Seismic Anisotropic Fluid Identification in Fractured Carbonate Reservoirs
Abstract
1. Introduction
2. Materials and Methods
2.1. Linearied PP-Wave Reflection Coefficient and Azimuthal EI including FFI
2.2. Bayesian EIVAZ Inversion for Direct Estimate of FFI
3. Examples
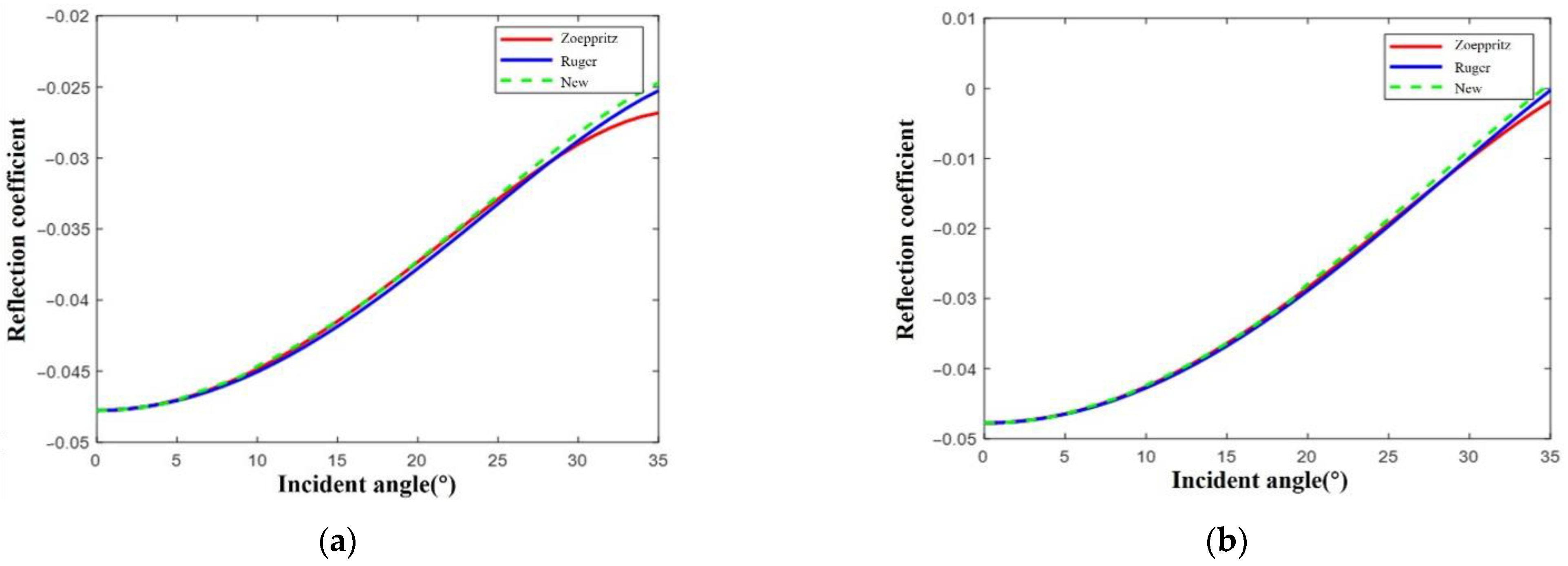
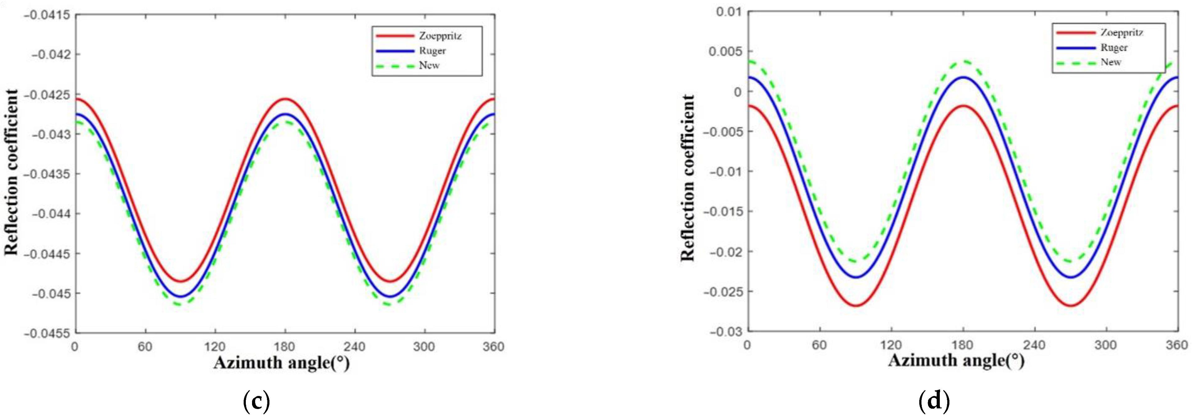
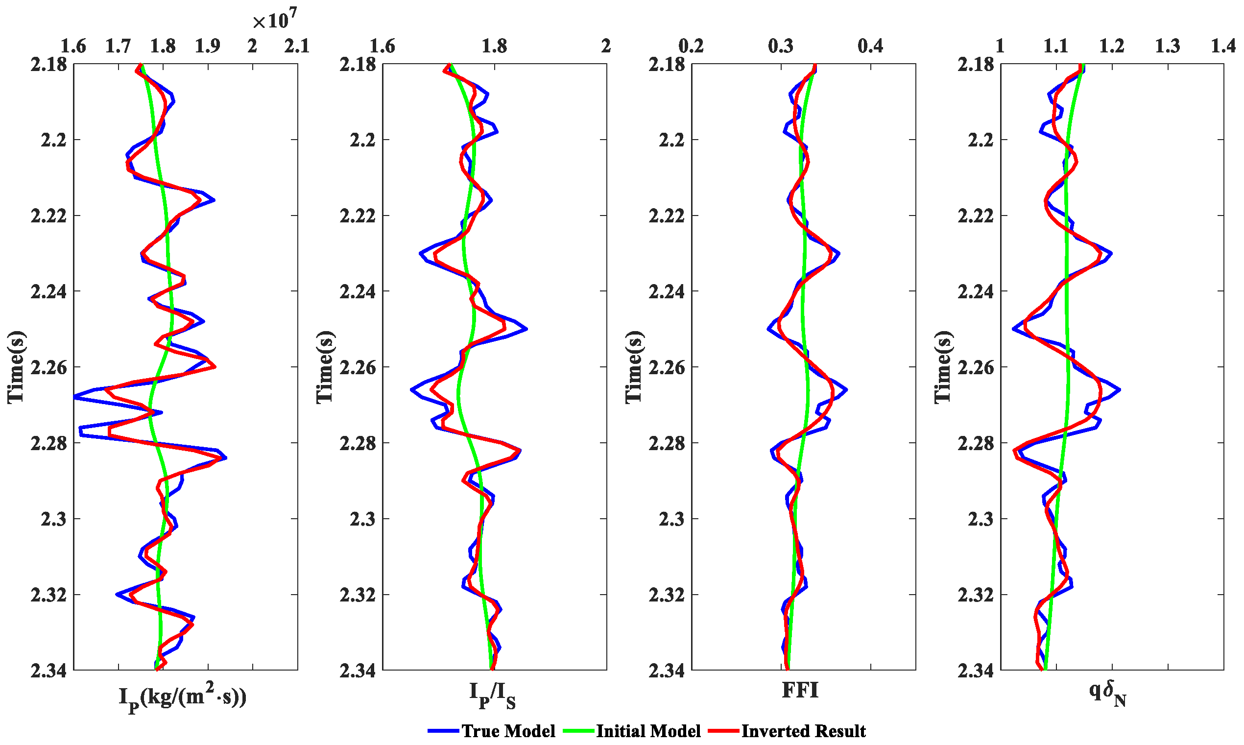
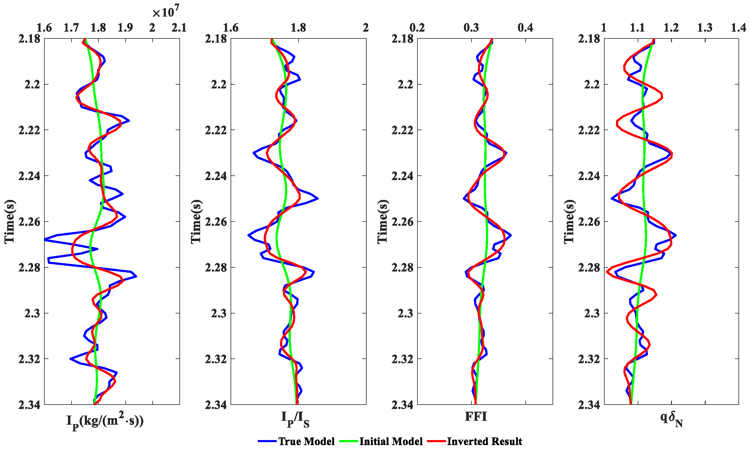
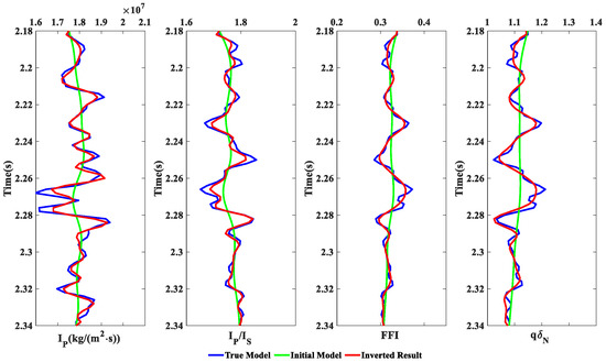
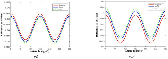
3.1. Synthetic Example
3.2. Field Data Example
4. Conclusions
Author Contributions
Funding
Institutional Review Board Statement
Informed Consent Statement
Data Availability Statement
Acknowledgments
Conflicts of Interest
References
- Ostrander, W.J. Plane-wave reflection coefficients for gas sands at nonnormal angles of incidence. Explor. Geophys. 1984, 15, 193. [Google Scholar] [CrossRef]
- Rutherford, S.R.; Williams, R.H. Amplitude-versus-offset variations in gas sands. Geophysics 1989, 54, 680–688. [Google Scholar] [CrossRef]
- Castagna, J.P.; Swan, H.W.; Foster, D.J. Frame work for AVO gradient and intercept interpretation. Geophysics 1998, 63, 948–956. [Google Scholar] [CrossRef]
- Chen, F.B.; Zong, Z.Y.; Jiang, M. Seismic reflectivity and transmissivity parameterization with the effect of normal in-situ stress. Geophys. J. Int. 2021, 226, 1599–1614. [Google Scholar] [CrossRef]
- Smith, G.C.; Gidlow, P.M. Weighted stacking for rock property estimation and detection of gas. Geophys. Prospect. 1987, 35, 993–1014. [Google Scholar] [CrossRef]
- Goodway, B.; Chen, T.; Downton, J. Improved AVO fluid detection and lithology discrimination using Lamé petrophysical parameters; “λρ”,“μρ”, & “λ/μ fluid stack”, from P and S inversions. In SEG Technical Program Expanded Abstracts; Society of Exploration Geophysicists: Tulsa, OK, USA, 1997; pp. 183–186. [Google Scholar] [CrossRef]
- Gray, D. Elastic inversion for Lame parameters. In SEG Technical Program Expanded Abstracts, Proceedings of the SEG 72th Annual Meeting, Salt Lake City, UT, USA, 6–11 October 2002; Society of Exploration Geophysicists: Tulsa, OK, USA, 2002; pp. 213–216. [Google Scholar] [CrossRef]
- Russell, B.H.; Hedlin, K.; Hilterman, F.J.; Lines, L.R. Fluid-property discrimination with AVO: A Biot-Gassmann perspective. Geophysics 2003, 68, 29–39. [Google Scholar] [CrossRef]
- Russell, B.H.; Gray, D.; Hampson, D.P. Linearized AVO and poroelasticity. Geophysics 2011, 76, C19–C29. [Google Scholar] [CrossRef]
- Zhang, S.X. Methodology and Application of Fluid Identification with Seismic Information. Ph.D. Thesis, China University of Petroleum (East China), Qingdao, China, 2012. [Google Scholar]
- Yin, X.Y.; Zhang, S.X. Bayesian inversion for effective pore-fluid bulk modulus based on fluid-matrix decoupled amplitude variation with offset approximation. Geophysics 2014, 79, R221–R232. [Google Scholar] [CrossRef]
- Chen, F.B.; Zong, Z.Y.; Yin, X.Y. Acoustothermoelasticity for joint effects of stress and thermal fields on wave dispersion and attenuation. J. Geophys. Res. Solid Earth 2022, 127, e2021JB023671. [Google Scholar] [CrossRef]
- Zhang, J.L. Research and Application of Reservoir and Fluid Prediction Technique in Carbonate. Ph.D. Thesis, China University of Geosciences (Beijing), Beijing, China, 2014. [Google Scholar]
- Rüger, A. P-wave reflection coefficients for transversely isotropic models with vertical and horizontal axis of symmetry. Geophysics 1997, 62, 713–722. [Google Scholar] [CrossRef]
- Schoenberg, M.; Sayers, C.M. Seismic anisotropy of fractured rock. Geophysics 1995, 60, 204–211. [Google Scholar] [CrossRef]
- Pan, X.P.; Zhang, G.Z. Fracture detection and fluid identification based on anisotropic Gassmann equation and linear-slip model. Geophysics 2019, 84, R85–R98. [Google Scholar] [CrossRef]
- Pan, X.P.; Zhang, G.Z.; Yin, X.Y. Azimuthally anisotropic elastic impedance inversion for fluid indicator driven by rock physics. Geophysics 2017, 82, C211–C227. [Google Scholar] [CrossRef]
- Chen, H.Z.; Ji, Y.X.; Innanen, K.A. Estimation of modified fluid indicator and dry fracture weaknesses using azimuthal elastic impedance. Geophysics 2018, 83, WA73–WA88. [Google Scholar] [CrossRef]
- Golsanami, N.; Jayasuriya, M.N.; Yan, W.C.; Fernando, S.G.; Liu, X.; Cui, L.; Zhang, X.; Yasin, Q.; Dong, H.; Dong, X. Characterizing clay textures and their impact on the reservoir using deep learning and Lattice-Boltzmann simulation applied to SEM images. Energy 2022, 240, 122599. [Google Scholar] [CrossRef]
- Li, L.; Zhang, G.Z.; Liu, J.Z.; Han, L.; Zhang, J.J. Estimation of fracture density and orientation from azimuthal elastic impedance difference through singular value decomposition. Pet. Sci. 2021, 18, 1675–1688. [Google Scholar] [CrossRef]
- Li, L.; Zhang, G.Z.; Pan, X.P.; Liu, J.X. Estimating Effective Stress Parameter and Fracture Parameters in Shale-Gas Fractured Reservoirs Using Azimuthal Fourier Coefficients. Surv. Geophys. 2021, 42, 1377–1400. [Google Scholar] [CrossRef]
- Pan, X.P.; Zhao, Z.Z.; Zhou, S.X.; Zhao, X.L.; Xu, K.; Ge, Z.J.; Zhang, G.Z.; Liu, J.X. Detection of natural tilted fractures from azimuthal seismic amplitude data based on linear-slip theory. IEEE Trans. Geosci. Remote Sens. 2021, 60, 5907414. [Google Scholar] [CrossRef]
- Pan, X.P.; Lu, C.X.; Zhang, G.Z.; Pu, W.; Liu, J.X. Seismic Characterization of Naturally Fractured Reservoirs with Monoclinic Symmetry Induced by Horizontal and Tilted Fractures from Amplitude Variation with Offset and Azimuth. Surv. Geophys. 2022, 43, 815–851. [Google Scholar] [CrossRef]
- Chen, H.Z.; Zhang, G.Z. Estimation of dry fracture weakness, porosity, and fluid modulus using observable seismic reflection data in a gas-bearing reservoir. Surv. Geophys. 2017, 38, 651–678. [Google Scholar] [CrossRef]
- Pan, X.P.; Zhang, G.Z. Estimation of fluid indicator and dry fracture compliances using azimuthal seismic reflection data in a gas-saturated fractured reservoir. J. Pet. Sci. Eng. 2018, 167, 737–751. [Google Scholar] [CrossRef]
- Pan, X.P.; Zhang, G.Z.; Cui, Y. Matrix-fluid-fracture decoupled-based elastic impedance variation with angle and azimuth inversion for fluid modulus and fracture weaknesses. J. Pet. Sci. Eng. 2020, 189, 106974. [Google Scholar] [CrossRef]
- Li, L.; Zhang, G.Z.; Pan, X.P.; Guo, X.L.; Zhang, J.J.; Zhou, Y.; Lin, Y. Anisotropic Poroelasticity and AVAZ Inversion for in Situ Stress Estimate in Fractured Shale-Gas Reservoirs. IEEE Trans. Geosci. Remote Sens. 2022, 60, 5911113. [Google Scholar] [CrossRef]
- Thomsen, L. Weak elastic anisotropy. Geophysics 1986, 51, 1954–1966. [Google Scholar] [CrossRef]
- Connolly, P. Elastic impedance. Lead. Edge 1999, 18, 438–452. [Google Scholar] [CrossRef]
- Martins, J.L. Elastic impedance in weakly anisotropic media. Geophysics 2006, 71, D73–D83. [Google Scholar] [CrossRef]
- Bakulin, A.; Grechka, V.; Tsvankin, I. Estimation of fracture parameters from reflection seismic data—Part I: HTI model due to a single fracture set. Geophysics 2000, 65, 1788–1802. [Google Scholar] [CrossRef]
- Chen, F.B.; Zong, Z.Y.; Yang, Y.M.; Gu, X.Y. Amplitude-variation-with-offset inversion using P- to S-wave velocity ratio. Geophysics 2022, 87, N63–N74. [Google Scholar] [CrossRef]
- Ulrych, T.J.; Sacchi, M.D.; Woodbury, A. A Bayes tour of inversion: A tutorial. Geophysics 2001, 66, 55–69. [Google Scholar] [CrossRef]
- Buland, A.; Omre, H. Bayesian linearized AVO inversion. Geophysics 2003, 68, 185–198. [Google Scholar] [CrossRef]

















| Medium | ||||||
|---|---|---|---|---|---|---|
| Isotropic overburden | 4762 | 2724 | 2799 | 0 | 0 | 0 |
| HTI medium | 4542 | 2566 | 2667 | −0.113 | −0.275 | 0.167 |
Publisher’s Note: MDPI stays neutral with regard to jurisdictional claims in published maps and institutional affiliations. |
© 2022 by the authors. Licensee MDPI, Basel, Switzerland. This article is an open access article distributed under the terms and conditions of the Creative Commons Attribution (CC BY) license (https://creativecommons.org/licenses/by/4.0/).
Share and Cite
Guo, X.; Yan, B.; Zeng, J.; Zhang, G.; Li, L.; Zhou, Y.; Yang, R. Seismic Anisotropic Fluid Identification in Fractured Carbonate Reservoirs. Energies 2022, 15, 7184. https://doi.org/10.3390/en15197184
Guo X, Yan B, Zeng J, Zhang G, Li L, Zhou Y, Yang R. Seismic Anisotropic Fluid Identification in Fractured Carbonate Reservoirs. Energies. 2022; 15(19):7184. https://doi.org/10.3390/en15197184
Chicago/Turabian StyleGuo, Xiaolong, Bin Yan, Juyi Zeng, Guangzhi Zhang, Lin Li, You Zhou, and Rui Yang. 2022. "Seismic Anisotropic Fluid Identification in Fractured Carbonate Reservoirs" Energies 15, no. 19: 7184. https://doi.org/10.3390/en15197184
APA StyleGuo, X., Yan, B., Zeng, J., Zhang, G., Li, L., Zhou, Y., & Yang, R. (2022). Seismic Anisotropic Fluid Identification in Fractured Carbonate Reservoirs. Energies, 15(19), 7184. https://doi.org/10.3390/en15197184

