Paris Agreement) [1,2]. In the same year, the Korean government officially announced its commitment to achieving carbon neutrality by 2050. Accordingly, the Korean government Korea passed the Carbon Neutrality Bill (Carbon Neutrality and Green Growth Act for the Climate Change), which specifies the nationally determined contributions target (i.e., 40% reduction in greenhouse gas emissions compared to 2018) by 2030 and a carbon neutrality goal by 2050. As a result, Korea has become the 14th country to legalize the carbon neutrality target [2].
This study is different from the prior literature which emphasizes the “strong/weak Porter hypothesis” [3,4], institutional legitimacy [5], environmental regulation [6], etc., as the mechanisms for technological innovation, as we examine the effects of an important external condition, namely carbon price volatility on firms’ green transitions. By the time the Paris Agreement came into force in 2016, thirty-five countries, thirteen provinces, and seven cities had established carbon trading systems [7]. As a result, it is imperative to examine the effects of carbon price volatility from a practical perspective.
A carbon trading system regulates organizational behavior in the green transition by carbon prices, thus reducing CO2 emissions and achieving macro-environmental and social benefits [8]. Hence, the achievement of carbon reduction targets still depends on the behavior decision of firms to make a green transition. Typically, firms usually respond to carbon prices in three ways, including production restriction, pollution reduction, and the transition to green production: (1) some firms directly reduce output and even shut down to achieve their emission reduction targets to ensure their emissions are within a given quota [9]; (2) some firms choose pollution reduction, such as extending the operating time of the pollution treatment equipment and purchasing new pollution treatment equipment [10]; and (3) some other firms choose to invest in emission reduction technologies and conduct green technology updates, including introducing clean production processes, updating existing technologies, developing green innovations, etc. [11]. From the perspective of the sustainable development goal, the third option is more in line with this goal. However, the issue of what factors influence firms to choose to make the green transition is still ambiguous.
This study focuses on one specific external factor: carbon price volatility. We combine the market-level carbon price data with organizational-level corporate patent application data, and examine the effect of carbon price volatility in carbon emissions trading on the green transition of firms. Besides the external factor, we also consider two organizational characteristics (i.e., organizational resource slack and organizational technical standards) as the boundary conditions to clarify the mechanism between carbon price volatility and green transitions. Using the sample of Chinese listed companies in manufacturing industries from 2013 to 2020, we find that when carbon prices are stable, firms are inclined to choose a green transition, and thus achieve both pollution emission reduction and productivity improvement; meanwhile, organizational resource slack and organizational technical standards can positively moderate the relationship between carbon price volatility and green transitions.
This study makes three contributions. First, different from the technological innovation mechanism emphasized by the “strong/weak Porter hypothesis” [3,4], this study reveals that manufacturing firms would choose a green transition when the carbon price is stable, i.e., they will be motived by stable price and accelerate investment to introduce more advanced and environmentally friendly production equipment to replace the traditional outdated production equipment [12]. Even if a firm does not need to be listed in carbon trading, the impact of carbon price volatility on the firm’s green transition decision is still significant. This suggests that the impact of carbon trading and carbon price volatility on green transformation is society-wide and it provides important policy implications for promoting firms’ green transitions in manufacturing industries. Second, with the development of the carbon emission trade, we consider the carbon price volatility as the antecedent factor to affect the rational choice of firms’ decision on the green transition [13,14], i.e., whether to conduct production restriction, reduce pollution, or the transition to green technologies and products. Third, we consider the moderating roles of organizational resource slack and organizational technical standards to strengthen the effect of carbon price volatility, which helps to supplement the macro-level policy analysis by analyzing it from the micro level [15].
The remainder of this research is organized as follows. Section 2 explores the theoretical background and hypotheses development of the relationship between carbon price volatility and green transitions. Section 3 addresses the method, including samples, variables, and estimated models. Section 4 reveals the corresponding findings, and we conclude with the research contributions, implications, and directions for future research in the last section.

2. Literature and Hypothesis Development

Since the signing of the Tokyo Agreement in 2005, many large-scale carbon emission markets have been established in the world. Among them, the mature EU carbon emissions trading system has promoted the development of the EU green finance industry and brought huge social and economic benefits to the EU. The economic and social advantages that can be gained from the construction of carbon emissions trading markets have led academics to research the impact of carbon emissions on trading and carbon prices. Holtsmark and Maestad [16] first focused on the impact of policy factors on carbon prices. Daskalakis et al. [17] fitted the price of carbon allowances in Germany and argued that there was sharp volatility in the price of carbon allowances and that there was no arbitrage price for investors in them. Calel and Dechezleprètre [18] investigated the effect of the European Union Emissions Trading System (EUETS) and showed that the EUETS has an important role in promoting low-carbon technology innovation. The EUETS increases at least 10% of EU low-carbon technology patents and is without significant crowding-out effects.
The mechanistic stimulus–response literature [19,20] confirms that environmental regulations positively affect firms’ propensity to engage in the green transition. The carbon price is an important environmental regulation based on government-led market logic. According to the supposition of rational man, firms, in order to maximize profits, need to consider both costs and benefits in their green transition decisions. From a cost–benefit perspective, carbon prices reflect the cost of carbon emissions, as well as the economic return that can be obtained from carbon emission control. Therefore, the carbon price is an important indicator to guide the green transition of firms. This study argues that carbon price is an external condition to guide the homogeneous reflection of firms, while firms will have heterogeneous reflection depending on their organizational characteristics, including resource slack and technical standards.

2.1. Firms’ Homogeneous Responses to Carbon Price Volatility

Under conditions of high price volatility, we argue that the expected benefits of emission reductions from the green transition will be diminished. According to the “weak Porter hypothesis” [3,4], carbon trading increases the production costs of firms, which prompts them to adjust their investment patterns and reduce their carbon emissions [19]. With the application of carbon trading, firms are generally forced to choose between green transitions or the purchase of carbon allowances in order to achieve their emission reduction targets. A firm that chooses to purchase carbon allowances will be required to pay for the allowances during the current period. A firm that chooses to implement a green transition usually pays a high investment for the technology upgrades in the current period, but has the potential to receive a gain from the sale of excess allowances in the future due to significant emission reductions. When carbon prices are less volatile, the prospect of subsequent revenue from the sale of surplus carbon allowances is more positive and stable, and firms are inclined to pursue the green transition [21]. Volatility in carbon prices serves as a risk signal, i.e., the more volatile the price of carbon, the more uncertain the future benefits of carbon allowances will be [22]. As a result, firms will tend to purchase carbon allowances in the current period to achieve their emission reduction targets in order to reduce the risk of revenue loss rather than invest in technological improvements in the current period and reap the potential benefits of carbon allowance trading in the future.
Hence, we hypothesize the following:
Hypothesis 1 (H1).
Carbon price volatility has negative effects on a firm’s investment in technology transition to green.

2.2. Firms’ Heterogeneous Responses to Carbon Price Volatility

While conventional financial markets are primarily motivated by profit, carbon markets aim to minimize global abatement costs and are more susceptible to heterogeneous organizational characteristics [23]. Green transitions are characterized by internalized costs and externalized environmental benefits, which leads to a lack of internal motivation. Green transitions are also characterized by internalized costs and externalized environmental benefits, resulting in a lack of internal motivation for the green transition. Green transitions often require a large number of resources, which come from two main sources: internal financing (i.e., from the enterprises’ own accumulation) and external financing (i.e., from external investors). According to the logic of pecking order theory [24,25], firms prefer internal financing. In light of this, we consider the role of organizational resource slack as a moderator of the relationship between carbon price volatility and green transitions.
From the perspective of prospective returns, carbon price volatility could have a negative effect on the green transition. The higher the volatile carbon prices, the fewer incentives firms have to make a green transition. If firms have sufficient resource slacks, they will generally expand their investment in green transitions or technology upgrades; meanwhile, they will not be concerned with current returns and short-term gains, but will pay more attention to long-term and sustainable development. However, if firms have insufficient redundant resources, they will rely on external financing for their green transformation investments [26]. However, because external financing requires paying large amounts of interest or promised returns to investors, many firms will be more inclined to adopt a conservative wait-and-see attitude in the short term, rather than making technological updates and improvements.
Hence, we hypothesize the following:
Hypothesis 2 (H2).
Organizational resource slack positively moderates the relationship between carbon price volatility and a firm’s investment in technology change to green.
Technical standards for organizations are standardized technologies for the conservation of resources and the holistic utilization of resources based on the production processes in specific industries [27]. In order to comply with industry standards, firms are compelled to purchase environmentally friendly production equipment to replace traditional outdated production equipment. Firms’ application of industry-specific technical standards can generate tangible or intangible benefits, such as corporate image, brand, legitimacy, and reputation, which may increase the prospective revenue of green transitions [28]. Therefore, we consider the moderating effect of organizational technical standards on the relationship between carbon price volatility and green transitions.
The implementation of industry-specific technology standards can mandate many technological improvements, including pollution filtration facilities with advanced treatment capacity or the adoption of waste-free and recycling technologies. When technical standards are implemented, external investors and stakeholders will have stronger expectations that firms need to implement technical improvements as a result of having a higher level of technology and taking social responsibility for emissions reduction [28]. The social and technological pressures induced by technology standards reinforce internal demand for green transformation investments and lessen the impact of external fluctuations in carbon prices. Thus, the implementation of technology standards strengthens firms’ demand for green transformation, which reduces the impact of volatility in carbon prices on green transformation investments.
Hence, we hypothesize the following:
Hypothesis 3 (H3).
Organizational technical standards negatively moderate the relationship between carbon price volatility and a firm’s investment in technology change to green.

3. Samples and Methods

3.1. Samples and Data Collection

The sample for this study comes from China. As of 2008, Beijing and Shanghai have established local carbon emission exchanges. In October 2011, local pilot projects for carbon emission trading were launched in Beijing, Tianjin, Shanghai, Chongqing, Guangdong, Hubei, and Shenzhen. The seven pilot carbon markets have been operating online since 2013, covering nearly 20 industries, including electricity, steel, and cement. Currently, the national carbon market is operating smoothly, and by the end of 2021, the cumulative volume of carbon emission allowances (CEAs) traded on the market will reach 179 million tons, with a turnover of CNY 7.684 billion. In light of this, the rapid development of carbon emissions trading in China provides an adequate data source for this study. Therefore, the data on carbon price volatility are taken from eight China carbon emission trade exchanges (CCETEs), namely, Beijing, Tianjin, Shenzhen, Guangzhou, Hubei, Chongqing, and Fujian [29]. Relevant carbon price data can be traced back to as early as 2013.
The sample for this study consists of Chinese listed corporations in the manufacturing industries. Currently, only key emission enterprises are required to trade carbon allowances in China. In Tianjin, Hubei, Chongqing, Fujian, Guangdong, Beijing, and Shanghai CCETE, firms are included in the carbon trading program if their annual emissions exceed 20,000 tons of carbon dioxide (or if their annual comprehensive energy consumption of standard coal exceeds 10,000 tons). In Shenzhen CCETE, firms are included in the carbon trading program if their carbon emissions are 3000 tons of carbon dioxide equivalent or more in any one year, as well as if their public buildings and office buildings have a floor area of 10,000 square meters or more. While carbon prices release signals on the costs and benefits of emission reductions, carbon price volatility actually affects the green transition decisions of all firms. Therefore, we include Chinse listed corporations in manufacturing industries. After excluding the observations that are missing necessary data, 3084 firm years of data are obtained after removing the samples with missing data.

3.2. Variables

The independent variable of the study is carbon price volatility, which is calculated by the standard deviation of the average annual carbon price of the closest CCETE to the focal firm’s location [30].
The dependent variable is the investment in green transitions. Following the measurement proposed by Xie et al. [31], we conduct content analysis, including manually extracting and coding the contents of the appendices of the financial statements of listed corporates, identifying the investment in green-transition-related projects. If a sum of funds is invested in the green transition, including low-carbon management, energy-saving equipment renovation, low-carbon energy, clean production technology R&D, Chinese-certified emission reductions (CCERs), etc., then this amount is charged to investment in green transitions.
The moderating variables are organizational resource slack and organizational technical standards. Organizational resource slack means more discretions, flexibilities, and adaptabilities to deal with uncertainties from the external environment. We measure organizational resource slack using the super quick ratio [32]. Correspondingly, a larger super quick ratio indicates a higher accumulation of capital and high short–long capital liquidities. The following formula is used for calculation. The higher the value of this variable, the larger resource slack for green transitions.
Organizational   resource   slack = Super   quick   ratio = Current   Assets Inventories Prepaid   Expenses Current   liabilities
The variable, organizational technical standards, is a dummy variable that captures whether the focal firm has applied industrial technical standards. In the case that a focal firm has applied at least one technical standard, the variable otherwise assumes the value of 1, 0 [33].
We also control some variables that might also affect a firm’s investment in the green transition. First, the basic characteristics, including the firm age (Age, log of the difference between the current year, and the founding year of the focal firm) [34]; return on assets (ROA, the ratio of net income to total assets of the focal firm) [35]; and operating expenses (operating expenses, the expenses of selling goods or purchasing labor, which are obtained directly from the financial statements) [36].
Second, we control some environmental characteristics of firms, including (1) green innovation stock (green patent was employed as the indicator of green innovation stock, which has also been adopted by many scholars in the past [37,38]) and (2) IOS1400 (whether the focal firm applied an implemented environmental management system, such as ISO14001, an international environmental management standard that provides premise flexibility to the types of sustainable objectives firms that are willing to be set up, requiring the implementation of a series of inner organizational processes to manage environmental impacts in a systematized way [33]) and (3) heavy polluters (whether the focal firm is listed as the heavy polluters [38]).
Third, all the estimated models include fixed-year effects to control for annual trends that could affect the level of green transition. To mitigate the potential threat of multicollinearity, we generate these interactions by multiplying the centered independent and moderating variables [39]. Continuous variables are standardized to facilitate the interpretation of the results.

3.3. Estimated Model

Our hypotheses are tested using Tobit models. The dependent variable is nonnegative, continuous, and left-censored with a cluster of zero values [40]. As a result, the Tobit regression model avoids biases and inconsistencies when estimating unknown parameters within a nonnormal distribution or a limited range. A program is developed by Honoré [41] for the semiparametric estimation of panel data fixed-effect Tobit models. In spite of this, unconditional fixed-effect estimates are biased. Therefore, the random-effect Tobit model is chosen to conduct the estimation.
Considering the structure of our dependent variable, the equation is:
G r e e n   t r a n s i t i o n i , t = C a r b o n   p r i c e   v o l a t i l i t y i , t + R e s o u r c e   s l a c k i , t + T e c h n i c a l   s t a n d a r d s i , t + C a r b o n   p r i c e   v o l a t i l i t y i , t × R e s o u r c e   s l a c k i , t + C a r b o n   p r i c e   v o l a t i l i t y i , t × T e c h n i c a l   s t a n d a r d s i , t + β C o n t r o l s i , t + δ t + ϵ
where δ t is a period effect, and ϵ is an error term.

4. Results

Table 1 provides the descriptive statistics and correlations for all variables with pooled cross-sectional data. Observing several high correlation coefficients, we examine the potential multicollinearity between variables. Variance inflation factors (VIFs) are below 1.79 and the mean VIF is 1.19, which is lower than the guideline threshold of 10.
Table 2 reports the results from the random-effect Tobit model of the dependent variable, the green transition.
H1 refers to the negative effect of carbon price volatility on firms’ green transitions. The coefficient of carbon price volatility is significantly negative (Model 2, γ = −0.421, SE = 0.051, p-value < 0.01; Model 5, γ = −0.259, SE = 0.043, p-value < 0.01). Thus, H1 is supported.
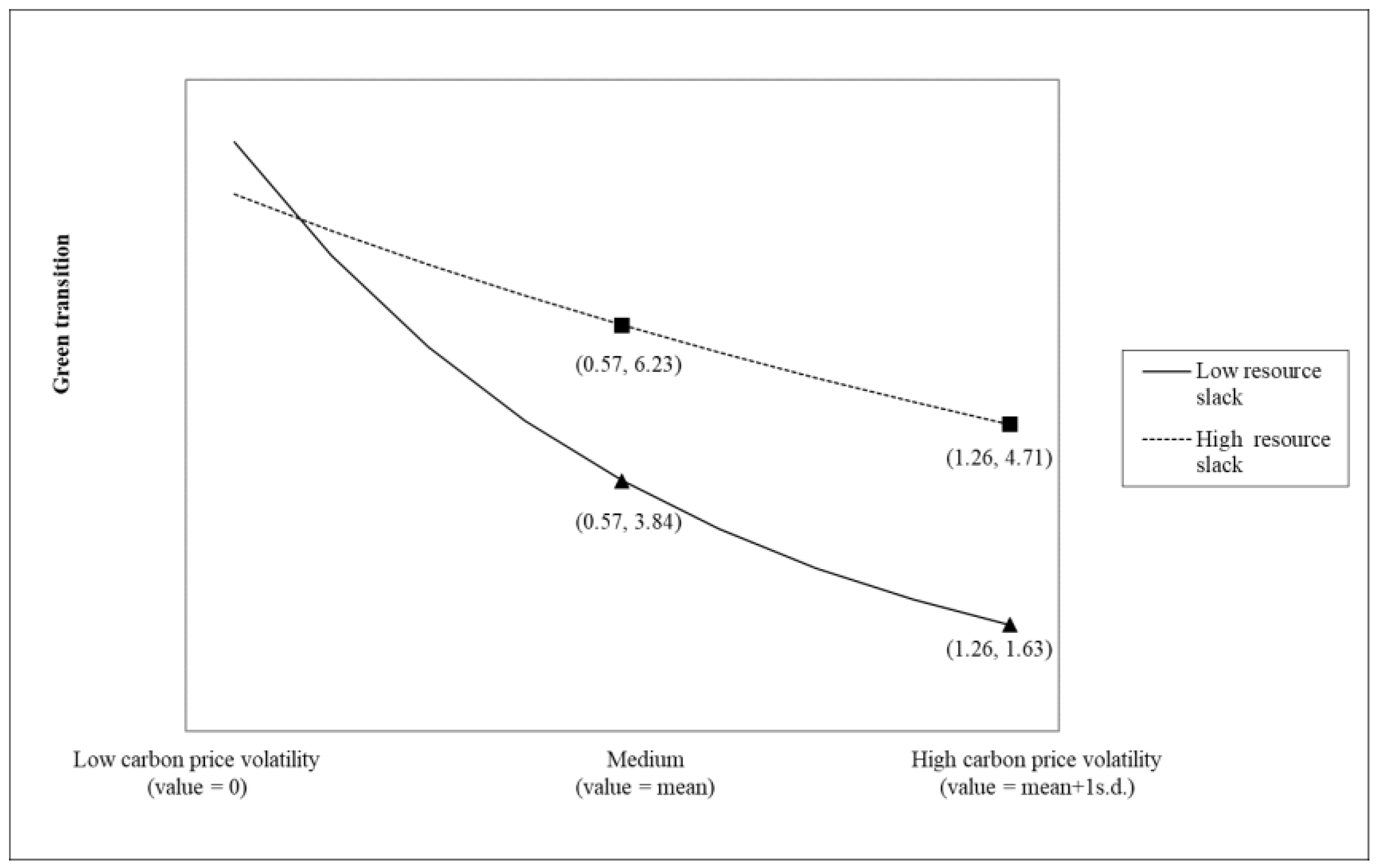
In Model 3, the interaction between carbon price volatility and resource slack demonstrates a significant positive effect on the green transition (Model 3, γ = 0.086, SE = 0.032, p-value < 0.01). It indicates that the negative relationship between carbon price volatility and green transitions becomes weaker when firms have sufficient resource slack, which is consistent with H2. As shown in Figure 1, with high resource slack (high super-quick ratio), the investment in green transitions is higher than that with low resource slack.
In Model 4, the interaction of carbon price volatility and organizational technical standards on the green transition is significantly positive (γ = 0.498, SE = 0.013, p-value < 0.01). H3 is supported. As exhibited in Figure 2, firms that have applied technical standards would invest more in green transitions than those that have not applied technical standards.

5. Conclusions and Discussion

Using 3084 firm years of Chinese listed corporations in manufacturing industries from 2013 to 2020, we conduct an empirical analysis that fits with a random-effects Tobit model to determine whether carbon price volatility affects firms’ green transitions. We also attempt to investigate the moderating roles of organizational resource slack and technical standards to strengthen or weaken the effect of carbon price volatility.
We find that carbon price volatility negatively affects firms’ green transitions. Both positive and negative price volatility could undermine firms’ propensity to make the green transition, i.e., their output of green innovations. Price volatility is a signal of market uncertainty that can cause firms to adopt a conservative investment preference and maintain the status quo in production, rather than being inclined to invest in high-risk green innovation activities. Meanwhile, organizational resource slack and technical standards could mitigate this negative impact. On the one hand, organizational resource slack is a type of internal favorable condition to support green innovations. More organizational resource slacks can provide firms with more discretionary investment decisions and improve firms’ willingness to take more investment risks, thus tending to invest in green innovation projects with long payback periods and high risks. On the other hand, firms with technical standards are under external regulations or institutions that drive firms to implement advanced green production technologies and processes. These internal and external conditions could weaken the influence of carbon price volatility (which plays as a market condition to impact organizational decisions on the green transition).
These findings provide important practical implications for encouraging firms to make a green transition. The first is related to carbon price control. Considering the negative effect of carbon price volatility on firms’ green transitions, governments need to maintain a stable carbon price by regulating the supply and demand of carbon quotas, thus avoiding excessive carbon price volatility. In terms of short-term regulation, it needs to apply a price limit to avoid the extreme volatility of carbon price. Furthermore, in terms of long-term regulation, it is recommended to establish a cost control reserve (CCR) and an emission control reserve (ECR) [7,8]. The second is related to the organizational resource base. According to the results of the positive moderating effect of organizational resource slacks, firms need to accumulate and extend their resource base and prove the efficient resource slack to respond to high-risk investment projects, such as technology transformation and R&D. One of the external channels for expanding the organizational resource base is external financing. For policymakers, they need to provide favorable policy conditions for establishing financing channels for supporting firms’ green transitions to ease the financing constraints of firms. The third concerns the implementation of technical standards. Considering the positive moderating effects to encourage firms’ green transitions, governments need to emphasize the popularization and enforcement of technical standards. In particular, to further enhance the level of technological progress of the Chinese manufacturing industry as a whole and achieve the industrial-level green transition, it is necessary to accelerate the development of clean production standards for each industry and focus on supporting and developing a number of leading enterprises in the field of environmental protection equipment manufacturing [14].
There are several limitations to this study that pave the way for several future research directions. First, given the fact that the carbon trading program launched in 2008 will have a stronger and more long-term impact, future research may be able to analyze its long-term incentive effect and environmental efficiency. Second, the green transition is measured simply by adding up the investments in green transition projects, which may not reflect the various values of different projects or the importance of each project. Third, it needs to investigate the determining factors of the price of carbon allowances. Future research is necessary to understand the relationship among carbon price stabilization mechanisms, carbon quotas, and green transitions.

Author Contributions

Conceptualization, methodology, and writing, X.W.; investigation, review, and editing, Z.L.; conceptualization and methodology, F.T. All authors have read and agreed to the published version of the manuscript.

Funding

This research was funded by the National Natural Science Foundation of China (NSFC) [grant number 7200061]; the National Natural Science Foundation of China (NSFC) [grant number 72072008]; and the General Project of Soft Science Research in Anhui Province [grant number 202106f01050052].

Data Availability Statement

Publicly available datasets were analyzed in this study. This data can be found in Carbon Neutral Research Database, Chinese Research Data Services (CNRDS) Platform: [https://www.cnrds.com/Home].

Conflicts of Interest

The authors declare no conflict of interest.

References

  1. Newell, R.G.; Pizer, W.A.; Raimi, D. Carbon Market Lessons and Global Policy Outlook. Science 2014, 343, 1316–1317. [Google Scholar] [CrossRef]
  2. Aldy, J.E.; Kotchen, M.J.; Stavins, R.N.; Stock, J.H. Keep climate policy focused on the social cost of carbon. Science 2021, 373, 850–852. [Google Scholar] [CrossRef]
  3. Porter, M.E.; Van der Linde, C. Green competitiveness. Sci. Am. 1991, 264, 168. [Google Scholar] [CrossRef]
  4. Porter, M.E.; Van der Linde, C. Toward a new conception of the environment-competitiveness relationship. J. Econ. Perspect. 1995, 9, 97–118. [Google Scholar] [CrossRef]
  5. Jones, J.; York, J.G.; Vedula, S.; Conger, M. The collective construction of green building: Industry transition toward environmentally beneficial practices. Acad. Manag. Perspect. 2019, 33, 425–449. [Google Scholar] [CrossRef]
  6. Kannan, D.; Shankar, K.M.; Gholipour, P. Paving the way for a green transition through mitigation of green manufacturing challenges: A systematic literature review. J. Clean. Prod. 2022, 368, 132578. [Google Scholar] [CrossRef]
  7. Day, K. China’s Environment and the Challenge of Sustainable Development; Routledge: New York, NY, USA, 2016. [Google Scholar]
  8. Wang, W.; Zhang, Y.J. Does China’s carbon emissions trading scheme affect the market power of high-carbon enterprises? Energy Econ. 2022, 108, 105906. [Google Scholar] [CrossRef]
  9. Smale, R.; Hartley, M.; Hepburn, C.; Ward, J.; Grubb, M. The impact of CO2 emissions trading on firm profits and market prices. Clim. Policy 2006, 6, 31–48. [Google Scholar] [CrossRef]
  10. Sankaran, K. Carbon emission and plastic pollution: How circular economy, blockchain, and artificial intelligence support energy transition? J. Innov. Manag. 2019, 7, 7–13. [Google Scholar] [CrossRef]
  11. Scoones, I.; Leach, M.; Newell, P. The Politics of Green Transformations; Routledge: London, UK, 2015. [Google Scholar]
  12. Xie, L.; Han, H. Capacity sharing and capacity investment of environment-friendly manufacturing: Strategy selection and performance analysis. Int. J. Environ. Res. Public Health 2020, 17, 5790. [Google Scholar] [CrossRef]
  13. Leitao, J.; Ferreira, J.; Santibanez-Gonzalez, E. Green bonds, sustainable development and environmental policy in the European Union carbon market. Bus. Strategy Environ. 2021, 30, 2077–2090. [Google Scholar] [CrossRef]
  14. Yan, L.; Mirza, N.; Umar, M. The cryptocurrency uncertainties and investment transitions: Evidence from high and low carbon energy funds in China. Technol. Forecast. Soc. Chang. 2022, 175, 121326. [Google Scholar] [CrossRef]
  15. Huppes, G.; Ishikawa, M. Eco-efficiency guiding micro-level actions towards sustainability: Ten basic steps for analysis. Ecol. Econ. 2009, 68, 1687–1700. [Google Scholar] [CrossRef]
  16. Holtsmark, B.; Mæstad, O. Emission trading under the Kyoto Protocol—Effects on fossil fuel markets under alternative regimes. Energy Policy 2002, 30, 207–218. [Google Scholar] [CrossRef]
  17. Daskalakis, G.; Psychoyios, D.; Markellos, R.N. Modeling CO2 emission allowance prices and derivatives: Evidence from the European trading scheme. J. Bank. Financ. 2009, 33, 1230–1241. [Google Scholar] [CrossRef]
  18. Calel, R.; Dechezleprêtre, A. Environmental policy and directed technological change: Evidence from the European carbon market. Rev. Econ. Stat. 2016, 98, 173–191. [Google Scholar] [CrossRef]
  19. Cleff, T.; Rennings, K. Determinants of environmental product and process innovation. Eur. Environ. 1999, 9, 191–201. [Google Scholar] [CrossRef]
  20. Rennings, K. Redefining innovation: Eco-innovation research and the contribution from ecological economics. Ecol. Econ. 2000, 32, 319–332. [Google Scholar] [CrossRef]
  21. Kluczek, A.; Żegleń, P.; Matušíková, D. The use of Prospect theory for energy sustainable industry 4.0. Energies 2021, 14, 7694. [Google Scholar] [CrossRef]
  22. He, F.; Liu, Z.; Chen, S. Industries return and volatility spillover in Chinese stock market: An early warning signal of systemic risk. IEEE Access 2018, 7, 9046–9056. [Google Scholar] [CrossRef]
  23. Zhu, Q.; Sarkis, J. The moderating effects of institutional pressures on emergent green supply chain practices and performance. Int. J. Prod. Res. 2007, 45, 4333–4355. [Google Scholar] [CrossRef]
  24. López-Gracia, J.; Sogorb-Mira, F. Testing trade-off and pecking order theories financing SMEs. Small Bus. Econ. 2008, 31, 117–136. [Google Scholar] [CrossRef]
  25. Frank, M.Z.; Goyal, V.K. Testing the pecking order theory of capital structure. J. Financ. Econ. 2003, 67, 217–248. [Google Scholar] [CrossRef]
  26. Bigelli, M.; Martín-Ugedo, J.F.; Sánchez-Vidal, F.J. Financial conservatism of private firms. J. Bus. Res. 2014, 67, 2419–2427. [Google Scholar] [CrossRef]
  27. De Monthoux, P.G. Technical manufacturing standards and the industrial marketer. Ind. Mark. Manag. 1977, 6, 379–386. [Google Scholar] [CrossRef]
  28. Zhang, X.; Peek, W.A.; Pikas, B.; Lee, T. The transformation and upgrading of the Chinese manufacturing industry: Based on “German Industry 4.0”. J. Appl. Bus. Econ. 2016, 18, 97–105. [Google Scholar]
  29. Niu, Z.; Xiong, J.; Ding, X.; Wu, Y. Analysis of China’s Carbon Peak Achievement in 2025. Energies 2022, 15, 5041. [Google Scholar] [CrossRef]
  30. Feng, Z.H.; Zou, L.L.; Wei, Y.M. Carbon price volatility: Evidence from EU ETS. Appl. Energy 2011, 88, 590–598. [Google Scholar] [CrossRef]
  31. Xie, X.; Huo, J.; Zou, H. Green process innovation, green product innovation, and corporate financial performance: A content analysis method. J. Bus. Res. 2019, 101, 697–706. [Google Scholar] [CrossRef]
  32. Eriotis, N.; Vasiliou, D.; Ventoura-Neokosmidi, Z. How firm characteristics affect capital structure: An empirical study. Manag. Financ. 2007, 33, 321–331. [Google Scholar]
  33. Arimura, T.H.; Darnall, N.; Katayama, H. Is ISO 14001 a gateway to more advanced voluntary action? The case of green supply chain management. J. Environ. Econ. Manag. 2011, 61, 170–182. [Google Scholar] [CrossRef]
  34. Younis, H.; Sundarakani, B. The impact of firm size, firm age and environmental management certification on the relationship between green supply chain practices and corporate performance. Benchmarking Int. J. 2019, 27, 319–346. [Google Scholar] [CrossRef]
  35. Miller, N.; Pogue, D.; Gough, Q.; Davis, S. Green buildings and productivity. J. Sustain. Real Estate 2009, 1, 65–89. [Google Scholar] [CrossRef]
  36. Pan, X.; Chen, X.; Sinha, P.; Dong, N. Are firms with state ownership greener? An institutional complexity view. Bus. Strategy Environ. 2020, 29, 197–211. [Google Scholar] [CrossRef]
  37. Fabrizi, A.; Guarini, G.; Meliciani, V. Green patents, regulatory policies and research network policies. Res. Policy 2018, 47, 1018–1031. [Google Scholar] [CrossRef]
  38. Li, B.; Xu, L.; McIver, R.; Wu, Q.; Pan, A. Green M&A, legitimacy and risk-taking: Evidence from China’s heavy polluters. Account. Financ. 2020, 60, 97–127. [Google Scholar]
  39. Aiken, L.S.; West, S.G.; Reno, R.R. Multiple Regression: Testing and Interpreting Interactions; Sage Publication, Inc.: Thousand Oaks, CA, USA, 1991. [Google Scholar]
  40. McDonald, J.F.; Moffitt, R.A. The Uses of Tobit analysis. Rev. Econ. Stat. 1980, 62, 318–321. [Google Scholar] [CrossRef]
  41. Honoré, B.E. Orthogonality conditions for Tobit models with fixed effects and lagged dependent variables. J. Econom. 1993, 59, 35–61. [Google Scholar] [CrossRef]
Figure 1. The moderating effect of resource slack on the green transition.
Figure 1. The moderating effect of resource slack on the green transition.
Energies 15 07456 g001
Figure 2. The moderating effect of organizational technical standards on the green transition.
Figure 2. The moderating effect of organizational technical standards on the green transition.
Energies 15 07456 g002
Table 1. Descriptive statistics and correlations.
Table 1. Descriptive statistics and correlations.
VariableMeanS.D.(1)(2)(3)(4)(5)(6)(7)(8)(9)(10)
(1) Green transition16.1071.971.000
(2) Carbon price volatility0.5680.694−0.0691.000
(3) Resource slack2.0072.589−0.002−0.0451.000
(4) Technical standards0.9970.0570.038−0.0120.0211.000
(5) Age2.9740.2820.0210.108−0.087−0.0051.000
(6) ROA0.0220.060.030−0.0240.1470.010−0.0291.000
(7) Operating expenses0.1350.2590.005−0.0260.5880.034−0.1200.3711.000
(8) Green innovation stock0.8121.155−0.0230.042−0.109−0.015−0.0130.004−0.1071.000
(9) ISO140010.3090.4620.0360.0080.007−0.0110.0020.037−0.0010.1051.000
(10) Heavy polluters0.4060.4910.0400.028−0.079−0.0220.1120.024−0.1290.1100.0401.000
Table 2. The random-effect Tobit model of the green transition.
Table 2. The random-effect Tobit model of the green transition.
Model No.Model 1Model 2Model 3Model 4Model 5
Controls
Age−0.0370.008 *0.010 *0.136 *0.136 *
(0.209)(0.210)(0.210)(0.150)(0.150)
ROA0.6190.5640.5690.3300.331
(0.602)(0.597)(0.596)(0.490)(0.490)
Operating expenses−0.144 *−0.115 *−0.221 *−0.093 *−0.110 *
(0.185)(0.210)(0.213)(0.165)(0.168)
Green innovation stock−0.043−0.032−0.031−0.026−0.026
(0.040)(0.040)(0.040)(0.030)(0.030)
ISO140010.018 *0.017 *0.014 *0.079 *0.079 **
(0.082)(0.081)(0.081)(0.065)(0.065)
Heavy polluters0.062 **0.046 **0.046 **0.058 **0.058 **
(0.078)(0.077)(0.077)(0.063)(0.063)
Resource slack −0.0130.014−0.018−0.013
(0.017)(0.019)(0.014)(0.016)
Technical standards 0.929 *0.909 *0.778 *0.775 *
(0.523)(0.522)(0.441)(0.441)
Independent variables
Carbon price volatility −0.421 ***−0.392 ***−0.264 ***−0.259 ***
(0.051)(0.052)(0.042)(0.043)
Moderating variables
Carbon price volatility * Resource slack 0.086 *** 0.015
(0.032) (0.027)
Carbon price volatility * Technical standards 0.498 ***0.498 ***
(0.013)(0.013)
cons16.519 ***15.797 ***15.761 ***11.172 ***11.170 ***
(0.595)(0.796)(0.796)(0.630)(0.631)
YearIncludedIncludedIncludedIncludedIncluded
Obs.30843084308430843084
Wald chi2131.61207.29215.181711.291711.53
Standard errors are in parenthesis *** p < 0.01, ** p < 0.05, * p < 0.1.
Publisher’s Note: MDPI stays neutral with regard to jurisdictional claims in published maps and institutional affiliations.

Share and Cite

MDPI and ACS Style

Wu, X.; Li, Z.; Tang, F. The Effect of Carbon Price Volatility on Firm Green Transitions: Evidence from Chinese Manufacturing Listed Firms. Energies 2022, 15, 7456. https://doi.org/10.3390/en15207456

AMA Style

Wu X, Li Z, Tang F. The Effect of Carbon Price Volatility on Firm Green Transitions: Evidence from Chinese Manufacturing Listed Firms. Energies. 2022; 15(20):7456. https://doi.org/10.3390/en15207456

Chicago/Turabian Style

Wu, Xintong, Zhendong Li, and Fangcheng Tang. 2022. "The Effect of Carbon Price Volatility on Firm Green Transitions: Evidence from Chinese Manufacturing Listed Firms" Energies 15, no. 20: 7456. https://doi.org/10.3390/en15207456

APA Style

Wu, X., Li, Z., & Tang, F. (2022). The Effect of Carbon Price Volatility on Firm Green Transitions: Evidence from Chinese Manufacturing Listed Firms. Energies, 15(20), 7456. https://doi.org/10.3390/en15207456

Note that from the first issue of 2016, this journal uses article numbers instead of page numbers. See further details here.

Article Metrics

Back to TopTop