Impact of Spotted Hyena Optimized Cascade Controller in Load Frequency Control of Wave-Solar-Double Compensated Capacitive Energy Storage Based Interconnected Power System
Abstract
1. Introduction
- (a)
- Formulation of a three-area scheme with a thermal–bio-diesel in area-1, thermal–GPP in area-2, and thermal–Ss (GT) in area-3;
- (b)
- The gains of I/PI/PIDN/PDN(FOID) are simultaneously optimized individually using the SHO algorithm in order to obtain an excellent controller;
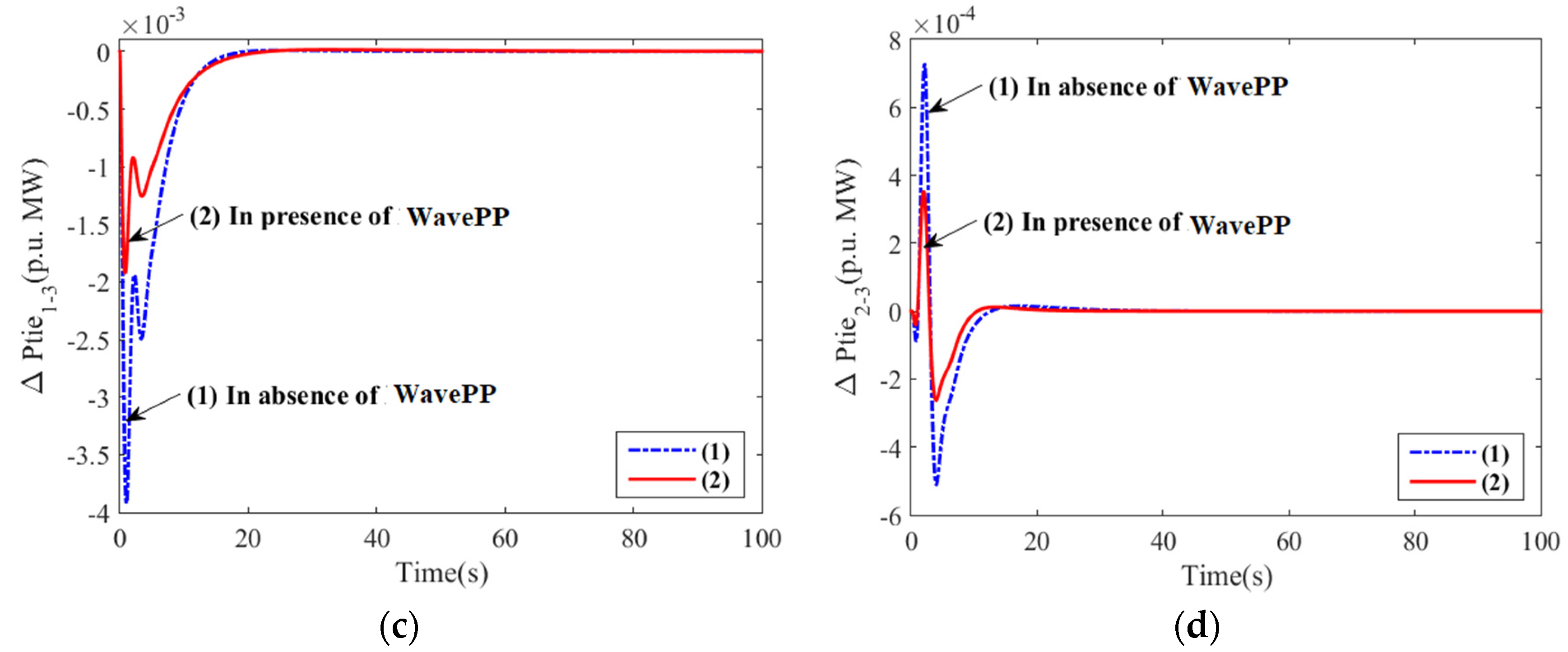
- (c)
- The scheme stated in (a) is combined with WavePPt in area-1, and its impact on the system dynamics is assessed;
- (d)
- The scheme stated in (a) is combined with PV in area-3, and its impact on the system dynamics is assessed;
- (e)
- The scheme stated in (a) is combined with WavePPt in area-1 and PV in area-3 together, and their impact on the system dynamics is assessed;
- (f)
- The scheme stated in (e) is combined with CES with/without duple compensation separately, and their impact on the system dynamics is studied on an individual basis;
- (g)
- Sensitivity investigation is undertaken to examine the toughness of the superlative ‘controller’s gains when subjected to a random pattern of load disturbance.
2. Structure Portrayal
2.1. Overall Portrayal of Structure
2.2. RWS—Wave Power Plant (WavePPt)
2.3. Energy Storage Device—Capacitive Energy Storage (CES)
3. The Proposed Approach
3.1. Problem Declaration
3.2. Commended Controller
3.3. Objective Function
4. Spotted Hyena Optimizer
- 1.
- Encompassing capture: To develop the numerical prototype, it is assumed that the present finest contender is the destined capture, which is closest to the optimum given that the chase arena was not known previously. The remaining chase agents will seek to renew their spot with reference to the response of the finest contender about the finest location. The numerical prototype is manifested by (22) and (23)In the above expressions, is the stretch between the Pr of the hunt, and is the spot vector of SH. and are computed as in (24)–(26)For appropriately corresponding the exploration and exploitation, in straight line declined from 5 to 0 over the duration of the maximum iteration. Additionally, this execution indorses extra exploitation as the count value rises. However, and are arbitrary vectors within [0, 1].
- 2.
- Trapping: In order to characterize the conduct of SH numerically, it is assumed that the finest chase agent has information regarding the spot of the hunt. The remaining chase agents form groups toward the finest chase agent and save the finest results attained so far to restore their spots according to the following Equations (27)–(29)describes the spot of initial finest SH, and describes the spot of further SH. At this time, N designates the figure of SH, which is figured as follows:is the arbitrary vector in [0.5, 1], the numbers outline the figure of the results and the totality of all the contender results, afterward adding , which is far from comparable to the finest ideal result in the specified hunt space, and , which is an assembly of N figure of ideal results.
- 3.
- Encroaching hunt (exploitation): To numerically model for invading the hunt, the value is lessened. The disparity in is also reduced from 5 to 0 in due course of the count. |E| < 1 forces the assembly of SH to attack on the way to the hunt. The numerical design for invading the hunt isstores the finest result and revises the spot of further chase agents as per the spot of the finest chase agent.
- 4.
- Hunt for target (exploration): SH mostly chase the hunt, as per the spot of the assembly of the SH that exist in . They shift apart from one another to chase and to combat for the hunt. Then, they utilize with arbitrary values >1 or <−1 to compel the chase agents to shift far away from the hunt. This mechanism permits the SHO algorithm to hunt in a wide-reaching manner. The SHO’s flowchart is provided in Figure 4.
5. Methodology
6. Outcomes and Valuation
6.1. Evaluation of Dynamic Outcome for the Choice of Superlative Controller
6.2. Nomination of Performance Index
6.3. Nomination of Algorithm
6.4. Evaluation of Influence of the Wave Power Plant on Dynamics of System
6.5. Evaluation of Influence of PV on Scheme Dynamics
6.6. Assessment of Impact of Both WavePPt and PV on Scheme Dynamics
6.7. Evaluation of the Influence of CES through/without Duple Compensation on Scheme Changing Aspects
6.8. Sensitivity Determination When Subjected to Random Disturbance
7. Conclusions
Author Contributions
Funding
Institutional Review Board Statement
Informed Consent Statement
Data Availability Statement
Conflicts of Interest
Nomenclature
| f | Balance point valuation of frequency measured in Hertz (Hz). |
| * | Best aggregate suggested by exponent. |
| k | Count of areas suggested. |
| Bk | Portion of frequency bias of areas engaged. |
| Tkj | Portion of synchronization. |
| T | Total moment of simulation measured in seconds. |
| ∆fk | Modification of frequency of areas engaged. |
| ∆PDk | Degree of load modification of areas engaged. |
| Hk | Degree of inertia constant of areas engaged. |
| Dk | Degree of load modification of areas engaged (p.u. MW)/Modification of frequency of areas engaged (Hz). |
| Rk | Factor related to governor’s speed regulation of area suggested. |
| βk | Attributions of frequency outcome of area suggested. |
| Kpk | Gain constant of power system representation. |
| Tpk | Time constant of power system prototypes. |
| Prk | Considerable rated power of area suggested. |
| akj | Considerable rated power of area-k/Considerable rated power of area-j |
| pf | Area contribution factor. |
| Tg, Tt, Tr | Time constants of thermal generating parts in seconds (s). |
| Kr | Reheater’s gain. |
Appendix A
- Basic Power System: f = 60 Hz; Primary loading = 50%, Kpm = 120 Hz/p.u. MW, Tpm = 20 s, Tm = 0.086 s, Hm = 5 s; Dm = 0.00833 p.u. MW/Hz; βm = 0.425 p.u. MW/Hz; Rm = 2.4 Hz/p.u MW
- Thermal: Trm = 10 s, Krm = 5, Ttm = 0.3 s, Tgm = 0.08 s;
- Bio-diesel: Kvr = 1, Tvr = 0.05 s, Kce = 1, Tce = 0.5 s;
- Ss(GT): Lmax = 1, T3 = 3 s, T1 = T2 = 1.5 s, KT = 1, FOVmax = 1, FOVmin = −0.02, Dtur = 0 p.u;
- CES: KCES = 0.3, TCES = 0.0352 s;
- CES with duple compensation: KCES (duple compensation) = 0.3, TCES (duple compensation) = 0.046 s, T1 = 0.280, T2 = 0.025, T3 = 0.0411, T4 = 0.39;
- PV: A = 900, B = −18, C = 100, D = 50.
References
- Elgerd, O.I. Electric Energy Systems Theory: An Introduction; McGraw-Hill: New Delhi, India, 2007. [Google Scholar]
- Kundur, P. Power System Stability and Control; McGraw-Hill: New Delhi, India, 1993. [Google Scholar]
- Ibraheem Kumar, P.; Kothari, D.P. Recent philosophies of automatic generation control strategies in power systems. IEEE Trans. Power Syst. 2005, 20, 346–357. [Google Scholar] [CrossRef]
- Das, D.; Aditya, S.K.; Kothari, D.P. Dynamics of diesel and wind turbine generators on an isolated power system. Electr. Power Energy Syst. 1999, 21, 183–189. [Google Scholar] [CrossRef]
- Das, D.C.; Roy, A.K.; Sinha, N. GA based frequency controller for solar thermal–diesel–wind hybrid energy generation/energy storage system. Int. J. Electr. Power Energy Syst. 2012, 43, 262–279. [Google Scholar] [CrossRef]
- Ismayil, C.; Sreerama, K.R.; Sindhu, T.K. Automatic generation control of single area thermal power system with fractional order PID (PIλDμ) controllers. In Proceedings of the 3rd International Conference on Advances in Control and Optimization of Dynamical Systems, Kanpur, India, 13–15 March 2014; pp. 552–557. [Google Scholar]
- Elgerd, O.I.; Fosha, C.E. Optimum Megawatt-Frequency Control of Multiarea Electric Energy Systems. IEEE Trans. Power Appar. Syst. 1970, 89, 556–563. [Google Scholar] [CrossRef]
- Bhatt, P.; Roy, R.; Ghoshal, S.P. GA/particle swarm intelligence based optimization of two specific varieties of controller devices applied to two-area multi-units automatic generation control. Int. J. Electr. Power Energy Syst. 2010, 32, 299–310. [Google Scholar] [CrossRef]
- Nanda, J.; Saikia, L.C. Comparison of performances of several types of classical controller in automatic generation control for an interconnected multi-area thermal system. In Proceedings of the Power Engineering Conference, 2008. AUPEC ‘08. Australasian Universities, Sydney, Australia, 14–17 December 2008. [Google Scholar]
- Nanda, J.; Mishra, S.; Saikia, L.C. Maiden application of bacterial foraging based optimization technique in multi area automatic generation control. IEEE Trans. Power Syst. 2009, 24, 602–609. [Google Scholar] [CrossRef]
- Golpira, H.; Bevrani, H.; Golpira, H. Application of GA optimization for automatic generation control design in an interconnected power system. Energy Convers. Manag. 2011, 52, 2247–2255. [Google Scholar] [CrossRef]
- Dhamanda, A.; Dutt, A.; Bhardwaj, A.K. Automatic Generation Control in Four Area Interconnected Power System of Thermal Generating Unit through Evolutionary Technique. Int. J. Electr. Eng. Inform. 2015, 7, 569–583. [Google Scholar]
- Saikia, L.C.; Nanda, J.; Mishra, S. Performance comparison of several classical controllers in AGC for multi-area interconnected thermal system. Int. J. Electr. Power Energy Syst. 2011, 33, 394–401. [Google Scholar] [CrossRef]
- Nanda, J.; Mangla, A.; Suri, S. Some new findings on automatic generation control of an interconnected hydrothermal system with conventional controllers. IEEE Trans. Energy Convers. 2006, 21, 187–194. [Google Scholar] [CrossRef]
- Saikia, L.C.; Chowdhury, A.; Shakya, N.; Shukla, S.; Soni, P.K. AGC of a multi area thermal system using firefly optimized IDF controller. In Proceedings of the 2013 Annual IEEE India Conference (INDICON), Mumbai, India, 13–15 December 2013. [Google Scholar]
- Pradhan, P.C.; Sahu, R.K.; Panda, S. Firefly algorithm optimized fuzzy PID controller for AGC of multi-area multi-source power systems with UPFC and SMES. Eng. Sci. Technol. Int. J. 2016, 19, 338–354. [Google Scholar] [CrossRef]
- Saha, A.; Saikia, L.C. Renewable energy source-based multiarea AGC system with integration of EV utilizing cascade controller considering time delay. Int. Trans. Electr. Energy Syst. 2019, 29, e2646. [Google Scholar] [CrossRef]
- Arya, Y. AGC of PV-thermal and hydro-thermal energy systems using CES and a new multistage FPIDF-(1+PI) controller. Renew. Energy 2019, 134, 796–806. [Google Scholar] [CrossRef]
- Tasnin, W.; Saikia, L.C. Performance comparison of several energy storage devices in deregulated AGC of a multi-area system incorporating geothermal power plant. IET Renew. Power Gener. 2018, 12, 761–772. [Google Scholar]
- Barik, A.K.; Das, D.C. Expeditious frequency control of solar photobiotic/biogas/biodiesel generator based isolated renewable microgrid using Grasshopper Optimisation Algorithm. IET Renew. Power Gener. 2018, 12, 1659–1667. [Google Scholar]
- Hasanien, M.H. Whale optimisation algorithm for automatic generation control of interconnected modern power systems including renewable energy sources. IET Gener. Transm. Distrib. 2018, 12, 607–614. [Google Scholar]
- Dhundhara, S.; Verma, Y.P. Capacitive energy storage with optimized controller for frequency regulation in realistic multisource deregulated power system. Energy 2018, 147, 1108–1128. [Google Scholar]
- Pathak, N.; Verma, A.; Bhatti, T.S.; Nasiruddin, I. Modeling of HVDC tie-links and their utilization in AGC/LFC operations of multi-area power systems. IEEE Trans. Ind. Electron. 2019, 66, 2185–2197. [Google Scholar] [CrossRef]
- Kumari, N.; Malik, N.; Jha, A.N.; Mallesham, G. Design of PI Controller for Automatic Generation Control of Multi Area Interconnected Power System using Bacterial Foraging Optimization. Int. J. Eng. Technol. 2016, 8, 2779–2786. [Google Scholar] [CrossRef]
- Jagatheesan, K.; Anand, B.; Samanta, S.; Dey, N.; Ashour, A.S.; Balas, V.E. Design of a proportional-integral-derivative controller for an automatic generation control of multi-area power thermal systems using firefly algorithm. IEEE/CAA J. Autom. Sin. 2019, 6, 503–515. [Google Scholar]
- Dash, P.; Saikia, L.C.; Sinha, N. Comparison of performances of several FACTS devices using Cuckoo search algorithm optimized 2DOF controllers in multi-area AGC. Electr. Power Energy Syst. 2015, 65, 316–324. [Google Scholar] [CrossRef]
- Rahman, A.; Saikia, L.C.; Sinha, N. AGC of dish-stirling solar thermal integrated thermal system with biogeography based optimised three degree of freedom PID controller. IET Renew. Power Gener. 2016, 10, 1161–1170. [Google Scholar] [CrossRef]
- Reddy, P.J.; Kumar, T.A. AGC of three-area hydro-thermal system in deregulated environment using FOPI and IPFC. In Proceedings of the 2017 International Conference on Energy, Communication, Data Analytics and Soft Computing (ICECDS), Chennai, Indian, 1–2 August 2017; pp. 2815–2821. [Google Scholar] [CrossRef]
- Pan, I.; Das, S. Fractional order AGC for distributed energy resources using robust optimization. IEEE Trans. Smart Grid 2016, 7, 2175–2186. [Google Scholar] [CrossRef]
- Dash, P.; Saikia, L.C.; Sinha, N. Automatic generation control of multi area thermal system using Bat algorithm optimized PD–PID cascade controller. Int. J. Electr. Power Energy Syst. 2015, 68, 364–372. [Google Scholar] [CrossRef]
- Saha, A.; Saikia, L.C. Utilisation of ultra-capacitor in load frequency control under restructured STPP-thermal power systems using WOA optimised PIDN-FOPD controller. IET Gener. Transm. Distrib. 2017, 11, 3318–3331. [Google Scholar] [CrossRef]
- Sahu, R.K.; Panda, S.; Rout, U.K.; Sahoo, D.K. Teaching learning based optimization algorithm for automatic generation control of power system using 2-DOF PID controller. Int. J. Elect. Power Energy Syst. 2016, 77, 287–301. [Google Scholar] [CrossRef]
- Haroun, A.H.G.; Li, Y.-Y. A novel optimized hybrid fuzzy logic intelligent PID controller for an interconnected multi-area power system with physical constraints and boiler dynamics. ISA Trans. 2017, 71, 364–379. [Google Scholar] [CrossRef]
- Padhan, S.; Sahu, R.K.; Panda, S. Application of firefly algorithm for load frequency control of multi-area interconnected power system. Electr. Power Compon. Syst. 2014, 42, 1419–1430. [Google Scholar] [CrossRef]
- Sharma, Y.; Saikia, L.C. Automatic generation control of a multi-area ST—thermal power system using Grey Wolf Optimizer algorithm based classical controllers. Electr. Power Energy Syst. 2015, 73, 853–862. [Google Scholar] [CrossRef]
- Kumar, N.; Kumar, V.; Tyagi, B. Multi area AGC scheme using imperialist competition algorithm in restructured power system. Appl. Soft Comput. 2016, 48, 160–168. [Google Scholar] [CrossRef]
- Dash, P.; Saikia, L.C.; Sinha, N. Flower pollination algorithm optimized PI-PD cascade controller in automatic generation control of a multi-area power system. Int. J. Electr. Power Energy Syst. 2016, 82, 19–28. [Google Scholar] [CrossRef]
- Khan, M.H.; Ulasyar, A.; Khattak, A.; Zad, H.S.; Alsharef, M.; Alahmadi, A.A.; Ullah, N. Optimal Sizing and Allocation of Distributed Generation in the Radial Power Distribution System Using Honey Badger Algorithm. Energies 2022, 15, 5891. [Google Scholar] [CrossRef]
- Sun, S.; Zhang, Q.; Sun, J.; Cai, W.; Zhou, Z.; Yang, Z.; Wang, Z. Lead–Acid Battery SOC Prediction Using Improved AdaBoost Algorithm. Energies 2022, 15, 5842. [Google Scholar] [CrossRef]
- Zhu, L.; He, J.; He, L.; Huang, W.; Wang, Y.; Liu, Z. Optimal Operation Strategy of PV-Charging-Hydrogenation Composite Energy Station Considering Demand Response. Energies 2022, 15, 5915. [Google Scholar] [CrossRef]
- Dhiman, G.; Kumar, V. Spotted hyena optimizer: A novel bio-inspired based metaheuristic technique for engineering applications. Adv. Eng. Softw. 2017, 114, 48–70. [Google Scholar] [CrossRef]
- Chiranjeevi, T.; Biswas, R.K. Discrete-Time Fractional Optimal Control. Mathematics 2017, 5, 25. [Google Scholar] [CrossRef]
- Chiranjeevi, T.; Biswas, R.K. Closed-Form Solution of Optimal Control Problem of a Fractional Order System. J. King Saud Univ. –Sci. 2019, 31, 1042–1047. [Google Scholar] [CrossRef]
- Chiranjeevi, T.; Biswas, R.K.; Devarapalli, R.; Babu, N.R.; Marquez, P.G. On optimal control problem subject to fractional order discrete time singular systems. Arch. Control. Sci. 2021, 31, 849–863. [Google Scholar]
- Oustaloup, A.; Mathieu, B.; Lanusse, P. The CRONE Control of Resonant Plants: Application to a Flexible Transmission. Eur. J. Control. 1995, 1, 113–121. [Google Scholar] [CrossRef]
- Knypiński, Ł.; Kuroczycki, S.; Márquez, F.P.G. Minimization of Torque Ripple in the Brushless DC Motor Using Constrained Cuckoo Search Algorithm. Electronics 2021, 10, 2299. [Google Scholar]
- Devarapalli, R.; Kumar Sinh, N.; Bathinavenkateswara, R.; Knypiński, Ł.; Jaya Naga, N.; Marquez, F.P.G. Allocation of real power generation based on computing over all generation cost: An approach of Salp Swarm Algorithm. Arch. Electr. Eng. 2021, 70, 337–349. [Google Scholar] [CrossRef]

















| Name of Controllers | Corresponding Gains and Correlated Parameters | Area-1 | Area-2 | Area-3 |
|---|---|---|---|---|
| I | KIi * | 0.9885 | 0.9897 | 0.9876 |
| PI | KPi * | 0.3565 | 0.5533 | 0.5538 |
| KIi * | 0.4745 | 0.6497 | 0.7584 | |
| PIDN | KPi * | 0.6975 | 0.9728 | 0.9739 |
| KIi * | 0.5982 | 0.9836 | 0.9878 | |
| KDi * | 0.6315 | 0.3140 | 0.3041 | |
| Ni * | 10.77 | 11.41 | 11.25 | |
| FOPID | KFPi * | 0.0094 | 0.0095 | 0.0096 |
| KFIi * | 0.3765 | 0.8354 | 0.9379 | |
| λi | 1.4352 | 1.1876 | 1.1587 | |
| KFDi * | 0.4549 | 0.6357 | 0.5366 | |
| μi * | 1.0477 | 0.0768 | 0.1585 | |
| PDN(FOID) | KPi * | 0.8686 | 0.5188 | 0.6875 |
| KDi * | 0.5796 | 0.7362 | 0.9421 | |
| Ni * | 55.58 | 68.83 | 79.77 | |
| KFIi * | 0.9976 | 0.9041 | 0.7454 | |
| λi * | 1.0099 | 0.9454 | 0.9710 | |
| KFDi * | 0.8508 | 0.8261 | 0.8554 | |
| μi * | 0.7853 | 0.2804 | 0.7216 |
| Responses | Name of Controllers | Pk_O | Pk_U | S_Time (in Seconds) |
|---|---|---|---|---|
| Δf1 (Figure 5a) | I | 0.0103 | 0.0191 | 39.42 |
| PI | 0.0092 | 0.0186 | 35.53 | |
| PIDN | 0.0051 | 0.0156 | 31.42 | |
| FOPID | 0.0045 | 0.0113 | 27.84 | |
| PDN(FOID) | 0.0007 | 0.0112 | 25.81 | |
| Δf2 (Figure 5b) | I | 0.0021 | 0.0048 | 43.52 |
| PI | 0.0008 | 0.0051 | 42.23 | |
| PIDN | 0.0001 | 0.0045 | 39.63 | |
| FOPID | 0.0006 | 0.0041 | 39.97 | |
| PDN(FOID) | 0 | 0.0038 | 35.31 | |
| ΔPtie1–2 (Figure 5c) | I | 0.0001 | 0.0059 | 39.45 |
| PI | 0 | 0.0057 | 39.41 | |
| PIDN | 0 | 0.0044 | 34.24 | |
| FOPID | 0.0008 | 0.0041 | 33.87 | |
| PDN(FOID) | 0 | 0.0039 | 21.71 | |
| ΔPtie1–3 (Figure 5d) | I | 0.0002 | 0.0062 | 42.23 |
| PI | 0 | 0.0058 | 34.88 | |
| PIDN | 0 | 0.0044 | 34.24 | |
| FOPID | 0.0011 | 0.0041 | 37.02 | |
| PDN(FOID) | 0 | 0.0039 | 21.04 |
| Responses | Name of Performance Indices | Pk_O | Pk_U | S_Time (in Seconds) |
|---|---|---|---|---|
| Δf1 (Figure 6a) | IAE | 0.0021 | 0.0142 | 29.57 |
| ITAE | 0.0027 | 0.0145 | 27.16 | |
| ITSE | 0.0019 | 0.0146 | 26.65 | |
| ISE | 0.0007 | 0.0112 | 25.81 | |
| Δf2 (Figure 6b) | IAE | 0.0019 | 0.0144 | 36.37 |
| ITAE | 0.0028 | 0.0147 | 37.72 | |
| ITSE | 0.0020 | 0.0146 | 36.01 | |
| ISE | 0 | 0.0038 | 35.31 | |
| ΔPtie1–2 (Figure 6c) | IAE | 0.0013 | 0.0045 | 44.73 |
| ITAE | 0.0013 | 0.0046 | 42.74 | |
| ITSE | 0.0001 | 0.0047 | 50.24 | |
| ISE | 0 | 0.0039 | 21.71 |
| Responses | Name of Algorithms | Pk_O | Pk_U | S_Time (in Seconds) |
|---|---|---|---|---|
| Δf1 (Figure 7a) | FA | 0.0026 | 0.01201 | 32.95 |
| CS | 0.0029 | 0.0113 | 33.79 | |
| PSO | 0.0018 | 0.0013 | 33.04 | |
| WOA | 0.0021 | 0.0118 | 29.19 | |
| SHO | 0.0007 | 0.0112 | 25.81 | |
| Δf3 (Figure 7b) | FA | 0.0011 | 0.0053 | 36.03 |
| CS | 0.0013 | 0.0053 | 30.06 | |
| PSO | 0.0008 | 0.0053 | 38.04 | |
| WOA | 0.0009 | 0.0055 | 26.84 | |
| SHO | 0 | 0.0052 | 23.53 | |
| ΔPtie1–3 (Figure 7c) | FA | 0.0012 | 0.0041 | 33.76 |
| CS | 0.0010 | 0.0041 | 36.09 | |
| PSO | 0.0011 | 0.0040 | 37.15 | |
| WOA | 0.0006 | 0.0041 | 30.23 | |
| SHO | 0 | 0.0039 | 21.04 |
| Name of Controller | Corresponding Gains and Correlated Parameters | Area-1 | Area-2 | Area-3 |
|---|---|---|---|---|
| PDN(FOID) | KPi * | 0.9898 | 0.9687 | 0.9603 |
| KDi * | 0.9785 | 0.4252 | 0.9232 | |
| Ni * | 72.24 | 56.07 | 78.85 | |
| KFIi * | 0.5725 | 0.5575 | 0.8418 | |
| λi * | 1.0484 | 0.3997 | 1.0965 | |
| KFDi * | 0.9632 | 0.3326 | 0.6901 | |
| μi * | 0.5911 | 0.7509 | 0.8949 |
| Name of Controller | Corresponding Gains and Correlated Parameters | Area-1 | Area-2 | Area-3 |
|---|---|---|---|---|
| PDN(FOID) | KPi * | 0.9898 | 0.6324 | 0.7416 |
| KDi * | 0.7992 | 0.4900 | 0.4163 | |
| Ni * | 44.42 | 65.94 | 44.87 | |
| KFIi * | 0.7752 | 0.4882 | 0.6698 | |
| λi * | 1.0305 | 0.6213 | 0.5595 | |
| KFDi * | 0.8085 | 0.8341 | 0.7768 | |
| μi * | 0.6545 | 0.6640 | 0.7541 |
| Name of Controller | Corresponding Gains and Correlated Parameters | Area-1 | Area-2 | Area-3 |
|---|---|---|---|---|
| PDN(FOID) | KPi * | 0.9899 | 0.8510 | 0.6775 |
| KDi * | 0.5957 | 0.4620 | 0.4404 | |
| Ni * | 39.08 | 50.13 | 42.96 | |
| KFIi * | 0.4607 | 0.8522 | 0.5740 | |
| λi * | 1.0916 | 0.9588 | 0.7276 | |
| KFDi * | 0.9379 | 0.8374 | 0.9869 | |
| μi * | 0.9947 | 0.7315 | 0.7899 |
| Name of Controller | Corresponding Gains and Correlated Parameters | Area-1 | Area-2 | Area-3 |
|---|---|---|---|---|
| PDN(FOID) | KPi * | 0.9897 | 0.9769 | 0.2093 |
| KDi * | 0.6681 | 0.5151 | 0.8276 | |
| Ni * | 74.90 | 63.37 | 93.11 | |
| KFIi * | 0.5953 | 0.9368 | 0.5812 | |
| λi * | 1.0814 | 1.2086 | 0.9863 | |
| KFDi * | 0.8434 | 0.9893 | 0.7160 | |
| μi * | 0.5678 | 0.0027 | 0.6173 |
| Name of Controller | Corresponding Gains and Correlated Parameters | Area-1 | Area-2 | Area-3 |
|---|---|---|---|---|
| PDN(FOID) | KPi * | 0.9899 | 0.9288 | 0.1632 |
| KDi * | 0.9785 | 0.4533 | 0.4110 | |
| Ni * | 44.19 | 54.55 | 43.39 | |
| KFIi * | 0.8900 | 0.9529 | 0.4464 | |
| λi * | 1.0914 | 0.0095 | 0.1938 | |
| KFDi * | 0.9632 | 0.9630 | 0.7367 | |
| μi * | 0.7989 | 0.7919 | 0.8705 |
| Name of Controller | Corresponding Gains and Correlated Parameters | Area-1 | Area-2 | Area-3 |
|---|---|---|---|---|
| PDN(FOID) | KPi * | 0.8095 | 0.8965 | 0.2588 |
| KDi * | 0.8921 | 0.5145 | 0.5147 | |
| Ni * | 48.36 | 62.36 | 51.36 | |
| KFIi * | 0.8478 | 0.9147 | 0.5147 | |
| λi * | 1.0549 | 0.0089 | 0.2147 | |
| KFDi * | 0.8956 | 0.8899 | 0.8144 | |
| μi * | 0.6897 | 0.7514 | 0.8566 |
Publisher’s Note: MDPI stays neutral with regard to jurisdictional claims in published maps and institutional affiliations. |
© 2022 by the authors. Licensee MDPI, Basel, Switzerland. This article is an open access article distributed under the terms and conditions of the Creative Commons Attribution (CC BY) license (https://creativecommons.org/licenses/by/4.0/).
Share and Cite
Saha, A.; Dash, P.; Babu, N.R.; Chiranjeevi, T.; Venkateswararao, B.; Knypiński, Ł. Impact of Spotted Hyena Optimized Cascade Controller in Load Frequency Control of Wave-Solar-Double Compensated Capacitive Energy Storage Based Interconnected Power System. Energies 2022, 15, 6959. https://doi.org/10.3390/en15196959
Saha A, Dash P, Babu NR, Chiranjeevi T, Venkateswararao B, Knypiński Ł. Impact of Spotted Hyena Optimized Cascade Controller in Load Frequency Control of Wave-Solar-Double Compensated Capacitive Energy Storage Based Interconnected Power System. Energies. 2022; 15(19):6959. https://doi.org/10.3390/en15196959
Chicago/Turabian StyleSaha, Arindita, Puja Dash, Naladi Ram Babu, Tirumalasetty Chiranjeevi, Bathina Venkateswararao, and Łukasz Knypiński. 2022. "Impact of Spotted Hyena Optimized Cascade Controller in Load Frequency Control of Wave-Solar-Double Compensated Capacitive Energy Storage Based Interconnected Power System" Energies 15, no. 19: 6959. https://doi.org/10.3390/en15196959
APA StyleSaha, A., Dash, P., Babu, N. R., Chiranjeevi, T., Venkateswararao, B., & Knypiński, Ł. (2022). Impact of Spotted Hyena Optimized Cascade Controller in Load Frequency Control of Wave-Solar-Double Compensated Capacitive Energy Storage Based Interconnected Power System. Energies, 15(19), 6959. https://doi.org/10.3390/en15196959

