Recent Advances on the Valorization of Glycerol into Alcohols
Abstract
:1. Introduction
2. Glycerol Valorization into Alcohols
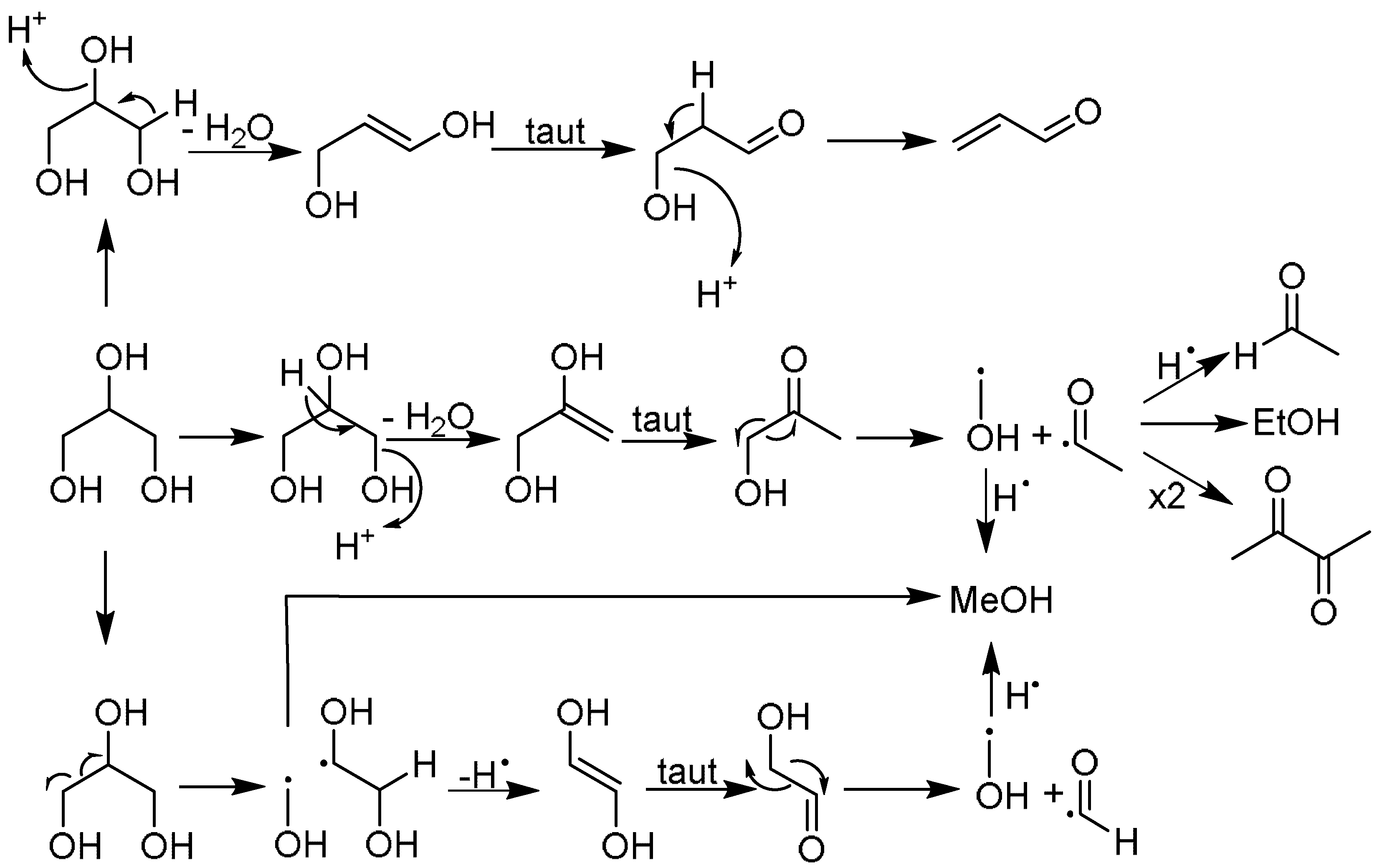
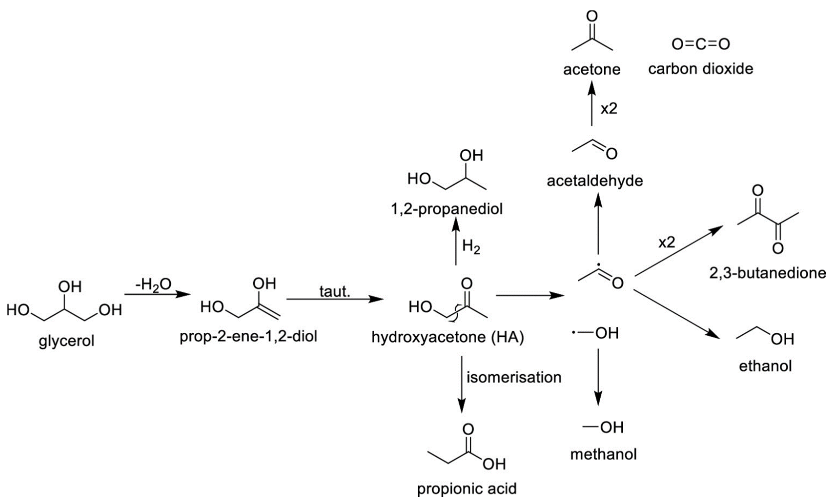
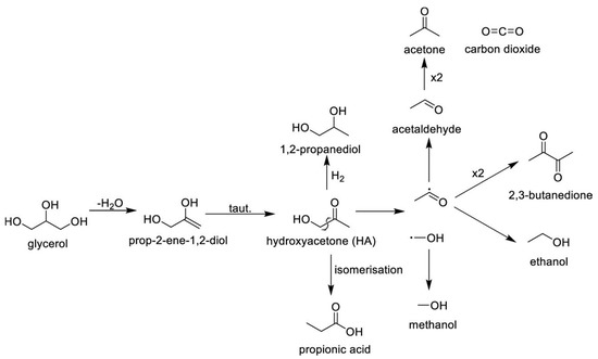
2.1. Glycerol to Methanol
2.2. VAIPOs for Glycerol to Methanol
2.3. The Super Methanol Concept
2.4. Glycerol to Ethanol
2.5. Glycerol to Mono Alcohols via Hydrogenolysis
3. Update on the Valorization of Crude Glycerol
4. Conclusions and Outlook
Author Contributions
Funding
Institutional Review Board Statement
Informed Consent Statement
Data Availability Statement
Acknowledgments
Conflicts of Interest
References
- Pagliaro, M.; Ciriminna, R.; Kimura, H.; Rossi, M.; Della Pina, C. From Glycerol to Value-Added Products. Angew. Chem. Int. Ed. 2007, 46, 4434–4440. [Google Scholar] [CrossRef] [PubMed]
- Behr, A.; Eilting, J.; Irawadi, K.; Leschinski, J.; Lindner, F. Improved utilisation of renewable resources: New important derivatives of glycerol. Green Chem. 2008, 10, 13–30. [Google Scholar] [CrossRef]
- Varma, R.S.; Len, C. Glycerol valorization under continuous flow conditions-recent advances. Curr. Opin. Green Sustain. Chem. 2019, 15, 83–90. [Google Scholar] [CrossRef]
- Checa, M.; Nogales-Delgado, S.; Montes, V.; Encinar, J.M. Recent Advances in Glycerol Catalytic Valorization: A Review. Catalysts 2020, 10, 1279. [Google Scholar] [CrossRef]
- Zhou, C.-H.; Beltramini, J.N.; Fan, Y.-X.; Lu, G.Q. Chemoselective catalytic conversion of glycerol as a biorenewable source to valuable commodity chemicals. Chem. Soc. Rev. 2008, 37, 527–549. [Google Scholar] [CrossRef] [PubMed]
- Bagnato, G.; Iulianelli, A.; Sanna, A.; Basile, A. Glycerol Production and Transformation: A Critical Review with Particular Emphasis on Glycerol Reforming Reaction for Producing Hydrogen in Conventional and Membrane Reactors. Membranes 2017, 7, 17. [Google Scholar] [CrossRef]
- Ciriminna, R.; Pina, C.D.; Rossi, M.; Pagliaro, M. Understanding the glycerol market. Eur. J. Lipid Sci. Technol. 2014, 116, 1432–1439. [Google Scholar] [CrossRef]
- IEA. Global Energy Review 2021; IEA: Paris, France, 2021. [Google Scholar]
- Research, B. Market Value of Biodiesel Worldwide in 2019 and 2024 (in Billion U.S. Dollars). Available online: https://www.statista.com/statistics/1109212/global-market-value-biodiesel/ (accessed on 14 July 2022).
- IEA. Tracking Transport Biofuels 2020; IEA: Paris, France, 2020. [Google Scholar]
- Alisson Dias da Silva, R.; Ana Luíza Freitas, F.; Antônio Ésio, B.; Rita Maria de Brito, A.; Luiz Antônio Magalhães, P. Market Prospecting and Assessment of the Economic Potential of Glycerol from Biodiesel; IntechOpen: London, UK, 2020. [Google Scholar]
- Wang, Y.; Zhou, J.; Guo, X. Catalytic hydrogenolysis of glycerol to propanediols: A review. RSC Adv. 2015, 5, 74611–74628. [Google Scholar] [CrossRef]
- Sun, D.; Yamada, Y.; Sato, S.; Ueda, W. Glycerol hydrogenolysis into useful C3 chemicals. Appl. Catal. B Environ. 2016, 193, 75–92. [Google Scholar] [CrossRef]
- Katryniok, B.; Kimura, H.; Skrzyńska, E.; Girardon, J.-S.; Fongarland, P.; Capron, M.; Ducoulombier, R.; Mimura, N.; Paul, S.; Dumeignil, F. Selective catalytic oxidation of glycerol: Perspectives for high value chemicals. Green Chem. 2011, 13, 1960–1979. [Google Scholar] [CrossRef]
- Feng, S.; Yi, J.; Miura, H.; Nakatani, N.; Hada, M.; Shishido, T. Experimental and Theoretical Investigation of the Role of Bismuth in Promoting the Selective Oxidation of Glycerol over Supported Pt–Bi Catalyst under Mild Conditions. ACS Catal. 2020, 10, 6071–6083. [Google Scholar] [CrossRef]
- Walgode, P.M.; Faria, R.P.V.; Rodrigues, A.E. A review of aerobic glycerol oxidation processes using heterogeneous catalysts: A sustainable pathway for the production of dihydroxyacetone. Catal. Rev. 2021, 63, 422–511. [Google Scholar] [CrossRef]
- Evans, C.D.; Douthwaite, M.; Carter, J.H.; Pattisson, S.; Kondrat, S.A.; Bethell, D.; Knight, D.W.; Taylor, S.H.; Hutchings, G.J. Enhancing the understanding of the glycerol to lactic acid reaction mechanism over AuPt/TiO2 under alkaline conditions. J. Chem. Phys. 2020, 152, 134705. [Google Scholar] [CrossRef] [PubMed]
- Douthwaite, M.; Powell, N.; Taylor, A.; Ford, G.; López, J.M.; Solsona, B.; Yang, N.; Sanahuja-Parejo, O.; He, Q.; Morgan, D.J.; et al. Glycerol Selective Oxidation to Lactic Acid over AuPt Nanoparticles; Enhancing Reaction Selectivity and Understanding by Support Modification. ChemCatChem 2020, 12, 3097–3107. [Google Scholar] [CrossRef]
- Gabrysch, T.; Peng, B.; Bunea, S.; Dyker, G.; Muhler, M. The Role of Metallic Copper in the Selective Hydrodeoxygenation of Glycerol to 1,2-Propanediol over Cu/ZrO2. ChemCatChem 2018, 10, 1344–1350. [Google Scholar] [CrossRef]
- Feng, Y.-S.; Liu, C.; Kang, Y.-M.; Zhou, X.-M.; Liu, L.-L.; Deng, J.; Xu, H.-J.; Fu, Y. Selective hydrogenolysis of glycerol to 1,2-propanediol catalyzed by supported bimetallic PdCu-KF/γ-Al2O3. Chem. Eng. J. 2015, 281, 96–101. [Google Scholar] [CrossRef]
- Wang, C.; Jiang, H.; Chen, C.; Chen, R.; Xing, W. Solvent effect on hydrogenolysis of glycerol to 1,2-propanediol over Cu–ZnO catalyst. Chem. Eng. J. 2015, 264, 344–350. [Google Scholar] [CrossRef]
- Wu, F.; Jiang, H.; Zhu, X.; Lu, R.; Shi, L.; Lu, F. Effect of Tungsten Species on Selective Hydrogenolysis of Glycerol to 1,3-Propanediol. ChemSusChem 2021, 14, 569–581. [Google Scholar] [CrossRef]
- Nakagawa, Y.; Tamura, M.; Tomishige, K. Perspective on catalyst development for glycerol reduction to C3 chemicals with molecular hydrogen. Res. Chem. Intermed. 2018, 44, 3879–3903. [Google Scholar] [CrossRef]
- Katryniok, B.; Paul, S.; Capron, M.; Dumeignil, F. Towards the Sustainable Production of Acrolein by Glycerol Dehydration. ChemSusChem 2009, 2, 719–730. [Google Scholar] [CrossRef]
- Katryniok, B.; Paul, S.; Dumeignil, F. Recent Developments in the Field of Catalytic Dehydration of Glycerol to Acrolein. ACS Catal. 2013, 3, 1819–1834. [Google Scholar] [CrossRef]
- Sun, D.; Yamada, Y.; Sato, S.; Ueda, W. Glycerol as a potential renewable raw material for acrylic acid production. Green Chem. 2017, 19, 3186–3213. [Google Scholar] [CrossRef]
- Nanda, M.R.; Zhang, Y.; Yuan, Z.; Qin, W.; Ghaziaskar, H.S.; Xu, C. (Catalytic conversion of glycerol for sustainable production of solketal as a fuel additive: A review. Renew. Sustain. Energy Rev. 2016, 56, 1022–1031. [Google Scholar] [CrossRef]
- Talebian-Kiakalaieh, A.; Amin, N.A.S.; Najaafi, N.; Tarighi, S. A Review on the Catalytic Acetalization of Bio-renewable Glycerol to Fuel Additives. Front. Chem. 2018, 6, 573. [Google Scholar] [CrossRef] [PubMed]
- Goyal, S.; Hernández, N.B.; Cochran, E.W. An update on the future prospects of glycerol polymers. Polym. Int. 2021, 70, 911–917. [Google Scholar] [CrossRef]
- Fasolini, A.; Cespi, D.; Tabanelli, T.; Cucciniello, R.; Cavani, F. Hydrogen from Renewables: A Case Study of Glycerol Reforming. Catalysts 2019, 9, 722. [Google Scholar] [CrossRef]
- Macedo, M.S.; Soria, M.; Madeira, L.M. Process intensification for hydrogen production through glycerol steam reforming. Renew. Sustain. Energy Rev. 2021, 146, 111151. [Google Scholar] [CrossRef]
- Freitas, I.C.; Manfro, R.L.; Souza, M.M. Hydrogenolysis of glycerol to propylene glycol in continuous system without hydrogen addition over Cu-Ni catalysts. Appl. Catal. B: Environ. 2018, 220, 31–41. [Google Scholar] [CrossRef]
- Cai, F.; Pan, D.; Ibrahim, J.J.; Zhang, J.; Xiao, G. Hydrogenolysis of glycerol over supported bimetallic Ni/Cu catalysts with and without external hydrogen addition in a fixed-bed flow reactor. Appl. Catal. A Gen. 2018, 564, 172–182. [Google Scholar] [CrossRef]
- Yu, X.; dos Santos, E.C.; White, J.; Salazar-Alvarez, G.; Pettersson, L.G.M.; Cornell, A.; Johnsson, M. Electrocatalytic Glycerol Oxidation with Concurrent Hydrogen Evolution Utilizing an Efficient MoOx/Pt Catalyst. Small 2021, 17, 2104288. [Google Scholar] [CrossRef]
- Ripoll, M.; Betancor, L. Opportunities for the valorization of industrial glycerol via biotransformations. Curr. Opin. Green Sustain. Chem. 2021, 28, 100430. [Google Scholar] [CrossRef]
- Stasiak-Różańska, L.; Berthold-Pluta, A.; Dikshit, P.K. Valorization of Waste Glycerol to Dihydroxyacetone with Biocatalysts Obtained from Gluconobacter oxydans. Appl. Sci. 2018, 8, 2517. [Google Scholar] [CrossRef]
- Ju, J.-H.; Heo, S.-Y.; Choi, S.-W.; Kim, Y.-M.; Kim, M.-S.; Kim, C.-H.; Oh, B.-R. Effective bioconversion of 1,3-propanediol from biodiesel-derived crude glycerol using organic acid resistance–enhanced Lactobacillus reuteri JH83. Bioresour. Technol. 2021, 337, 125361. [Google Scholar] [CrossRef] [PubMed]
- Efthymiou, M.-N.; Pateraki, C.; Papapostolou, H.; Lin, C.S.K.; Koutinas, A. Restructuring the sunflower-based biodiesel industry into a circular bio-economy business model converting sunflower meal and crude glycerol into succinic acid and value-added co-products. Biomass Bioenergy 2021, 155, 106265. [Google Scholar] [CrossRef]
- Haider, M.H.; Dummer, N.F.; Knight, D.W.; Jenkins, R.L.; Howard, M.; Moulijn, J.; Taylor, S.H.; Hutchings, G.J. Efficient green methanol synthesis from glycerol. Nat. Chem. 2015, 7, 1028–1032. [Google Scholar] [CrossRef]
- Verhelst, S.; Turner, J.W.; Sileghem, L.; Vancoillie, J. Methanol as a fuel for internal combustion engines. Prog. Energy Combust. Sci. 2019, 70, 43–88. [Google Scholar] [CrossRef]
- Wang, C.; Li, Y.; Xu, C.; Badawy, T.; Sahu, A.; Jiang, C. Methanol as an octane booster for gasoline fuels. Fuel 2019, 248, 76–84. [Google Scholar] [CrossRef]
- Wang, Y.; Xiao, Y.; Xiao, G. Sustainable value-added C3 chemicals from glycerol transformations: A mini review for heterogeneous catalytic processes. Chin. J. Chem. Eng. 2019, 27, 1536–1542. [Google Scholar] [CrossRef]
- Kosamia, N.M.; Samavi, M.; Uprety, B.K.; Rakshit, S.K. Valorization of Biodiesel Byproduct Crude Glycerol for the Production of Bioenergy and Biochemicals. Catalysts 2020, 10, 609. [Google Scholar] [CrossRef]
- Veluturla, S.; Archna, N.; Rao, D.S.; Hezil, N.; Indraja, I.; Spoorthi, S. Catalytic valorization of raw glycerol derived from biodiesel: A review. Biofuels 2018, 9, 305–314. [Google Scholar] [CrossRef]
- Li, X.-L.; Zhou, Q.; Pan, S.-X.; He, Y.; Chang, F. A Review of Catalytic Upgrading of Biodiesel Waste Glycerol to Valuable Products. Curr. Green Chem. 2020, 7, 259–266. [Google Scholar] [CrossRef]
- Tabassum, N.; Pothu, R.; Pattnaik, A.; Boddula, R.; Balla, P.; Gundeboyina, R.; Challa, P.; Rajesh, R.; Perugopu, V.; Mameda, N.; et al. Heterogeneous Catalysts for Conversion of Biodiesel-Waste Glycerol into High-Added-Value Chemicals. Catalysts 2022, 12, 767. [Google Scholar] [CrossRef]
- Liu, X.; Yin, B.; Zhang, W.; Yu, X.; Du, Y.; Zhao, S.; Zhang, G.; Liu, M.; Yan, H.; Abbotsi-Dogbey, M.; et al. Catalytic Transfer Hydrogenolysis of Glycerol over Heterogeneous Catalysts: A Short Review on Mechanistic Studies. Chem. Rec. 2021, 21, 1792–1810. [Google Scholar] [CrossRef] [PubMed]
- Minh, A.L.C.; Samudrala, S.P.; Bhattacharya, S. Valorisation of Glycerol through Catalytic Hydrogenolysis Routes for Sustainable Production of Value-Added C3 Chemicals: Current and Future Trends. Sustain. Energy Fuels 2022, 6, 596–639. [Google Scholar] [CrossRef]
- Fan, L.; Liu, B.; Liu, X.; Senthilkumar, N.; Wang, G.; Wen, Z. Recent Progress in Electrocatalytic Glycerol Oxidation. Energy Technol. 2021, 9, 2000804. [Google Scholar] [CrossRef]
- Moreira, R.; Bimbela, F.; Gandía, L.M.; Ferreira, A.; Sánchez, J.L.; Portugal, A. Oxidative steam reforming of glycerol. A review. Renew. Sustain. Energy Rev. 2021, 148, 111299. [Google Scholar] [CrossRef]
- Sun, Y.-Q.; Shen, J.-T.; Yan, L.; Zhou, J.-J.; Jiang, L.-L.; Chen, Y.; Yuan, J.-L.; Feng, E.; Xiu, Z.-L. Advances in bioconversion of glycerol to 1,3-propanediol: Prospects and challenges. Process Biochem. 2018, 71, 134–146. [Google Scholar] [CrossRef]
- Basu, S.; Sen, A.K. A Review on Catalytic Dehydration of Glycerol to Acetol. ChemBioEng Rev. 2021, 8, 633–653. [Google Scholar] [CrossRef]
- Abdullah, A.; Zuhairi Abdullah, A.; Ahmed, M.; Khan, J.; Shahadat, M.; Umar, K.; Alim, M.A. A review on recent developments and progress in sustainable acrolein production through catalytic dehydration of bio-renewable glycerol. J. Clean. Prod. 2022, 341, 130876. [Google Scholar] [CrossRef]
- Akbulut, D.; Özkar, S. A review of the catalytic conversion of glycerol to lactic acid in the presence of aqueous base. RSC Adv. 2022, 12, 18864–18883. [Google Scholar] [CrossRef]
- Smith, L.R.; Smith, P.J.; Mugford, K.S.; Douthwaite, M.; Dummer, N.F.; Willock, D.J.; Howard, M.; Knight, D.W.; Taylor, S.H.; Hutchings, G.J. New insights for the valorisation of glycerol over MgO catalysts in the gas-phase. Catal. Sci. Technol. 2019, 9, 1464–1475. [Google Scholar] [CrossRef]
- Sainna, M.A.; Nanavati, S.; Black, C.; Smith, L.R.; Mugford, K.; Jenkins, H.J.; Douthwaite, M.; Dummer, N.F.; Catlow, R.C.A.; Hutchings, G.J.; et al. A combined periodic DFT and QM/MM approach to understand the radical mechanism of the catalytic production of methanol from glycerol. Faraday Discuss. 2021, 229, 108–130. [Google Scholar] [CrossRef] [PubMed]
- Smith, P.J.; Smith, L.; Dummer, N.F.; Douthwaite, M.; Willock, D.J.; Howard, M.; Knight, D.W.; Taylor, S.H.; Hutchings, G.J. Investigating the Influence of Reaction Conditions and the Properties of Ceria for the Valorisation of Glycerol. Energies 2019, 12, 1359. [Google Scholar] [CrossRef]
- Devlia, J.; Smith, L.; Douthwaite, M.; Taylor, S.H.; Willock, D.J.; Hutchings, G.J.; Dummer, N.F. The formation of methanol from glycerol bio-waste over doped ceria-based catalysts. Philos. Trans. R. Soc. London. Ser. A Math. Phys. Eng. Sci. 2020, 378, 20200059. [Google Scholar] [CrossRef] [PubMed]
- Smith, L.R.; Sainna, M.A.; Douthwaite, M.; Davies, T.E.; Dummer, N.F.; Willock, D.J.; Knight, D.W.; Catlow, C.R.A.; Taylor, S.H.; Hutchings, G.J. Gas Phase Glycerol Valorization over Ceria Nanostructures with Well-Defined Morphologies. ACS Catal. 2021, 11, 4893–4907. [Google Scholar] [CrossRef] [PubMed]
- Mai, H.-X.; Sun, L.-D.; Zhang, Y.-W.; Si, R.; Feng, W.; Zhang, H.-P.; Liu, A.H.-C.; Yan, C.-H. Shape-Selective Synthesis and Oxygen Storage Behavior of Ceria Nanopolyhedra, Nanorods, and Nanocubes. J. Phys. Chem. B 2005, 109, 24380–24385. [Google Scholar] [CrossRef] [PubMed]
- Mitran, G.; Neațu, F.; Neațu, Ș.; Trandafir, M.M.; Florea, M. VAlPOs as Efficient Catalysts for Glycerol Conversion to Methanol. Catalysts 2020, 10, 728. [Google Scholar] [CrossRef]
- Joost, G.V.B.; Robertus, H.V.; Hero, J.H. Biomethanol from Glycerol; IntechOpen: London, UK, 2012. [Google Scholar]
- Van Bennekom, J.; Venderbosch, R.; Assink, D.; Lemmens, K.; Heeres, H. Bench scale demonstration of the Supermethanol concept: The synthesis of methanol from glycerol derived syngas. Chem. Eng. J. 2012, 207–208, 245–253. [Google Scholar] [CrossRef]
- Kostyniuk, A.; Bajec, D.; Likozar, B. One-step synthesis of ethanol from glycerol in a gas phase packed bed reactor over hierarchical alkali-treated zeolite catalyst materials. Green Chem. 2020, 22, 753–765. [Google Scholar] [CrossRef]
- Furikado, I.; Miyazawa, T.; Koso, S.; Shimao, A.; Kunimori, K.; Tomishige, K. Catalytic performance of Rh/SiO2 in glycerol reaction under hydrogen. Green Chem. 2007, 9, 582–588. [Google Scholar] [CrossRef] [Green Version]
- Miyazawa, T.; Kusunoki, Y.; Kunimori, K.; Tomishige, K. Glycerol conversion in the aqueous solution under hydrogen over Ru/C + an ion-exchange resin and its reaction mechanism. J. Catal. 2006, 240, 213–221. [Google Scholar] [CrossRef]
- Ruy, A.D.D.S.; Alves, R.M.D.B.; Hewer, T.L.R.; Pontes, D.D.A.; Teixeira, L.S.G.; Pontes, L.A.M. Catalysts for glycerol hydrogenolysis to 1,3-propanediol: A review of chemical routes and market. Catal. Today 2021, 381, 243–253. [Google Scholar] [CrossRef]
- Zhao, H.; Zheng, L.; Li, X.; Chen, P.; Hou, Z. Hydrogenolysis of glycerol to 1,2-propanediol over Cu-based catalysts: A short review. Catal. Today 2019, 355, 84–95. [Google Scholar] [CrossRef]
- Hu, Y.; He, Q.; Xu, C. Catalytic Conversion of Glycerol into Hydrogen and Value-Added Chemicals: Recent Research Advances. Catalysts 2021, 11, 1455. [Google Scholar] [CrossRef]
- van Ryneveld, E.; Mahomed, A.S.; van Heerden, P.S.; Green, M.J.; Friedrich, H.B. A catalytic route to lower alcohols from glycerol using Ni-supported catalysts. Green Chem. 2011, 13, 1819–1827. [Google Scholar] [CrossRef]
- Shozi, M.L.; Dasireddy, V.D.B.C.; Singh, S.; Mohlala, P.; Morgan, D.J.; Friedrich, H.B. Hydrogenolysis of Glycerol to Monoalcohols over Supported Mo and W Catalysts. ACS Sustain. Chem. Eng. 2016, 4, 5752–5760. [Google Scholar] [CrossRef]
- Shozi, M.L.; Dasireddy, V.D.B.C.; Singh, S.; Govender, A.; Mohlala, P.; Friedrich, H.B. The effect of rhenium on the conversion of glycerol to mono-alcohols over nickel catalysts under continuous flow conditions. Sustain. Energy Fuels 2019, 3, 2038–2047. [Google Scholar] [CrossRef]
- Gatti, M.N.; Cerioni, J.L.; Pompeo, F.; Santori, G.F.; Nichio, N.N. High Yield to 1-Propanol from Crude Glycerol Using Two Reaction Steps with Ni Catalysts. Catalysts 2020, 10, 615. [Google Scholar] [CrossRef]
- Hu, S.; Luo, X.; Wan, C.; Li, Y. Characterization of crude glycerol from biodiesel plants. J. Agric. Food Chem. 2012, 60, 5915–5921. [Google Scholar] [CrossRef]
- Kumar, L.R.; Yellapu, S.K.; Tyagi, R.; Zhang, X. A review on variation in crude glycerol composition, bio-valorization of crude and purified glycerol as carbon source for lipid production. Bioresour. Technol. 2019, 293, 122155. [Google Scholar] [CrossRef]
- Luo, X.; Ge, X.; Cui, S.; Li, Y. Value-added processing of crude glycerol into chemicals and polymers. Bioresour. Technol. 2016, 215, 144–154. [Google Scholar] [CrossRef] [PubMed]
- Bartholomew, C.H. Mechanisms of catalyst deactivation. Appl. Catal. A Gen. 2001, 212, 17–60. [Google Scholar] [CrossRef]
- Ardi, M.; Aroua, M.; Hashim, N.A. Progress, prospect and challenges in glycerol purification process: A review. Renew. Sustain. Energy Rev. 2015, 42, 1164–1173. [Google Scholar] [CrossRef]
- Kong, P.S.; Aroua, M.K.; Daud, W.M.A.W. Conversion of crude and pure glycerol into derivatives: A feasibility evaluation. Renew. Sustain. Energy Rev. 2016, 63, 533–555. [Google Scholar] [CrossRef]
- López, A.; Aragón, J.; Hernández-Cortez, J.; Mosqueira, M.; Martínez-Palou, R. Study of hydrotalcite-supported transition metals as catalysts for crude glycerol hydrogenolysis. Mol. Catal. 2019, 468, 9–18. [Google Scholar] [CrossRef]
- Nanda, M.R.; Yuan, Z.; Shui, H.; Xu, C. (Selective Hydrogenolysis of Glycerol and Crude Glycerol (a By-Product or Waste Stream from the Biodiesel Industry) to 1,2-Propanediol over B2O3 Promoted Cu/Al2O3 Catalysts. Catalysts 2017, 7, 196. [Google Scholar] [CrossRef]
- Wu, Z.; Yan, H.; Ge, S.; Gao, J.; Dou, T.; Li, Y.; Yip, A.C.; Zhang, M. MoO3 modified Ni2P/Al2O3 as an efficient catalyst for crude glycerol to propylene. Catal. Commun. 2017, 92, 80–85. [Google Scholar] [CrossRef]
- Tao, M.; Li, Y.; Li, Y.; Zhang, X.; Geletii, Y.V.; Wang, X.; Hill, C.L. Heterogenization of polyoxometalates as solid catalysts in aerobic oxidation of glycerol. Catal. Sci. Technol. 2020, 10, 3771–3781. [Google Scholar] [CrossRef]
- Arcanjo, M.R.A.; Paniagua, M.; Morales, G.A.; Iglesias, J.; Melero, J.A.; Da Silva, I.; Rodríguez-Castellón, E.; Vieira, R.S. Temperature Effect on Pretreatment of the Activated Carbon Support (Pt/AC and Pd/AC) for Glycerin into Lactic Acid. Ind. Eng. Chem. Res. 2020, 59, 14643–14657. [Google Scholar] [CrossRef]
- Vankudoth, K.; Gutta, N.; Velisoju, V.K.; Mutyala, S.; Aytam, H.P.; Akula, V. CuCr2O4 derived by the sol–gel method as a highly active and selective catalyst for the conversion of glycerol to 2,6-dimethylpyrazine: A benign and eco-friendly process. Catal. Sci. Technol. 2017, 7, 3399–3407. [Google Scholar] [CrossRef]
- Vankudoth, K.; Velisoju, V.K.; Gutta, N.; Sathu, N.K.; Aytam, H.P.; Inkollu, S.; Akula, V. Zn-Modified CuCr2O4 as Stable and Active Catalyst for the Synthesis of 2,6-Dimethylpyrazine: Valorization of Crude Glycerol Obtained from a Biodiesel Plant. Ind. Eng. Chem. Res. 2017, 56, 11664–11671. [Google Scholar] [CrossRef]
- Wang, Y.; Furukawa, S.; Song, S.; He, Q.; Asakura, H.; Yan, N. Catalytic Production of Alanine from Waste Glycerol. Angew. Chem. Int. Ed. 2020, 59, 2289–2293. [Google Scholar] [CrossRef] [PubMed]
- Chiosso, M.E.; Casella, M.L.; Merlo, A.B. Synthesis and catalytic evaluation of acidic carbons in the etherification of glycerol obtained from biodiesel production. Catal. Today 2021, 372, 107–114. [Google Scholar] [CrossRef]
- Lu, Q.; Liu, R.; Xia, G. Sequential Dehydration and Oxidation of Biodiesel-derived Crude Glycerol into Acrylic Acid. Russ. J. Appl. Chem. 2018, 91, 235–244. [Google Scholar] [CrossRef]
- Talebian-Kiakalaieh, A.; Tarighi, S. Hierarchical faujasite zeolite-supported heteropoly acid catalyst for acetalization of crude-glycerol to fuel additives. J. Ind. Eng. Chem. 2019, 79, 452–464. [Google Scholar] [CrossRef]
- Veiga, S.; Bussi, J. Steam reforming of crude glycerol over nickel supported on activated carbon. Energy Convers. Manag. 2017, 141, 79–84. [Google Scholar] [CrossRef]
- He, S.; Muizebelt, I.; Heeres, A.; Schenk, N.J.; Blees, R.; Heeres, H.J. Catalytic pyrolysis of crude glycerol over shaped ZSM-5/bentonite catalysts for bio-BTX synthesis. Appl. Catal. B Environ. 2018, 235, 45–55. [Google Scholar] [CrossRef]
- Singh, V.; Arumugam, S.; Tathod, A.P.; Viswanadham, N. Efficient Bifunctional Catalysts for Enhanced Carbon Conversions and Alky-Aromatics Production in Crude Bio-glycerol Methanol Processes. ACS Sustain. Chem. Eng. 2022, 10, 5323–5332. [Google Scholar] [CrossRef]
- Finn, M.; Ridenour, J.A.; Heltzel, J.; Cahill, C.; Voutchkova-Kostal, A. Next-Generation Water-Soluble Homogeneous Catalysts for Conversion of Glycerol to Lactic Acid. Organometallics 2018, 37, 1400–1409. [Google Scholar] [CrossRef]
- Okoye, P.; Abdullah, A.; Hameed, B. Synthesis of oxygenated fuel additives via glycerol esterification with acetic acid over bio-derived carbon catalyst. Fuel 2017, 209, 538–544. [Google Scholar] [CrossRef]
- Bedogni, G.; Acevedo, M.D.; Aguzín, F.; Okulik, N.B.; Padró, C.L. Synthesis of bioadditives of fuels from biodiesel-derived glycerol by esterification with acetic acid on solid catalysts. Environ. Technol. 2018, 39, 1955–1966. [Google Scholar] [CrossRef] [PubMed]
- Saini, B.; Tathod, A.P.; Saxena, S.K.; Arumugam, S.; Viswanadham, N. Sustainable Upgrade of Bioderived Glycerol to Solketal through Acetalization over Metal-Free Mordenite Catalysts. ACS Sustain. Chem. Eng. 2022, 10, 1172–1181. [Google Scholar] [CrossRef]









| Feedstock Concentration (%) | 15 wt.% | 30 wt.% | 50 wt.% | |||
|---|---|---|---|---|---|---|
| Glycerol Source | Pure | Crude | Pure | Crude | Pure | Crude |
| Glycerol conversion (%) | 76 | 70 | 55 | 50 | 40 | 30 |
| MeOH selectivity (%) | 56 | 55 | 41 | 38 | 34 | 29 |
| STY (gMeOH kgcat−1 h−1) | 18 | 16 | 21 | 19 | 25 | 18 |
| Experimental error is ±5% | ||||||
| Catalyst | Conversion (%) | Major Product Selectivity (%) | Specific Activity /mmolMeOH h−1 m−2 | Intrinsic Activity /gMeOH h−1 kg−1 | |||
|---|---|---|---|---|---|---|---|
| MeOH | HAce | AceA | COx | ||||
| CeO2 | 99.8 | 12.6 | 6.4 | 8.7 | 13.1 | 0.052 | 96.86 |
| Ce3ZrO2 | 97.7 | 11.5 | 9.3 | 11.9 | 8.5 | 0.032 | 94.98 |
| CeZrO2 | 99.9 | 11.4 | 13.0 | 11.0 | 6.9 | 0.029 | 101.76 |
| ZrO2 | 67.9 | 7.9 | 30.5 | 7.7 | 5.1 | 0.013 | 37.17 |
| Ce3PrO2 | 90.6 | 12.1 | 10.8 | 8.8 | 11.8 | 0.039 | 100.38 |
| CePrO2 | 74.3 | 12.9 | 19.2 | 9.4 | 9.0 | 0.076 | 70.44 |
| Pr6O11 | 64.4 | 10.6 | 23.0 | 6.7 | 4.8 | 0.042 | 65.08 |
| Reaction | Target Product | Catalyst(s) | Reactor | Typical conditions | Performance vs. PG | Comments | Ref. |
|---|---|---|---|---|---|---|---|
| Hydrogenolysis | 1,2-Propanediol | (1) 15% Cu/HTC (2) 5% Cu-B/Al2O3 | (1) Batch (2) Cont. | (1) 200 °C, 3.4 MPa H2; CG (2) 250 °C; 6 Mpa H2, 0.1 h−1 WHSV; CG | (1) 13% drop in yield (2) 41% drop in yield | Drop attributed to impurities in crude glycerol | [80,81] |
| Hydrogenolysis | 1-Propanol | Reaction with 2 catalysts: (a) Ni/γ-Al2O3 (b) Ni/Cs-P | Batch | 2-Step Process: (i) 5 h at 220 °C over Cat (a) (ii) 2 h at 260 °C over Cat (b); CG | Comparable | N/A | [73] |
| 2 step process: (i) Hydrogenolysis (ii) Cracking | Propylene | Reaction with 2 catalysts: (a) MoO3-Ni2P/Al2O3 (b) ZSM-5 | Cont. | 300 °C, WHSV = 1.0 h−1; H2/glycerol = 100, CG | 48% drop in yield; can be reduced to an 18% drop with a more acidic ZSM-5 | Methanol in CG allows for competing pathway to aromatics and heavy olefins | [82] |
| Aerobic Oxidation | Lactic Acid | (1) 5% Pt/AC or 10% Pd/AC (2), AIPMo12O40 | Batch | (1) 2.2 MPa O2 *, 230 °C, NaOH, CG (2) 1 Mpa O2, 60 °C, SCG | (1) 15–30% drop in yield. (2) 10% drop in yield | (1) Attributed to impurities (salts and ashes) (2) ND | [83,84] |
| Dehydrocyclization | 2,6-Dimethylpyrazine | (1) CuCr2O4 (2) Zn-CuC2O4 | Cont. | 375 °C; Atmospheric Pressure; Propanediamine; (1) GHSV = 11.0 mL gcat−1 s−1; SCG; (2) 40.25 mL gcat−1 s−1; CG | (1) 34% drop in yield (2) 74% drop in yield | KOH and NaCl block surface active sites. | [85,86] |
| Reductive Amination | Alanine | Ru1Ni7/MgO | Batch | 220 °C; 1 MPa H2; NaOH; NH3H2O; CG | Comparable | Particle sintering occurred over successive runs | [87] |
| Etherification | Mono-, di- and tri-ethers | SO3-Functionalised Carbons | Batch | 120 °C, Atmospheric pressure; Glycerol: benzyl alcohol = 3: 1 | Glycerol conversion drops from 97% to 20%. Selectivity to unknowns much greater with CG | Attributed to impurities and moisture content in the CG | [88] |
| Dehydration-Oxidation | Acrylic Acid | Reaction with two catalysts: (a) 20% CsPW-Nb (b) VMo-SiC | Cont. | 300 °C; Atmospheric pressure; N2 (34 mL min–1); O2 (6 mL min–1); 20 wt.% glycerol solution at 0.6 mL h–1 (0.24 h–1 WHSV). | 18% drop in yield after TOS = 10 h; deactivation is more pronounced after TOS = 30 h. | Decrease attributed to deposition of alkali metal ions on dehydration catalyst and decreased total acid sites | [89] |
| Acetalization | Solketal | Zeolite-supported heteropoly acid (HR/Y-W20) | Batch | 40 °C, atmospheric pressure (air); acetone; SCG; | 11% drop in yield | NaCl inhibits the catalyst | [90] |
| Steam Reforming | H2/CO | Ni-MgO/AC | Cont. | 650 C; 30% aqueous CG fed at 2 mL h−1; atmospheric with Ar; CG | Not compared with PG | Deactivation is attributed to coking and sintering | [91] |
| (i) Dehydration (ii) Radical Fragmentation | * Methanol | CeO2 | Cont. | 340 °C; Atmospheric pressure of Ar (100 mL min−1); 50 wt.% aqueous glycerol feed (1 mL h−1); CG | 25% drop in methanol STY | Methanol STY decreases at glycerol wt.% increases. | [39] |
| (i) Deoxygenation; (ii) Aromatisation | BioBTX (Benzene/Toluene/Xylenes) | ZSM-5/Bentonite | Cont. | 550 °C; N2 (11 mL min−1), atmospheric pressure; CG | Not compared with PG | Reversible coke formation. Irreversible deactivation attributed to zeolite structure collapse, loss of acidity | [92] |
| (i) Deoxygenation; (ii) Aromatisation | BioBTX (Benzene/Toluene/Xylenes) | 0.1 Ba-1Zn.ZSM-5 | Cont. | 420 °C; N2 (100 mL min−1), atmospheric acid; Glycerol WHSV 2 h−1; Methanol; SCG | Not compared with PG | Drop in yield over time on stream attributed to the formation of oxygenates and coke | [93] |
Publisher’s Note: MDPI stays neutral with regard to jurisdictional claims in published maps and institutional affiliations. |
© 2022 by the authors. Licensee MDPI, Basel, Switzerland. This article is an open access article distributed under the terms and conditions of the Creative Commons Attribution (CC BY) license (https://creativecommons.org/licenses/by/4.0/).
Share and Cite
Smith, L.R.; Douthwaite, M.; Mugford, K.; Dummer, N.F.; Willock, D.J.; Hutchings, G.J.; Taylor, S.H. Recent Advances on the Valorization of Glycerol into Alcohols. Energies 2022, 15, 6250. https://doi.org/10.3390/en15176250
Smith LR, Douthwaite M, Mugford K, Dummer NF, Willock DJ, Hutchings GJ, Taylor SH. Recent Advances on the Valorization of Glycerol into Alcohols. Energies. 2022; 15(17):6250. https://doi.org/10.3390/en15176250
Chicago/Turabian StyleSmith, Louise R., Mark Douthwaite, Karl Mugford, Nicholas F. Dummer, David J. Willock, Graham J. Hutchings, and Stuart H. Taylor. 2022. "Recent Advances on the Valorization of Glycerol into Alcohols" Energies 15, no. 17: 6250. https://doi.org/10.3390/en15176250
APA StyleSmith, L. R., Douthwaite, M., Mugford, K., Dummer, N. F., Willock, D. J., Hutchings, G. J., & Taylor, S. H. (2022). Recent Advances on the Valorization of Glycerol into Alcohols. Energies, 15(17), 6250. https://doi.org/10.3390/en15176250

