Comparative Analysis of Dynamic Behavior of Liquid Droplet Impacting Flat and Circular Wires
Abstract
:1. Introduction
2. Model and Method
2.1. Physical Model
2.2. Mathematical Model
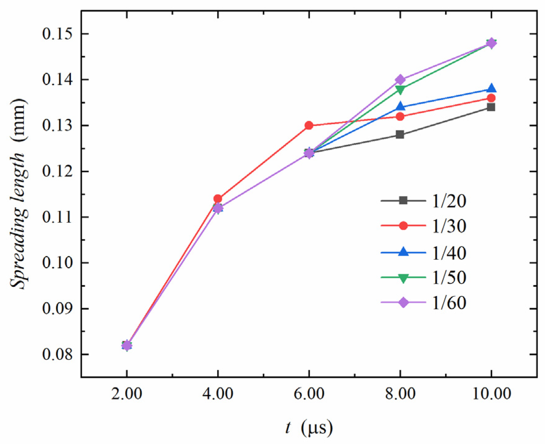
2.3. Grid Independency
2.4. Model Verification
3. Results and Discussion
3.1. Dynamic Evolution Analysis
3.2. Splash Effect Comparison
3.3. The Effect of Incident Angle
4. Conclusions
- (1)
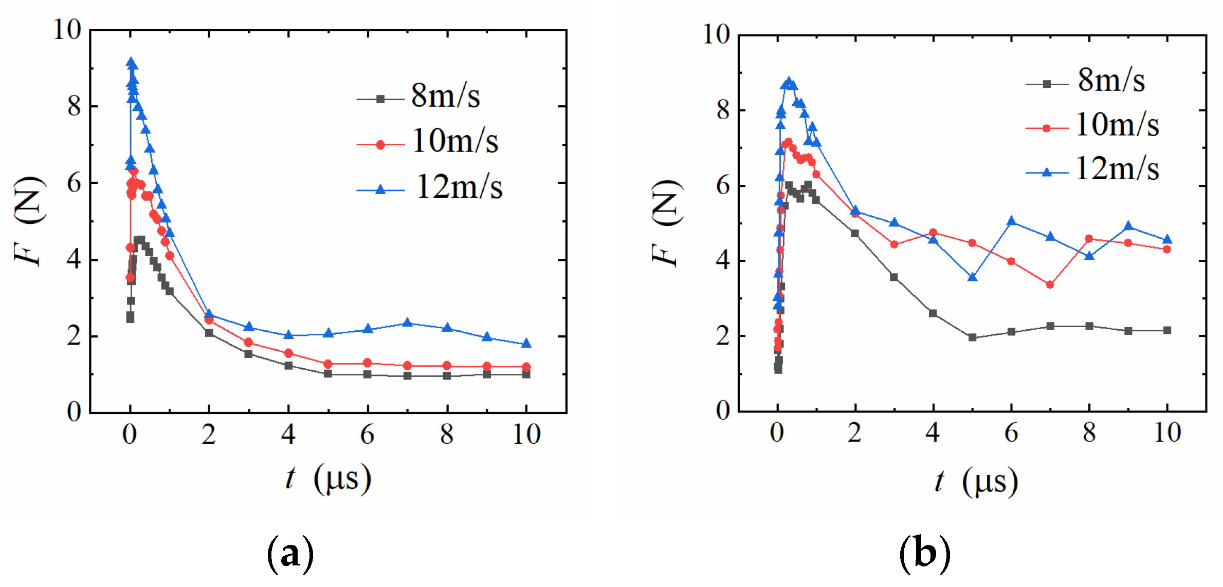
- When a droplet with a diameter of 30 μm impacts flat wire and circular wire with diameters of 0.15 mm at an initial velocity of 10 m/s, the dynamic behaviors are similar for the two types of wire, both of which have experienced the stages of spreading and splashing, and the internal velocity and pressure distribution of the droplet are similar at the initial moment of impact. However, when the droplet impacts the circular wire, the lifted lamella is longer, the peck force on the wall is larger, the splash start time is earlier, and the number of secondary droplets is greater.
- (2)
- When the droplet impacts the flat wire or the circular wire, the change rule of the force on the wall caused by the change of the initial velocity of the droplet is similar, and the increase in the initial velocity will promote the occurrence of splash. However, when the droplet impacts the circular wire, the initial velocity has a more obvious impact on the splash effect: the critical velocity of droplet splashing is smaller, the change of velocity has a greater effect on the total number of secondary droplets, at the same velocity, splash starts earlier, and droplet morphology changes after impact are greatly affected by velocity.
- (3)
- Due to the difference in the wire shape, the incident angle has different effects on droplet splashing. When the droplet impacts the flat wire, the influence of incident angle on the critical splash velocity is non-monotonic, while the critical splash velocity increases with the increase in incident angle if the wire is circular.
Author Contributions
Funding
Conflicts of Interest
References
- Worthington, A.M. On the forms assumed by drops of liquids falling vertically on a horizontal plate. Proc. R. Soc. Lond. 1877, 25, 261–272. [Google Scholar]
- Worthington, A.M. A second paper on the forms assumed by drops of liquids falling vertically on a horizontal plate. Proc. R. Soc. Lond. 1877, 25, 498–503. [Google Scholar]
- Worthington, A.M. The Splash of a Drop; Society for Promoting Christian Knowledge: London, UK, 1907; p. 67. [Google Scholar]
- Palacios, J.; Hernández, J.; Gómez, P.; Zanzi, C.; López, J. Experimental study of splashing patterns and the splashing/deposition threshold in drop impacts onto dry smooth solid surfaces. Exp. Therm. Fluid Sci. 2013, 44, 571–582. [Google Scholar] [CrossRef]
- Arizona, R.; Wibowo, T.; Indarto, I.; Deendarlianto, D. The Effects of Surface Tension on the Spreading Ratio during the Impact of Multiple Droplets onto a Hot Solid Surface. In Proceedings of the 3rd Annual Applied Science and Engineering Conference (AASEC 2018), Bandung, Indonesia, 12 September 2018; Volume 197, p. 08016. [Google Scholar]
- Sikalo, S.; Marengo, M.; Tropea, C.; Ganic, E.N. Analysis of Impact of Droplets on Horizontal Surfaces. In Thermal Sciences 2000. Proceedings of the International Thermal Science Seminar; Begel House Inc.: Danbury, CT, USA, 2000; Volume 1. [Google Scholar]
- Zhang, H.; Zhang, X.; Yi, X.; He, F.; Niu, F.; Hao, P. Effect of wettability on droplet impact: Spreading and splashing. Exp. Therm. Fluid Sci. 2021, 124, 110369. [Google Scholar] [CrossRef]
- Xu, L.; Zhang, W.W.; Nagel, S.R. Drop splashing on a dry smooth surface. Phys. Rev. Lett. 2005, 94, 184505. [Google Scholar] [CrossRef] [PubMed]
- Xu, L. Liquid drop splashing on smooth, rough, and textured surfaces. Phys. Rev. E 2007, 75, 056316. [Google Scholar] [CrossRef]
- Hao, J.; Lu, J.; Lee, L.; Wu, Z.; Hu, G.; Floryan, J.M. Droplet splashing on an inclined surface. Phys. Rev. Lett. 2019, 122, 054501. [Google Scholar] [CrossRef]
- Aksoy, Y.T.; Eneren, P.; Koos, E.; Vetrano, M.R. Spreading-splashing transition of nanofluid droplets on a smooth flat surface. J. Colloid Interface Sci. 2022, 606, 434–443. [Google Scholar] [CrossRef]
- Wu, Z.; Cao, Y. Dynamics of initial drop splashing on a dry smooth surface. PLoS ONE 2017, 12, e0177390. [Google Scholar] [CrossRef]
- Tan, H. Numerical study on splashing of high-speed microdroplet impact on dry microstructured surfaces. Comput. Fluids 2017, 154, 142–166. [Google Scholar] [CrossRef]
- Xia, H.; Zhang, X.; Xiao, J. Breakup behavior of a shear-thinning droplet on randomly rough surfaces: A numerical study. Chem. Eng. Sci. 2022, 247, 117071. [Google Scholar] [CrossRef]
- Zhang, M.Y.; Zhang, H.; Zheng, L.L. Simulation of droplet spreading, splashing and solidification using smoothed particle hydrodynamics method. Int. J. Heat Mass Transf. 2008, 51, 3410–3419. [Google Scholar] [CrossRef]
- Yokoi, K. Numerical studies of droplet splashing on a dry surface: Triggering a splash with the dynamic contact angle. Soft Matter 2011, 7, 5120–5123. [Google Scholar] [CrossRef]
- Shen, S.; Bi, F.; Guo, Y. Simulation of droplets impact on curved surfaces with lattice Boltzmann method. Int. J. Heat Mass Transf. 2012, 55, 6938–6943. [Google Scholar] [CrossRef]
- Hoffman, R.L. A study of the advancing interface. I. Interface shape in liquid—Gas systems. J. Colloid Interface Sci. 1975, 50, 228–241. [Google Scholar] [CrossRef]
- Cox, R.G. The dynamics of the spreading of liquids on a solid surface. Part 1. Viscous flow. J. Fluid Mech. 1986, 168, 169–194. [Google Scholar] [CrossRef]
- Tanner, L.H. The spreading of silicone oil drops on horizontal surfaces. J. Phys. D Appl. Phys. 1979, 12, 1473. [Google Scholar] [CrossRef]
- Bazzi, M.S.; Carvalho, M.S. Effect of viscoelasticity on liquid sheet rupture. J. Non-Newton. Fluid Mech. 2019, 264, 107–116. [Google Scholar] [CrossRef]
- Conroy, D.T.; Espín, L.; Matar, O.K.; Kumar, S. Thermocapillary and electrohydrodynamic effects on the stability of dynamic contact lines. Phys. Rev. Fluids 2019, 4, 034001. [Google Scholar] [CrossRef]
- Mohammad Karim, A. Experimental dynamics of Newtonian non-elastic and viscoelastic droplets impacting immiscible liquid surface. AIP Adv. 2019, 9, 125141. [Google Scholar] [CrossRef]
- Voinov, O.V. Hydrodynamics of wetting. Fluid Dyn. 1976, 11, 714–721. [Google Scholar] [CrossRef]
- de Gennes, P.G. Deposition of langmuir-blodgett layers. Colloid Polym. Sci. 1986, 264, 463–465. [Google Scholar] [CrossRef]
- Stow, C.D.; Hadfield, M.G. An experimental investigation of fluid flow resulting from the impact of a water drop with an unyielding dry surface. Proc. R Soc. Lond. A Math. Phys. Sci. 1981, 373, 419–441. [Google Scholar]
- Field, J.E.; Dear, J.P.; Ogren, J.E. The effects of target compliance on liquid drop impact. J. Appl. Phys. 1989, 65, 533–540. [Google Scholar] [CrossRef]
















| V (m/s) | 7 | 8 | 9 | 10 | 11 | 12 |
|---|---|---|---|---|---|---|
| Splash Time | / | / | / | 5.1 | 4.4 | 3.5 |
| Number of Secondary Droplets | 0 | 0 | 0 | 2 | 2 | 2 |
| V (m/s) | 7 | 8 | 9 | 10 | 11 | 12 |
|---|---|---|---|---|---|---|
| Splash Time | / | 8.0 | 5.3 | 3.3 | 2.2 | 1.9 |
| Number of Secondary Droplets | 0 | 2 | 4 | 6 | 8 | 8 |
| V (m/s) | 6 | 7 | 8 | 9 | 10 | |
|---|---|---|---|---|---|---|
| Incident Angle (°) | ||||||
| 15 | / | 17.6 | 16.8 | 15.1 | 13.3 | |
| 30 | / | / | 20.3 | 15.8 | 13.3 | |
| 45 | / | 21.9 | / | 12.7 | 9.2 | |
| 60 | / | / | 10.0 | 7.9 | 7.2 | |
| 75 | / | / | / | 6.4 | 5.6 | |
| 90 | / | / | / | / | 5.1 | |
| V (m/s) | 4 | 5 | 6 | 7 | 8 | 9 | 10 | |
|---|---|---|---|---|---|---|---|---|
| Incident Angle (°) | ||||||||
| 15 | / | 21.2 | 12.6 | 10.6 | 7.4 | 6.1 | 5.6 | |
| 30 | / | 25.3 | 18.6 | 16.2 | 12.4 | 10.3 | 8.9 | |
| 45 | / | / | / | 13.3 | 12.1 | 11.8 | 10.2 | |
| 60 | / | / | / | 14.8 | 13.8 | 13.6 | 9.3 | |
| 75 | / | / | / | 13.2 | 11.2 | 7.9 | 4.5 | |
| 90 | / | / | / | / | 9.6 | 6.7 | 4.8 | |
Publisher’s Note: MDPI stays neutral with regard to jurisdictional claims in published maps and institutional affiliations. |
© 2022 by the authors. Licensee MDPI, Basel, Switzerland. This article is an open access article distributed under the terms and conditions of the Creative Commons Attribution (CC BY) license (https://creativecommons.org/licenses/by/4.0/).
Share and Cite
Meng, Y.; Quan, S.; Guo, Y.; Shen, S. Comparative Analysis of Dynamic Behavior of Liquid Droplet Impacting Flat and Circular Wires. Energies 2022, 15, 6623. https://doi.org/10.3390/en15186623
Meng Y, Quan S, Guo Y, Shen S. Comparative Analysis of Dynamic Behavior of Liquid Droplet Impacting Flat and Circular Wires. Energies. 2022; 15(18):6623. https://doi.org/10.3390/en15186623
Chicago/Turabian StyleMeng, Yu, Shenglin Quan, Yali Guo, and Shengqiang Shen. 2022. "Comparative Analysis of Dynamic Behavior of Liquid Droplet Impacting Flat and Circular Wires" Energies 15, no. 18: 6623. https://doi.org/10.3390/en15186623
APA StyleMeng, Y., Quan, S., Guo, Y., & Shen, S. (2022). Comparative Analysis of Dynamic Behavior of Liquid Droplet Impacting Flat and Circular Wires. Energies, 15(18), 6623. https://doi.org/10.3390/en15186623

