Next Article in Journal
A 1D-3D Coupling Model to Evaluate Hydropower Generation System Stability
Previous Article in Journal
Economic Dispatch of Power Retailers: A Bi-Level Programming Approach via Market Clearing Price
 
 
Font Type:
Arial Georgia Verdana
Font Size:
Aa Aa Aa
Line Spacing:
Column Width:
Background:
Article

Effects of Elastically Supported Boundaries on Flutter Characteristics of Thin-Walled Panels

1
College of Aeroengine, Shenyang Aerospace University, Shenyang 110136, China
2
Key Laboratory of Liaoning Province for Aircraft Composite Structural Analysis and Simulation, Shenyang Aerospace University, Shenyang 110136, China
*
Author to whom correspondence should be addressed.
Energies 2022, 15(19), 7088; https://doi.org/10.3390/en15197088
Submission received: 5 September 2022 / Revised: 23 September 2022 / Accepted: 25 September 2022 / Published: 27 September 2022

Abstract

:
In order to investigate flutter characteristics of thin-walled panels with elastically supported boundaries, a method for dealing with the stiffness matrix constraint relationship is developed based on penalty functions. Combined with the first-order piston theory, flutter velocities and frequencies of thin-walled panels with the different cases of elastically supported boundaries are calculated. Firstly, a thin-walled panel is discretized by the finite element method, and springs with real stiffness coefficients are introduced to simulate elastically supported boundaries. Then, the pressure difference between the outer and inner surfaces of the panel and modal aerodynamic expressions are obtained by introducing the first-order piston theory. Finally, flutter equations are obtained in the time domain by combining the structural dynamic equations with the modal aerodynamic forces. Subsequently, they are transformed to the frequency domain at the flutter state. Then, flutter characteristics of the panel are obtained using the U g method. The results show that the existence of elastically supported boundaries may reduce the flutter velocity and flutter frequency of the panel but can be enhanced and recovered through some appropriate damping configuration schemes. Calculating the flutter characteristics of thin-walled panels under elastically supported boundaries can more accurately simulate real supported situations and result in a safer design scheme for thin-walled panel structures.

1. Introduction

In the process of aircraft structural design and manufacturing, a large number of thin-walled panels are used, such as the skin of wings and fuselages and the rudder surface of missiles. Theoretically, these structures will only flutter in supersonic flow due to small support spacing. To save energy and improve structural functionality, newer aircraft structures tend to have lighter panels. The consequence is that panel flutter of the thin-walled structure of the aircraft is more and more frequent [1], which often causes vibration noise, fatigue damage and even fracture damage. Since the 1950s, the flutter problem of panels has been of high interest to scholars. In 2010, Dowell and Bendiksen [2] pointed out that subsonic airflow will not make general simply supported panels flutter, so the research on panel flutter is mainly carried out in the supersonic or even hypersonic range.
Usually, thin-walled panels are firmly connected to ribs, frames, stringers and other structural members through rivets and other connectors to realize the transmission of external aerodynamic loads. In the previous literature on flutter analysis of thin-walled panels, the connection stiffness between panels and supports is generally ignored and supported boundaries are simply idealized as simply supported boundaries. However, in fact, the strength and stiffness of the materials of the supports (ribs, frames, stringers, etc.) are also finite values, and the corresponding deformation will also occur under the action of aerodynamic loads. Thus, if the boundaries of the panel are still considered as being in a simply supported state, the obtained flutter characteristics of the panel will be inconsistent with the real situation. At this time, part or all of the panel boundaries should be replaced by elastically supported boundaries to simulate the more real aeroelastic characteristics of the thin-walled panel. In addition, during the use of aircraft structures, local rivets may also be loosened and cracked. At this time, elastically supported boundaries should also be used to replace the simply supported boundaries to calculate flutter characteristics.
In terms of vibration analysis of panels with elastically supported boundaries, Qu et al. [3] conducted steady-state and transient analysis of functionally graded rotating shells under arbitrary boundary conditions and studied the influence of material power-law distribution, boundary conditions and explosion load duration on the transient response of conical shell. In the framework of classical Kirchhoff plate theory, Chakraverty et al. [4] studied the free vibration of functionally graded rectangular plates subject to different sets of boundary conditions and discussed the effects of aspect ratio and volume composition on the mode shapes of functionally graded rectangular plates. Su et al. [5,6] combined the first-order shear deformation plate theory and used the modified Fourier–Ritz method to analyze the free vibration of a moderately thick functionally graded rectangular plate with elastic confinement. For arbitrary boundary conditions, a modified Fourier series was used to represent the displacement function of the laminated functionally graded plate. Daeseung et al. [7,8] used the hypothetical modal method to conduct free vibration analysis and forced vibration analysis of stiffened plates with arbitrary boundary constraints, respectively. Based on the Mindlin thick plate theory and Timoshenko beam theory, the influence of the combination of different reinforcement sizes, directions and boundary conditions on plate vibration were discussed.
At the same time, in terms of flutter analysis of panels with elastically supported boundaries, Zhang et al. [9] proposed a method to increase the flutter critical dynamic pressure of curved panels by adding an elastic support to the simply supported curved panels on four sides in 2014. The influence of the position and stiffness of the elastic supports on the flutter velocity of curved panels was studied. Zhou et al. [10] studied the vibration and flutter characteristics of a supersonic porous functionally graded material plate with a temperature gradient on an elastic basis. They deduced the motion equation of the supersonic porous plate using the Hamilton principle and analyzed in detail the effects of boundary conditions, material property distribution, elastic basis and temperature field on flutter characteristics of a supersonic porous plate. Su et al. [11] analyzed the flutter of functionally graded stiffened plates under elastic constraints in the thermal environment. Based on the generalized variational principle and the first-order shear deformation theory, the displacement variables of the panels were described. They simulated the boundary conditions with penalty functions and discussed the effects of temperature changes and elastic constraints on the dynamic behavior of stiffened plates. Aleksander et al. [12] studied flutter characteristics and free vibration of porous functionally graded plates by using an analytical method and the Rayleigh–Ritz method. Mehdi et al. [13] developed a new solution method based on Lagrange multipliers to analyze the aeroelastic flutter of rectangular composite plates with two macroscopic fiber composite interlayers. Smart panels have a general stacking sequence and are constrained by elastic boundaries. Liu et al. [14] studied the influence of supported stiffness on the natural mode and body degree of freedom flutter characteristics of a flying wing model. Fernandez [15] studied the flutter stability of flexible foil in the state of elastic support. With the reduction in the stiffness of the wing, the flutter instability of the coupling mode of the elastically supported rigid wing may weaken, disappear or be enhanced, depending on the position of the center of mass relative to the axis of symmetry.
In addition, in terms of suppressing the flutter of elastically supported panels, Zhou et al. [16,17] used the Galerkin method to establish the nonlinear aeroelastic equation of three-dimensional panels. The aerodynamic loads were obtained based on the piston theory, and nonlinear vibration absorbers were added to the panels to suppress the nonlinear responses of panel flutter in supersonic airflow. Tao et al. [18] established a full order numerical model based on a linear quadratic regulator, von Karman geometrically nonlinear classical laminated plate theory and first-order piston theory in order to control the thermal post-buckling and nonlinear panel flutter motion of flexible thin panels. The results showed that the curved fiber path can significantly affect the optimal position and shape of the piezoelectric actuator for flutter suppression. Through the optimal design of the piezoelectric sheet, the flutter and thermal post-buckling deformation of unstable panels can be effectively suppressed.
In this paper, a structural dynamic model of a panel with elastically supported boundaries is constructed based on the proposed penalty function method. The modal aerodynamic force is obtained according to the first-order piston theory. The U g method is introduced to calculate the flutter characteristics of a panel with elastically supported boundaries. Then enhancement and recovery methods of flutter velocity and flutter frequency of the panel with elastically supported boundaries are discussed.
Therefore, as far as we know, there are two innovations in this paper that are not covered in other literature. First, based on the concept of the penalty function, elastically supported boundaries are introduced into the structural model for aeroelastic analysis of thin-walled panels. This introduction is achieved from the perspective of the energy contained in the vibration of the structure. This makes it possible to unify the simply supported and elastically supported boundaries in the same analytical framework without reprogramming the finite element analysis program. Second, according to the developed finite element model including elastically supported boundaries, flutter equations in the frequency domain of the panel are constructed. By analyzing the flutter characteristics (including flutter velocity and flutter frequency) of the panel with elastically supported boundaries, enhancement schemes for the flutter characteristics of the panel are given. This makes it possible to maintain or even increase the flutter velocity and flutter frequency when the panel enters an elastically supported state. Thus, the measure can effectively improve the safety of aircraft structures. It should be noted that the paper uses the first-order piston aerodynamic theory and uses the U-g method to give the flutter characteristics of the thin-walled panel in the frequency domain. The flutter calculation model used is linear. The influence of nonlinear factors (such as nonlinear aerodynamic force and nonlinear membrane force inside the panel) on the flutter characteristics of the panel is not considered.

2. Geometry of a Thin-Walled Panel with Elastically Supported Boundaries

Considering a three-dimensional thin-walled panel with equal thickness shown in Figure 1, the lengths along the airflow direction and the spanwise direction are a and b , respectively. The thickness h is relatively small to meet the Kirchhoff assumption. The outer surface of the panel is exposed to supersonic airflow with a velocity of U . The inner surface is at the atmospheric pressure of still air. So, only the aerodynamic force on the outer surface needs to be considered in the flutter calculation. In Figure 1a, the four boundaries of the thin-walled panel are constrained by simple supports. In Figure 1b, it is considered that the local or all boundaries of the panel are supported by springs with finite stiffness coefficients. Only elastic supports perpendicular to the panel surface are considered here owing to the deformation of the panel being mainly perpendicular to the panel surface under the action of aerodynamic load. Constraints in the horizontal direction still retain the same conditions as the panel with simply supported boundaries on four sides.

3. Dynamic Equations of a Panel with Elastically Supported Boundaries

The three-dimensional thin-walled panel structure shown in Figure 1 is discretized based on the finite element method. Before adding boundary conditions, the overall system matrices of the panel with simply supported boundaries on four sides are the same as those with elastically supported boundaries. Here, it is noted that the overall mass matrix of the structural system is M , the overall damping matrix is C and the overall stiffness matrix is K . All of those are n-order square matrices. Under the action of external excitation P ( t ) , the dynamic finite element equation of the panel can be written as
M δ ¨ ( t ) + C δ ˙ ( t ) + K δ ( t ) = P ( t )
where δ ( t ) is the time-dependent nodal displacement array.
Boundary conditions are introduced by using the penalty function method. At boundary node i with an ideal simply supported boundary, spring supports with large stiffness k b i are introduced. At the same time, at boundary node j with an elastically supported boundary, spring supports with finite stiffness values k c j are introduced. If displacement δ ¯ b i is applied at one end of the spring with large stiffness and displacement δ ¯ c j is applied at one end of the spring with finite stiffness, the strain energy of the spring in the system is
U s = 1 2 i = 1 n i k b i ( δ b i δ ¯ b i ) 2 + 1 2 j = 1 n j k c j ( δ c j δ ¯ c j ) 2
where n i and n j are the number of boundary nodes with ideal supported boundaries and elastically supported boundaries, respectively. Considering the contribution of the spring strain energy, the total potential energy of the system can be written as
Π = 1 2 δ T K δ + U s P T δ
According to the principle of minimum potential energy, the corresponding static stiffness equation is
K 11 K 12 K 13 K 21 K 22 + k b K 23 K 31 K 32 K 33 + k c δ a δ b δ c = P a P b + k b δ ¯ b P c + k c δ ¯ c
where the row and column of K 11 represent the matrix subblock formed by the degrees of freedom independent of the boundary conditions in the overall stiffness matrix. K 22 is the matrix subblock formed by the node degrees of freedom related to the ideal supported boundaries, and K 33 is the matrix subblock formed by the nodal degrees of freedom associated with the elastically supported boundaries. In addition, k b and k c respectively represent diagonal matrices composed of large stiffness springs and finite spring stiffness coefficients, and δ a , δ b and δ c respectively represent the node displacement arrays under unconstrained, ideal and elastic constraints.
Without losing generality, the load vector in Equation (4) degenerates to P ( t ) when the displacement vectors δ ¯ b and δ ¯ c applied to one end of the spring are both zero. At this time, the system stiffness matrix has been added with elastic support boundary conditions. Since the stiffness matrix derived from the statics of the structural system is also applicable to the dynamic equation, the overall stiffness matrix K of the system in Equation (1) can be written as
K ¯ = K 11 K 12 K 13 K 21 K 22 + k b K 23 K 31 K 32 K 33 + k c
So, the dynamic equations shown in Equation (1) can be rewritten as
M ¯ δ ¨ ( t ) + C ¯ δ ˙ ( t ) + K ¯ δ ( t ) = P ¯ ( t )
where M ¯ = M , C ¯ = C and P ¯ = P .
In general, at the ideal boundary nodes, the diagonal elements in k b can be taken as a large number. So,
k b i = max K × 10 4
is suitable for most computers. At the nodes with elastically supported boundaries, the value of the diagonal element in k c needs to be determined according to the specific constraints.
Flutter calculations are usually performed in the modal space to reduce computational complexity. It is assumed that the first r-order natural modes of the structure are retained and the j-th order is denoted as φ j , ( j = 1 , 2 , , r ) . Since the three-dimensional panel considered is mainly deformed in the z-axis direction, the displacement value set w j perpendicular to the panel of the modal function φ j can be reconstructed into a two-dimensional matrix according to the x-axis and y-axis coordinates of the nodes. After that, the k-th order modal function of the panel is obtained by interpolation operation, which is denoted as f j ( x , y ) . Similarly, the angular displacement value sets θ x j and θ y j of the panel can also be reorganized according to the x-axis and y-axis coordinates of the nodes. The slope value functions of the displacement with respect to the x-axis and y-axis directions can be obtained by interpolation and are denoted here as f j ( x ) ( x , y ) and f j ( y ) ( x , y ) , respectively. In the interpolation process, it is necessary to ensure that the obtained interpolation functions have sufficient accuracy. So, a high-precision interpolation algorithm is required in addition to a finite element mesh up to a certain density. In the paper, the infinite plate spline (IPS) interpolation method is used to calculate the spline matrices. The structural finite element node displacement is transformed into the interpolation point displacement. The interpolation efficiency is high with good precision. Even for high-order mode shapes, high-precision interpolation results still can be obtained. After the interpolation function expression is determined, the displacement function of the panel can be expressed as
Z ( x , y , t ) = j = 1 r f j ( x , y ) q j ( t ) ,    j = 1 , 2 , , r
where f j ( x , y ) is the j-th order natural mode function of the panel obtained by interpolation process and q j ( t ) is the j-th order modal coordinate.

4. Aerodynamic Force

Without loss of generality, let the x-axis direction be the direction of the airflow. At this time, the z-direction velocity v z of the node located at the outer surface of the panel is
v z = U x + t Z ( x , y , t )
Introducing the first-order piston theory, the pressure coefficient of the outer surface is
c p U = 2 M a 2 c 1 M a Z ( x , y , t ) x + 1 U Z ( x , y , t ) t
where M a is the Mach number of undisturbed air and c 1 = 1 . Because the inner surface of the panel in the cavity is in the atmospheric pressure condition of still air, we have
c p L = 0
Then the pressure difference Δ p ( x , y , t ) between the upper and inner surface of the panel can be expressed as
Δ p ( x , y , t ) = q d c p L c p U = 2 q d M a 2 c 1 M a Z ( x , y , t ) x + 1 U Z ( x , y , t ) t
where q d is the dynamic pressure. Substituting the modal coordinate transformation Formula (8) into Equation (12), we get
Δ p ( x , y , t ) = 2 q d c 1 M a j = 1 r f j ( x ) ( x , y ) q k ( t ) + 1 U j = 1 r f j ( x , y ) q ˙ j ( t )
So, the i-th modal aerodynamic force Q i can be written as
Q i = Δ p ( x , y , t ) f i ( x , y ) d x d y = 2 q d M a j = 1 r D ˜ i j q j ( t ) + 1 U E ˜ i j q ˙ j ( t )
where
D ˜ i j = c 1 f i ( x , y ) f j ( x ) ( x , y ) d x d y
E ˜ i j = c 1 f i ( x , y ) f j ( x , y ) d x d y

5. Flutter Equation

Substituting the modal aerodynamic force shown in Equation (14) into the structural dynamic equation in the modal coordinate system, the system motion equation represented by the modal coordinate can be obtained
M ˜ i q ¨ i + C ˜ i q ˙ i + K ˜ i q i = 2 q d M a j = 1 n D ˜ i j q j ( t ) + 1 U E ˜ i j q ˙ j ( t ) , i = 1 , 2 , , r
where M ˜ i , C ˜ i and K ˜ i are the modal mass, modal damping and modal stiffness of the system, respectively. It should be noted that the aerodynamic coefficients acting on the panel consist of two parts. One part is the coefficient D ˜ i j in front of q j ( t ) , which plays the role of aerodynamic stiffness. The other part is the coefficient in front of q ˙ j ( t ) , which plays the role of aerodynamic damping. Equation (17) can be rewritten in matrix form as
M ˜ q ¨ ( t ) + C ˜ q ˙ ( t ) + K ˜ q ( t ) = 2 q d M a D ˜ q ( t ) + 1 U E ˜ q ˙ ( t )
where M ˜ , C ˜ and K ˜ are the modal mass, modal damping and modal stiffness matrices of the system, respectively. D ˜ and E ˜ are the aerodynamic stiffness and aerodynamic damping matrices, respectively. Equation (18) is the time domain form of the flutter equation of the elastically supported panel based on the piston theory.
When flutter occurs, substituting q ( t ) = q ¯ e i ω t into Equation (18), we get
ω 2 M ˜ + i ω C ˜ + K ˜ q d Q ( k , M a ) q = 0
where
Q ( M a , k ) = 2 M a D ˜ + i k b R E ˜
where k = ω b R / U is the reduced frequency, ω is the vibration frequency and b R is 1/2 length of the panel along the airflow direction.
By introducing artificial structural damping g , the basic equations for flutter analysis of the panel with elastically supported boundaries based on the U g method are obtained
ω 2 M ˜ + i ω C ˜ + ( 1 + i g ) K ˜ q d Q ( k , M a ) q = 0
For a given Mach number M a and atmospheric density ρ , the flutter velocity U F and corresponding flutter frequency f F of the panel can be obtained by solving the quadratic eigenvalue problem determined by Equation (21).

6. Numerical Examples

A square panel in a wing structure shown in Figure 2a is connected to ribs and stringers by rivets when flying at a supersonic speed. The side length is a = b = 300 mm and the thickness is h = 1.2 mm. For convenience, the boundary lines of the windward side, the leeward side, the tip side and the root side are denoted as LF , LB , LT and LR , respectively. The panel is divided into 20 plate elements both along the chord direction and the span direction. The total number of elements is 400, and the total number of nodes is 441, as shown in Figure 2b. The physical parameters of the panel are shown in Table 1 [19]. In the preliminary flutter calculation process, it is considered that the panel is at a simply supported state on four sides. The positive direction of the x-axis is the direction of the airflow. When the aircraft is flying near sea level, the air density is taken as ρ = 1.226 kg/m3 and the air density ratio is taken as ρ r = 1.0 .
Taking the first 16 order modes of the panel to participate in the flutter calculation and ignoring the structural damping, the non-matching flutter velocity of the panel is calculated under M a = 2.0 , as shown in Figure 3. It can be seen from Figure 3 that the calculation results using the program in this paper are U F = 539.4 m/s and f F = 132.4 Hz. Flutter occurs in the third-order mode, the coupling of which with the first-order mode leads to the occurrence of flutter. The results using the Nastran software (PK method) are U F = 541.2 m/s, f F = 133.5 Hz. The flutter velocity differs by 0.33%, the flutter frequency is almost equal and the flutter shape is the same.

6.1. Natural Frequencies of the Panel with Elastically Supported Boundaries

Natural frequencies and mode shapes of the panel will change greatly when the state of supported boundaries change. Table 2 gives the first four natural frequencies of the panel under five different elastically supported boundaries, which are single-sided (L1), adjacent-sided (L2N), opposite-sided (L2O), three-sided (L3) and four-sided (L4). The spring stiffness of a single node under elastically supported boundaries is taken as 0 N/m, 2000 N/m, 4000 N/m and 6000 N/m, respectively. For comparison, natural frequencies of the panel in the simply supported boundaries on four sides are also listed in Table 2 and denoted as SS. It should be noted that in all cases, the four corners of the panel are all at the simply supported state.
It can be seen from Table 2 that in all cases, the panel in the simply supported state has the highest natural frequencies. At this time, the second- and third-order natural frequencies of the panel are the same due to the symmetry. When the elastically supported boundaries are used to replace part of the simply supported boundaries, the natural frequencies of the panel decrease accordingly.
For the case of a single-sided elastically supported boundary, the first four natural frequencies of the panel increase with the spring stiffness coefficients. The frequency reaches the lowest when the boundary is at a freely supported state ( k c = 0 ). Moreover, this growth law shows a nonlinear trend. Taking the first-order natural frequency as an example, the natural frequency increases by 59.75% when the stiffness coefficient of the supported spring increases from 0 to 2000 N/m, while when increasing from 2000 N/m to 4000 N/m and from 4000 N/m to 6000 N/m, the increases are only 2.68% and 0.90%, respectively. The other high-order natural frequencies also have a similar increase trend. In addition, the second- and third-order natural frequencies are no longer the same because the existence of the elastically supported boundaries breaks the symmetry of the panel.
Compared with single-sided elastically supported boundaries, the situations of adjacent-sided elastically supported boundaries and opposite-sided elastically supported boundaries are more complicated. In general, natural frequencies in both cases are lower than those in the single-sided state. However, when the stiffness of the supported spring is 0, the magnitude of the natural frequency is alternating. For example, the first-order frequency under the adjacent-sided state is slightly lower than that under the opposite-sided state. However, the second-order natural frequency is the opposite. The third-order natural frequency differs by −19.02 Hz, while the fourth order differs by +14.42 Hz. When the spring stiffness coefficient is not 0 and has the same value, the second-order natural frequency under the adjacent-sided state is slightly smaller than that of under the opposite-sided state.
The change rule of natural frequencies is similar to that of under the single-sided state when the panel has three sides under the elastically supported state. Moreover, when the four boundaries of the panel are all under an elastically supported state, the natural frequencies of each order are the smallest in all cases. At this time, the second- and third-order natural frequencies are the same since the symmetry of the panel is restored. Compared with the full simply supported state, the natural frequencies for the first four orders decreased by 63.78%, 68.01%, 68.01% and 75.05%, respectively, in the case of k c = 0 and decreased by 6.64%, 12.69%, 12.69% and 19.75%, respectively, in the case of k c = 6000 .

6.2. Flutter Calculation of the Panel with Single-Sided Elastic Support

When only one side of the panel is under an elastically supported state and the other three sides are under a simply supported state, there are three different situations: (1) the leeward boundary LB of the panel is under an elastically supported boundary; (2) the tip boundary LT or the root boundary LR of the panel is under an elastically supported boundary; (3) the windward boundary LF is under an elastically supported boundary.
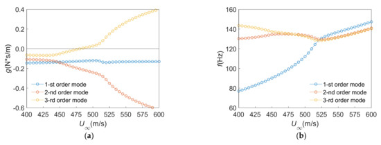
Flutter velocity and flutter frequency of the panel are calculated for the three cases based on the algorithm proposed in this paper when the stiffness coefficient of the supported spring is 2000 N/m, as shown in Figure 4, Figure 5 and Figure 6. It can be seen from Figure 4 that when the leeward boundary line of the panel is under an elastically supported state, the flutter mode jumps from the third order to the second order compared with the simply supported state on four sides. The flutter velocity decreases from 539.4 m/s to 504.1 m/s, and the flutter frequency decreases from 132.4 Hz to 126.2 Hz. The decrease rates are 6.54% and 4.68%, respectively. It can be seen from Figure 5 that flutter occurs in the third mode when the side edge of the panel along the airflow is under an elastically supported state. The flutter velocity is 480.4 m/s, and the flutter frequency is 134.9 Hz. When flutter occurs, the first-order mode is coupled with the second- and third-order modes. It can be seen from Figure 6 that when the windward edge is under an elastically supported state, the flutter velocity further drops to 430.7 m/s, and the flutter frequency drops to 103.6 Hz. At this time, the flutter occurs in the first-order mode. Overall, the flutter mode of the panel jumps accordingly due to the different positions of the elastically supported edge. The flutter velocity and flutter frequency are the highest when the elastically supported boundaries are located on the leeward boundary line, followed by the tip or root side boundary line and the windward side boundary line.
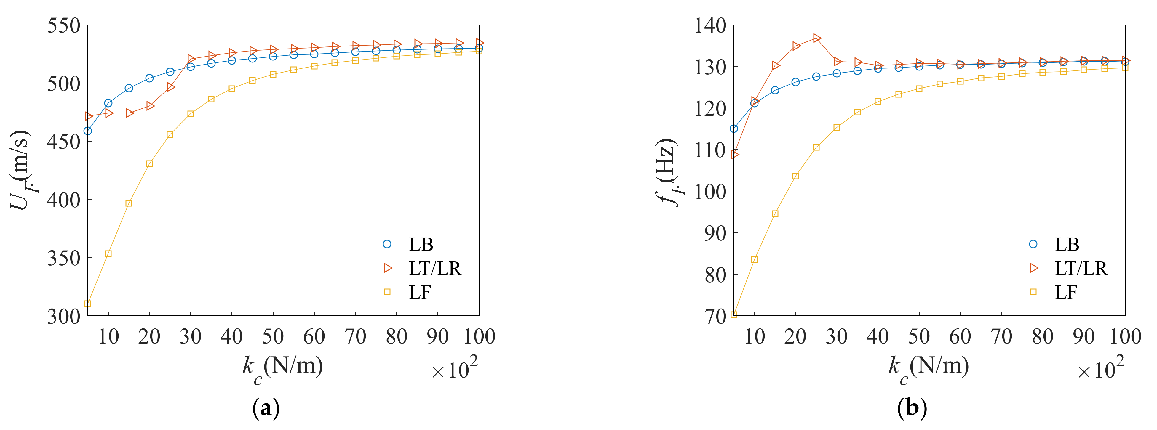
The variation laws of the flutter velocity U F and the flutter frequency f F with the spring support stiffness k c are plotted in Figure 7 to study the effects of the stiffness coefficients of the supported springs on the flutter characteristics of the panel more clearly. It can be seen from Figure 7a that the flutter velocity increases monotonically with the stiffness of the elastically supported springs. In addition, there is a convergence trend. The flutter velocities are between 527.4 m/s and 534.3 m/s when the elastically supported stiffness coefficient is 10,000 N/m. The difference is 0.95–2.22% compared with the state of simple support on four sides. It can be verified that the flutter velocity of the panel under various elastically supported boundary conditions is almost the same as that of the fully simply supported case when the elastically supported stiffness coefficient increases to 50,000 N/m. In addition, it can be seen from Figure 7a that the flutter velocity in the case of the leeward line being elastically supported is greater than that of the windward line. This shows that strengthening the supported strength at the windward line can improve the flutter velocity in the design of the panel structure. In addition, the flutter velocity in the case of the tip or root line under the elastically supported state changes greatly with k c . When the elastically supported stiffness coefficient is relatively small, the flutter velocity is lower than that of the leeward line but higher than the windward line. With the increase in the elastically supported stiffness coefficient to about 3000 N/m, the flutter velocity starts to exceed the leeward situation. This is because the first order is coupled with the second- and third-order modes and the flutter mode jumps between the second- and third-order modes. In addition, it can be seen from Figure 7b that the variation law of the flutter frequencies with the stiffness coefficients of the elastically supported boundaries is similar to the flutter velocity when the elastically supported boundaries are located on the windward line or the leeward line, which increases monotonically and has a convergence trend. However, in the case of the tip or root line being under an elastically supported state, the panel has a small flutter velocity but a high flutter frequency rising slope when the elastic support stiffness coefficient is small. Then there is an inflection point at about 2500 N/m, and after about 3000 N/m, the panel maintains basically the same flutter frequency as in the case of the leeward line. This is also due to the jumping of the flutter mode between the second and third order.

6.3. Flutter Calculation of the Panel with Opposite-Sided Elastically Supported State

There are two situations when a set of opposite sides of the panel are under the elastically supported state. One is that LR and LT are both in the elastically supported state, denoted as LRT. The other is that LF and LB are both in the elastically supported state, denoted as LFB. Similarly, we first consider the case of the stiffness coefficients being 2000 N/m, and the flutter velocities and flutter frequencies under the LRT and LFB states are plotted in Figure 8 and Figure 9, respectively.
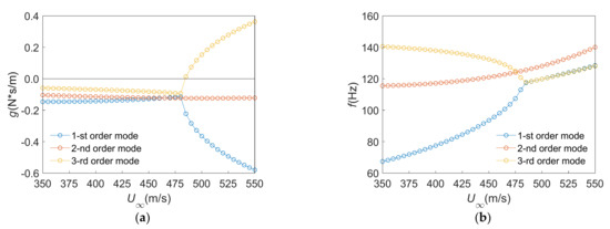
It can be seen from Figure 8 that the flutter velocity of the panel at the LRT state is 484.4 m/s, and the corresponding flutter frequency is 118.1 Hz. Flutter occurs in the third-order mode, which is caused by the coupling between the first mode and the third mode. Compared with the case of the simply supported state, the ratio of the difference between the flutter velocity and the flutter frequency in the LRT state is 10.20% and 10.80%, respectively. As can be seen from Figure 9, the flutter velocity in the LFB state is 414.7 m/s, and the flutter frequency is 102.4 Hz. Different from the flutter characteristics of the LRT state, the flutter occurs in the first-order mode, which is caused by the coupling of the first-order mode and the second-order mode. Similarly, compared with the four-sided simply supported state, the ratio of flutter velocity and flutter frequency difference at the LFB state reaches 23.12% and 22.66%, respectively.
Similarly, the variation laws of flutter velocity and flutter frequency with spring support stiffness are plotted in Figure 10 to study the flutter characteristics under the LRT and LFB states. It can be seen from Figure 10a that the flutter velocities at the LRT or LFB states increase monotonically with the elastically supported stiffness coefficients and show a convergence trend. At the same time, the growth rate of the flutter velocity decreases with the increase in k c . Moreover, under the same elastically supported state, the flutter velocity at the LRT state is higher than that in the LBF state. In addition, it can be seen from Figure 7a and Figure 10a that the flutter velocity at the LRT state is lower than that at the LR and LT states when the elastically supported stiffness coefficient is the same. The flutter velocity at the LBF state is smaller than that at the LB and LF states. It can be seen from Figure 10b that the variation of the flutter frequency is similar to that of the flutter velocity, but the convergence rate of the flutter frequency is faster. Compared with the flutter frequency of the four-sided simply supported panel, the relative difference ratio of the flutter frequency under the LRT and LBF states is 2.31% and 2.87% when the supported stiffness coefficient is 10,000 N/m, respectively.

6.4. Enhancement of Flutter Characteristics

According to the results in Section 6.1, Section 6.2, Section 6.3, we know that the flutter velocities and frequencies usually decrease when the simply supported state is changed to the elastically supported state. However, the flutter velocity envelope is determined when the design process is completed. During subsequent use, if the simply supported state cannot be maintained due to the looseness of the boundary, insufficient supported strength and other reasons, the modal properties of the panel will be changed, and the flutter velocity and frequency will also change. The safety of personnel and aircraft will be seriously threatened if the flutter velocity of the panel drops too much. Therefore, some reinforcement measures should be taken to maintain or even improve the flutter velocity even if the panel enters the elastically supported state when the panel is designed and finalized. It can be seen from Equation (21) that the existence of damping in the structural system can effectively change the solutions to the eigenvalue problem. Damping in the structural system will lead to greater flutter velocity. This is because the damping in the structure will constantly absorb the energy generated by the self-excited vibration of the panel, so a larger flow speed is required to maintain the simple harmonic motion state. Therefore, actively introducing some dampers at the appropriate position of the panel can be considered to effectively change its flutter characteristics in the design of the panel structure. It can be seen from Equation (17) that in the modal space, the velocity term is related to the structural damping. So, placing some dampers at the position where the vibration velocity is the largest is a feasible solution.
The lower-order main vibrations q i ( t ) , ( i = 1 , 2 , 3 , ) of the panel are dominant during flutter. The corresponding structural mode shapes are also dominant in the vibration of the panel structure. In addition, the flutter of the panel is an overall behavior. The main vibrations of each order of the panel are all simple harmonic when flutter occurs. Therefore, for the i-th order main vibration q i ( t ) of the panel, the velocity maximum point actually corresponds to the displacement maximum point on the mode shape. In this way, the configuration scheme of the damper can be determined by analyzing the displacement maximum points of the lower-order mode of the panel.
Taking the four-sided elastically supported panel as an example, Figure 11 shows the first four modes when the elastically supported stiffness coefficient is 2000 N/m. It can be seen from Figure 11 that the first-order mode shape is formed by the first-order bending both along the airflow direction and the spanwise direction. The maximum displacement point on the mode shape appears at the center of the panel and is denoted as
P 1 ( 1 ) = ( 150 , 0 )
The natural frequencies of the second and third mode shapes are the same owing to the symmetry. The second-order mode shape behaves as the first-order bending in the direction of the airflow and the second-order bending in the spanwise direction. However, the third-order mode shape is opposite to the second-order mode. The maximum displacement points are
P 2 ( 1 ) = ( 150 , 75 ) ,    P 2 ( 2 ) = ( 150 , 75 )
P 3 ( 1 ) = ( 75 , 0 ) ,    P 3 ( 2 ) = ( 225 , 0 )
Similarly, the fourth-order mode shape is formed by the second-order bending along the airflow direction and the second-order bending in the spanwise direction. There are four maximum displacement points, which appear at
P 4 ( 1 ) = ( 225 , 75 ) ,    P 4 ( 2 ) = ( 75 , 75 ) , P 4 ( 3 ) = ( 75 , 75 ) ,    P 4 ( 4 ) = ( 225 , 75 )
According to the displacement maximum points of the first four vibration modes, three different damper arrangement schemes are proposed. One is to arrange the damper only at the center of the panel, which is called the 1P method here. The second scheme is to arrange dampers at the positions determined by Equations (22)–(24) at the same time, which is called the 5P method. The third one is to arrange dampers at the position of the panel determined by Equations (22)–(25) at the same time, which is called the 9P method, as shown in Figure 12.
The flutter calculation is carried out for the four-sided elastically supported state when the elastically supported stiffness coefficient is 2000 N/m without adding damping, as shown in Figure 13. It can be seen from Figure 13 that the flutter velocity is 401.8 m/s and the flutter frequency is 100.1 Hz. Flutter occurs in the first-order mode, which is caused by the coupling of the first-order mode and the third-order mode. The flutter velocity decreased by 25.51% and the flutter frequency decreased by 24.38% compared with the flutter calculation results of the four-sided simply supported state. It can be seen that the flutter velocity and flutter frequency of the panel at this time have reached about one-fourth of the values of the original design. The panel may enter a flutter state and cause a safety accident if the flight is still in the original mission.
For comparison, five dampers with a damping coefficient of c = 5 N*s/m are added to the original four-sided elastically supported panel based on the 5P method. The flutter calculation results are plotted in Figure 14. It can be seen from Figure 14 that the flutter velocity is 458.1 m/s and the flutter frequency is 116.3 Hz. Flutter occurs in the third-order mode, which is the coupling between the third-order mode and the second-order mode. Compared with Figure 13, it can be seen that the flutter behaviors of the elastically supported panel with damping have changed greatly. Flutter jumps from the first-order mode to the third-order mode. The coupling law between the modes also changes. In addition, the flutter velocity is increased by 56.3 m/s with an increase ratio of 14.01%, while the flutter frequency is increased by 16.2 Hz with an increase ratio of 16.18%. It can be seen that adding damping to the four-sided elastically supported panel based on the 5P method can effectively improve the flutter velocity and frequency.
In order to deeply study the influence of the three damping configuration schemes proposed in this paper on the flutter characteristics of the panel, changes in the flutter velocities and flutter frequencies with respect to the damping coefficients are plotted in Figure 15.
It can be seen from Figure 15a that the 1P method cannot effectively improve the flutter velocity of the panel. On the contrary, with the increase in the damping coefficients, the flutter velocity decreases slightly. This is because the flutter mode becomes the coupling of the second-order mode and the third-order mode after adding damping. The suppression of the first-order mode cannot be effectively reflected in the improvement of the flutter velocity. In contrast, the damping configuration schemes of the 5P method and the 9P method can effectively improve the flutter speed of the panel. The 9P method has the best effect. From the slope of the flutter velocity curves, it can be seen that there is one point where the slope changes significantly in both curves. The point of the 5P method occurs when the damping coefficient is c = 14 , while that of the 9P method occurs when c = 10 . This is due to the fact that at these two points, the flutter mode jumps from the third order to the fifth order. After the flutter mode jumps, the flutter velocities obtained using the 5P method begin to stabilize at 502 m/s and no longer increase with the damping coefficients. The flutter velocities obtained using the 9P method also begins to slow down with the increase in the damping coefficients, but they still maintain an increasing trend. When the damping coefficient is 20 N*s/m, the flutter velocity of the panel reaches 537.2 m/s. Compared with the flutter velocity of the four-sided simply supported panel, the difference is only 2.2 m/s, and the difference ratio is 0.41%. It can be seen that the use of the 9P method effectively enhances the flutter velocity of the elastically supported panel. When the damping coefficient is 20 N*s/m, the flutter velocity is recovered. It can be seen from Figure 15b that although the 1P method cannot increase the flutter velocity of the panel, it can slightly increase the flutter frequency. The flutter frequencies using the 5P method and 9P method damping configuration schemes also increase monotonically with the increase in the damping coefficients. When the damping coefficient is less than 14 N*s/m (that is, the flutter mode jump point of the 5P method), the flutter frequency using the 9P method is higher than that of the 5P method. After that, it starts to be less than that of the 5P method. In particular, the flutter frequency obtained using the 9P method is 151.8 Hz when the damping coefficient is 20 N*s/m. The flutter frequency is increased by 19.4 Hz, by 14.65%, compared with the four-sided simply supported panel.
It can be seen from the above analysis that both the 5P method and the 9P method can effectively improve the flutter velocities and the flutter frequencies of the elastically supported panel. Because the 9P method suppresses the energy of the main vibrations of the first four orders, it has a better enhancement effect on the flutter velocity and flutter frequency compared with the 5P method (only the first three orders are suppressed). The recovery of the flutter velocity can be achieved by adjusting the damping coefficients of the dampers.

7. Conclusions

Structural dynamic equations of an elastically supported panel were obtained based on the proposed penalty function method. Combined with the first-order piston theory, the flutter calculation was carried out under different elastically supported boundaries using the U g method. The corresponding flutter characteristic enhancement schemes were given. The main conclusions are as follows:
  • Compared with the state of simply supported boundaries on four sides, the existence of an elastically supported boundary can change the inherent properties of the panel structure. The natural frequencies of the first four orders generally decrease under different elastically supported states. In the case of the same elastically supported stiffness coefficient, the more the number of boundaries in the elastically supported state, the greater the natural frequency drops.
  • The flutter velocity and flutter frequency both decrease when the panel is in the single-sided elastically supported and the two-sided elastically supported states. Those in the case of the windward line being in an elastically supported state have the largest drop. With the increase in the elastically supported stiffness coefficients, both the flutter velocity and the flutter frequency converge to the corresponding values at the four-sided simply supported state.
  • The flutter characteristics of the elastically supported panel can be enhanced and recovered by reasonably arranging dampers. For a four-side elastically supported panel, the proposed 5P method and 9P method can effectively improve the flutter velocity and flutter frequency.
  • The study of flutter characteristics of elastically supported panels based on the penalty function method can more realistically simulate the actual supporting state of the panels. This can provide a basis for improving the design of panel structures and the safety of flight.

Author Contributions

Conceptualization, S.T. and W.Q.; methodology, S.T.; software, M.W.; validation, S.T.; formal analysis, S.T.; investigation, M.W.; resources, W.Q.; data curation, M.W.; writing—original draft preparation, S.T.; writing—review and editing, W.Q.; visualization, M.W.; supervision, W.Q.; project administration, W.Q.; funding acquisition, W.Q. All authors have read and agreed to the published version of the manuscript.

Funding

This research was funded by the National Natural Science Foundation of China, grant number 11502149&11902204, and Project of Liaoning Provincial Department of Education, grant number JYT2020034&JYT2020029.

Data Availability Statement

Not applicable.

Conflicts of Interest

The authors declare no conflict of interest.

References

  1. Xie, D. Nonlinear Panel Flutter; Science Press: Beijing, China, 2021; pp. 1–21. [Google Scholar]
  2. Dowell, E.H.; Bendiksen, O. Panel Flutter. In Encyclopedia of Aerospace Engineering; Wiley: Hoboken, NJ, USA, 2010; pp. 1–32. [Google Scholar]
  3. Qu, Y.; Long, X.H.; Yuan, G.Q.; Meng, G. A unified formulation for vibration analysis of functionally graded shells of revolution with arbitrary boundary conditions. Compos. B Eng. 2013, 50, 381–402. [Google Scholar] [CrossRef]
  4. Chakraverty, S.; Pradhan, K.K. Free vibration of exponential functionally graded rectangular plates in thermal environment with general boundary conditions. Aerosp. Sci. Technol. 2014, 36, 132–156. [Google Scholar] [CrossRef]
  5. Su, Z.; Jin, G.Y.; Wang, X.R.; Miao, X.H. Modified fourier-ritz approximation for the free vibration analysis of laminated functionally graded plates with elastic restraints. Int. J. Appl. Mech. 2015, 7, 1550073. [Google Scholar] [CrossRef]
  6. Su, Z.; Jin, G.Y.; Wang, Y.L.; Ye, X.M. A general Fourier formulation for vibration analysis of functionally graded sandwich beams with arbitrary boundary condition and resting on elastic foundations. Acta Mechanica 2016, 227, 1493–1514. [Google Scholar] [CrossRef]
  7. Daeseung, C.; Nikola, V.; Taemuk, C. Natural vibration analysis of stiffened panels with arbitrary edge constraints using the assumed mode method. Proc. Inst. Mech. Eng. Part M J. Eng. Marit. Environ. 2015, 229, 340–349. [Google Scholar]
  8. Cho, D.S.; Kin, B.H.; Kim, J.H.; Vladimir, N.; Choi, T.M. Forced vibration analysis of arbitrarily constrained rectangular plates and stiffened panels using the assumed mode method. Thin. Wall. Struct. 2015, 90, 182–190. [Google Scholar] [CrossRef]
  9. Zhang, F.T.; Yang, Z.C.; Gao, Y.; Zhao, L.C. Influence of concentrated elastic support on flutter characteristic of curved panels. J. Vib. Shock 2014, 33, 1–7. [Google Scholar]
  10. Zhou, K.; Huang, X.C.; Tian, J.J.; Hua, H.X. Vibration and flutter analysis of supersonic porous functionally graded material plates with temperature gradient and resting on elastic foundation. Compos. Struct. 2018, 204, 63–79. [Google Scholar] [CrossRef]
  11. Su, Z.; Wang, L.F.; Sun, K.P.; Wang, D. Vibration characteristic and flutter analysis of elastically restrained stiffened functionally graded plates in thermal environment. Int. J. Mech. Sci. 2019, 157–158, 872–884. [Google Scholar] [CrossRef]
  12. Aleksander, M.; Justyna, F. Flutter characteristics and free vibrations of rectangular functionally graded porous plates. Compos. Struct. 2021, 261, 113301. [Google Scholar]
  13. Mehdi, B.; Amin, F.; Ramazan, A.J.T. Modeling, analysis, and control of MFC sandwiched laminate panel flutter with general layups and arbitrary boundary conditions. Compos. Struct. 2019, 223, 110940. [Google Scholar]
  14. Liu, J.H.; Gu, Y.S.; Yang, Z.C. Influence of support stiffness on natural mode and body freedom flutter characteristics of a flying wing model. J. Vib. Eng. 2018, 31, 727–733. [Google Scholar]
  15. Fernandez, F.R. Flutter stability analysis of an elastically supported flexible foil. Application to the energy harvesting of a fully-passive flexible flapping-foil of small amplitude. J. Fluid Struct. 2022, 109, 103454. [Google Scholar] [CrossRef]
  16. Zhou, J.; Xu, M.L.; Yang, Z.C.; Gu, Y.S. Suppression of panel flutter response in supersonic airflow using a nonlinear vibration absorber. Int. J. Nonlin. Mech. 2021, 133, 103714. [Google Scholar] [CrossRef]
  17. Zhou, J.; Xu, M.L.; Zha, J.; Yang, Z.C. The suppression of nonlinear panel flutter response at elevated temperatures using a nonlinear energy sink. Meccanica 2021, 56, 41–57. [Google Scholar] [CrossRef]
  18. Tao, J.X.; Yi, S.H.; Deng, Y.J.; He, X.Q. Suppression of thermal postbuckling and nonlinear panel flutter motions of variable stiffness composite laminates using piezoelectric actuators. J. Cent. South Univ. 2022, 28, 3757–3777. [Google Scholar] [CrossRef]
  19. Zhao, Y.H.; Huang, R. Advanced Aeroelasticity and Control; Science Press: Beijing, China, 2015; pp. 98–125. [Google Scholar]
Figure 1. (a) A panel with simply supported boundaries on four sides; (b) a panel with elastically supported boundaries.
Figure 1. (a) A panel with simply supported boundaries on four sides; (b) a panel with elastically supported boundaries.
Energies 15 07088 g001
Figure 2. A square panel with simply supported boundaries on four sides: (a) geometric model; (b) finite element model.
Figure 2. A square panel with simply supported boundaries on four sides: (a) geometric model; (b) finite element model.
Energies 15 07088 g002
Figure 3. Results of flutter calculation ( M a = 2.0 ): (a) U g ; (b) U f .
Figure 3. Results of flutter calculation ( M a = 2.0 ): (a) U g ; (b) U f .
Energies 15 07088 g003
Figure 4. Results of flutter calculation (LB): (a) U g ; (b) U f .
Figure 4. Results of flutter calculation (LB): (a) U g ; (b) U f .
Energies 15 07088 g004
Figure 5. Results of flutter calculation (LR/LT): (a) U g ; (b) U f
Figure 5. Results of flutter calculation (LR/LT): (a) U g ; (b) U f
Energies 15 07088 g005
Figure 6. Results of flutter calculation (LF): (a) U g ; (b) U f .
Figure 6. Results of flutter calculation (LF): (a) U g ; (b) U f .
Energies 15 07088 g006
Figure 7. Flutter velocities and frequencies versus stiffness of the elastically supported boundaries: (a) U F versus k c ; (b) f F versus k c .
Figure 7. Flutter velocities and frequencies versus stiffness of the elastically supported boundaries: (a) U F versus k c ; (b) f F versus k c .
Energies 15 07088 g007
Figure 8. Results of flutter calculation (LRT): (a) U g ; (b) U f .
Figure 8. Results of flutter calculation (LRT): (a) U g ; (b) U f .
Energies 15 07088 g008
Figure 9. Results of flutter calculation (LFB): (a) U g ; (b) U f .
Figure 9. Results of flutter calculation (LFB): (a) U g ; (b) U f .
Energies 15 07088 g009
Figure 10. Flutter speeds and frequencies versus the stiffness of elastic supports: (a) U F versus k c ; (b) f F versus k c .
Figure 10. Flutter speeds and frequencies versus the stiffness of elastic supports: (a) U F versus k c ; (b) f F versus k c .
Energies 15 07088 g010
Figure 11. The first four modes of the panel with elastically supported boundaries on four sides: (a) the first mode (53.28 Hz); (b) the second mode (115.27 Hz); (c) the third mode (115.27 Hz); (d) the fourth mode (167.23 Hz).
Figure 11. The first four modes of the panel with elastically supported boundaries on four sides: (a) the first mode (53.28 Hz); (b) the second mode (115.27 Hz); (c) the third mode (115.27 Hz); (d) the fourth mode (167.23 Hz).
Energies 15 07088 g011
Figure 12. Three different damping configurations.
Figure 12. Three different damping configurations.
Energies 15 07088 g012
Figure 13. Results of flutter calculation (L4): (a) U g ; (b) U f .
Figure 13. Results of flutter calculation (L4): (a) U g ; (b) U f .
Energies 15 07088 g013
Figure 14. Results of flutter calculation under 5P method (L4): (a) U g ; (b) U f .
Figure 14. Results of flutter calculation under 5P method (L4): (a) U g ; (b) U f .
Energies 15 07088 g014
Figure 15. Effects of the three damping schemes on flutter characteristics: (a) U F g ; (b) f F c .
Figure 15. Effects of the three damping schemes on flutter characteristics: (a) U F g ; (b) f F c .
Energies 15 07088 g015
Table 1. Physical parameters of the square panel.
Table 1. Physical parameters of the square panel.
Physical QuantityValue
Young’s modulus (Pa) E = 7.1 × 10 10
Poisson’s ratio v = 0.32
Mass density (kg/m3) ρ s = 2768
Modal damping ratio (%) ζ = 0.0
Table 2. Natural frequencies of the square panel with elastically supported boundaries.
Table 2. Natural frequencies of the square panel with elastically supported boundaries.
f (Hz)SSL1L2NL2OL3L4
1st mode63.8937.9131.2031.3226.6823.14
60.5657.7357.8755.3853.275
62.1860.5960.6459.1657.82
62.7461.6461.6760.6259.65
2nd mode159.5289.5355.9752.1751.5951.03
135.28128.81120.84117.77115.273
146.70142.61137.06134.11131.66
150.97147.95143.90141.42139.28
3rd mode159.52133.7498.89117.9157.5651.03
150.61132.34145.09126.94115.273
154.45143.33150.59139.96131.66
156.01148.18153.09145.60139.28
4th mode253.21189.98141.08126.66120.0863.18
215.66191.93193.54178.19167.234
229.26212.35212.88199.88189.60
236.17222.89223.27212.29203.20
Publisher’s Note: MDPI stays neutral with regard to jurisdictional claims in published maps and institutional affiliations.

Share and Cite

MDPI and ACS Style

Tian, S.; Wang, M.; Qi, W. Effects of Elastically Supported Boundaries on Flutter Characteristics of Thin-Walled Panels. Energies 2022, 15, 7088. https://doi.org/10.3390/en15197088

AMA Style

Tian S, Wang M, Qi W. Effects of Elastically Supported Boundaries on Flutter Characteristics of Thin-Walled Panels. Energies. 2022; 15(19):7088. https://doi.org/10.3390/en15197088

Chicago/Turabian Style

Tian, Sumei, Meng Wang, and Wuchao Qi. 2022. "Effects of Elastically Supported Boundaries on Flutter Characteristics of Thin-Walled Panels" Energies 15, no. 19: 7088. https://doi.org/10.3390/en15197088

APA Style

Tian, S., Wang, M., & Qi, W. (2022). Effects of Elastically Supported Boundaries on Flutter Characteristics of Thin-Walled Panels. Energies, 15(19), 7088. https://doi.org/10.3390/en15197088

Note that from the first issue of 2016, this journal uses article numbers instead of page numbers. See further details here.

Article Metrics

Back to TopTop