Migration Rule of Crude Oil in Microscopic Pore Throat of the Low-Permeability Conglomerate Reservoir in Mahu Sag, Junggar Basin
Abstract
:1. Introduction
2. Geological Settings
3. Methods
3.1. Principle
3.2. Samples
3.3. Materials and Instruments
3.4. Steps
- Ten cores were cut into standard full diameter samples (Table 2) and dried at 50 °C for 48 h.
- After vacuumizing the core for 24 h, 10 samples were continuously saturated with configured formation water for 72 h, and the effective vacuum level is −0.10 MPa.
- The core that had been saturated with formation water was placed into the core holder, saturated with crude oil at a rate of 0.02 mL/min and driven to 20 PV, then the water displacement was recorded.
- The cores were aged at 25 °C, 0.1 MPa for 15 days beforehand, and after aging at 75 °C, 35 MPa for 96 h in the core holder, the core was removed, the surface oil slick was removed with hard paper, and the core was scanned by NMR.
- The core was placed into the centrifuge, the temperature and pressure conditions were set as the values in the middle of the reservoir, the temperature was set as 75 °C, and the confining pressure was set as 37 MPa.
- The core was loaded with centrifugal forces of 42 psi, 208 psi, 417 psi and 900 psi (10,000–12,000 rpm), and the core was scanned by NMR after the experiment at different test points.
- The above experiments were carried out on 10 samples, and the test data were collected and analyzed.
- Six cores were cut into standard full diameter samples (Table 2) and dried at 50 °C for 48 h.
- After vacuumizing the core for 24 h, heavy water was inhaled, and the six samples were saturated for 72 h, and the effective vacuum level is −0.10 MPa.
- The core was placed into the core holder, the crude oil was saturated at a rate of 0.02 mL/min and displaced to 20 PV, and the water displacement was recorded.
- The cores were aged at 25 °C, 0.1 MPa for 15 days beforehand, and after aging at 75 °C, 35 MPa for 96 h in the core holder, the core was removed, the surface oil slick was removed with hard paper, and the core was scanned by NMR.
- The core was placed into the imbibition bottle, the imbibition bottle was filled with heavy water to 5 mL of the graduated glass tube, the temperature and pressure were loaded in the middle of the reservoir, and the initial scale (5 mL of the graduated glass) and time were recorded.
- Taking the time when the core was put into the imbibition bottle as the starting point, the test was performed continuously for 144 h. The oil precipitation data was analyzed according to the fixed time interval. The observation intervals for the IR-04, IR-05 and IR-07 cores are 12 h, 24 h and 48 h, respectively, and for the IR-01, IR-02 and IR-10 cores, the observation intervals are 8 h, 24 h and 48 h, respectively.
- The IR-01, IR-02, IR-04, IR-07 and IR-10 cores were removed at each test point, the surface oil slick was removed, and NMR scanning was conducted.
- To compare the difference between the intermediate break test and continuous test results in the imbibition process, the IR-05 core was placed in the imbibition bottle and was not removed until the end of the experiment. The change in the amount of oil precipitated in the imbibition bottle was continuously observed. When the experiment was completed, the core was removed, weighed and scanned by NMR. After that, hard paper was used to remove the surface oil slick every 24 h for NMR scanning, and the test was continued for 4 days.
4. Results and Discussion
4.1. Oil Migration Rule of Centrifugal Displacement
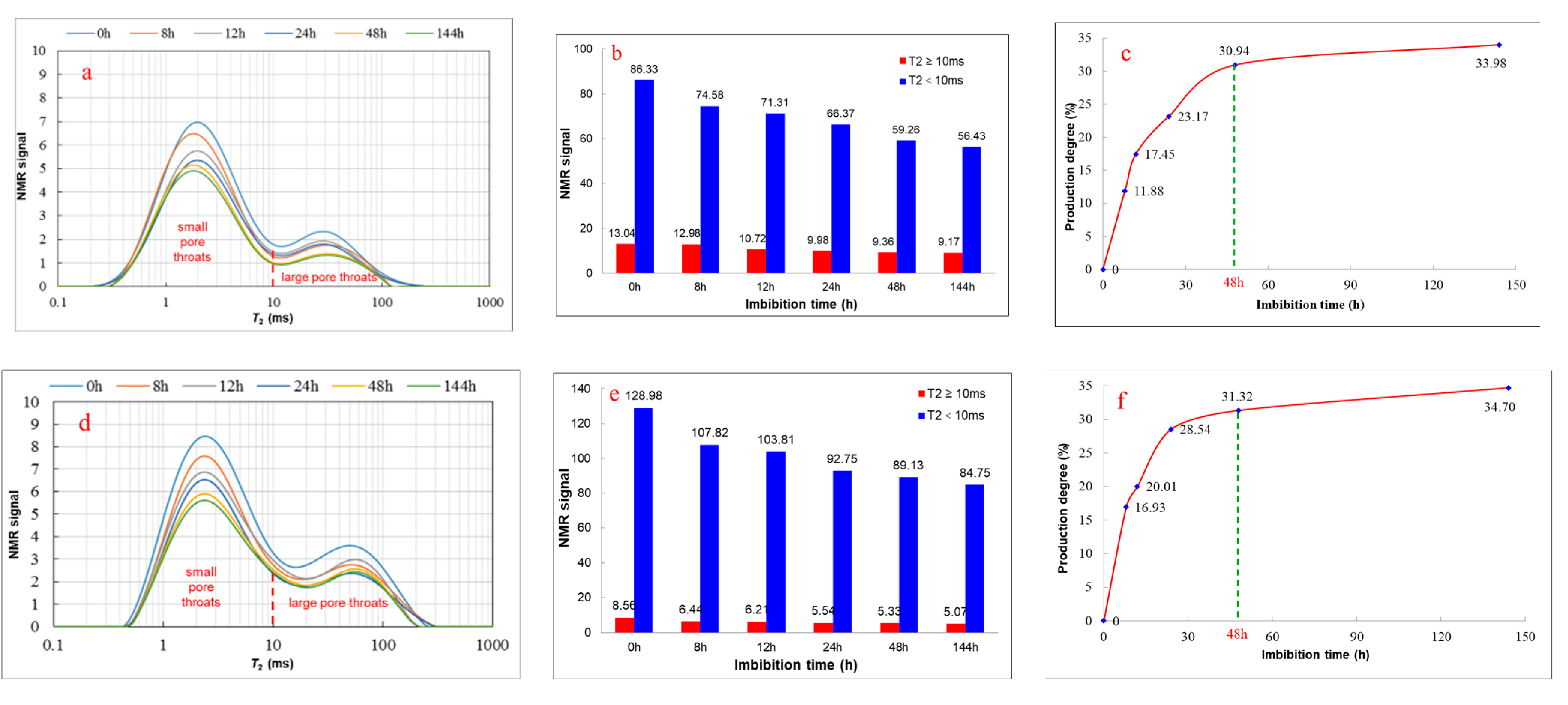
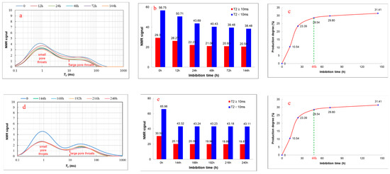
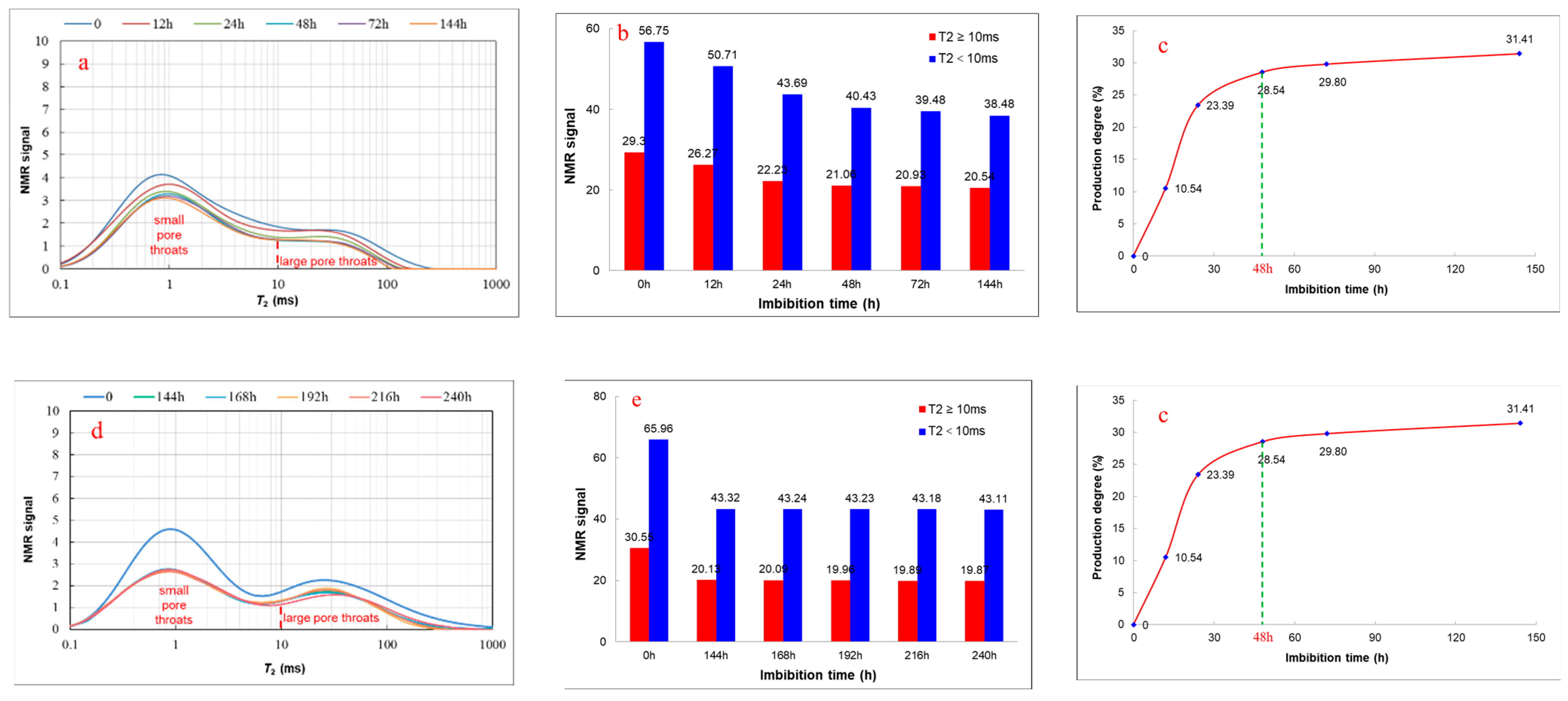
4.2. Oil Migration Rule of Imbibition Replacement
4.3. Comparison of Migration Rules
5. Conclusions
- For the low-permeability conglomerate reservoirs of the Mahu Sag, the microscopic pore structure and argillaceous content are the main controlling factors for the migration rule of crude oil in the pore space. The high argillaceous content and strong water sensitivity of clay minerals can lead to blockage of local small pores, reduction of infiltration channels and decrease of imbibition recovery in small pores.
- The oil migration rules vary from reservoir to reservoir. For type I reservoirs, the two methods mainly produce crude oil in pore throats with radii greater than 0.1 μm. For the other three types of reservoirs, centrifugal displacement has a higher production degree of crude oil in pore throats with radii greater than 0.1 μm, while imbibition replacement has a higher production degree of crude oil in pore throats with radii of 0.02–0.1 μm. Crude oil in pore throats with a radius less than 0.02 μm cannot be used.
- The NMR results of centrifugal displacement and imbibition replacement show that for the low-permeability conglomerate reservoir of Mahu Sag, the combination of displacement and soaking can effectively produce crude oil in the full-scale pore throats of the reservoir and improve the ultimate recovery of the reservoir. Considering the technical feasibility and economic rationality, the best soaking time is 3–5 days.
Author Contributions
Funding
Data Availability Statement
Acknowledgments
Conflicts of Interest
References
- Wang, Y.; Jia, C.; Zhao, Z.; Zhao, W.; Du, J.; He, H.; Hu, S.; Guo, X.; Zhang, Y.; Li, G. Decision management and implementation results of China petroleum risk exploration project. China Pet. Explor. 2021, 26, 109925. [Google Scholar] [CrossRef]
- Jia, C.; Zheng, M.; Zhang, Y. Unconventional oil and gas resources and exploration and development prospects in China. Pet. Explor. Dev. 2012, 39, 129–136. [Google Scholar] [CrossRef]
- Tang, Y.; Guo, W.; Wang, X.; Bao, H.; Wu, H. Breakthrough and Enlightenment in the exploration of conglomerate oil area in Mahu Sag. Xinjiang Pet. Geol. 2019, 40, 11. [Google Scholar] [CrossRef]
- Li, S.; Huang, X.; Xiao, Y.; Zheng, Z.; Liu, L. Upgrading standard of controlled reserves of medium and deep low permeability sandy conglomerate reservoir in Jiyang depression, Bohai Bay Basin. Pet. Geol. Exp. 2021, 43, 184–192. [Google Scholar] [CrossRef]
- Wen, H.; Geng, D.; Ma, S.; Cong, L.; Yang, C. Diagenesis of the deep conglomerate reservoir in Ying 4 member of Xujiaweizi fault depression. Sci. Technol. Eng. 2011, 11, 11–14. [Google Scholar] [CrossRef]
- Tang, Y.; Cao, J.; Chen, G.; Chen, J.; Tao, K. Accumulation mechanism and enrichment rules of the continuous hydrocarbon plays in the Lower Triassic Baikouquan Formation of the Mahu Sag, Junggar Basin. Nat. Gas Geosci. 2016, 27, 241–250. [Google Scholar]
- Li, J.; Tang, Y.; Wu, T.; Zhao, J.; Wu, H.; Wu, W.; Bai, Y. Overpressure genesis and hydrocarbon accumulation effect in conglomerate large oil area in Mahu sag, Junggar Basin. Pet. Explor. Dev. 2020, 47, 679–690. [Google Scholar] [CrossRef]
- Zhi, D. Discovery and reservoir forming mechanism of quasi-continuous high efficiency reservoir in Baikouquan formation, Mahu Sag. Xinjiang Pet. Geol. 2016, 37, 373–382. [Google Scholar] [CrossRef]
- Zhang, C.; Yin, T.; Tang, Y.; Guo, X.; Zhao, K.; Pan, J.; Chen, M. Advances in sedimentological reservoir research in Mahu sag and northwest margin of Junggar Basin. J. Paleogeography 2020, 22, 129–146. [Google Scholar] [CrossRef]
- Lei, D.; Liu, H.; Chen, G.; Li, X.; Abulimit; Tao, K.; Cao, J. Study on formation conditions and exploration direction of large oil (gas) area in Mahu sag, Junggar Basin. Acta Geol. Sin. 2017, 91, 1604–1619. [Google Scholar]
- Xiao, B.; Wang, W.; Zhang, X.; Long, G.; Fan, J.; Chen, H.; Deng, L. A novel fractal solution for permeability and Kozeny-Carman constant of fibrous porous media made up of solid particles and porous fibers. Powder Technol. 2019, 349, 92–98. [Google Scholar] [CrossRef]
- Liang, M.; Fu, C.; Xiao, B.; Luo, L.; Wang, Z. A fractal study for the effective electrolyte diffusion through charged porous media. Int. J. Heat Mass Transf. 2019, 137, 365–371. [Google Scholar] [CrossRef]
- Wang, F.; Wang, L. Pore structure analysis and permeability prediction of shale oil reservoirs with HPMI and NMR: A case study of the Permian Lucaogou Formation in the Jimsar Sag, Junggar Basin, NW China. J. Pet. Sci. Eng. 2022, 214, 110503. [Google Scholar] [CrossRef]
- Zhou, Y.; Wu, S.T.; Li, Z.P.; Zhu, R.K.; Xie, S.Y.; Zhai, X.F.; Lei, L. Investigation of Microscopic Pore Structure and Permeability Prediction in Sand-Conglomerate Reservoirs. J. Earth Sci. 2021, 32, 818–827. [Google Scholar] [CrossRef]
- Gao, H.; Sun, W.; Lu, Y.; Tian, Y.; Ren, G. Experimental study on oil-water micro seepage channel and displacement characteristics of ultra-low permeability sandstone reservoir--Taking Yanchang Formation in Ordos Basin as an example. Pet. Geol. Recovery Effic. 2011, 18, 58–62. [Google Scholar] [CrossRef]
- Quan, H.; Zhu, Y.; Zhang, H.; Li, L.; Shao, F.; Zhang, Z. Reservoir pore structure and micro-flow characteristics of waterflooding: A case study of Chang-6 reservoir of Wangyao block in Ansai Oilfield. Oil Gas Geol. 2011, 32, 952–960. [Google Scholar] [CrossRef]
- Zhu, X.; Zhang, X.; Shan, S. Study on the adaptability of core NMR experiment to low porosity and low permeability carbonate reservoir. Chin. J. Magn. Reson. 2020, 37, 349–359. [Google Scholar]
- Wu, J.; Mu, L.; Ren, D.; Liu, J.; Hui, H.; Wang, Z. Experimental Study of Imbibition Within Core Chips of Shale in Ordos Basin. Front. Phys. 2022, 10, 833497. [Google Scholar] [CrossRef]
- Qian, K.; Huang, Y.; He, Y.; Dou, X.; Wu, X. Experimental Study on the Oil Recovery Performance of CO2 Huff-and-Puff Process in Fractured Tight Oil Reservoirs. Geofluids 2022, 2022, 6193082. [Google Scholar] [CrossRef]
- Li, L.; Hao, Y.; Lv, Y.; Wang, C.; Yao, C.; Zhao, Q.; Xiao, P. Experimental investigation on low-velocity seepage characteristics and influencing factors in a shale oil reservoir. J. Pet. Sci. Eng. 2020, 195, 107732. [Google Scholar] [CrossRef]
- Zhang, L.; Liu, X.; Zhao, Y.; Zhou, Y.; Shan, B. Effect of pore throat structure on micro-scale seepage characteristics of tight gas reservoirs. Nat. Gas Ind. B 2020, 7, 160–167. [Google Scholar] [CrossRef]
- Markussen, O.; Dypvik, H.; Hammer, E.; Long, H.L.; Hammer, O. 3D characterization of porosity and authigenic cementation in Triassic conglomerates/arenites in the Edvard Grieg field using 3D micro-CT imaging. Mar. Pet. Geol. 2019, 99, 265–281. [Google Scholar] [CrossRef]
- Xiao, D.; Lu, S.; Lu, Z.; Huang, W.; Gu, M. Combining nuclear magnetic resonance and rate-controlled porosimetry to probe the pore-throat structure of tight sandstones. Pet. Explor. Dev. 2016, 43, 961–970. [Google Scholar] [CrossRef]
- Pang, S.; Mei, Q.; Zhang, H.; Wang, H.; Sun, T.; Guan, P.; Shi, Y. Characteristics of Reservoir Pore Size Distribution Based on Thin Section and Rate-controlled Mercury Injection and Its Differential Mechanisms: An Example of Chang-2 Reservoir of Yanchang Formation in a Block of Ordos Basin. Acta Sci. Nat. Univ. Pekin. 2019, 55, 907–914. [Google Scholar] [CrossRef]
- Liu, Z.Y.; Li, Y.Q.; Lv, J.R.; Li, B.H.; Chen, Y.H. Optimization of polymer flooding design in conglomerate reservoirs. J. Pet. Sci. Eng. 2017, 152, 267–274. [Google Scholar] [CrossRef]
- Zhang, L.; Song, X.; Du, Y.; Lu, S.; Xiao, D.; Jiang, S.; Chen, X.; Zhang, R.; Yu, R. The upper and lower limits and grading evaluation of the Shahezi tight gas reservoirs in the Xujiaweizi Rift, northern Songliao Basin: Implications from microscopic pore structures. J. Pet. Sci. Eng. 2022, 212, 110224. [Google Scholar] [CrossRef]
- Kuang, Y.; Sima, L.; Qu, J.; Wen, D.; Chen, M.; Wu, F. Influencing factors and quantitative evaluation for pore structure of tight glutenite reservoir: A case of the Triassic Baikouquan Formation in Ma 131 well field, Mahu Sag. Lithol. Reserv. 2017, 29, 92–100. [Google Scholar] [CrossRef]
- Du, M.; Xiang, Y.; Jia, N.; Lv, W.; Zhang, J.; Zhang, D. Pore structure characteristics of tight glutenite reservoirs of Baikouquan Formation in Mahu Sag. Lithol. Reserv. 2021, 32, 120–131. [Google Scholar] [CrossRef]
- Fu, Y.; Liu, Y.; Jiang, Y.; Yang, Z.; Yang, Y.; Yue, Z.; Qiao, J.; Song, S. The pore structure of Triassic conglomerate in baikouhu depression, Northwestern Junggar Basin. Northwestern Geol. 2020, 53, 223–234. [Google Scholar]
- Xie, R.; Xiao, L.; Wang, Z.; Dunn, K.J. The influence factors of NMR logging porosity in complex fluid reservoir. Sci. China Ser. D-Earth Sci. 2008, 51, 212–217. [Google Scholar] [CrossRef]
- Tan, M.; Zhao, W. Description of carbonate reservoirs with NMR log analysis method. Prog. Geophys. 2006, 21, 489–493. [Google Scholar] [CrossRef]
- Solatpour, R.; Kantzas, A. Application of nuclear magnetic resonance permeability models in tight reservoirs. Can. J. Chem. Eng. 2019, 97, 1191–1207. [Google Scholar] [CrossRef]
- Fan, Z.; Hou, J.; Xing, D.; Ge, X.; Zhang, F. Core NMR experiments for low permeability reservoir and its field application. J. China Univ. Pet. 2019, 43, 53–59. [Google Scholar] [CrossRef]
- Zhang, J.; Tan, F.; Wang, X.; Qin, M.; Li, X.; Tan, L. Displacement Law of Crude Oil in Microscopic pores under Different Oil Displacement Modes: Taking Badaowan Formation in Well Block 530 of Karamay Oilfield as an Example. J. Xi’an Shiyou Univ. 2022, 37, 58–65. [Google Scholar]
- Lu, Y.; Liu, K.; Wang, Y. Applying NMR T2 Spectral Parameters in Pore Structure Evaluation-An Example from an Eocene Low-Permeability Sandstone Reservoir. Appl. Sci. 2021, 11, 8027. [Google Scholar] [CrossRef]
- Bai, S.; Cheng, D.; Wan, J.; Yang, L.; Peng, H.; Guo, X.; Zeng, J. Quantitative characterization of sandstone NMR T2 spectrum. Acta Pet. Sin. 2016, 37, 382–391, 414. [Google Scholar] [CrossRef]
- Mukhametdinova, A.; Habina-Skrzyniarz, I.; Kazak, A.; Krzyżak, A. NMR relaxometry interpretation of source rock liquid saturation—A holistic approach. Mar. Pet. Geol. 2021, 132, 105165. [Google Scholar] [CrossRef]
- Zhao, Y.; Lin, B.; Liu, T.; Zheng, Y.; Sun, Y.; Zhang, G.; Li, Q. Multifractal analysis of coal pore structure based on NMR experiment: A new method for predicting T2 cutoff value. Fuel 2021, 283, 119338. [Google Scholar] [CrossRef]
- Xiao, M.; Yuan, X.; Wu, S.; Cao, Z.; Tang, Y.; Xie, Z.; Wang, R. Conglomerate reservoir characteristics and main controlling factors of Baikouquan formation in Mahu sag, Junggar Basin. Earth Sci. Front. 2019, 26, 212–224. [Google Scholar] [CrossRef]
- Qian, H.; You, X.; Wei, Y.; Bai, Y.; Wu, J. New understanding of Baikouquan formation in Madong area and its significance for oil and gas exploration. J. Southwest Pet. Univ. 2020, 42, 27–36. [Google Scholar] [CrossRef]
- Xi, K.; Cao, Y.; Haile, B.G.; Zhu, N.; Liu, K.; Wu, S.; Hellevang, H. Diagenetic variations with respect to sediment composition and paleo-fluids evolution in conglomerate reservoirs: A case study of the Triassic Baikouquan Formation in Mahu Sag, Junggar Basin, Northwestern China. J. Pet. Sci. Eng. 2021, 197, 107943. [Google Scholar] [CrossRef]
- Gao, H.; Li, H. Determination of movable fluid percentage and movable fluid porosity in ultra-low permeability sandstone using nuclear magnetic resonance (NMR) technique. J. Pet. Sci. Eng. 2015, 133, 258–267. [Google Scholar] [CrossRef]
- Huo, Y. Application of nuclear magnetic resonance technology in fluid saturation analysis of tight oil reservoir. West-China Explor. Eng. 2018, 30, 4. [Google Scholar]
- Zheng, K.; Xu, H.; Chen, J.; Wang, Y. Movable Fluid Study of Low Permeability Reservoir with Nuclear Magnetic Resonance Technology. Geoscience 2013, 27, 710–718. [Google Scholar] [CrossRef]
- Wu, H.; Cao, K.; Zhao, F. NMR experimental study of movable fluid saturation in low permeability sedimentary rocks. Nat. Gas Geosci. 2021, 32, 457–463. [Google Scholar] [CrossRef]
- Li, H.; Guo, H.; Wang, X.; He, J.; Sun, Y.; Xu, F. Effect of core wettability on NMR movable fluid T2 Effect of cut-off value. J. Xi’an Shiyou Univ. 2015, 30, 43–47. [Google Scholar] [CrossRef]
- Li, H.; Zhu, J.; Guo, H. Methods for Calculating Pore Radius Distribution in Rock from NMR T2 Spectra. Chin. J. Magn. Reson. 2008, 25, 273–279. [Google Scholar] [CrossRef]
- Xiao, L.; Li, J.; Mao, Z.; Lu, J.; Yu, H.; Guo, H.; Li, G. A method to determine nuclear magnetic resonance (NMR) T(2)cutoff based on normal distribution simulation in tight sandstone reservoirs. Fuel 2018, 225, 472–482. [Google Scholar] [CrossRef]
- Castro, C.; Rosillo, C.; Tsutsui, H. Characterizing effects of humidity and channel size on imbibition in paper-based microfluidic channels. Microfluid. Nanofluidics 2017, 21, 21. [Google Scholar] [CrossRef]
- Singh, K.; Jung, M.; Brinkmann, M.; Seemann, R. Capillary-Dominated Fluid Displacement in Porous Media. Annu. Rev. Fluid Mech. 2019, 51, 429–449. [Google Scholar] [CrossRef]
- Hatiboglu, C.U.; Babadagli, T. Oil recovery by counter-current spontaneous imbibition: Effects of matrix shape factor, gravity, IFT, oil viscosity, wettability, and rock type. J. Pet. Sci. Eng. 2007, 59, 106–122. [Google Scholar] [CrossRef]
















| Type | Porosity (%) | Permeability (mD) | Argillaceous Content (%) | Displacement Pressure (MPa) | Maximum Throat Radius (μm) | Median Pressure (MPa) | Median Radius (μm) | Average Capillary Radius (μm) | Saturated Pore Volume (%) | Mercury Removal Efficiency (%) |
|---|---|---|---|---|---|---|---|---|---|---|
| Type I | 9.98 | 2.91 | <2 | 0.16 | 35.8 | 0.5 | 1.12 | 1.42 | 77.5 | 21.6 |
| Type II | 9.47 | 1.61 | 2–5 | 0.2 | 8.96 | 1.8 | 0.58 | 0.92 | 78.4 | 19.4 |
| Type III | 7.97 | 1.30 | 5–8 | 0.32 | 4.59 | 10.1 | 0.26 | 0.51 | 66.3 | 16.4 |
| Type IV | 5.37 | 0.28 | >8 | 0.36 | 2.32 | 11.2 | 0.14 | 0.29 | 60.4 | 15.2 |
| Experimental Method | Sample | Type | Gas Porosity (%) | Gas Permeability (mD) | Diameter (cm) | Length (cm) | Dry Weight (g) |
|---|---|---|---|---|---|---|---|
| Centrifugal displacement | CD-1 | Type III | 7.4 | 0.916 | 2.49 | 4.16 | 47.45 |
| CD-2 | Type II | 9.5 | 1.271 | 2.46 | 3.51 | 44.76 | |
| CD-3 | Type I | 10.8 | 2.289 | 2.54 | 3.79 | 45.63 | |
| CD-4 | Type I | 10.5 | 2.274 | 2.55 | 4.08 | 46.96 | |
| CD-5 | Type II | 9.4 | 1.268 | 2.54 | 4.12 | 47.15 | |
| CD-6 | Type III | 7.6 | 0.923 | 2.49 | 3.95 | 46.48 | |
| CD-7 | Type II | 9.8 | 1.275 | 2.54 | 4.06 | 47.08 | |
| CD-8 | Type III | 7.2 | 0.931 | 2.51 | 3.83 | 46.16 | |
| CD-9 | Type VI | 5.8 | 0.285 | 2.49 | 4.16 | 47.27 | |
| CD-10 | Type I | 10.9 | 2.296 | 2.54 | 3.17 | 42.85 | |
| Imbibition replacement | IR-01 | Type II | 9.5 | 2.272 | 2.39 | 8.03 | 90.43 |
| IR-02 | Type III | 7.3 | 0.928 | 2.49 | 7.08 | 79.34 | |
| IR-04 | Type VI | 6.0 | 0.290 | 2.36 | 7.71 | 90.91 | |
| IR-05 | Type VI | 5.7 | 0.281 | 2.41 | 7.12 | 85.52 | |
| IR-07 | Type I | 10.7 | 2.290 | 2.40 | 7.80 | 90.39 | |
| IR-10 | Type II | 9.2 | 1.268 | 2.48 | 7.31 | 85.02 |
| Formation Water | |||||||
|---|---|---|---|---|---|---|---|
| Water type | Total salinity (mg/L) | Main ion mineralization (mg/L) | |||||
| Na+ + K+ | Mg2+ | Ca2+ | SO42− | Cl− | HCO3− | ||
| CaCl2 | 11,047.4 | 3054.2 | 38.5 | 1055.3 | 105.5 | 6295.1 | 538.9 |
| Crude oil | |||||||
| Density (g/cm3) | Viscosity at 50 °C (MPa·s) | Wax content (%) | Freezing point (°C) | Initial boiling point (°C) | |||
| 0.827 | 8.6 | 8.2 | 16.6 | 137.2 | |||
| Reservoir Type | Sample | Argillaceous Content (%) | Permeability (mD) | Porosity (%) | Oil Bearing Ratio of Small Pores (%) | Production Degree of Crude Oil in Small Pores (%) | Production Degree of Crude Oil in Large Pores (%) | Imbibition Recovery (%) |
|---|---|---|---|---|---|---|---|---|
| Type I | IR-07 | <2 | 9.320 | 10.2 | 33.05 | 6.07 | 17.14 | 23.21 |
| Type II | IR-01 | 2–5 | 8.400 | 9.5 | 77.02 | 30.09 | 3.89 | 33.98 |
| Type II | IR-10 | 2–5 | 6.240 | 8.9 | 67.69 | 32.16 | 2.54 | 34.70 |
| Type III | IR-02 | 5–8 | 1.320 | 9.2 | 76.23 | 32.86 | 2.44 | 35.30 |
| Type IV | IR-04 | >8 | 1.010 | 8.2 | 76.12 | 21.23 | 10.18 | 31.41 |
| Type IV | IR-05 | >8 | 0.154 | 10 | 67.29 | 23.92 | 11.07 | 34.99 |
| Type | Method | Production Degree of Crude Oil (%) | ||
|---|---|---|---|---|
| <0.02 μm | 0.1~0.02 μm | >0.1 μm | ||
| Type I | Centrifugal displacement | 0 | 28.19 | 67.7 |
| Imbibition replacement | 0 | 6.07 | 17.14 | |
| Type II | Centrifugal displacement | 0 | 15.8 | 71.69 |
| Imbibition replacement | 0 | 31.12 | 3.22 | |
| Type III | Centrifugal displacement | 0 | 10.2 | 72.69 |
| Imbibition replacement | 0 | 32.86 | 2.44 | |
| Type IV | Centrifugal displacement | 0 | 16.95 | 74.41 |
| Imbibition replacement | 0 | 22.58 | 10.62 | |
Publisher’s Note: MDPI stays neutral with regard to jurisdictional claims in published maps and institutional affiliations. |
© 2022 by the authors. Licensee MDPI, Basel, Switzerland. This article is an open access article distributed under the terms and conditions of the Creative Commons Attribution (CC BY) license (https://creativecommons.org/licenses/by/4.0/).
Share and Cite
Tan, F.-Q.; Ma, C.-M.; Zhang, X.-Y.; Zhang, J.-G.; Tan, L.; Zhao, D.-D.; Li, X.-K.; Jing, Y.-Q. Migration Rule of Crude Oil in Microscopic Pore Throat of the Low-Permeability Conglomerate Reservoir in Mahu Sag, Junggar Basin. Energies 2022, 15, 7359. https://doi.org/10.3390/en15197359
Tan F-Q, Ma C-M, Zhang X-Y, Zhang J-G, Tan L, Zhao D-D, Li X-K, Jing Y-Q. Migration Rule of Crude Oil in Microscopic Pore Throat of the Low-Permeability Conglomerate Reservoir in Mahu Sag, Junggar Basin. Energies. 2022; 15(19):7359. https://doi.org/10.3390/en15197359
Chicago/Turabian StyleTan, Feng-Qi, Chun-Miao Ma, Xu-Yang Zhang, Ji-Gang Zhang, Long Tan, Dan-Dan Zhao, Xian-Kun Li, and Yu-Qian Jing. 2022. "Migration Rule of Crude Oil in Microscopic Pore Throat of the Low-Permeability Conglomerate Reservoir in Mahu Sag, Junggar Basin" Energies 15, no. 19: 7359. https://doi.org/10.3390/en15197359
APA StyleTan, F.-Q., Ma, C.-M., Zhang, X.-Y., Zhang, J.-G., Tan, L., Zhao, D.-D., Li, X.-K., & Jing, Y.-Q. (2022). Migration Rule of Crude Oil in Microscopic Pore Throat of the Low-Permeability Conglomerate Reservoir in Mahu Sag, Junggar Basin. Energies, 15(19), 7359. https://doi.org/10.3390/en15197359

