Next Article in Journal
Adaptive Control of Streetlights Using Deep Learning for the Optimization of Energy Consumption during Late Hours
Next Article in Special Issue
Performance Optimisation of Public Transport Networks Using AHP-Dependent Multi-Aspiration-Level Goal Programming
Previous Article in Journal
Intelligent Control of the Energy Storage System for Reliable Operation of Gas-Fired Reciprocating Engine Plants in Systems of Power Supply to Industrial Facilities
Previous Article in Special Issue
Multi-Criteria Analysis in the Decision-Making Approach for the Linear Ordering of Urban Transport Based on TOPSIS Technique
 
 
Font Type:
Arial Georgia Verdana
Font Size:
Aa Aa Aa
Line Spacing:
Column Width:
Background:
Article

Full Implementation of Electric Mobility in a Countryside Region of Spain

1
Department of Electrical Engineering, Universidad Carlos III de Madrid, 28911 Madrid, Spain
2
Department of Energy, Politecnico di Milano, 20156 Milan, Italy
3
Department of Engineering, Università di Perugia, 06123 Perugia, Italy
*
Author to whom correspondence should be addressed.
Energies 2022, 15(17), 6336; https://doi.org/10.3390/en15176336
Submission received: 1 August 2022 / Revised: 9 August 2022 / Accepted: 17 August 2022 / Published: 30 August 2022
(This article belongs to the Special Issue Planning and Management of Sustainable Transport)

Abstract

:
The ongoing spread of electric sustainable mobility is transforming the local ways of transport in metropolitan areas. This is meant to be extended outside of big cities in the near future thanks to new technological developments. Little towns should adapt to these changes, as they are located geographically far from the big cities and are generally characterized by low economic and demographic indicators. Hence, little towns must keep pace with these changes in mobility to avoid being isolated from the main cities in a country. People living in the countryside usually move toward big cities for various reasons, either related to work or living necessities. Therefore, it must be possible to conduct usual displacements through the use of electric vehicles (EVs), i.e., reaching the destinations and supplying the batteries through charging infrastructures. This paper studies the full implementation of electric mobility applied in the case of Cuenca, a city located in middle Spain. A brief geographical context is provided, together with the routes and destinations of interest considered. Then, different EVs are considered and an analytical vehicle model is provided. The model was exploited to simulate the electrical energy demand to reach the destinations chosen; the results allow comparing the performances offered by different types of EVs. This aspect is then considered as the basis to propose further upgrades in the charging infrastructures where needed, to comply with the widespread use of electric mobility.

1. Introduction

Until recently, there was little known about the extended use of EVs. However, private mobility is subjected to vehicle changes for replacing internal combustion engines (ICEs) with electric motors and battery packs. The key points in this change involve the technological revolution that an EV represents, switches in automotive policies, and environmental commitments for the replacement of 1200 million cars propelled by ICEs. According to recent evaluations, the transportation sector is the principal emitter of CO2 [1]. The use of EVs leads to a reduction of about 17–30% in greenhouse gases with respect to ICE-propelled vehicles (evaluated among their lifecycles) [2,3,4]. The percentages are meant to increase thanks to the expansion of EVs in the EU, as depicted from the trend in Figure 1 [5]. Other benefits linked with the implementation of electric mobility are air quality improvements in urban areas and dramatic reductions in acoustic disturbances since EVs do not emit engine noises. However, common people are still not keen on buying electric cars, especially if they live outside metropolitan areas. The main drawback is generally represented by the limited range that an EV can cover due to battery capacity. This aspect is also strictly connected with the actual number of charging stations available. If compared with an ICE vehicle fleet, the availability of refueling stations is high inside cities and widespread outside of a ’citizen context’. The same cannot be affirmed for charging stations dedicated to recharging EVs. Their numbers are not so high and widespread in a country’s territory, despite the recent growth and availability being critical for ensuring an ‘on-the-route’ recharge, affecting the range [6]. In addition, the different charging sockets are not always unified for the same charging spot and the different performances for recharging operations influence the total time spent or wasted along the route. Widespread charging infrastructure is a critical factor used to support electric mobility [7,8].
Since the trend shows the growth and expansion of EVs in the near future, this paper considers whether the use of an EV in a ’small citizen’ context can be fully implemented, given the actual charging infrastructure. The study is centered on the central region of Castile-La Mancha in Spain, and focuses on its main city of Cuenca, chosen as the case study. The analysis was carried out considering several routes connecting Cuenca to (main) nearby cities. A set of different types of EVs was chosen, based on an EV market sales analysis in Spain and on their different technical characteristics. For the purposes of the analysis, the EV was modeled considering only the motion resistances in order to estimate the total electric power consumption along each route and to evaluate the vehicle’s performance to safely complete each path. According to the results of the simulations, the total energy consumption was exploited as the basis to compare the performances offered by the different types of EVs considered for each path. A strong focus was then set on the actual charging infrastructure. As a consequence of the analysis carried out, based on the results obtained, it will be possible to evaluate the need for increasing the number of charging stations. If required by the analysis, the installation of new charging stations will be suggested to allow a full implementation of EV use. In Section 2, a general overview of the use of EVs in Spain is briefly explained. In Section 3, the characteristics of the geographical area considered are shown. In Section 4, we present the information about the paths chosen and introduce the general EV model. The results are briefly presented in Section 5, while Section 6 includes the discussion of further developments carried out by this work to comply with a full implementation of electric mobility. The conclusions are then given in Section 7.

2. Literature Overview

Although sales of EVs are increasing in Europe, the number of EV registrations in Spain is only 0.32% of the market share versus the European average of 1.7%, as underlined in Figure 2 [9,10,11,12]. However, every year an improvement can be observed, both in the perception of EVs by the Spanish people and sales and policies on this subject, as depicted in Figure 3a [13,14,15].
The Spanish Government has also approved policies to ban the circulation of gas-emitting vehicles by 2050, despite the actual situation with EVs and hydrogen-propelled vehicles being only 0.09% in 24 million vehicles (in the national context) [16]. Another restriction is related to the charging station infrastructure. Despite developments, in 2017, Spain was the fifth country in Europe with 5000 units, equal to 4.26% of the total European charging stations. Figure 4a shows the levels of implementation of public charging stations in recent years. Weak points are also related to socket types available for EV recharges [17]. Only 12% of the charging stations are equipped with fast-charge options. Most sockets in Spain are Type 2 or "Schuko" EU plugs. These two socket types represent 85% of the total charging points in Spain, as clearly stated in Figure 4b. Moreover, as shown in Figure 5a, charging stations are mainly located around the biggest cities, such as Madrid, Barcelona, Valencia, Bilbao, and Seville [18]. They are also located along the backbone of the highway network and are close to the coast, to encourage tourism. In fact, it can be seen in Figure 5a that the radial patterns of roads in Spain (normally starting from Madrid) and the charging stations are not equally distributed in the Spanish territory [19,20,21].

3. Case Study

The region of Cuenca is one of the most affected by depopulation in Spain, with the third lowest population density in the national territory. It is a local economy based on farming, agriculture, and forestry activities; there is a lack of big companies, a lack of investments in new industries or infrastructures, and a reduction of public services, which contribute to the population decrease. As a consequence, young people are attempting to move towards the capital city or outside of the region, mainly to Madrid or Valencia due to their proximity. On the contrary, the trend is different in Cuenca, where the number of people has increased by more than 300% in the last century. Cuenca represents the most important city in the Castile-La Mancha region and is 168 km far from Madrid, 199 km far from Valencia, and 179 km far from Toledo, the nearest main cities of Spain, as depicted in Figure 5b.
Cuenca was declared a “World Heritage City” by UNESCO due to its historical city center. The depopulation phenomenon is shown more in rural areas; the situation is completely different in the main city of the region, mainly due to:
  • the construction of the university campus “Universidad de Castile-La Mancha”;
  • the construction of a high-speed train station and infrastructure;
  • the effects of the 2008 economic crisis, where people returned from the cities due to job losses;
  • young people looking for new opportunities in a less expensive city (far from the farming or agriculture economies);
  • tourism connected to social activities, such as the traditional Easter week, Saint Matheu, or the Religious Music Week.
Around 3% of the total EV registration in Spain comes from Castile-La Mancha, which is a very low number. This proves that the development and use of electric vehicles in that area are insignificant. According to the Ministry of Ecological Transition, 5 million EVs will circulate in 2030 in Spain (the actual number is 80,000) [11,15,22]. Relevance is also placed on the actual charging infrastructure, i.e., to implement sustainable electric mobility at its best [23]. In Cuenca, there is one public electric charging station installed (and working), which makes the future spread of electric mobility in Cuenca possible. Because of its distance from the main metropolitan areas and the proximity to mountains with non-negligible elevations, the city of Cuenca has been chosen as a case study of interest for this paper.

4. Research Methodology

With increased attention to sustainable mobility, Cuenca (as with other cities across the globe) should evolve into a green city in the following decades. Both the country and the regional surroundings should also evolve, with huge investments made in charging infrastructures available to the public along the roads and highways. The objective is to assess if an EV could reach several destinations of interest, starting from Cuenca.

4.1. Definition of the Problem

After observing the behaviour of Cuenca citizens, due to the fact that there are not many shopping centers in the region, the citizens usually move to big cities surrounding Cuenca to shop or to conduct business. For this reason, three destinations have been chosen for the most covered routes, as reported in Figure 6.
For each case, a starting point and an arrival point are set. In Cuenca, the starting point is set at the only public charging station installed, 1.5 km outside of the city center. At this point, the battery state of charge (SOC) of a generic EV is supposed to be at 100%. Destinations have been identified with three big shopping centers far from the city’s historical centers and near where at least one public charging station is installed [24]. The altitude profiles have been extracted from GPS data and are reported in Figure 7a–c for Cuenca–Madrid, Cuenca–Valencia, and Cuenca–Toledo routes, respectively [25]. All charging stations available along the routes are indicated by full circles.
Charging stations considered were already installed, working, and available for public recharging; sockets included CCS2, Type 2, and CHAdeMO, and the recharging power was about 50 kW. For the purposes of the analysis, relevant types of EVs were chosen according to EV market sales in Spain, as reported in Figure 8 [26]. Moreover, the problem considered four different types of EVs, as reported in Table 1; technical characteristics fit with the socket types available for recharging. Finally, travelling conditions in each route were considered, as in Table 2 [27,28].

4.2. EV Model and Preliminary Analysis

A brief model of an EV is provided through MATLAB–Simulink. This modelization allows considering the differences between all vehicles chosen [29]. In particular, it estimates the vehicle performance in a reverse way, i.e., based on the levels of power consumption. To understand the dynamics of a generic vehicle, it is convenient to know the forces involved during its motion [30]. The model is schematized in Figure 9 and considers only resistance forces acting on the vehicle.

4.2.1. Aerodynamic Resistance

Air pressure in front of the vehicle (high pressure) combined with the vacuum in the back (low pressure) generate an aerodynamic drag resistance force opposed to the motion, defined as:
R a = 1 2 ρ C D A f v 2 ,
where:
  • ρ is the air density;
  • C D is the air drag coefficient;
  • A f is the front resistant area;
  • v is the vehicle speed.
The aerodynamic drag resistance is proportional to the square of the vehicle’s speed. So, in an urban context, it can be neglected since low speeds are reached. In an extra-urban context, it is higher in case of a high speed and has a considerable impact on the energy consumption.

4.2.2. Rolling Resistance

The tire rolling resistance occurs due to the elastic deformation of the wheel and the alteration of the inflation pressure distribution during its rotation motion. This force opposes the vehicle longitudinal motion and is calculated according to (2)
R r = k r m g cos θ ,
where:
  • m is the vehicle mass;
  • g is the gravity acceleration;
  • θ is the slope of the ramp;
  • k r is the tire rolling resistance coefficient on asphalt, equal to 0.013 for v 120 km/h [31].

4.2.3. Slope Resistance

The slope resistance is given by the change of the elevation profile of the route. It is calculated as the longitudinal component of the weight force due to the inclined surface. The contribution is taken as positive in uphill and negative in downhill cases respectively, and is defined as
R g = m g sin θ ,
where:
  • m is the vehicle mass;
  • g is the gravity acceleration;
  • θ is the slope of the route.

4.2.4. Inertial Force

When moving, the vehicle is subjected to the inertial force generated and opposed to the motion itself. This force depends on the rising acceleration and is calculated as
F i n = m a ,
where:
  • m is the vehicle mass;
  • a is the longitudinal vehicle acceleration or deceleration.

4.2.5. Vehicle Model

The vehicle model is composed of all the resistance terms here shown and built up in a synthetic expression. Thus, it estimates the required power, which has to be delivered by the battery pack. Since the power is expressed as P = F v , the formulation of the amount of electrical power requested is
P D C = 1 η D 1 2 ρ C D A f v 2 + k r m g cos θ + m g sin θ + m a v + P a u x ,
where:
  • η D is the overall efficiency of the electrical powertrain;
  • P a u x is the power used by the auxiliary systems, as reported in Table 2.
The integration in time of (5) gives the amount of energy delivered by the battery pack, through which it is possible to evaluate the battery SOC index as
S O C % = E b a t 0 T P D C d t E b a t · 100
with E b a t being the total battery capacity of the energy storage known for all vehicle types considered.
Aerodynamic action is non-negligible at higher speeds for all vehicle types. The maximum covering range is obtained by evaluating the following formula
Δ s = η b a t E b a t 1 η D 1 2 ρ C D A f v 2 + k r m g + P a u x v ,
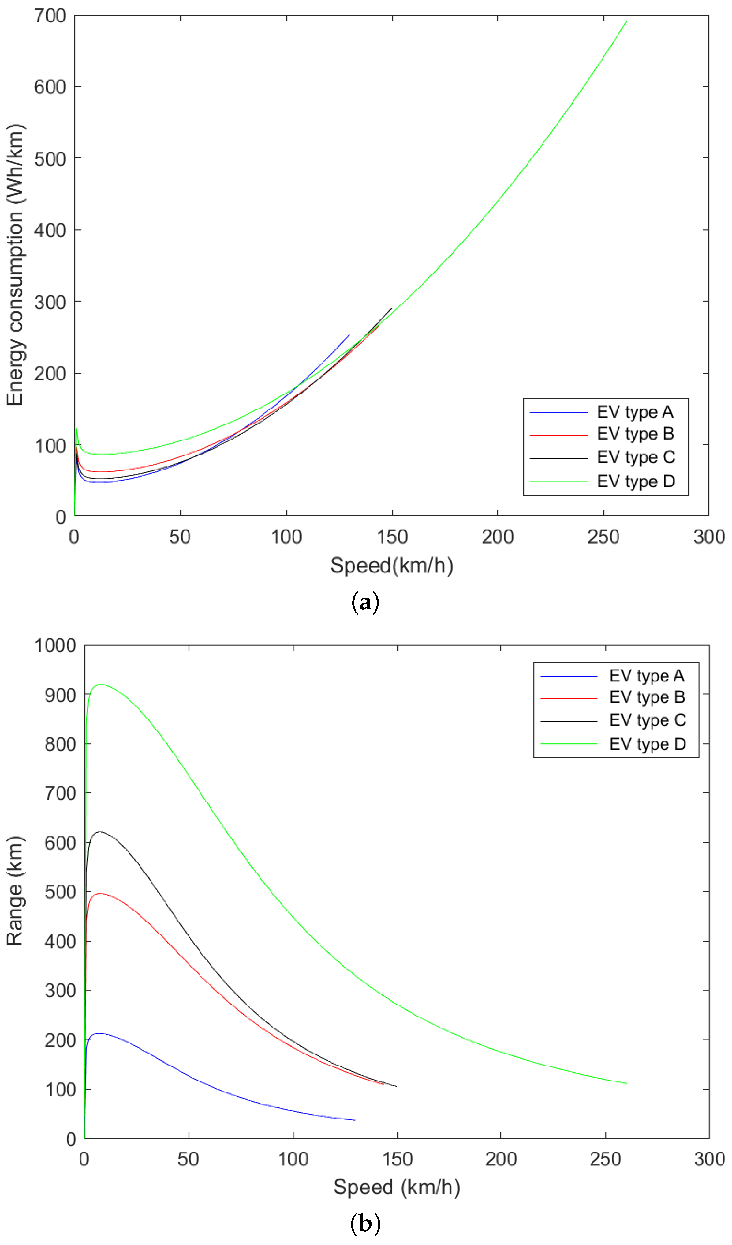
where, at the numerator, the effective electrical energy of the battery is reported, and at the denominator, all of the dissipative actions are reported. In particular, the presence of the auxiliary power consumption and the vehicle motion resistances are noticeable. The effect of the aerodynamic resistance contributes to sensibly decreasing the vehicle range for speeds higher than the threshold value of 50 km/h, as depicted in Figure 10.

5. Results

The vehicle model was used to estimate the vehicle’s performance through a sensitivity analysis, i.e., by evaluating the energy consumption, the maximum range of the vehicle, and the energy costs. The results are reported in Figure 10 and Table 3, respectively. Performances were evaluated considering the constant speed on a flat road, neglecting inertial and gravitational components of the model [32]. These can be used after simulations of the real routes for checking the correctness of the results obtained. Table 3 presents a comparison between the costs of the electrical energy and fuel of conventional ICE vehicles with the same engine power [33,34].
Figure 10a depicts how the aerodynamic resistance contributes to dissipating energy during the vehicle motion. At very low speeds, the energy consumption was mainly related to the dissipation due to tire-road rolling resistance, since the contribution due to aerodynamic resistance is negligible at low speeds. Beyond the threshold speed of 50 km/h, a sensible increase in the energy consumption can be appreciated due to the squared-speed term.
Table 3 presents the evidence of the differences between a journey conducted with EVs and ICE vehicles. The cost comparison favors the EVs, with a cost reduction of 3 ÷ 6 times for the trips on all routes considered.
As evident from Figure 10b, due to the low battery capacity, the EV type A is not able to reach the first charging station available on all routes when its battery SOC is low. Therefore, it is discarded from the simulation analysis.
With the vehicle model described, it is now possible to perform simulations to assess if it is feasible to implement electric mobility in the city of Cuenca given the actual infrastructure. The aim is to validate if each EV type can be effectively used in Cuenca. The focus is put on battery SOC, preventing it from being lower than 20% to prevent battery damage. If a charging station is found in the neighborhood of the lower limit of the SOC, the vehicle is forced to charge. Results have been collected and are synthetically reported in Table 4, Table 5 and Table 6 for Cuenca to Madrid and the Valencia and Toledo routes, respectively. All routes consider the maximum amount of auxiliary power consumption (daily light and air conditioner, about 540 W) and a complete charge upon arrival at the destination in order to reset the battery SOC up to 100%. In Section 5.1, each route will be analyzed as far as technical and economical pricing aspects, with a major focus on the infrastructure.

5.1. Analysis of Results

EV type A has been discarded from the simulation; however, the remaining vehicle types show differences among them that are less evident. In fact, vehicle types B and C show very close performances to each other, with one charging stop required to avoid the SOC level dropping below 20%. Moreover, SOC levels at the charging stations resemble each other, with slight differences regarding the energy consumed along the paths (and, hence, the amount of energy to be recharged).
EV type D, instead, shows the highest performance with no stop required, thanks to the high battery capacity. In a harsh environment, such as the one that is set around Cuenca, featured by its proximity to mountains, the slope gradient has the greatest considerable impact on the amount of energy consumed. This is why EV type A cannot reach the first available charging station on all routes considered.
Moreover, charging costs are very similar between the different vehicles considered. Type D results are the most demanding, with a maximum delta cost of more than EUR 1. The only exception is related to the Cuenca–Toledo route, where the D vehicle shows the lowest delta cost with respect to B and C and is about EUR 0.35.
The main differences in the results obtained here involve the vehicle ranges. EV type A is more profitable to be used in a citizen context, where a higher number of public charging stations are installed and available in opposition to reduced ranges. The absence of significant slope gradients in the city is helpful for such vehicles. The B and C vehicles represent the best compromises to be purchased and used in the actual contexts considered in this work, i.e., the region of Castile-La Mancha, as far as investments, actual infrastructure, and operative costs are involved. EV type D results in a very expensive purchasing operation, which presents positive paybacks in terms of range and management of battery SOC, with the highest battery capacity that allows reducing the number of recharging stops. Because of the reduced range of the A vehicle, some upgrades in the infrastructure for charging stations are required to fully implement the use of EVs in the region of Castile-La Mancha, as synthetically reported in Figure 11.

5.1.1. Cuenca–Madrid

As the results show in Table 4, it is possible to reach Madrid starting from Cuenca with EV types B, C, and D. In particular, vehicles B and C should stop at least once to recharge. If the D vehicle is chosen, no charging stops are required for arriving in Madrid with a SOC higher than 60%. The problem occurs with EV type A, unable to reach Madrid. The SOC of the battery is 20% after only 42 km from Cuenca. This is consistent with the data in Figure 10b, where the range is expected at a constant speed and a null slope is estimated. It shows that the range of this electric vehicle driving at 120 km/h is 42 km. Moreover, assuming that it could reach the first useful charging station in Tarancón, A vehicle would not reach Madrid without another stop, increasing the time needed for completing the journey. Hence, it can be concluded that it is unfeasible to travel from Cuenca to Madrid driving an EV type A.

5.1.2. Cuenca–Valencia

Results are similar for the Madrid route. According to Table 5, it is possible to reach the point of interest (PoI) in Valencia driving B, C, and D EV types. However, it is impossible to reach the destination if the vehicle type is A. Both B and C EVs have to stop in Requena, located 133 km away from Cuenca where the charging station is public. No additional stops are required if the vehicle is a D type, with a remaining SOC of 57% when arriving in Valencia.

5.1.3. Cuenca–Toledo

Because of the first part of the route that is in common with the Cuenca–Madrid path, what has been said in Section 5.1.1 remains valid for the Toledo journey. The only EV that cannot reach the destination is A, as well as in the previous cases. B and C vehicles should stop in the public charging station of Tarancón. It is worth noting that charging in the destination would be in the city of Toledo, not in the selected commercial center. If the vehicle is D, it can be charged in the city of Toledo as well, once the destination is reached. Characteristics of the path with those vehicles are summarized in Table 6.

6. Discussion

Observing the results obtained for each route, it is possible to affirm that the actual charging infrastructure does not allow traveling with all the EV types considered, due to their different technical specifications. The lack of charging stations, especially along highways and motorways, strongly limits the potentialities of vehicle A, already limited because of the low battery capacity. Since EV type A represents the so-called “city-car” class, it is designed to be used mainly in a citizen context; therefore, its use outside cities for long-haul travels is an out-of-work condition. Its technical features, such as battery capacity, motor power, recharging performances, and price are designed to fit a citizen environment, where low average speeds and frequent stop-and-go situations can be found. The other strong limiting factor is the purchasing price of an EV. Since EV type A is the cheapest class with general low performances, an upper EV class must be considered that allows medium- and long-haul travels, such as EV types B and C. This results in an increased starting price, which makes it more expensive.
The vehicle model here adopted is a very simple physical model, since the aim is to estimate the amount of electric power consumption and, therefore, the electric energy required to be recharged at each time for each EV type. Its modelization ease is a weak point, because it discards the electric powertrain dynamics, especially concerning energy-saving strategies that each car manufacturer can develop and equip their vehicles with. The other main difficulty is in having a detailed technical modelization, which would provide very realistic vehicle behavior, since technical data are not available and provided by car manufacturers.
On the other hand, this simple modelization of the problem allows a quick evaluation of the potentialities and weaknesses of EVs and charging infrastructure being capable to identify critical points. One of them is represented by the actual low number of charging stations installed and available along the routes considered. Since the aim was to evaluate a full implementation of electric mobility, EV type A must also be facilitated to reach the destination points. Solutions for each path considered are hereby proposed in order to allow traveling safely with EV type A.

6.1. Solutions to Cuenca–Madrid

For all vehicles to reach the destination in Madrid without SOC being lower than 20%, an upgrade in the actual infrastructure is strongly needed. The focus is then set on the EV class represented by the A car, which is the most limited in range. The installation of at least an additional charging point is required within 40 km from Cuenca. For instance, a good PoI can be set at a fuel station located 35 km from Cuenca, near Naharros village. However, it will be impossible to reach Tarancón as well, where two charging stations can be found, without charging again. Therefore, it is necessary to install one more charging station to reach Madrid. The town of Carrascosa del Campo is located 57 km away from Cuenca, where there are restaurants, hotels, medical services, and a petrol station. With this solution proposed here, the charging stations of Tarancón and Fuentidueña del Tajo can be used. If the charging station at the supermarket of Villarejo de Sabanés had the option of charging with Type 1 or CHAdeMO connectors, it would be possible to reach Madrid with EV type A. After the implementation of new charging stations, Table 7 reports the detailed trip data. It is assumed that all of the new charging stations will be equipped with CHAdeMO connectors and charging power of 50 kW, those typical in Spanish infrastructures. The costs of the journey are almost equal to the D vehicle, because of the reduced range available and the more recharging stops required to reach the destination.

6.2. Solutions to the Cuenca–Valencia Route

For this route, increasing the number of public charging stations is required to allow A to reach Valencia. The first PoI for installing a new charging station can be in Almodóvar del Pinar, a village located 50 km from Cuenca where the conventional way passes through it and there is a petrol station. The second additional charging station could be installed in Minglanilla, one of the biggest villages in the province of Cuenca located 83 km from it. This is the last municipality before entering the A3 highway. Here, there is an industrial area, which could be exploited for this purpose, since it is a good PoI for electric vehicles because of the presence of the highway connecting Madrid and Valencia, not only for those vehicles coming from Cuenca. In addition, in this way, the increment of traffic related to the charging station in the village is avoided.
The other infrastructural upgrade required to allow EV type A to reach the destination is by adding connectors—Type 1 and CHAdeMO—in charging stations at Requena. This prevents the installation of another charging station.
The last new charging station can be situated in Chiva, another big village (168 km far from Cuenca on the side of the A3 highway), so that trip deviations would be minimum. Chiva represents an important PoI because of the presence of Circuit Ricardo Tormo in Cheste, where motorsport events are held, such as MotoGP Grand Prix. Moreover, here, the industrial area can be exploited for installing new charging stations. It will also help in the introduction of connectors (Type 1 or CHAdeMO) in the commercial center of Valencia. That would allow the users of EV type A to reach Valencia. Table 8 shows the characteristics of this trip according to the infrastructural upgrades proposed here. The energy costs of the whole journey to Valencia for the A-type car are slightly higher than D, due to the extra charging stops for extending the range.

6.3. Solutions to Cuenca–Toledo Route

Reaching Toledo using EV type A, an infrastructural upgrade is required; therefore, more charging stations are needed, as reported in Table 9. The two first charging stations would be the same as for the path to Madrid because the first part of the route is in common. So, the first two stops will be held in Naharros and Carrascosa del Campo (35 and 57 km far from Cuenca, respectively) as well. It is not necessary to implement more charging stations along the route, but a preferable solution would include the installation of a charging station in the commercial center in Toledo with at least Type 1, Type 2, or CHAdeMO connectors. Conversely, with respect to the previous case scenarios, the energy costs needed to reach Toledo with EV type A are almost the same with respect to other EV types considered, with very small differences in terms of the total prices of the trip.

7. Conclusions

The aim of this work was to evaluate the full implementation of electric mobility in the country region of Castile-La Mancha in Spain. The EV types of interest were chosen according to a market sales analysis from the years 2020–2021 in Spain. The development of sustainable electric mobility in the city of Cuenca has been presented and evaluated, considering reaching the three main cities surrounding the region, i.e., Madrid, Valencia, and Toledo. A modelization of EVs was developed in MATLAB; the EV model considered technical vehicle data and estimated the overall power consumption through analytical expressions to evaluate performances and ranges. The routes connecting Cuenca with Madrid, and Valencia and Toledo were parameterized, also considering the actual infrastructure for charging stations. Shopping centers in these cities equipped with charging stations installed (and available) were chosen as points of interest for the final destinations. The simulations took into account different scenarios, such as the level of power absorbed by auxiliary systems for each route and each vehicle type considered. Final evaluations on the performances and costs of each trip were conducted. Destinations can be reached if traveling with a more powerful vehicle equipped with a higher battery capacity, such as B, C, or D types. For B and C vehicles, at least one stop is required, preventing the battery SOC from reaching 20%. Conversely, it is possible to reach all destinations through a highly-powerful vehicle, such as D, with no charging stops required. However, a complete charge must be conducted at the destination and this vehicle type is not economically affordable. The global costs for the recharging of electrical energy have been estimated, with similar total costs for each route considered among the different vehicles employed. The comparisons between electrical energy costs and equivalent ICE engine fuel costs enforce the progressive implementation and use of electric road mobility. However, it has been identified that the A vehicle type cannot be used to safely cover all routes considered, because of its low battery capacity and due to the lack of actual infrastructure for charging stations. Upgrades in the actual charging infrastructures are required to allow all vehicles to reach the destinations chosen from the peripheral regions. Conversely, without a reasoned plan to improve charging infrastructure that would increase the number of public charging stations installed and available, electric and sustainable mobility cannot be fully implemented throughout the whole country. This paper places attention on the increase of electric sustainable mobility outside of great cities, with a focus on particular regions or countries. These regions are characterized mainly by touristic interests and are located far from the main cities. To prevent these regions (and minor cities) from being cut out from the use of electric mobility, widespread diffusion of charging stations would allow full implementation of the use of EVs, and be available to every driver.

Author Contributions

Conceptualization, methodology, software, validation, A.M.R. and M.L.; formal analysis, M.L.; investigation, A.M.R.; resources, M.L.; writing—original draft preparation, A.M.R. and A.D.M.; writing—review and editing, M.L. and L.B.; visualization, A.D.M.; supervision, D.Z.; project administration, D.Z. All authors have read and agreed to the published version of the manuscript.

Funding

This research received no external funding.

Institutional Review Board Statement

Not applicable.

Informed Consent Statement

Not applicable.

Data Availability Statement

Data from Statista available at https://www.statista.com/ and Observatorio del vehiculo electrico y la movilidad sostenible available at https://evobservatory.iit.comillas.edu/.

Conflicts of Interest

The authors declare no conflict of interest.

References

  1. Capata, R. Urban and Extra-Urban Hybrid Vehicles: A Technological Review. Energies 2018, 11, 2924. [Google Scholar] [CrossRef]
  2. Peters, J.; Rosillo, F.G. El Coche Electrico: Una Alternativa Ecologica? Revista Ecologista. Available online: https://www.ecologistasenaccion.org/102865/el-coche-electrico-una-alternativa-ecologica/ (accessed on 16 August 2022).
  3. Soret, A.; Guevara, M.; Baldasano, J. The potential impacts of electric vehicles on air quality in the urban areas of Barcelona and Madrid (Spain). Atmos. Environ. 2014, 99, 51–63. [Google Scholar] [CrossRef]
  4. Chaturvedi, B.K.; Nautiyal, A.; Kandpal, T.C.; Yaqoot, M. Projected transition to electric vehicles in India and its impact on stakeholders. Energy Sustain. Dev. 2022, 66, 189–200. [Google Scholar] [CrossRef]
  5. ACEA, Statista Research Department. Quarterly Sales Volume of Battery Electric (BEV) and Plug-In Hybrid Electric Vehicles (PHEV) in Europe from Q1 2015 to Q2 2022. Available online: https://www.statista.com/statistics/642799/eu-total-sales-electric-vehicles/ (accessed on 16 August 2022).
  6. Bucher, D.; Martin, H.; Hamper, J.; Jaleh, A.; Becker, H.; Zhao, P.; Raubal, M. Exploring Factors that Influence Individuals’ Choice Between Internal Combustion Engine Cars and Electric Vehicles. AGILE GIScience Ser. 2020, 7, 1–23. [Google Scholar] [CrossRef]
  7. Acri, R.A.; Barone, S.; Cambula, P.; Cecchini, V.; Falvo, M.C.; Lepore, J.; Manganelli, M.; Santi, F. Forecast of the Demand for Electric Mobility for Rome Fiumicino International Airport. Energies 2021, 14, 5251. [Google Scholar] [CrossRef]
  8. Osieczko, K.; Zimon, D.; Płaczek, E.; Prokopiuk, I. Factors that influence the expansion of electric delivery vehicles and trucks in EU countries. J. Environ. Manag. 2021, 296, 113–177. [Google Scholar] [CrossRef] [PubMed]
  9. Gago, E.J. 8—Electric vehicles: Case study for Spain. In Electric Vehicles: Prospects and Challenges; Muneer, T., Kolhe, M.L., Doyle, A., Eds.; Elsevier: Amsterdam, The Netherlands, 2017; pp. 287–316. [Google Scholar] [CrossRef]
  10. Observatorio del Vehiculo Electrico y la Movilidad Sostenible. Matriculaciones de Vehiculos Electricos en Espana. Available online: https://evobservatory.iit.comillas.edu/ (accessed on 16 August 2022).
  11. EAFO, Statista Research Department. New Registrations of Plug-In Electric Cars in Selected European Countries in 2021. Available online: https://www.statista.com/statistics/626633/eu-new-electric-vehicle-registrations/ (accessed on 16 August 2022).
  12. Higueras-Castillo, E.; Guillen, A.; Herrera, L.J.; Liebana-Cabanillas, F. Adoption of electric vehicles: Which factors are really important? Int. J. Sustain. Transp. 2020, 15, 799–813. [Google Scholar] [CrossRef]
  13. Electrive. Spain Increases Electric Mobility Subsidies. Available online: https://www.electrive.com/2021/03/06/spain-increases-electric-mobility-subsidies/ (accessed on 16 August 2022).
  14. EVcharge. Evolution of Electric Mobility in Spain. 2021. Available online: https://evcharge.net/en/2021/12/23/evolution-of-electric-mobility-in-spain-2021/ (accessed on 16 August 2022).
  15. Observatorio del Vehiculo Electrico y la Movilidad Sostenible. Evolucion del Parque de Vehiculos Electricos de Espana. Available online: https://evobservatory.iit.comillas.edu/ (accessed on 16 August 2022).
  16. FSR Global. Electric Vehicles and Sustainable Development in Spain. Available online: https://fsr.eui.eu/electric-vehicles-and-sustainable-development-in-spain/ (accessed on 16 August 2022).
  17. Observatorio del Vehiculo Electrico y la Movilidad Sostenible. Numero de Estaciones de Recarga de Acceso Publico. Available online: https://evobservatory.iit.comillas.edu/ (accessed on 16 August 2022).
  18. Electromaps. Charging Station on Espana, Statistics at 29-07-2022. Available online: https://www.electromaps.com/en/charging-stations/espana (accessed on 16 August 2022).
  19. Yan, X.; Duan, C.; Chen, X.; Duan, Z. Planning of Electric Vehicle charging station based on hierarchic genetic algorithm. In Proceedings of the 2014 IEEE Conference and Expo Transportation Electrification Asia-Pacific (ITEC Asia-Pacific), Beijing, China, 31 August–3 September 2014; pp. 1–5. [Google Scholar] [CrossRef]
  20. He, B.; Hou, Y. Research on Estimation Method of the Balance Density of Electric Vehicles Charging Points. In Proceedings of the 2017 IEEE International Conference on Energy Internet (ICEI), Beijing, China, 17–21 April 2017; pp. 273–278. [Google Scholar] [CrossRef]
  21. Catalbas, M.C.; Yildirim, M.; Gulten, A.; Kurum, H. Estimation of optimal locations for electric vehicle charging stations. In Proceedings of the 2017 IEEE International Conference on Environment and Electrical Engineering and 2017 IEEE Industrial and Commercial Power Systems Europe (EEEIC/I&CPS Europe), Milan, Italy, 6–9 June 2017; pp. 1–4. [Google Scholar] [CrossRef]
  22. Ministerio de la Transizion Ecologica. Available online: https://www.miteco.gob.es/ (accessed on 16 August 2022).
  23. Valsera-Naranjo, E.; Sumper, A.; Lloret-Gallego, P.; Villafafila-Robles, R.; Sudria-Andreu, A. Electrical vehicles: State of art and issues for their connection to the network. In Proceedings of the 2009 10th International Conference on Electrical Power Quality and Utilisation, Lodz, Poland, 15–17 September 2009; pp. 1–3. [Google Scholar] [CrossRef]
  24. Martinez-Lao, J.; Montoya, F.G.; Montoya, M.G.; Manzano-Agugliaro, F. Electric vehicles in Spain: An overview of charging systems. Renew. Sustain. Energy Rev. 2016, 77, 970–983. [Google Scholar] [CrossRef]
  25. Hegde, V.; Aswathi, T.S.; Sidharth, R. Student residential distance calculation using Haversine formulation and visualization through GoogleMap for admission analysis. In Proceedings of the 2016 IEEE International Conference on Computational Intelligence and Computing Research (ICCIC), Chennai, India, 15–17 December 2016; pp. 1–5. [Google Scholar] [CrossRef]
  26. Observatorio del Vehiculo Electrico y la Movilidad Sostenible. Modelos mas Vendidos en Espana. Available online: https://evobservatory.iit.comillas.edu/ (accessed on 16 August 2022).
  27. Evtimov, I.; Ivanov, R.; Sapundjiev, M. Energy consumption of auxiliary systems of electric cars. MATEC Web Conf. 2017, 133, 06002. [Google Scholar] [CrossRef]
  28. Instituto Nacional de Estadistica. Available online: https://www.ine.es/ (accessed on 16 August 2022).
  29. Martin Moreno, J.A. Herramienta de Simulacion de Vehiculos Electricos. Bachelor’s Thesis, Electrical Engineering, Universidad Carlos III de Madrid, Madrid, Spain, 2013. Available online: https://e-archivo.uc3m.es/handle/10016/17661 (accessed on 16 August 2022).
  30. Kiyakli, A.; Solmaz, H. Modeling of an Electric Vehicle with MATLAB/Simulink. Int. J. Automot. Sci. Technol. 2018, 2, 9–15. [Google Scholar] [CrossRef]
  31. Mastinu, G.; Ploechl, M. (Eds.) Road and Off-Road Vehicle System Dynamics Handbook; CRC Press: Boca Raton, FL, USA, 2014; Chapter 27. [Google Scholar]
  32. Cao, F. Studio di un Veicolo Elettrico per Percorsi con Pendenze Elevate. Master’s Thesis, Facoltà di Ingegneria Industriale, Corso di Laurea in Ingegneria Meccanica, Politecnico di Milano, Milano, Italy. Available online: https://www.politesi.polimi.it/handle/10589/36541 (accessed on 16 August 2022).
  33. OMIE. Available online: https://www.omie.es/ (accessed on 16 August 2022).
  34. DieseloGasolina.com. Available online: https://www.dieselogasolina.com/ (accessed on 16 August 2022).
Figure 1. Quarterly sales volumes of EVs in the EU from Q1 2014 to Q2 2022.
Figure 1. Quarterly sales volumes of EVs in the EU from Q1 2014 to Q2 2022.
Energies 15 06336 g001
Figure 2. New EV registrations in the EU.
Figure 2. New EV registrations in the EU.
Energies 15 06336 g002
Figure 3. Evolution of EV fleets (a) and new registrations (b) in Spain.
Figure 3. Evolution of EV fleets (a) and new registrations (b) in Spain.
Energies 15 06336 g003
Figure 4. Evolution of charging infrastructure (a) and available sockets (b) in Spain.
Figure 4. Evolution of charging infrastructure (a) and available sockets (b) in Spain.
Energies 15 06336 g004
Figure 5. Locations of charging station infrastructures in Spain (a) and geographical location of Cuenca with the nearest cities in Spain (b).
Figure 5. Locations of charging station infrastructures in Spain (a) and geographical location of Cuenca with the nearest cities in Spain (b).
Energies 15 06336 g005
Figure 6. Actual charging stations on the routes starting from Cuenca to: Madrid (blue path), Valencia (green path) and Toledo (red path).
Figure 6. Actual charging stations on the routes starting from Cuenca to: Madrid (blue path), Valencia (green path) and Toledo (red path).
Energies 15 06336 g006
Figure 7. Altitude profile and charging stations on the routes: (a) Cuenca–Madrid, (b) Cuenca–Valencia, and (c) Cuenca–Toledo.
Figure 7. Altitude profile and charging stations on the routes: (a) Cuenca–Madrid, (b) Cuenca–Valencia, and (c) Cuenca–Toledo.
Energies 15 06336 g007
Figure 8. EV market sales for 2021 in Spain [26].
Figure 8. EV market sales for 2021 in Spain [26].
Energies 15 06336 g008
Figure 9. Example of the vehicle model.
Figure 9. Example of the vehicle model.
Energies 15 06336 g009
Figure 10. Energy consumption (a) and range (b) at constant speed.
Figure 10. Energy consumption (a) and range (b) at constant speed.
Energies 15 06336 g010
Figure 11. Charging stations on the routes starting from Cuenca: actual (green labels) and suggested (red labels).
Figure 11. Charging stations on the routes starting from Cuenca: actual (green labels) and suggested (red labels).
Energies 15 06336 g011
Table 1. Characteristics of vehicles considered.
Table 1. Characteristics of vehicles considered.
Vehicle TypeBattery CapacityMotor PowerMax SpeedDriving RangePrice
(kWh)[kW][km/h][km][k€]
Energies 15 06336 i001A16.0
(14.5 a)
4913015022
Energies 15 06336 i002B40.0
(36.0 a)
11014422035
Energies 15 06336 i003C42.2
(37.9 a)
12515026040
Energies 15 06336 i004D100.0
(95.0 a)
193 b,
375 c
261510110
a Exploitable power. b Front drive. c Rear drive.
Table 2. Traveling conditions of the routes.
Table 2. Traveling conditions of the routes.
Traveling ConditionsInitial SOCAuxiliariesAuxiliary Power
(%)[W]
Ideal100Daily lights40
Summer100air conditioner (cooling)500
Winter100air conditioner (heating)500
Table 3. Energy consumption costs.
Table 3. Energy consumption costs.
EV TypeEnergy Cost d [€/100 km]Fuel Cost e
[€/100 km]
90 km/h120 km/h
A2.2023.40310.267 (4.8 l/100 km)
B2.1303.10012.192 (5.7 l/100 km)
C2.0753.114
D2.3703.23014.331 (6.7 l/100 km)
d 0.153 €/kWh assumed price. e 2.139 €/liter assumed price.
Table 4. Simulation results for the Cuenca–Madrid route.
Table 4. Simulation results for the Cuenca–Madrid route.
EV TypeCharging StopsSOC (%)Energy to Be
Charged (kWh)
Charging
Costs (€)
BTarancón35.9923.0443.526
Madrid67.2311.7971.805
5.331
CTarancón40.0922.7063.474
Madrid78.188.2701.265
4.739
DMadrid58.5539.3786.025
6.025
Table 5. Simulation results for the Cuenca–Valencia route.
Table 5. Simulation results for the Cuenca–Valencia route.
EV TypeCharging StopsSOC (%)Energy to Be
Charged (kWh)
Charging
Costs (€)
BRequena40.7321.3373.265
Valencia69.211.0881.696
4.961
CRequena30.4326.3674.034
Valencia69.4511.5781.771
5.806
DValencia56.7741.0696.284
6.284
Table 6. Simulation results for the Cuenca–Toledo route.
Table 6. Simulation results for the Cuenca–Toledo route.
EV TypeCharging StopsSOC (%)Energy to Be
Charged (kWh)
Charging
Costs (€)
BTarancón41.9120.9123.200
Toledo42.9120.5523.144
6.344
CTarancón44.8820.8903.196
Toledo45.4520.6743.163
6.359
DToledo53.5744.1096.749
6.749
Table 7. Simulation results for EV type A on the Cuenca–Madrid route.
Table 7. Simulation results for EV type A on the Cuenca–Madrid route.
EV TypeCharging StopsSOC (%)Energy to Be
Charged (kWh)
Charging
Costs (€)
ANaharros *34.529.4941.28
Carrascosa del Campo *59.815.8270.787
Tarancón47.397.6281.031
Villarejo de Sabanés41.348.5051.149
Madrid67.2311.7971.805
6.052
* New charging stations to be installed.
Table 8. Simulation results for EV type A on the Cuenca–Valencia route.
Table 8. Simulation results for EV type A on the Cuenca–Valencia route.
EV TypeCharging StopsSOC (%)Energy to Be
Charged (kWh)
Charging
Costs (€)
AAlmodóvar del Pinar *35.939.2901.255
Minglanilla *61.875.5280.747
Utiel34.139.5511.291
Requena74.533.6930.499
Chiva *43.138.2461.114
Valencia67.2311.7971.805
6.711
* New charging stations to be installed.
Table 9. Simulation results for EV type A on the Cuenca–Toledo route.
Table 9. Simulation results for EV type A on the Cuenca–Toledo route.
EV TypeCharging StopsSOC (%)Energy to Be
Charged (kWh)
Charging
Costs (€)
ANaharros *3610.0521.355
Carrascosa del Campo *58.725.9860.809
Tarancón46.947.6941.040
Ocaña21.8711.3291.531
Toledo28.9710.2991.392
6.127
* New charging stations to be installed.
Publisher’s Note: MDPI stays neutral with regard to jurisdictional claims in published maps and institutional affiliations.

Share and Cite

MDPI and ACS Style

Montero Romero, A.; Di Martino, A.; Longo, M.; Barelli, L.; Zaninelli, D. Full Implementation of Electric Mobility in a Countryside Region of Spain. Energies 2022, 15, 6336. https://doi.org/10.3390/en15176336

AMA Style

Montero Romero A, Di Martino A, Longo M, Barelli L, Zaninelli D. Full Implementation of Electric Mobility in a Countryside Region of Spain. Energies. 2022; 15(17):6336. https://doi.org/10.3390/en15176336

Chicago/Turabian Style

Montero Romero, Andrés, Andrea Di Martino, Michela Longo, Linda Barelli, and Dario Zaninelli. 2022. "Full Implementation of Electric Mobility in a Countryside Region of Spain" Energies 15, no. 17: 6336. https://doi.org/10.3390/en15176336

APA Style

Montero Romero, A., Di Martino, A., Longo, M., Barelli, L., & Zaninelli, D. (2022). Full Implementation of Electric Mobility in a Countryside Region of Spain. Energies, 15(17), 6336. https://doi.org/10.3390/en15176336

Note that from the first issue of 2016, this journal uses article numbers instead of page numbers. See further details here.

Article Metrics

Back to TopTop