Theoretical Prediction on Hydraulic Lift of a Coandă Effect-Based Mining Collector for Manganese Nodule
Abstract
:1. Introduction
2. Materials and Methods
2.1. Theory Prediction of Particle in Coandă Effect Collector
- (1)
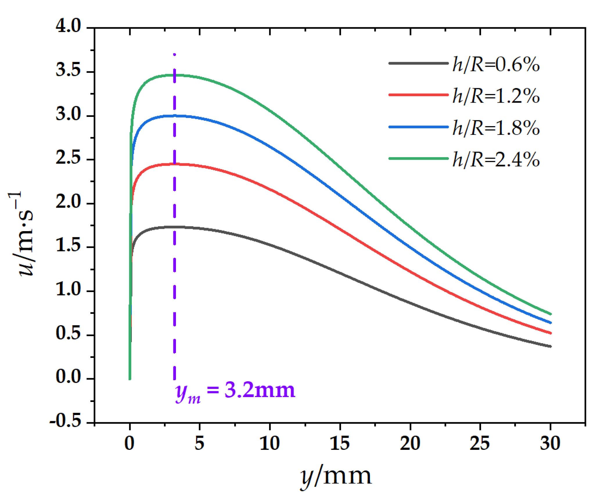
- The non-dimensional jet slot height h/R was small, so that the contribution of transverse curvature effects (y < ym) to the overall momentum balance were negligible.
- (2)
- The lift force prediction applied to a single particle.
- (3)
- The effect of the particle to the flow was neglected.
- (4)
- The manganese nodule was lifted only by the pressure gradient force.
2.2. Numerical Methods
3. Results
3.1. Validation
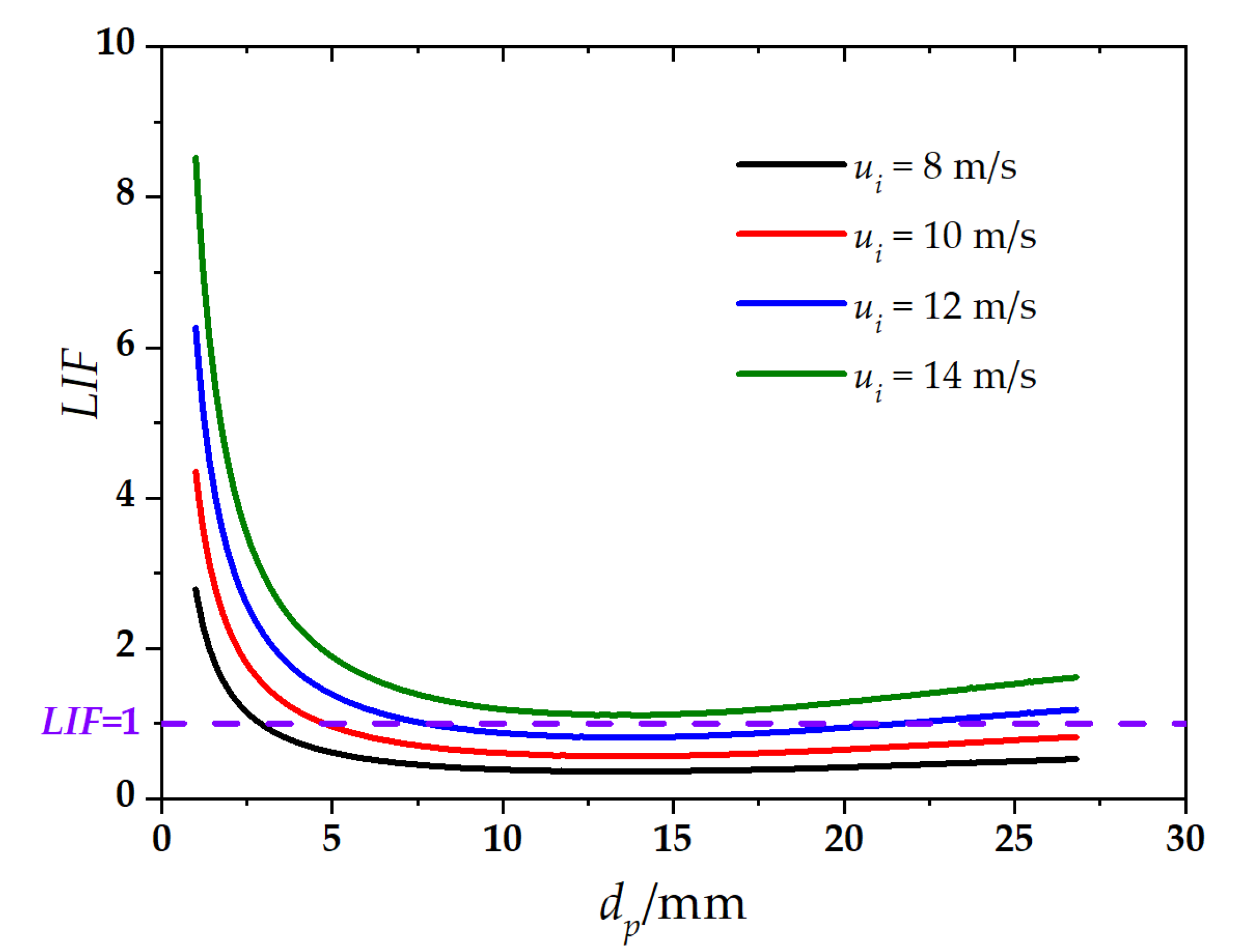
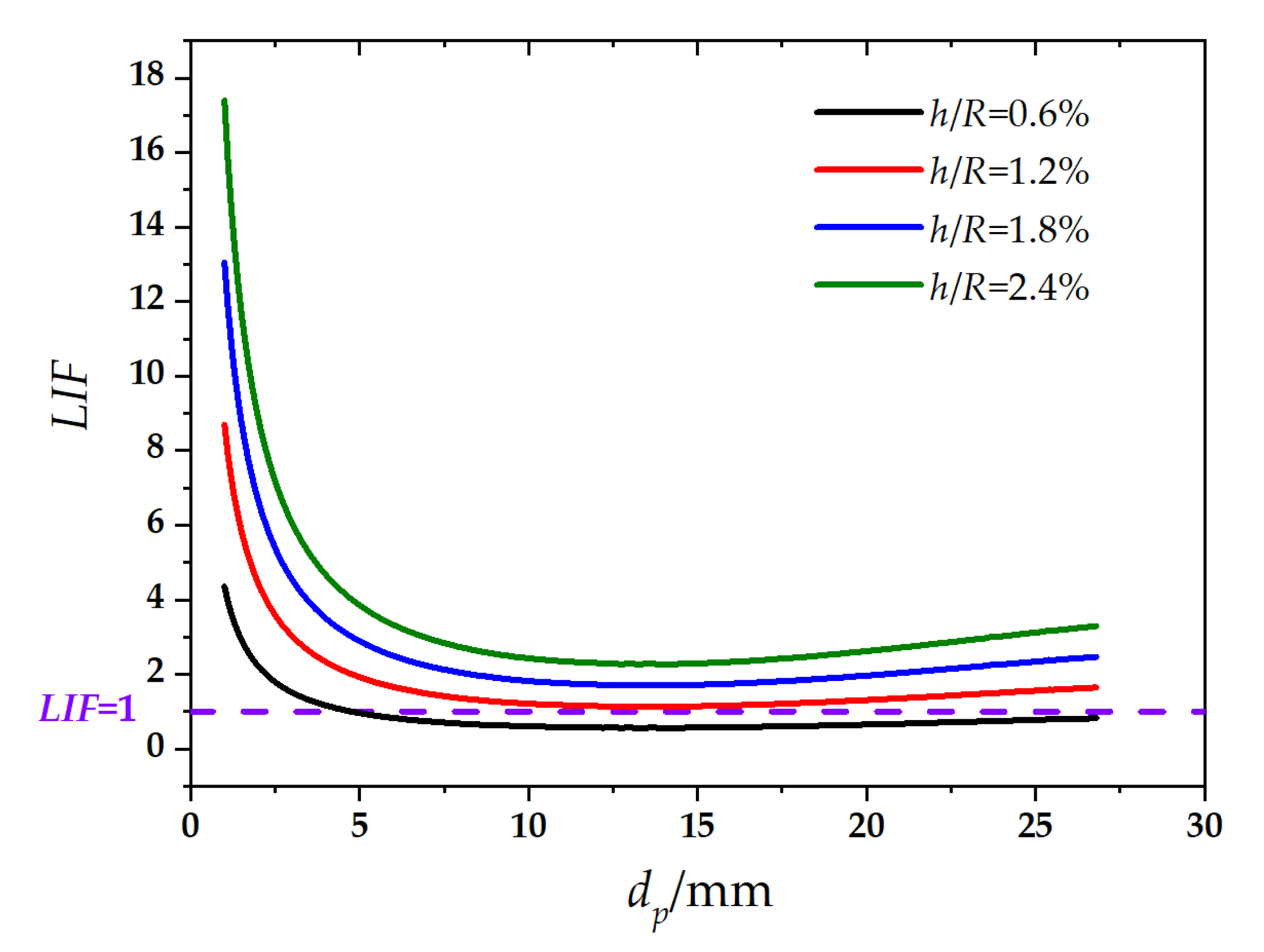
3.2. Influence of ui, h/R and H on the Lift Index on Small-Weighted Nodules
3.3. Numerical Simulation
4. Discussion and Conclusions
Author Contributions
Funding
Institutional Review Board Statement
Data Availability Statement
Conflicts of Interest
References
- Hong, S.; Choi, J.S.; Kim, J.H.; Yang, C.K. A Note On Design And Operation of Waterjet Nodule Lifter of Manganese Nodule Collector. Int. J. Offshore Polar Eng. 2001, 11, 237–239. [Google Scholar]
- Jia, H.; Wang, Y.; Zhu, Z.; Su, X.; Tang, Z. Coarse Particle Motion Characteristics in a Double-Stage Slurry Pump Considering Leakage Flow. Shock. Vib. 2021, 2021, 5904446. [Google Scholar] [CrossRef] [PubMed]
- Oebius, H.U.; Becker, H.J.; Rolinski, S.; Jankowski, J.A. Parametrization and evaluation of marine environmental impacts produced by deep-sea manganese nodule mining. Deep Sea Res. Part II Top. Stud. Oceanogr. 2001, 48, 3453–3467. [Google Scholar] [CrossRef]
- Lee, M.; Choi, J.S.; Kim, H.W.; Yeu, T.K.; Lee, T.H. Design optimization of a hydraulic deep-sea manganese pick-up device using Coanda effect. Proc. KSME Fall Annu. Meet. 2013, 12, 1660–1665. [Google Scholar]
- Cho, S.G.; Park, S.; Oh, J.; Min, C.; Kim, H.; Hong, S.; Jang, J.; Lee, T.H. Design optimization of deep-seabed pilot miner system with coupled relations between constraints. J. Terramech. 2019, 83, 25–34. [Google Scholar] [CrossRef]
- Kim, S.; Cho, S.G.; Lee, M.; Kim, J.; Lee, T.H.; Park, S.; Hong, S.; Kim, H.; Min, C.; Choi, J.; et al. Reliability-based design optimization of a pick-up device of a manganese nodule miner using correlated and grouped manganese nodule data. In Proceedings of the WCSMO 13, Beijing, China, 20–24 May 2019. [Google Scholar]
- Handschuh, R.; Grebe, H.; Panthel, J.; Schulte, E.; Ravindran, M. Innovative Deep Ocean Mining Concept based on Flexible Riser and Self-propelled Mining Machines. In Proceedings of the Isope Ocean Mining Symposium, Szczecin, Poland, 23 September 2001. [Google Scholar]
- Kim, M.; Kim, H.D.; Yeom, E.; Kim, K.C. Flow Characteristics of Three-Dimensional Curved Wall Jets on a Cylinder. J. Fluids Eng. Trans. ASME 2018, 140, 041201. [Google Scholar] [CrossRef]
- Yue, Z.; Zhao, G.; Xiao, L.; Liu, M. Comparative Study on Collection Performance of Three Nodule Collection Methods in Seawater and Sediment-seawater Mixture. Appl. Ocean Res. 2021, 110, 102606. [Google Scholar] [CrossRef]
- Zhao, G.; Xiao, L.; Peng, T.; Zhang, M. Experimental Research on Hydraulic Collecting Spherical Particles in Deep Sea Mining. Energies 2018, 11, 1938. [Google Scholar] [CrossRef]
- Roberts, L. A theory for turbulent curved wall jets. In Proceedings of the 25th AIAA Aerospace Sciences Meeting, Stanford, CA, USA, 24–26 March 1987. [Google Scholar]
- Rodman, L.C.; Wood, N.J.; Roberts, L. Experimental investigation of straight and curved annular wall jets. AIAA J. 1989, 27, 1059–1067. [Google Scholar] [CrossRef]
- Su, X.; Tang, Z.; Li, Y.; Zhu, Z.; Mianowicz, K.; Balaz, P. Research of Particle Motion in a Two-Stage Slurry Transport Pump for Deep-Ocean Mining by the CFD-DEM Method. Energies 2020, 13, 6711. [Google Scholar] [CrossRef]
- Zhou, M.; Wang, S.; Kuang, S.; Luo, K.; Fan, J.; Yu, A. CFD-DEM modelling of hydraulic conveying of solid particles in a vertical pipe. Powder Technol. 2019, 354, 893–905. [Google Scholar] [CrossRef]
- Zhao, G.; Xiao, L.; Yue, Z.; Liu, M.; Peng, T.; Zhao, W. Performance characteristics of nodule pick-up device based on spiral flow principle for deep-sea hydraulic collection. Ocean Eng. 2021, 226, 108818. [Google Scholar] [CrossRef]
- Hu, J.; Zhao, G.; Xiao, L.; Liu, M. Experimental Investigation on Characteristics of Flow Field in ‘Suck-up-based’ and ‘Coandă-Effect-based’ nodule pick-up devices. In Proceedings of the 30th International Ocean and Polar Engineering Conference, Shanghai, China, 11 October 2020. [Google Scholar]


















| Parameter | ui | h/R | H/dp |
|---|---|---|---|
| Case 1 | 14 m/s | 0.6% | 3 |
| Case 2 | 10 m/s | 1.2% | 3 |
| Case 3 | 10 m/s | 0.6% | 6 |
Publisher’s Note: MDPI stays neutral with regard to jurisdictional claims in published maps and institutional affiliations. |
© 2022 by the authors. Licensee MDPI, Basel, Switzerland. This article is an open access article distributed under the terms and conditions of the Creative Commons Attribution (CC BY) license (https://creativecommons.org/licenses/by/4.0/).
Share and Cite
Jia, H.; Yang, J.; Su, X.; Xia, Q.; Wu, K. Theoretical Prediction on Hydraulic Lift of a Coandă Effect-Based Mining Collector for Manganese Nodule. Energies 2022, 15, 6345. https://doi.org/10.3390/en15176345
Jia H, Yang J, Su X, Xia Q, Wu K. Theoretical Prediction on Hydraulic Lift of a Coandă Effect-Based Mining Collector for Manganese Nodule. Energies. 2022; 15(17):6345. https://doi.org/10.3390/en15176345
Chicago/Turabian StyleJia, Hao, Jian Yang, Xianghui Su, Qiu Xia, and Kexin Wu. 2022. "Theoretical Prediction on Hydraulic Lift of a Coandă Effect-Based Mining Collector for Manganese Nodule" Energies 15, no. 17: 6345. https://doi.org/10.3390/en15176345
APA StyleJia, H., Yang, J., Su, X., Xia, Q., & Wu, K. (2022). Theoretical Prediction on Hydraulic Lift of a Coandă Effect-Based Mining Collector for Manganese Nodule. Energies, 15(17), 6345. https://doi.org/10.3390/en15176345

