Effect of Nano-MgO Doping in XLPE on Charge Transport and Electric Field Distribution in Composite Insulation of HVDC Cable Joint
Abstract
:1. Introduction
2. Trap Parameters Evaluation of MgO/XLPE
2.1. Trap Depth Evaluation
2.2. Trap Density Evaluation
3. Charge Transport Simulation of HVDC Cable Joint
3.1. Bipolar Charge Transport Model
3.2. Geometric Model Building and Parameter Setting
4. Simulation Results and Analysis
4.1. Charge and Electric Field Distributions in the Radial Direction of the Cable Joint
4.2. Charge and Electric Field Distributions at the Interface of the Cable Joint
4.3. Effect of Temperature Difference on Charge and Electric Field Distributions
5. Conclusions
- (1)
- The radial charge distribution of the cable joint does not significantly change when the nano-MgO concentrations are 0 and 0.1 wt%. With a further increase in the concentration, the accumulated charges in MgO/XLPE first increased and then decreased, while the charges in EPDM monotonically decreased. There is a difference in charge density between the two sides of the (MgO/XLPE)/EPDM interface, and the difference first decreased and then increased with the increase of nano-MgO concentration. When the concentration was 0.5 wt%, the radial charges in the joint were the fewest. This conclusion provides support for revealing the charge transport mechanism of the cable joint after the cable insulation (XLPE) is modified by adding nano-MgO.
- (2)
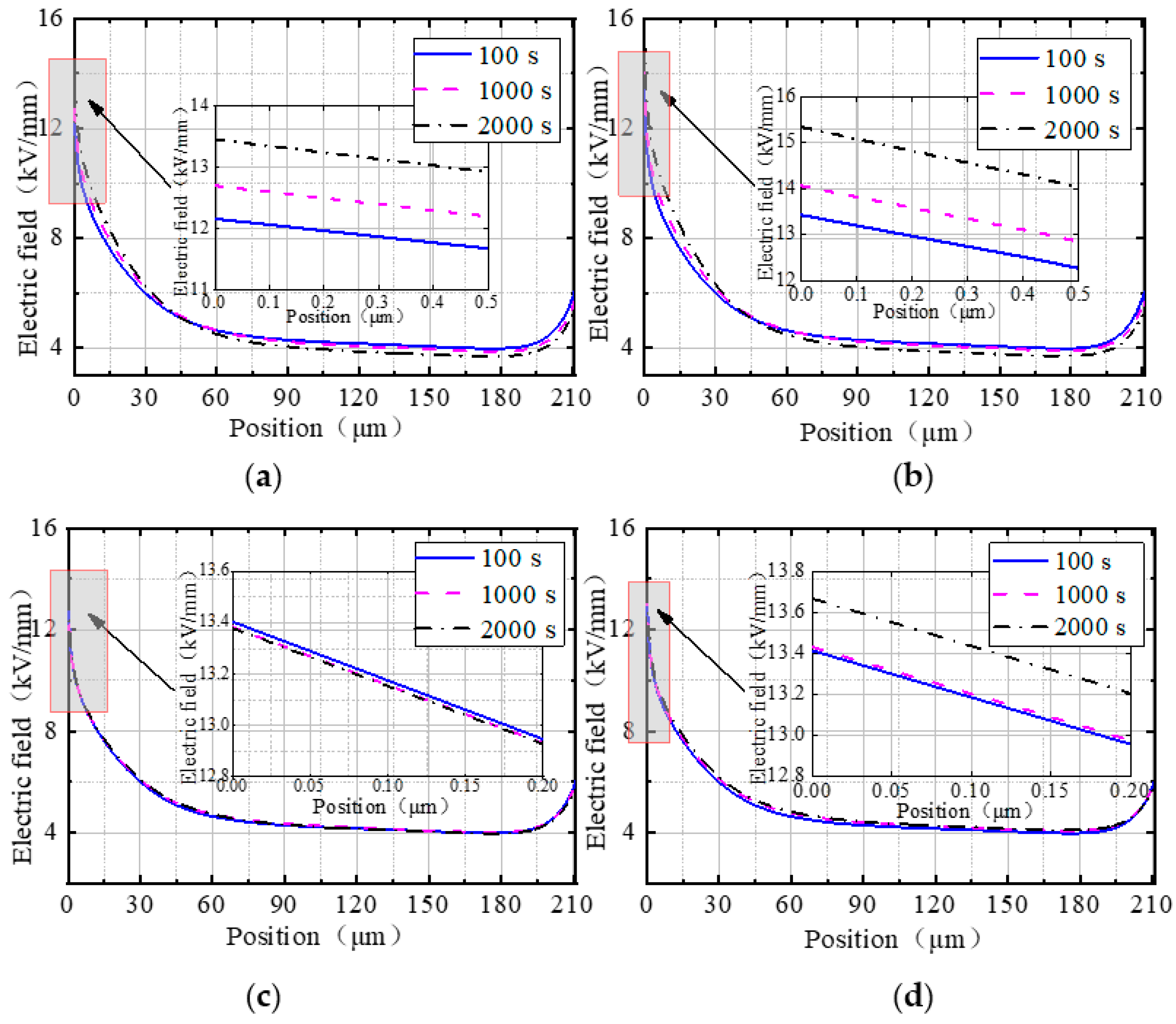
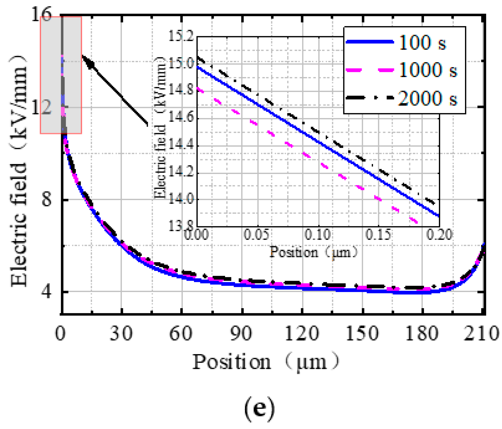
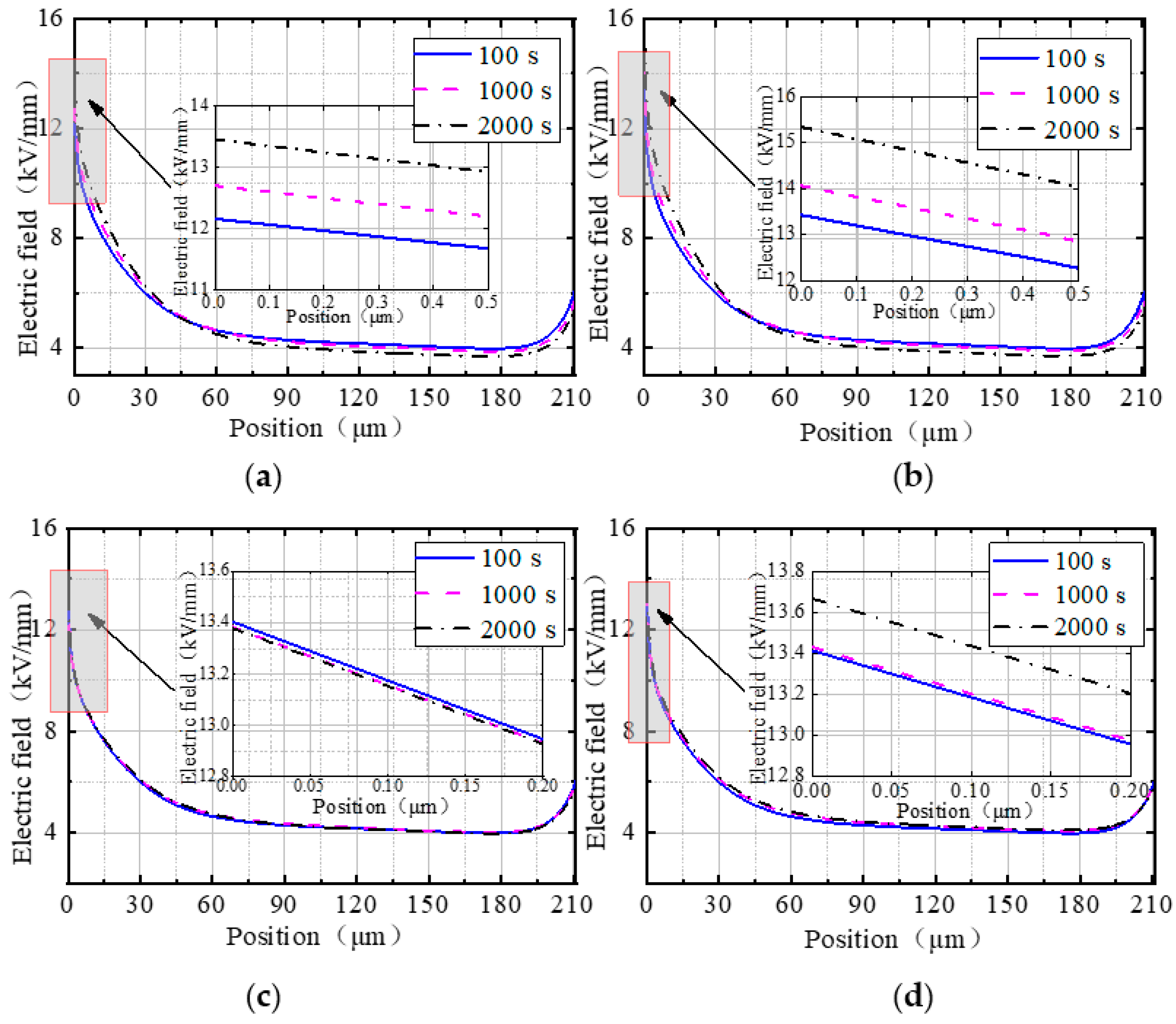
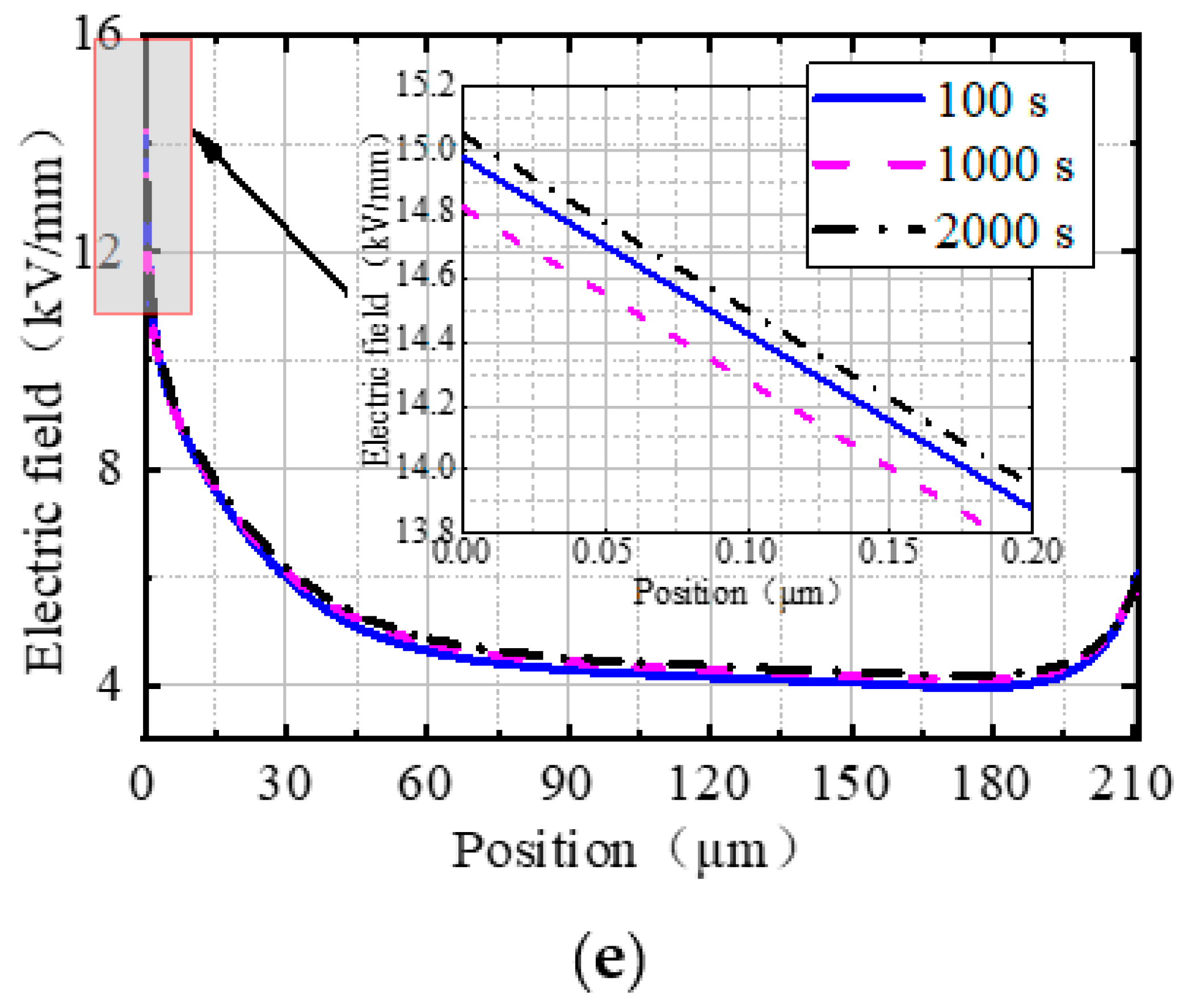
- Due to the difference in charge density between both sides of the (MgO/XLPE)/EPDM interface, the radial electric field in the joint with different nano-MgO concentrations abruptly change at the interface. With the extension of time, the electric field decreased in MgO/XLPE while it increased in EPDM, and the radial electric field of the joint was homogenized to some extent. This conclusion provides support for clarifying the electric field distribution of the cable joint after the cable insulation (XLPE) is modified by adding nano-MgO.
- (3)
- When the nano-MgO concentration is 0.5 wt%, the number of charges accumulated in the radial direction of the joint was the fewest, and the electric field at the root of the stress cone was the lowest. Therefore, it can be considered that the joint can maintain better performance when the concentration is 0.5 wt% compared with other concentrations. This conclusion provides a reference for improving the insulation performance of the cable joint by nano-MgO addition.
- (4)
- When the nano-MgO concentration was 0.5 wt%, with the increase of the temperature difference of the cable joint, the number of charges accumulated at the (MgO/XLPE)/EPDM interface gradually increased and had a tendency to be saturated. The charges in MgO/XLPE gradually increased, and the position of the maximum value gradually appeared from the inner shield side to the middle of MgO/XLPE, while the charge density curves in EPDM intersected.
Author Contributions
Funding
Data Availability Statement
Conflicts of Interest
References
- Chen, X.; Dai, C.; Yu, L.; Jiang, C.; Zhou, H.; Tanaka, Y. Effect of thermal ageing on charge dynamics and material properties of 320 kV HVDC XLPE. IEEE Trans. Dielectr. Electr. Insul. 2019, 26, 1797–1804. [Google Scholar] [CrossRef]
- Du, B.; Zhao, G.; Li, Z.; Han, C. Effects of Harmonic Component on Electrical Tree in EPDM for HVDC Cable Accessories Insulation. IEEE Trans. Dielectr. Electr. Insul. 2021, 28, 578–585. [Google Scholar] [CrossRef]
- Morshuis, P.; Cavallini, A.; Fabiani, D.; Montanari, G.C.; Azcarraga, C. Stress conditions in HVDC equipment and routes to in service failure. IEEE Trans. Dielectr. Electr. Insul. 2015, 22, 81–91. [Google Scholar] [CrossRef]
- Wang, Y.; Sun, Y.; Zhang, S.; Ren, P.; Yang, X.; Wang, Y.; Yin, Y. Study on interface region space charge distribution of HVDC cable joints based on molecular chain dynamics. Proc. CSEE 2022, 42, 3854–3864. (In Chinese) [Google Scholar]
- Chen, J.; Gao, Y.; Zhu, M.; Li, J.; Yu, Q. Space charge dynamics in double-layered insulation cable under polarity reversal voltage. IEEE Trans. Dielectr. Electr. Insul. 2020, 27, 622–630. [Google Scholar] [CrossRef]
- Meng, F.; Wang, X.; He, D.; Li, Q. Study on the Relation between Space Charge Accumulation at Cable Stress Cone and Semiconducting Materials. In Proceedings of the 2019 2nd International Conference on Electrical Materials and Power Equipment (ICEMPE), Guangzhou, China, 7–10 April 2019; pp. 65–68. [Google Scholar]
- Yu, J.; Chen, X.; Zhou, H. Electric field calculation and optimization for stress cone of DC cable joint based on the coaxial double-layer insulation model. IEEE Trans. Dielectr. Electr. Insul. 2020, 27, 33–41. [Google Scholar] [CrossRef]
- Ye, H.; Fechner, T.; Lei, X.; Luo, Y.; Zhou, M.; Han, Z.; Wang, H.; Zhuang, Q.; Xu, R.; Li, D. Review on HVDC cable terminations. High Volt. 2018, 3, 79–89. [Google Scholar] [CrossRef]
- Suh, K.S.; Nam, J.H.; Kim, J.H.; Ko, K.C.; Han, S.O. Interfacial Properties of XLPE/EPDM Laminates. IEEE Trans. Dielectr. Electr. Insul. 2000, 7, 216–221. [Google Scholar] [CrossRef]
- Vu, T.T.N.; Teyssedre, G.; Le, R.S. Electric Field Distribution in HVDC Cable Joint in Non-Stationary Conditions. Energies 2021, 14, 5401. [Google Scholar] [CrossRef]
- Du, B.; Li, J.; Sekii, Y. Effects of ZnO particles on space charge of EVA copolymer for HVDC cable accessory insulation. IEEE Trans. Dielectr. Electr. Insul. 2017, 24, 1503–1510. [Google Scholar] [CrossRef]
- Li, Z.; Fan, M.; Zhou, S.; Du, B. BNNS Encapsulated TiO2 Nanofillers Endow Polypropylene Cable Insulation with Enhanced Dielectric Performance. IEEE Trans. Dielectr. Electr. Insul. 2021, 28, 1238–1246. [Google Scholar] [CrossRef]
- Roy, M.; Nelson, J.K.; MacCrone, R.K.; Schadler, L.S.; Reed, C.W.; Keefe, R. Polymer nanocomposite dielectrics-the role of the interface. IEEE Trans. Dielectr. Electr. Insul. 2005, 12, 629–643. [Google Scholar] [CrossRef]
- Cao, W.; Li, Z.; Sheng, G.; Jiang, X. Insulating property of polypropylene nanocomposites filled with nano-MgO of different concentration. IEEE Trans. Dielectr. Electr. Insul. 2017, 24, 1430–1437. [Google Scholar] [CrossRef]
- Li, S.; Yin, G.; Chen, G.; Li, J.; Bai, S.; Zhong, L.; Zhang, Y.; Lei, Q. Short-term breakdown and long-term failure in nanodielectrics: A review. IEEE Trans. Dielectr. Electr. Insul. 2010, 17, 1523–1535. [Google Scholar] [CrossRef]
- Li, S.; Min, D.; Wang, W.; Chen, G. Modelling of dielectric breakdown through charge dynamics for polymer nanocomposites. IEEE Trans. Dielectr. Electr. Insul. 2016, 23, 3476–3485. [Google Scholar] [CrossRef]
- Zhu, X.; Wu, J.; Wang, Y.; Yin, Y. Characteristics of partial discharge and AC electrical tree in XLPE and MgO/XLPE nanocomposites. IEEE Trans. Dielectr. Electr. Insul. 2020, 27, 450–458. [Google Scholar] [CrossRef]
- Peng, S.; He, J.; Hu, J.; Huang, X.; Jiang, P. Influence of functionalized MgO nanoparticles on electrical properties of polyethylene nanocomposites. IEEE Trans. Dielectr. Electr. Insul. 2015, 22, 1512–1519. [Google Scholar] [CrossRef]
- Wang, Y.; Wu, J.; Yin, Y. Nanostructures and Space Charge Characteristics of MgO/LDPE Nanocomposites. IEEE Trans. Dielectr. Electr. Insul. 2017, 24, 2390–2399. [Google Scholar] [CrossRef]
- Wu, J. Experimental Study and Numerical Simulation of Charge Transport in Low-Density Polyethylene Nanocomposite Media. Ph.D. Thesis, Shanghai Jiaotong University, Shanghai, China, 2012. [Google Scholar]
- Tanaka, T.; Kozako, M.; Fuse, N.; Ohki, Y. Proposal of a mulit-core model for polymer nanocomposite dielectric. IEEE Trans. Dielectr. Electr. Insul. 2005, 12, 669–681. [Google Scholar] [CrossRef]
- Henk, P.O.; Kortesn, T.W.; Kvarts, T. Increasing the electrical discharge endurance of acid anhydride cured DGEBA epoxy resin by dispersion of nanoparticle silica. High Perform Polym. 1999, 11, 281–296. [Google Scholar] [CrossRef]
- Lan, L. The Effect of Temperature on Space Charge Behavior in Polymer Insulation. Ph.D. Thesis, Shanghai Jiaotong University, Shanghai, China, 2015. [Google Scholar]
- Wang, Y. Characteristics of Periodic Geounded DC Tree in High Voltage Direct Current Cable Insulation. Ph.D. Thesis, Shanghai Jiaotong University, Shanghai, China, 2018. [Google Scholar]
- Pourrahimi, A.M.; Olsson, R.T.; Hedenqvist, M.S. The role of interfaces in polyethylene/metal-oxide nanocomposites for ultrahigh-voltage insulating materials. Adv Mater. 2018, 30, 1703624. [Google Scholar] [CrossRef] [PubMed]
- Min, D.; Li, S.; Ohki, Y. Numerical simulation on molecular displacement and DC breakdown of LDPE. IEEE Trans. Dielectr. Electr. Insul. 2016, 23, 507–516. [Google Scholar] [CrossRef]
- Bhutta, M.S.; Yang, L.; Ma, Z.; Nazir, M.T.; Akram, S.; Mehmood, M.A.; Faiz, N. Simulation of thickness controlled DC breakdown of XLPE regulated by space charge & molecular chain movement. IEEE Trans. Dielectr. Electr. Insul. 2020, 27, 1143–1151. [Google Scholar]














| Nano-MgO Concentration/wt% | 0 | 0.1 | 0.5 | 1.0 | 2.0 |
|---|---|---|---|---|---|
| UtrX/eV | 0.946 | 0.941 | 0.939 | 0.963 | 0.966 |
| Nanocomposites/wt% | 0 | 0.1 | 0.5 | 1 | 2 |
|---|---|---|---|---|---|
| NT/m−3 | 6.24 × 1020 | 2.40 × 1022 | 1.20 × 1023 | 2.39 × 1023 | 4.78 × 1023 |
| Parameters | MgO/XLPE | EPDM |
|---|---|---|
| UtrE/eV | / | 0.948 |
| wie/eV | / | 1.26 |
| De | vATEexp(−Utrx/(kBT)) | vATEexp(−Utr/(kBT)) |
| Be/s−1 | ) | ) |
| Bh/s−1 | ) | ) |
| Net/C·m−3 | 100 + NTn | 100 |
| Nht/C·m−3 | 100 + NTn | 100 |
| µe/m2·V−1·s−1 | 2.6 × 10−6 exp(−0.54/kT) | 2 × 10−5 exp(−0.54/kT) |
| µh/m2·V−1·s−1 | 1 × 10−6 exp(−0.6/kT) | 2 × 10−5 exp(−0.6/kT) |
| S1, S2, S3/m3·V−1·s−1 | 0.05 | 0.05 |
| S0/m3·V−1·s−1 | 0 | 0 |
| Nanocomposites/wt% | 0 | 0.1 | 0.5 | 1 | 2 | |
|---|---|---|---|---|---|---|
| MgO/XLPE/(C/m−3) | mean values | 0.6735 | 0.6750 | 0.5269 | 0.7339 | 0.7802 |
| variances | 0.0058 | 0.0043 | 0.0072 | 0.0250 | 0.0718 | |
| EPDM/(C/m−3) | mean values | 0.5474 | 0.5585 | 0.2272 | 0.1247 | 0.0578 |
| variances | 0.0399 | 0.2070 | 0.0190 | 0.0095 | 0.0077 | |
| (MgO/XLPE)/EPDM/MAXIAOYU(C/m−3) | mean values | 0.6024 | 0.6111 | 0.4113 | 0.3997 | 0.1933 |
| variances | 0.0288 | 0.0166 | 0.0351 | 0.1088 | 0.0756 | |
Publisher’s Note: MDPI stays neutral with regard to jurisdictional claims in published maps and institutional affiliations. |
© 2022 by the authors. Licensee MDPI, Basel, Switzerland. This article is an open access article distributed under the terms and conditions of the Creative Commons Attribution (CC BY) license (https://creativecommons.org/licenses/by/4.0/).
Share and Cite
Wang, Y.; Zhang, S.; Sun, Y.; Yang, X.; Liu, C. Effect of Nano-MgO Doping in XLPE on Charge Transport and Electric Field Distribution in Composite Insulation of HVDC Cable Joint. Energies 2022, 15, 6948. https://doi.org/10.3390/en15196948
Wang Y, Zhang S, Sun Y, Yang X, Liu C. Effect of Nano-MgO Doping in XLPE on Charge Transport and Electric Field Distribution in Composite Insulation of HVDC Cable Joint. Energies. 2022; 15(19):6948. https://doi.org/10.3390/en15196948
Chicago/Turabian StyleWang, Yani, Shuai Zhang, Yuanyuan Sun, Xingwu Yang, and Chun Liu. 2022. "Effect of Nano-MgO Doping in XLPE on Charge Transport and Electric Field Distribution in Composite Insulation of HVDC Cable Joint" Energies 15, no. 19: 6948. https://doi.org/10.3390/en15196948
APA StyleWang, Y., Zhang, S., Sun, Y., Yang, X., & Liu, C. (2022). Effect of Nano-MgO Doping in XLPE on Charge Transport and Electric Field Distribution in Composite Insulation of HVDC Cable Joint. Energies, 15(19), 6948. https://doi.org/10.3390/en15196948
