An Accuracy Prediction Method of the RV Reducer to Be Assembled Considering Dendritic Weighting Function
Abstract
1. Introduction
2. Analysis of Quality Influencing Factors
3. Development a Network Model
3.1. Back Propagation Feed-Forward Neural Network
3.2. Dynamic Adam Optimization Algorithm
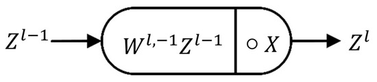
3.3. Dendritic Unit
3.4. Developing a Dendritic Neural Network Model
4. The Model Solution
4.1. Preprocessing of Test Data
4.2. Parameter Selection
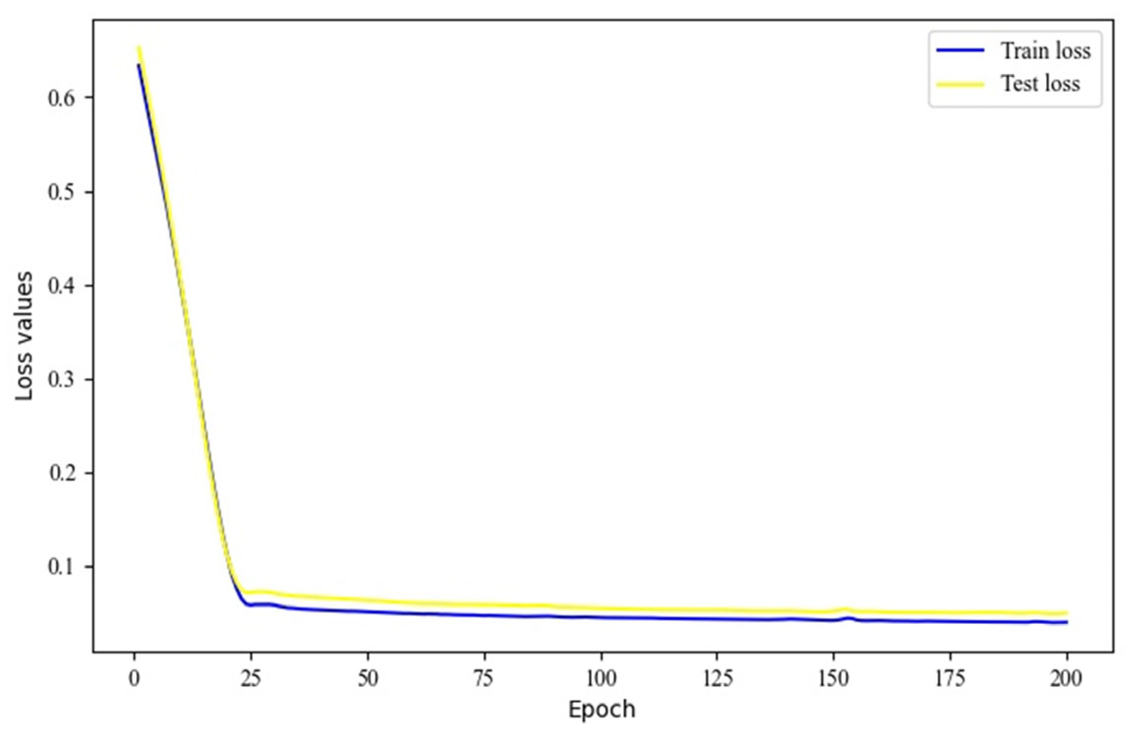
4.3. Predictive Performance Analysis
5. Conclusions and Future Work
Author Contributions
Funding
Institutional Review Board Statement
Informed Consent Statement
Data Availability Statement
Acknowledgments
Conflicts of Interest
References
- Xue, J.; Qiu, Z.R.; Fang, L.; Lu, Y.H.; Hu, W.C. Angular Measurement of High Precision Reducer for Industrial Robot. IEEE Trans. Instrum. Meas. 2021, 70, 1–10. [Google Scholar] [CrossRef]
- Kumar, M.S.; Kannan, S. Optimum manufacturing tolerance to selective assembly technique for different assembly specifications by using genetic algorithm. Int. J. Adv. Manuf. Technol. 2007, 32, 5–6. [Google Scholar] [CrossRef]
- Gentilini, I.; Shimada, K. Predicting and evaluating the post-assembly shape of thin-walled components via 3D laser digitization and FEA simulation of the assembly process. Comput.-Aided Des. 2010, 43, 316–328. [Google Scholar] [CrossRef]
- Khodaygan, S.; Ghaderi, A. Tolerance–reliability analysis of mechanical assemblies for quality control based on Bayesian modeling. Assem. Autom. 2019, 39, 769–782. [Google Scholar] [CrossRef]
- Burggraef, P.; Wagner, J.; Heinbach, B.; Steinberg, F. Machine Learning-Based Prediction of Missing Components for Assembly—A Case Study at an Engineer-to-Order Manufacturer. IEEE Access 2021, 9, 105926–105938. [Google Scholar] [CrossRef]
- Bruennhaeusser, J.; Gogineni, S.; Nickel, J.; Witte, H.; Stark, R. Assembly issue resolution system using machine learning in Aero engine manufacturing. In Proceedings of the International Conference on Advances in Production Management Systems, Novi Sad, Serbia, 30 August–30 September 2020; Volume 591, pp. 149–157. [Google Scholar]
- Takahashi, N.; Oertner, T.G.; Hegemann, P.; Larkum, M.E. Active cortical dendrites modulate perception. Science 2016, 354, 1587–1590. [Google Scholar] [CrossRef]
- Trenholm, S.; McLaughlin, A.J.; Schwab, D.J.; Turner, M.H.; Smith, R.G.; Rieke, F.; Awatramani, G.B. Nonlinear dendritic integration of electrical and chemical synaptic inputs drives fine-scale correlations. Nat. Neurosci. 2014, 17, 1759–1766. [Google Scholar] [CrossRef]
- Li, X.Y.; Tang, J.S.; Zhang, Q.T.; Gao, B.; Yang, J.J.; Song, S.; Wu, W.; Zhang, W.Q.; Yao, P.; Deng, N.; et al. Power-efficient neural network with artificial dendrites. Nat. Nanotechnol. 2020, 15, 776–782. [Google Scholar] [CrossRef]
- Antic, S.D.; Zhou, W.L.; Moore, A.R.; Short, S.M.; Ikonomu, K.D. The decade of the dendritic NMDA spike. J. Neurosci. Res. 2010, 88, 2991–3001. [Google Scholar] [CrossRef]
- Todo, Y.; Tamura, H.; Yamashita, K.; Tang, Z. Unsupervised learnable neuron model with nonlinear interaction on dendrites. Neural Netw. 2014, 60, 96–103. [Google Scholar] [CrossRef]
- Tang, C.; Ji, J.; Tang, Y.; Gao, S.; Tang, Z.; Todo, Y. A novel machine learning technique for computer-aided diagnosis. Eng. Appl. Artif. Intell. 2020, 92, 103627. [Google Scholar] [CrossRef]
- Song, S.; Chen, X.; Tang, C.; Song, S.; Tang, Z.; Todo, Y. Training an Approximate Logic Dendritic Neuron Model Using Social Learning Particle Swarm Optimization Algorithm. IEEE Access 2019, 7, 141947–141959. [Google Scholar] [CrossRef]
- Gao, S.C.; Zhou, M.C.; Wang, Y.R.; Cheng, J.J.; Yachi, H.; Wang, J.H. Dendritic Neuron Model with Effective Learning Algorithms for Classification, Approximation, and Prediction. IEEE Trans. Neural Netw. Learn. Syst. 2019, 30, 601–614. [Google Scholar] [CrossRef] [PubMed]
- Liu, G.; Wang, J. Dendrite Net: A White-Box Module for Classification, Regression, and System Identification. IEEE Trans. Cybern. 2021; in press. [Google Scholar] [CrossRef]
- Liu, G.; Wang, J. A relation spectrum inheriting Taylor series: Muscle synergy and coupling for hand. Front. Inform. Technol. Elect. Eng. 2022, 23, 145–157. [Google Scholar] [CrossRef]
- Xu, A.J.; Deng, X.Z.; Zhang, J.; Xu, K.; Li, J.B. A New Numerical Algorithm for Transmission Error Measurement at Gears Meshing. Adv. Mater. Res. 2012, 472, 1563–1567. [Google Scholar] [CrossRef]
- García-Ayuso, L.E.; Velasco, J.; Dobarganes, M.C.; de Castro, M.D.L. Accelerated extraction of the fat content in cheese using a focused microwave-assisted soxhlet device. J. Agric. Food Chem. 1999, 47, 2308–2315. [Google Scholar] [CrossRef]
- Zhang, Z.H.; Wang, J.X.; Zhou, G.W.; Pei, X. Analysis of mixed lubrication of RV reducer turning arm roller bearing. Ind. Lubr. Tribol. 2018, 70, 161–171. [Google Scholar] [CrossRef]
- Bahubalendruni, M.V.A.R.; Gulivindala, A.; Kumar, M.; Biswal, B.B.; Annepu, L.N. A hybrid conjugated method for assembly sequence generation and explode view generation. Assem. Autom. 2019, 39, 211–225. [Google Scholar] [CrossRef]
- Chen, C.; Yang, Y.H. Structural Characteristics of Rotate Vector Reducer Free Vibration. Shock Vib. 2017, 2017, 4214370. [Google Scholar] [CrossRef]
- Jin, S.S.; Tong, X.T.; Wang, Y.L. Influencing Factors on Rotate Vector Reducer Dynamic Transmission Error. Int. J. Autom. Technol. 2019, 13, 545–556. [Google Scholar] [CrossRef]
- Hu, Y.H.; Li, G.; Zhu, W.D.; Cui, J.K. An Elastic Transmission Error Compensation Method for Rotary Vector Speed Reducers Based on Error Sensitivity Analysis. Appl. Sci. 2020, 10, 481. [Google Scholar] [CrossRef]
- Kingma, D.P.; Ba, J.L. Adam: A method for stochastic optimization. In Proceedings of the 3rd International Conference on Learning Representations (ICLR 2015), San Diego, CA, USA, 7–9 May 2015. [Google Scholar]
- Gidon, A.; Zolnik, T.A.; Fidzinski, P.; Bolduan, F.; Papoutsi, A.; Poirazi, P.; Holtkamp, M.; Vida, I.; Larkum, M.E. Dendritic action potentials and computation in human layer 2/3 cortical neurons. Science 2020, 367, 83–87. [Google Scholar] [CrossRef] [PubMed]
- Liu, G. It may be time to improve the neuron of artificial neural network. TechRxiv, 2020; preprint. [Google Scholar]
- Mishra, B.P.; Panigrahi, T.; Wilson, A.M.; Sabat, S.L. A robust diffusion algorithm using logarithmic hyperbolic cosine cost function for channel estimation in wireless sensor network under impulsive noise environment. Digit. Signal Process. Rev. J. 2022, 123, 103384. [Google Scholar] [CrossRef]
- Zulfiqar, A.K.; Tanveer, H.; Ijaz, U.H.; Fath, U.M.U.; Sung, W.B. Towards efficient and effective renewable energy prediction via deep learning. Energy Rep. 2022, 8, 10230–10243. [Google Scholar]
- Song, Z.Y.; Tang, C.; Ji, J.K.; Todo, Y.; Tang, Z. A Simple Dendritic Neural Network Model-Based Approach for Daily PM2.5 Concentration Prediction. Electronics 2021, 10, 373. [Google Scholar] [CrossRef]







| Parameter | δrrp | δt∑ | δrp | δΔrp | δΔrrp |
|---|---|---|---|---|---|
| Upper limits | 0.03 | 0.001 | 0.015 | 0.078 | 0.048 |
| Lower limits | 0.01 | −0.003 | 0.005 | 0.026 | 0.016 |
| Serial Number | δrrp | δt∑ | δrp | δΔrp | δΔrrp | Transmission Error/′ |
|---|---|---|---|---|---|---|
| 1 | 0.025 | 0.001 | 0.015 | 0.038 | 0.036 | 1.880 |
| 2 | 0.017 | −0.001 | 0.023 | 0.040 | 0.041 | 2.151 |
| 3 | 0.015 | 0.001 | 0.020 | 0.032 | 0.036 | 1.193 |
| 4 | 0.020 | 0 | 0.020 | 0.038 | 0.068 | 1.419 |
| 5 | 0.010 | −0.001 | 0.010 | 0.016 | 0.026 | 0.786 |
| 6 | 0.025 | −0.002 | 0.020 | 0.026 | 0.052 | 1.762 |
| 7 | 0.020 | −0.003 | 0.020 | 0.040 | 0.063 | 2.001 |
| 8 | 0.023 | 0.001 | 0.017 | 0.040 | 0.041 | 2.508 |
| 9 | 0.027 | −0.002 | 0.027 | 0.032 | 0.052 | 1.952 |
| 10 | 0.020 | 0.001 | 0.013 | 0.032 | 0.031 | 1.166 |
| The Weight of Each Layer | Weight Value | ||||||||
|---|---|---|---|---|---|---|---|---|---|
| The first layer | 0.183 | −0.070 | −0.745 | 0.478 | −0.765 | The second layer | 0.826 | 0.465 | 0.205 |
| −0.601 | 0.091 | −0.313 | −0.006 | −0.498 | 0.656 | −0.973 | — | ||
| 0.146 | −0.325 | −0.538 | −0.181 | −0.119 | — | — | — | ||
| 0.484 | 1.127 | −0.681 | −0.747 | 0.447 | — | — | — | ||
| −0.412 | 0.665 | 0.513 | 0.280 | 0.117 | — | — | — | ||
| The third layer | 0.987 | 0.756 | — | — | — | The fourth layer | 1.029 | −0.725 | — |
| −1.273 | 0.987 | — | — | — | |||||
| Model | Parameter | Value |
|---|---|---|
| BP neural network | Learning rate | 0.001 |
| Optimizer | Stochastic Gradient Descent | |
| GRNN | Smooth factor | 0.03 |
| SVR-R | Penalty term | 40 |
| Gamma | 4 | |
| Dendritic Neural Network | Learning rate | 0.001 |
| Optimizer | Adam |
| Model | Mean Squared Error | Mean Absolute Error | Computational Efficiency/s |
|---|---|---|---|
| BP neural network | 0.1411 | 0.2545 | 13.708 |
| GRNN | 0.051 | 0.229 | 0.057 |
| SVR-R | 0.048 | 0.216 | 0.036 |
| Dendritic Neural Network | 0.032 | 0.121 | 9.751 |
Publisher’s Note: MDPI stays neutral with regard to jurisdictional claims in published maps and institutional affiliations. |
© 2022 by the authors. Licensee MDPI, Basel, Switzerland. This article is an open access article distributed under the terms and conditions of the Creative Commons Attribution (CC BY) license (https://creativecommons.org/licenses/by/4.0/).
Share and Cite
Jin, S.; Chen, Y.; Shao, Y.; Wang, Y. An Accuracy Prediction Method of the RV Reducer to Be Assembled Considering Dendritic Weighting Function. Energies 2022, 15, 7069. https://doi.org/10.3390/en15197069
Jin S, Chen Y, Shao Y, Wang Y. An Accuracy Prediction Method of the RV Reducer to Be Assembled Considering Dendritic Weighting Function. Energies. 2022; 15(19):7069. https://doi.org/10.3390/en15197069
Chicago/Turabian StyleJin, Shousong, Yanxi Chen, Yiping Shao, and Yaliang Wang. 2022. "An Accuracy Prediction Method of the RV Reducer to Be Assembled Considering Dendritic Weighting Function" Energies 15, no. 19: 7069. https://doi.org/10.3390/en15197069
APA StyleJin, S., Chen, Y., Shao, Y., & Wang, Y. (2022). An Accuracy Prediction Method of the RV Reducer to Be Assembled Considering Dendritic Weighting Function. Energies, 15(19), 7069. https://doi.org/10.3390/en15197069

