Next Article in Journal
The Economic Viability of PV Power Plant Based on a Neural Network Model of Electricity Prices Forecast: A Case of a Developing Market
Previous Article in Journal
Data-Driven Condition Monitoring of a Hydraulic Press Using Supervised Learning and Neural Networks
Previous Article in Special Issue
The Role of Clean Generation Technologies in the Energy Transformation in Poland
 
 
Font Type:
Arial Georgia Verdana
Font Size:
Aa Aa Aa
Line Spacing:
Column Width:
Background:
Article

Energy Security, Sustainable Development and the Green Bond Market

by
Arkadiusz Orzechowski
* and
Małgorzata Bombol
Institute of Risk and Financial Markets, Warsaw School of Economics, al. Niepodległości 162, 02-554 Warsaw, Poland
*
Author to whom correspondence should be addressed.
Energies 2022, 15(17), 6218; https://doi.org/10.3390/en15176218
Submission received: 21 May 2022 / Revised: 20 August 2022 / Accepted: 23 August 2022 / Published: 26 August 2022

Abstract

:
Many countries are pursuing energy security (ES) in their economies while implementing sustainable development goals (SDGs). Relevant policies may include: (1) access to efficient alternative and preferably renewable energy sources (RESs); and (2) reductions in conventionally obtained energy consumption. As the demand for energy is growing and alternative energy resources are expensive, new ways of financing projects to improve ES are of special interest, e.g., issuing green bonds. In such cases, the obtained funds are allocated to projects that can both improve ES and help to achieve SDGs. The aim of the study was to explore the dependences (in the sense of Granger causality) between the green bond (GB) market, different aspects of sustainable development, as measured by global indicators taken from a family of environmental NASDAQ OMX indices, and ES represented by crude oil prices. The methodology is based on the vector autoregression model. The findings reveal evidence of a short-term dependence between the GB market, ES and the multidimensional nature of sustainable development.

1. Introduction

In recent years, due to global warming, the world has changed in many respects, including the natural environment, social processes, territorial development and business strategies. This change was accompanied by political, sociological, technological and economical challenges that affected countries, societies and individuals. All the challenges that appeared as a result of climate change, to a greater or lesser extent, are related to energy issues. As energy use can alleviate or aggravate the observed challenges, its role has become a focal point in almost every debate on sustainable development.
At a macro level, energy issues are often identified with ES. Historically, this term referred to an abstract concept or a general idea rather than a certain policy [1]. Over time, however, a widely accepted definition has been developed. It states that ES is the “continuous availability of energy in varied forms, in sufficient quantities and at affordable prices” [2]. In the same vein, Speight [3] claims that “energy security is the continuous and uninterrupted availability of energy, to a specific country or region”. According to Miller [4], ES has two aspects: (1) long-term security, which is associated with resource availability; and (2) short-term security, which refers to the system reliability that allows for the continuous supply of energy to meet consumer needs at any given time.
Regardless of the definition of ES, it should be noted that many countries pursue ES while implementing SDGs. Particular attention is paid to ensuring efficient alternative and preferably RESs and reducing conventionally obtained energy consumption. As the demand for energy is growing and alternative energy resources are expensive, new ways of financing projects to improve ES are being developed, e.g., issuing GBs.
In the literature that is available at present, many authors try to describe economic processes by referring to dependencies between macroeconomic variables, energy consumption, carbon dioxide emission and selected aspects of sustainable development. For instance, Acheampong [5] proves that economic growth does not cause energy consumption, but has a negative impact on carbon emissions at the global level. At the same time, economic growth is positively impacted by carbon emissions and negatively impacted by energy consumption at the global level. Additionally, energy consumption has different effects on carbon emissions depending on the economies that are considered. Finally, carbon emissions, in general, do not cause energy consumption. On the other hand, Mealy and Teytelboym [6] indicate that higher ranked countries (in terms of their ability to competitively export complex green products) are more likely to have lower carbon dioxide emissions. Moreover, early success in gaining green production capabilities better enables countries to develop more green production capabilities in the future. Furthermore, Topcu et al. [7] found that, in high-income countries, gross capital formation, urbanization and energy consumption have a positive impact on economic growth, whereas the coefficient of natural resources is positive but statistically insignificant. In middle-income countries, an increase in natural resources, energy consumption and urbanization leads to GDP growth. Natural resources and energy consumption positively affect GDP, while capital formation has a negative impact in low-income countries. Similar results were also presented in other studies (see, for instance, [8,9,10,11,12]).
Regarding the dependencies between energy and financial markets (including the GB market), as well as selected aspects of sustainable development, we can refer, for instance, to Glomsrød and Wei [13], who showed that green finance reduces coal consumption, raises the share of non-fossil electricity and avoids global carbon dioxide emissions. Furthermore, Kanamura [14] confirmed the positive relationship between energy and environmental value, and suggested that the greenness is incorporated in the Bloomberg Barclays MSCI and the S&P GB indices. Tang and Zhang [15] looked at the same problem from a different perspective. They showed that stock prices positively respond to GB issuances. They also suggested that the positive response of stock returns to GB announcements does not result from the lower cost of debt. Unlike previous authors, Reboredo et al. [16] dealt with the problem of dependencies between different classes of bonds. The obtained results revealed a strong connectedness between green, treasury and corporate bonds in the short- and long-term in both the EU and the USA. Additionally, they noticed that GBs were strongly influenced by treasury and corporate bond prices and were weakly connected with high-yield corporate bonds, stocks and energy assets. A more holistic approach was proposed by Ferrer et al. [17], who proved the existence of the short-term dependence between the global GB market and the conventional financial and energy markets. Despite the fact that a strong connectedness in return and volatility was found between GBs, treasury and investment-grade corporate bonds, it was confirmed that green fixed-income securities are not a different class of assets. Extending the above studies, Saeed et al. [18] determined return connectedness across clean energy stocks, GBs, crude oil and energy ETF and showed that return connectedness measures vary with time. Moreover, Broadstock and Cheng [19] determined a connection between green and black bonds; however, they argued that this is sensitive to several factors, i.e., changes in financial market volatility, economic policy uncertainty, daily economic activity, oil prices and uniquely constructed measures of positive and negative news-based sentiment towards GBs. Pham [20] found that a shock in the conventional bond market tends to spill over into the GB market, but the spillover effect varies over time. A similar variability was also noted by Le et al. [21], who suggested that, first, the total connectedness of 21st century technology assets and traditional common stocks is very high, and Bitcoin, MSCIW, MSCI US and KFTX are net contributors of volatility shocks, whereas USD, oil, gold, VIX, GB and GB select are net receivers. On the other hand, Liu et al. [22] showed a positive dependence between the GB and clean energy stock markets, which proved the existence of the spillover effect. Furthermore, Jin et al. [23] confirmed the connectedness between GB Index returns and carbon futures returns, and claimed that the dependence is most evident during the market’s volatile period. It should be noted that similar dependencies were also presented in [24,25,26,27,28]. Additionally, analysis of the relationships between returns of more sophisticated asset classes and GBs can be found in [29,30,31,32,33].
The aim of this article is to examine the dependences (in the sense of Granger causality) between the GB market, different aspects of sustainable development, as measured by selected environmental indices, and ES, as represented by crude oil prices. As some of the relationships have already been investigated (see Ferrer et al. [24]), we focus on the asset classes that have not previously been analyzed as a system. For this reason, we selected the following: the S&P GB Index, which measures the market value of globally issued green-labeled bonds, spot prices of Europe Brent FOB, and three indicators taken from the NASDAQ OMX family of indices. The novelty of the research lies in the choice of a unique set of measures, which are then used to identify the relationships between the GB market, previously unexplored environmental aspects of sustainable development, and ES. We believe that conclusions regarding causal relationships might be useful for both market practitioners and policymakers in the GB, sustainable development and ES fields.
For market practitioners, information about co–movements between returns on different types of assets is important for two reasons. First, it allows single investment performance forecasts to be improved. Second, insight into links between the returns of financial instruments can be helpful in achieving the desired risk–return profile on a portfolio level. For policymakers, knowing the dependencies between the GB market, selected aspects of sustainability and ES plays a key role in achieving SDGs and harmonizing different segments of financial and commodity markets. For these reasons, it is crucial for them to know how green debt instruments, stocks issued by companies with environmentally and socially conscious business practices, and the world’s biggest commodity market, i.e., the oil market, are related.
This paper is divided as follows: Section 2 contains the characterization of empirical data, model formulation and a description of the applied methodology, Section 3 presents the results produced by the applied model, and Section 4 includes a short discussion on the obtained results and provides prospects for further research.

2. Data and Methodology

2.1. Data

The data used in the study include closing levels of S&P GB Index (SPUSGRN) and a set of three NASDAQ OMX indices designed to track the performance of companies across the spectrum of industries closely associated with the economic model of sustainable development. The time series of the indices are accompanied by the corresponding closing spot prices of crude oil Europe Brent FOB (BFO). The data, with monthly observations covering the period between January 2014 and March 2022, were obtained from Thomson Reuters Datastream and the web page of the U.S. Energy Information Administration.
As the dependence between selected NASDAQ OMX indices (some other commodities) and the SPUSGRN were already analyzed, for example, by Ferrer at al. [24], in this study we focused only on those indices from the NASDAQ OMX family that were not previously the subject of study. Particular attention was paid to the indices and commodity presented and described in Table 1.
The collected data were converted to log values and grouped such that the log values of both SPUSGRN and BFO are always elements of each dataset. The time series of the indices and the BFO prices are used as input data for the model described in the next subsection of this paper.
The descriptive statistics for the log returns of the analyzed variables (denoted with prefix d.ln.) are summarized in Table 2.
From Table 2, it can easily be concluded that d.ln.BFO had the lowest mean value and the highest value of standard deviation. Furthermore, since high kurtosis is observed for all log returns, their time series have leptokurtic distributions with thick tails. Finally, on the basis of the Jarque–Bera (JB) test, we can reject the null hypothesis of normal distribution:
  • At 1% level for time series d.ln.SPUSGRN, d.ln.BFO and d.ln.GRNNR;
  • At 5% level for time series d.ln.GRNEUROPE;
  • At 10% level for time series d.ln.GRNREG.

2.2. Methodology

The study adopts the general procedure of the vector autoregression VAR(p) Granger causality model originally proposed by Sims [34] and further developed by Granger [35]. The model was constructed to discover relationships between different economic variables. The VAR(p) model has been applied to an analysis of the dependences between the GB market and other segments of the financial and commodity markets using many indices, assets and commodities (see Ferrer et al. [24]). For the purpose of our study, only the variables presented in Table 1 are of interest.
In the basic form of the VAR(p) Granger causality model, all variables are treated as a priori jointly endogenous, conditional on their history. This means that any endogenous variable included in the model x i , t depends not only on the lagged values of all endogenous variables included in the model and lagged values of its own random disturbance term, but also on the lagged values of all the other elements of ε t [36]. It is worth noting that this property holds even if the elements of the vector of residuals are uncorrelated.
For the purpose of the research, the following model was investigated in its general form:
x t = b 0 + b 1 x t 1 + b 2 x t 2 + + b p x t p + ε t
where x t = ( x 1 , t , , x n , t ) is a vector of endogenous variables from Table 2, b 0 is an ( n × 1 ) vector of parameters, b 1 through b p are ( n × n ) matrices of coefficients corresponding to vectors of x t 1 through x t p , x t p is an ( n × 1 ) vector of regressors with p lags, and ε t denotes an ( n × 1 ) unobservable zero mean white noise vector of disturbances (serially uncorrelated and independent) with a time-invariant covariance matrix . In mathematical terms, this means that the following conditions are satisfied: E ( ε t ) = 0 , E ( ε t , ε t ) = , and E ( ε t , ε p ) = 0   t p .
From Equation (1), it can easily be concluded that every variable is determined by the same vector of lagged values of endogenous variables x t . As a consequence, the VAR(p) model can be treated as a seemingly unrelated regression model with vectors of deterministic terms and lagged values of endogenous variables x t as common regressors.
As previously noted, data are grouped such that the values of both SPUSGRN and BFO are always elements of each dataset. As a consequence, fitting the model to the data resulted in a reduction in the number of rows in vectors and matrices in Equation (1) to the value of three, i.e., n = 3 . The proposed approach allows for three models to be built, which were later labeled as models 1, 2 and 3.
It should be noted that the proposed approach has several limitations. Firstly, the VAR(p) model is based on the assumption that the time series are stationary. If this requirement is not met, e.g., the time series are non-stationary but cointegrated, an error correction mechanism should be included, and an alternative estimation method for the least squares should be used. Secondly, the VAR(p) model is atheoretical, which means that there is no economic theory determining the structure of the equations in the model. Thirdly, the standard VAR(p) model misses nonlinearities, conditional heteroscedasticity and breaks in parameters.
To explore the dependence between the GB market, different aspects of sustainable development and ES, we propose a procedure consisting of seven steps:
  • Performing augmented Dickey–Fuller (ADF), Phillips–Perron (PP) and Kwiatkowski–Phillips–Schmidt–Shin (KPSS) tests to check the stationarity of the analyzed time series.
  • Specifying the optimal lag length via multiple criteria.
  • Checking the time series for the existence of cointegration and the ARCH effect.
  • Investigating Granger causality.
  • Investigating the stability and autocorrelation of the residuals.
  • Plotting and interpretation of the impulse–response functions (IRFs).
  • Conducting forecast–error variance decomposition (FEVD).
The conceptual framework of the applied methodology is illustrated in Figure 1. It is worth noting that, in the study, we followed the path denoted by the arrows between grey-shaded blocks.
In our research, several assumptions of a qualitative nature were introduced. Firstly, we assumed that the S&P GB Index, which is composed of globally issued bonds labeled “green”, fully reflects the GB market condition (see, for instance, [20,21]). Secondly, we assumed that different aspects of sustainable development are represented by a family of environmental NASDAQ OMX indices (see, for instance, [37]). Thirdly, we assumed that changes in the spot prices of crude oil influence the profitability of its extraction, and, hence, its availability and ES (see, for instance, [38]).

3. Results

Following the procedure proposed in the previous subsection of the paper, we firstly examined the stationarity of the times series. The assessment of stationarity plays a key role in the proposed methodology because, in the VAR(p) model, all variables should be integrated of order one, i.e., I(1) (an effective and correct VAR(p) model giving meaningful forecasts can be built only if time series are stationary). In this respect, ADF, PP and KPSS tests were performed. Although the first two tests are most commonly used to determine if the variable has a unit root [39,40], they both suffer from a lack of robustness in small data samples (see, for instance, [41]). As only 99 observations were included in our study, stationarity assessments should be performed on the basis of a KPSS test [42]. The obtained results are presented in Table 3.
From Table 3, all variables included in the model are not stationary at level, but they are stationary at first difference, based on a 1% level of significance. This means that the order of integration of all time series is one, i.e., I(1). It should be noted that this property holds regardless of which unit root test is performed.
Having established the stationarity, we proceeded to specify the lag length using four different criteria, i.e., the Final Prediction Error (FPE), Akaike Information Criterion (AIC), Hannan–Quinn Information Criterion (HQIC) and Schwartz Bayesian Information Criterion (SBIC). The results are exhibited in Table 4.
As in small samples, FPE and AIC have better properties than HQIC, and SBIC models based on FPE and AIC produce superior forecasts [43]. For this reason, in our further research, only AIC and FPE were used for lag length selection. Since the results of the models’ estimations are of limited use from the perspective of our research, they are not presented in the paper.
According to the proposed procedure, before determining causality in a Granger sense, the existence of the long-term relationships between variables is checked. For this purpose, we performed the Johansen test, which is based on the maximum likelihood method and gives two statistics: trace and maximum statistics. As the cointegration analysis uses the case of non-stationary variables, input data are in the form of log values instead of their first differences. The obtained results are shown in Table 5.
From Table 5, at maximum rank 0, neither trace statistics nor maximum statistics exceed the corresponding critical value. Therefore, the null hypothesis of no cointegration between included variables cannot be rejected. This suggests that there are no cointegrating relationships between ln.SPUSGRN, ln.BFO and any variable from the following set: ln.GRNREG, ln.GRNNR and ln.GRNEUROPE. As a consequence, no long-term relationships exist between these variables.
It should be noted that if the time series are cointegrated and integrated of order one, the vector error correction model (VECM) should be applied. If the order of integration of the time series is mixed, i.e., I(0) or I(1), the autoregressive distributed lag model (ARDLM) is justified. In our case, none of the abovementioned properties were observed in the datasets; therefore, the VAR(p) model was considered.
To additionally justify the use of the VAR(p) model, we performed an LM test for the presence of the ARCH effect in the time series of log returns. The results are presented in Table 6.
In Table 6, none of the values in the last column had a p-value lower than 0.05, which indicates that the null hypothesis of no ARCH effect cannot be rejected. This suggests that the ARCH effect has not been identified in the considered data series.
Having performed LM tests for the presence of the ARCH effect, we proceeded to perform a Granger causality test. It is worth noting that the Granger cause of one variable by another means that using the second variable for the prediction of the first reduces its variance. Therefore, the Granger causality test helps to determine whether one variable is useful in forecasting another. The results of the Granger tests for models 1, 2 and 3, constructed on the basis of Equation (1), are presented in Table 7.
From Table 7, we can draw three conclusions. Firstly, we can note that d.ln.SPUSGRN is Granger caused by the lagged values of:
  • d.ln.BFO and d.ln.GRNREG in the first model;
  • d.ln.GRNNR in the second model;
  • d.ln.BFO and d.ln.GRNEUROPE in the third model.
Secondly, d.ln.BFO is Granger caused by the lagged values of d.ln.GRNREG, d.ln.GRNNR and d.ln.GRNEUROPE in models 1, 2 and 3, respectively. Thirdly, d.ln.GRNREG, d.ln.SPUSGRN and d.ln.GRNEUROPE are not Granger caused by the lagged values of any of the variables included in the analyzed models. It is worth noting that all these causalities are unidirectional.
Next, during the post-estimation procedure, we performed tests for autocorrelation of the residuals and stability of the model. The results are presented in Table 8 and Figure 2.
From Table 8, we cannot reject the null hypothesis that there is no autocorrelation in the residuals for any of the five tested orders. This suggests that the models are not misspecified. As exhibited in Figure 2, for all three models, the eigenvalues are inside the unit circle. This means that the coefficients are reliable and all models are stable.
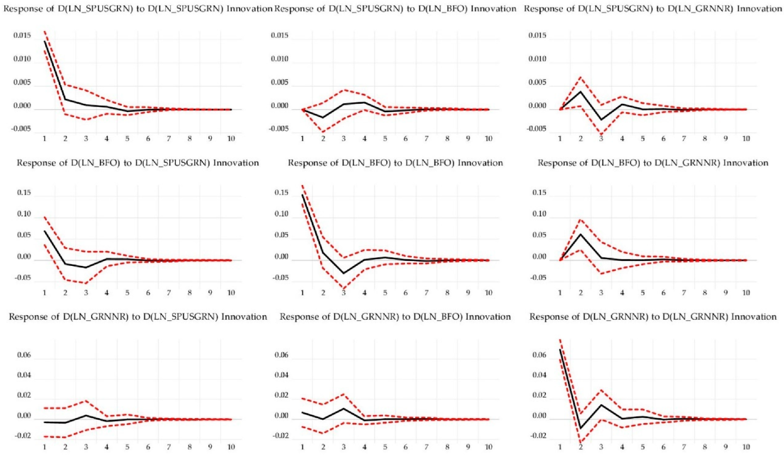
Finally, IRFs are plotted and FEVD is conducted. It should be noted that every IRF is established to identify the effect of a shock in an endogenous variable to the whole system of equations in the VAR(p) model. Since the cross-equation correlation coefficients for residuals are different than zero (see Appendix A), further analysis is based on the orthogonalized IRFs (see Appendix B). This can trace the impact of a shock to each endogenous variable within the equation systems corresponding to models 1, 2 and 3. In all figures in Appendix B, the dashed lines indicate two standard deviation bands and the solid line represents the impulse response of the endogenous variable to the shock.
The results show that:
  • In all models, the effects of one-standard-deviation shocks to d.ln.SPUSGRN d.ln.GRNREG, d.ln.GRNNR and d.ln.GRNEUROPE on the future log returns of the corresponding indices die out almost completely after 2–3 months. A one-standard-deviation shock to d.ln.BFO first reduces and then increases the log returns of the Europe Brent FOB;
  • In all models, the impact of a shock to d.ln.BFO on future values of d.ln.SPUSGRN is insignificant. This property does not hold for the effect of a shock to d.ln.SPUSGRN on future values of d.ln.BFO;
  • d.ln.SPUSGRN responds positively in the second lag to a shock to d.ln.GRNREG, d.ln.SPUSGRN and d.ln.GRNEUROPE in models 1, 2 and 3, respectively. From the third lag, the effects rapidly decay to zero;
  • d.ln.BFO responds in the same manner as d.ln.SPUSGRN to a shock to d.ln.GRNREG, d.ln.SPUSGRN and d.ln.GRNEUROPE in models 1, 2 and 3, respectively. From the fourth lag, the effects quickly vanish;
  • The effect of a shock to d.ln.SPUSGRN on future values of d.ln.GRNREG, d.ln.SPUSGRN and d.ln.GRNEUROPE is moderate, i.e., d.ln.GRNREG, d.ln.SPUSGRN and d.ln.GRNEUROPE fall slowly, before slightly rising and falling again;
  • The effect of a shock to d.ln.BFO on future values of d.ln.GRNREG, d.ln.SPUSGRN and d.ln.GRNEUROPE is also moderate; however, d.ln.GRNREG, d.ln.SPUSGRN and d.ln.GRNEUROPE do not follow the same pattern of changes.
While IRFs trace the effect of a shock to an endogenous variable on the whole system of equations in the VAR(p) model, variance decomposition is conducted to separate the variation in an endogenous variable into the component shocks to the model. The results of the variance decomposition are shown in Appendix C.
From Figure A4, Figure A5 and Figure A6, it can be seen that:
  • In model 1, d.ln.BFO and d.ln.GRNREG’s contribution to d.ln.SPUSGRN increases with the increase in the period, reaching 6.11% and 34.18%, respectively, in the 10th period. The contribution of d.ln.SPUSGRN and d.ln.GRNREG to d.ln.BFO increases with the increase in the period, reaching 6.98% and 15.12%, respectively, in the 10th period. The contribution rates of d.ln.SPUSGRN and d.ln.BFO to d.ln.GRNREG quickly stabilize and do not exceed 5% in the 10th period;
  • In model 2, the contribution of d.ln.BFO and d.ln.GRNNR to d.ln.SPUSGRN increases with the increase in the period, reaching 2.69% and 8.25%, respectively, in the 10th period. The contribution of d.ln.SPUSGRN and d.ln.GRNNR to d.ln.BFO is relatively stable from the second period and reaches 14.99% and 11.19%, respectively, in the 10th period. The contribution rates of d.ln.SPUSGRN and d.ln.BFO to d.ln.GRNNR do not exceed 1% and 4%, respectively, in the 10th period;
  • In model 3, the contribution of d.ln.BFO and d.ln.GRNEUROPE to d.ln.SPUSGRN stabilizes quickly and reaches 4.98% and 35.43%, respectively, in the 10th period. The contribution of d.ln.SPUSGRN and d.ln.GRNEUROPE to d.ln.BFO does not significantly change from the fourth period and reaches 3.34% and 27.80%, respectively, in the 10th period. The contribution rates of d.ln.SPUSGRN and d.ln.BFO to d.ln.GRNEUROPE do not exceed 3.35% and 1.62%, respectively, in the 10th period.

4. Summary and Discussion

The obtained results can be used to draw conclusions on the existence of Granger causality between the GB market, ES and the multidimensional nature of sustainable development. Despite the fact that the issues discussed in the paper were separately analyzed by many authors (see, for instance, [44,45]), not many of them used a holistic approach to investigating the interrelationships between the GB market, selected aspects of sustainable development and ES.
Our empirical results clearly suggest that there exists a short-term dependence between the S&P GB Index, which measures the market value of globally issued green-labeled bonds, three indicators taken from the NASDAQ OMX family of indices, and spot prices of Europe Brent FOB. However, the links between the GB market, different aspects of sustainable development, as measured by selected environmental indices, and ES, as represented by crude oil prices, depend on which assets are analyzed as a system.
In model 1, we analyzed the links between the performance of the globally issued, green-labeled bonds, market value of shares of companies that produce energy through renewable sources and the spot prices of the Europe Brent BFO. The empirical evidence obtained from this part of the study confirms that the shares of the companies that produce energy through renewable sources Granger cause both the spot prices of the Europe Brent BFO and the quotes of the S&P GB Index. Furthermore, the spot prices of the Europe Brent BFO respond more pronouncedly to a shock to the share prices of the clean energy companies than the index of green bonds. The impact of crude oil spot prices on the index of green debt instruments is less evident. It is also worth noting that the effects of shocks are not persistent, reflecting the short-term dependence between the considered variables.
In model 2, we investigated the dependencies between the performance of the S&P GB Index, market value of shares of companies participating in agriculture, forestry and other natural product industries using sustainable methods, and the spot prices of the Europe Brent BFO. The obtained results provide evidence that the shares of companies participating in agriculture, forestry and other natural product industries using sustainable methods Granger cause both the spot prices of the Europe Brent BFO and the quotes of the S&P GB Index. As previously, the spot prices of the Europe Brent BFO are more severely impacted by a shock to shares’ prices than the S&P GB Index. Both spillover effects are limited to about 3–4 periods, showing their short-term nature.
In model 3, we analyzed the relationships between the performance of the S&P GB Index, market value of shares of companies across the spectrum of industries that are closely associated with the economic model of sustainable development through every economic sector, and the spot prices of the Europe Brent BFO. The conclusions drawn on the basis of empirical data are almost identical to those in model 1.
The links between variables included in models 1, 2 and 3 are in line with other studies (see, for instance, [24,46]). However, they partially contradict the results presented, for example, in [47,48,49]. In [47], Kumar et al. showed that oil prices and technology stock prices separately affect stock prices of clean energy firms. In [48], Troster and Shahbaz found no Granger causality between variations in oil prices and economic activity, while in [49], Dominioni et al. claimed that oil was in a predator–prey relationship with wind energy stock prices for the entire period considered, and had a mutualistic relationship with solar energy stock prices after 2012.
It is worth noting that the contradiction of our results with other findings (see, for instance, [47,48,49]) may result from the fact that small VAR(p) models consisting of three equations are often unstable, and thus may poorly predict the future values of the included variables. This problem could be partially solved by adding extra variables to the model. In such a case, however, the number of coefficients that need to be estimated increases. Furthermore, adding extra variables may require changing the applied methodology, e.g., as a consequence of nonstationarities in added data series (see, for instance, [50]).
Indices of shares are good candidates for inclusion in the proposed VAR(p) model. Alternatively, as GBs are debt instruments, we may consider including bond indices as additional variables. Finally, we could focus on the indicators measuring uncertainty in financial markets and the global economy. Such approaches were proposed, for example, by [20,51], and referred to the EPU and the VIX indices, respectively. The VAR(p) model could also be extended by the MOVE index, which is dedicated to the bond market. The addition of any other variable to the model should be preceded, however, by further research.

Author Contributions

Conceptualization, M.B.; Formal analysis, A.O.; Funding acquisition, M.B.; Investigation, A.O.; Methodology, A.O.; Project administration, M.B.; Resources, A.O.; Software, A.O.; Validation, A.O. All authors have read and agreed to the published version of the manuscript.

Funding

This research received no external funding.

Conflicts of Interest

The authors declare no conflict of interest.

Abbreviations

The following abbreviations are used in this manuscript:
ESEnergy Security
SDGsSustainable Development Goals
GBGreen Bond
RESsRenewable Energy Sources
SPUSGRNS&P Green Bond Index
BFOEurope Brent FOB
GRNREGIndex designed to track companies that produce energy through RESs
GRNNRIndex designed to track companies participating in agriculture, forestry and other natural product industries using sustainable methods
GRNEUROPEIndex designed to track the performance of companies across the spectrum of industries most closely associated with the economic model around sustainable development through every economic sector
JBJarque–Bera
ADFAugmented Dickey–Fuller
PPPhillips–Perron
KPSSKwiatkowski–Phillips–Schmidt–Shin
FPEFinal Prediction Error
AICAkaike Information Criterion
SBICSchwartz Bayesian Information Criterion
HQICHannan–Quinn Information Criterion
VAR(p)Vector AutoRegression model with p lags
VECMVector Error Correction Model
ARDLMAutoRegressive Distributed Lag Model
IRFImpulse–Response Function
FEVDForecast–Error Variance Decomposition

Appendix A

Table A1. Cross-equation correlation coefficients for residuals in models 1, 2 and 3.
Table A1. Cross-equation correlation coefficients for residuals in models 1, 2 and 3.
Model 1
Variabled.ln.SPUSGRNd.ln.BFOd.ln.GRNREG
d.ln.SPUSGRN10.280.14
d.ln.BFO 10.04
d.ln.GRNREG 1
Model 2
Variabled.ln.SPUSGRNd.ln.BFOd.ln.GRNNR
d.ln.SPUSGRN10.41−0.04
d.ln.BFO 10.07
d.ln.GRNNR 1
Model 3
Variabled.ln.SPUSGRNd.ln.BFOd.ln.GRNEUROPE
d.ln.SPUSGRN10.180.16
d.ln.BFO 10.03
d.ln.GRNEUROPE 1

Appendix B

Figure A1. Response to Cholesky one std. dev. Innovations ±2 analytic asymptotic std. errors in model 1.
Figure A1. Response to Cholesky one std. dev. Innovations ±2 analytic asymptotic std. errors in model 1.
Energies 15 06218 g0a1
Figure A2. Response to Cholesky one std. dev. Innovations ±2 analytic asymptotic std. errors in model 2.
Figure A2. Response to Cholesky one std. dev. Innovations ±2 analytic asymptotic std. errors in model 2.
Energies 15 06218 g0a2
Figure A3. Response to Cholesky one std. dev. Innovations ±2 analytic asymptotic std. errors in model 3.
Figure A3. Response to Cholesky one std. dev. Innovations ±2 analytic asymptotic std. errors in model 3.
Energies 15 06218 g0a3

Appendix C

Figure A4. Variance decompositions in model 1 using Cholesky factors.
Figure A4. Variance decompositions in model 1 using Cholesky factors.
Energies 15 06218 g0a4
Figure A5. Variance decompositions in model 2 using Cholesky factors.
Figure A5. Variance decompositions in model 2 using Cholesky factors.
Energies 15 06218 g0a5
Figure A6. Variance decompositions in model 3 using Cholesky factors.
Figure A6. Variance decompositions in model 3 using Cholesky factors.
Energies 15 06218 g0a6

References

  1. Chester, L. Conceptualising energy security and making explicit its polysemic nature. Energy Policy 2010, 38, 887–895. [Google Scholar] [CrossRef]
  2. Khatib, H. World Energy Assessment: Energy and the Challenge of Sustainability; UNDP: New York, NY, USA, 2000; pp. 1–508. [Google Scholar]
  3. Speight, J. Shale Oil and Gas Production Processes; CD & W Inc.: Laramie, WY, USA, 2020; pp. 1–1031. [Google Scholar]
  4. Miller, B.G. Clean Coal Engineering Technology; Butterworth-Heinemann: Burlington, MA, USA, 2011; pp. 1–681. [Google Scholar]
  5. Acheampong, A.O. Economic growth, CO2 emissions and energy consumption: What causes what and where? Energy Econ. 2018, 74, 677–692. [Google Scholar] [CrossRef]
  6. Mealy, P.; Teytelboym, A. Economic complexity and the green economy. Res. Policy 2020, in press. [Google Scholar] [CrossRef]
  7. Topcu, E.; Altinoz, B.; Aslan, A. Global evidence from the link between economic growth, natural resources, energy consumption, and gross capital formation. Resour. Policy 2020, 66, 101622. [Google Scholar] [CrossRef]
  8. Lee, J.W. Long-run dynamics of renewable energy consumption on carbon emissions and economic growth in the European Union. Int. J. Sustain. Dev. World Ecol. 2019, 26, 69–78. [Google Scholar] [CrossRef]
  9. Jebli, M.B.; Farhani, S.; Guesmi, K. Renewable energy, CO2 emissions and value added: Empirical evidence from countries with different income levels. Struct. Chang. Econ. Dyn. 2020, 53, 402–410. [Google Scholar] [CrossRef]
  10. Simionescu, M.; Strielkowski, W.; Tvaronavičiene, M. Renewable energy in final energy consumption and income in the EU-28 countries. Energies 2020, 13, 2280. [Google Scholar] [CrossRef]
  11. Apergis, N.; Payne, J.E. Renewable energy consumption and economic growth: Evidence from a panel of OECD countries. Energy Policy 2010, 38, 656–660. [Google Scholar] [CrossRef]
  12. Malka, L.; Daci, A.; Kuriqi, A.; Bartocci, P.; Rrapaj, E. Energy Storage Benefits Assessment Using Multiple-Choice Criteria: The Case of Drini River Cascade, Albania. Energies 2022, 15, 4032. [Google Scholar] [CrossRef]
  13. Glomsrød, S.; Wei, T. Business as unusual: The implications of fossil divestment and green bonds for financial flows, economic growth and energy market. Energy Sustain. Dev. 2018, 44, 1–10. [Google Scholar] [CrossRef]
  14. Kanamura, T. Are green bonds environmentally friendly and good performing assets? Energy Econ. 2020, 88, 104767. [Google Scholar] [CrossRef]
  15. Tang, D.Y.; Zhang, Y. Do shareholders benefit from green bonds? J. Corp. Finance 2020, 61, 101–427. [Google Scholar] [CrossRef]
  16. Reboredo, J.C.; Ugolini, A.; Aiube, F.A.L. Network connectedness of green bonds and asset classes. Energy Econ. 2020, 86, 104629. [Google Scholar] [CrossRef]
  17. Ferrer, R.; Shahzad, S.J.H.; Soriano, P. Are green bonds a different asset class? Evidence from time-frequency connectedness analysis. J. Clean. Prod. 2021, 292, 125988. [Google Scholar] [CrossRef]
  18. Saeed, T.; Bouri, E.; Alsulami, H. Extreme return connectedness and its determinants between clean/green and dirty energy investments. Energy Econ. 2021, 96, 105017. [Google Scholar] [CrossRef]
  19. Broadstock, D.C.; Cheng, L.T. Time-varying relation between black and green bond price benchmarks: Macroeconomic determinants for the first decade. Finance Res. Lett. 2019, 29, 17–22. [Google Scholar] [CrossRef]
  20. Pham, L. Is it risky to go green? A volatility analysis of the green bond market. J. Sustain. Finance Invest. 2016, 6, 263–291. [Google Scholar] [CrossRef]
  21. Le, T.L.; Abakah, E.J.A.; Tiwari, A.K. Time and frequency domain connectedness and spill-over among fintech, green bonds and cryptocurrencies in the age of the fourth industrial revolution. Technol. Forecast. Soc. Chang. 2021, 162, 120382. [Google Scholar] [CrossRef]
  22. Liu, N.; Liu, C.; Da, B.; Zhang, T.; Guan, F. Dependence and risk spillovers between green bonds and clean energy markets. J. Clean. Prod. 2020, 279, 123595. [Google Scholar] [CrossRef]
  23. Jin, J.; Han, L.; Wu, L.; Zeng, H. The hedging effect of green bonds on carbon market risk. Int. Rev. Financ. Anal. 2020, 71, 101509. [Google Scholar] [CrossRef]
  24. Ferrer, R.; Benítez, R.; Bolós, V.J. Interdependence between Green Financial Instruments and Major Conventional Assets: A Wavelet-Based Network Analysis. Mathematics 2021, 9, 900. [Google Scholar] [CrossRef]
  25. Hung, N.T. Green Bonds and Asset Classes: New Evidence from Time-varying Copula and Transfer Entropy Models. Glob. Bus. Rev. 2021, 1–20. [Google Scholar] [CrossRef]
  26. Yan, L.; Wang, H.; Athari, S.A.; Atif, F. Driving green bond market through energy prices, gold prices and green energy stocks: Evidence from a non-linear approach. Econ. Res. -Ekon. Istraživanja 2022, 1–21. [Google Scholar] [CrossRef]
  27. Nguyen, T.T.H.; Naeem, M.A.; Balli, F.; Balli, H.O.; Vo, X.V. Time-frequency comovement among green bonds, stocks, commodities, clean energy, and conventional bonds. Finance Res. Lett. 2021, 40, 101739. [Google Scholar] [CrossRef]
  28. Park, D.; Park, J.; Ryu, D. Volatility Spillovers between Equity and Green Bond Markets. Sustainability 2020, 12, 3722. [Google Scholar] [CrossRef]
  29. Hammoudeh, S.; Ajmi, A.N.; Mokni, K. Relationship between green bonds and financial and environmental variables: A novel time-varying causality. Energy Econ. 2020, 92, 104941. [Google Scholar] [CrossRef]
  30. Naeem, M.A.; Karium, S. Tail dependence between bitcoin and green financial assets. Econ. Lett. 2021, 208, 110068. [Google Scholar] [CrossRef]
  31. Naeem, M.A.; Mbarki, I.; Alharthi, M.; Omri, A.; Shahzad, S.J.H. Did COVID-19 Impact the Connectedness Between Green Bonds and Other Financial Markets? Evidence From Time-Frequency Domain with Portfolio Implications. Front. Environ. Sci. 2021, 9, 180. [Google Scholar] [CrossRef]
  32. Wen, F.; Tong, X.; Ren, X. Gold or Bitcoin, which is the safe haven during the COVID-19 pandemic? Int. Rev. Financ. Anal. 2022, 81, 102121. [Google Scholar] [CrossRef]
  33. Ren, X.; Li, Y.; Yan, C.; Wen, F.; Lu, Z. The interrelationship between the carbon market and the green bonds market: Evidence from wavelet quantile-on-quantile method. Technol. Forecast. Soc. Change 2022, 179, 121611. [Google Scholar] [CrossRef]
  34. Sims, C.A. Macroeconomics and reality. Econometrica 1980, 48, 1–48. [Google Scholar] [CrossRef]
  35. Granger, C.W.J. Forecasting in Business and Economics; Academic Press: New York, NY, USA, 1980. [Google Scholar]
  36. Becketti, S. Introduction to Time Series Using Stata; Stata Press: College Station, TX, USA, 2013. [Google Scholar]
  37. Hammoudeh, S.; Mokni, K.; Ben-Salha, O.; Ajmi, A.N. Distributional predictability between oil prices and renewable energy stocks: Is there a role for the COVID-19 pandemic? Energy Econ. 2021, in press. [Google Scholar] [CrossRef]
  38. Azzuni, A. Energy Security Evaluation for the Present and the Future on a Global Level. Available online: https://lutpub.lut.fi/bitstream/handle/10024/161668/Abdelrahman%20Azzuni%20A4.pdf?sequence=1 (accessed on 10 May 2022).
  39. Dickey, D.A.; Fuller, W.A. Distribution of the estimators for autoregressive time series with a unit root. J. Am. Stat. Assoc. 1979, 75, 427–431. [Google Scholar]
  40. Phillips, P.C.B.; Perron, P. Testing for a unit root in time series regressions. Biometrica 1988, 75, 335–346. [Google Scholar] [CrossRef]
  41. Guthery, F.S. A Premier on Natural Resource Science; Texas A&M University Press: College Station, TX, USA, 2008; pp. 1–190. [Google Scholar]
  42. Kwiatkowski, D.; Phillips, P.C.B.; Schmidt, P.; Shin, Y. Testing the Null Hypothesis of Stationarity against the Alternative of a Unit Root. J. Econom. 1992, 54, 159–178. [Google Scholar] [CrossRef]
  43. Lütkepohl, H. New Introduction to Multiple Time Series Analysis; Springer: Berlin/Heidelberg, Germany, 2005. [Google Scholar] [CrossRef]
  44. Lyeonov, S.; Pimonenko, T.; Bilan, Y.; Štreimikienė, D.; Mentel, G. Assessment of Green Investments’ Impact on Sustainable Development: Linking Gross Domestic Product Per Capita, Greenhouse Gas Emissions and Renewable Energy. Energies 2019, 12, 3891. [Google Scholar] [CrossRef]
  45. Ning, Y.; Cherian, J.; Sial, M.S.; Álvarez-Otero, S.; Comite, U.; Zia-Ud-Din, M. Green bond as a new determinant of sustainable green financing, energy efficiency investment, and economic growth: A global perspective. Environ. Sci. Pollut. Res. 2022, 6, 1–16. [Google Scholar] [CrossRef]
  46. Reboredo, J.C.; Rivera-Castro, M.A.; Ugolini, A. Wavelet-based test of co-movement and causality between oil and renewable energy stock prices. Energy Econ. 2017, 61, 241–252. [Google Scholar] [CrossRef]
  47. Kumar, S.; Managi, S.; Matsuda, A. Stock prices of clean energy firms, oil and carbon markets: A vector autoregressive analysis. Energy Econ. 2012, 34, 215–226. [Google Scholar] [CrossRef]
  48. Troster, V.; Shahbaz, M.; Uddin, S.G. Renewable energy, oil prices, and economic activity: A Granger-causality in quantiles analysis. Energy Econ. 2018, 70, 440–452. [Google Scholar] [CrossRef] [Green Version]
  49. Dominioni, G.; Romano, A.; Sotis, C. A quantitative study of the interaction between oil price and renewable energy sources stock prices. Energies 2019, 12, 1693. [Google Scholar] [CrossRef]
  50. Stock, J.H.; Watson, M.W. Vector Autoregressions. J. Econ. Perspect. 2001, 15, 101–115. [Google Scholar] [CrossRef]
  51. Bouri, E.; Azzi, G.; Dyhrberg, A.H. On the return-volatility relationship in the bitcoin market around the price crash of 2013. Economics 2017, 11, 1–16. [Google Scholar] [CrossRef] [Green Version]
Figure 1. Conceptual framework of the applied methodology.
Figure 1. Conceptual framework of the applied methodology.
Energies 15 06218 g001
Figure 2. Eigenvalues of the companion matrix for: (a) model 1; (b) model 2; and (c) model 3.
Figure 2. Eigenvalues of the companion matrix for: (a) model 1; (b) model 2; and (c) model 3.
Energies 15 06218 g002
Table 1. Description of the variables investigated in the research.
Table 1. Description of the variables investigated in the research.
Indices/CommodityDescription
SPUSGRNIndex designed to measure the market-value-weighted performance of globally issued, green-labeled bonds
BFOSpot price of the Europe Brent FOB
GRNREGIndex designed to track the performance of companies that produce energy through RESs, such as solar, wind, geothermal, wave and fuel cells
GRNNRIndex designed to track companies participating in agriculture, forestry and other natural product industries using sustainable methods such as certified organic agriculture and Forest Stewardship Council certified forestry
GRNEUROPEIndex designed to track the performance of companies across the spectrum of industries most closely associated with the economic model around sustainable development through every economic sector. The index tracks companies involved with industries such as energy efficiency, renewable energy generation, advanced materials, green building and healthy living. It was designed to serve as a global benchmark of all companies domiciled in Europe and involved in the reduction in fossil-sourced fuels, products, services and lifestyles.
Table 2. Descriptive statistics of the time series of log returns of the analyzed variables.
Table 2. Descriptive statistics of the time series of log returns of the analyzed variables.
VariableMeanMedianMax.Min.Std. Dev.SkewnessKurtosisJarque–BeraProbabilitySumSum Sq. Dev.
d.ln.SPUSGRN0.000560.000910.03922−0.058330.01503−0.480794.6756715.3967 ***0.000450.055320.02214
d.ln.BFO−0.000050.013630.68664−1.255150.17564−3.1459729.59713081.35 ***0.00000−0.005043.02319
d.ln.GRNREG0.011420.011590.15439−0.143540.04894−0.122394.118145.40437 *0.067061.130730.23468
d.ln.GRNNR0.010550.015310.16466−0.320140.07000−0.984967.2433790.2830 ***0.000001.044320.48023
d.ln.GRNEUROPE0.003660.005780.13696−0.158720.04727−0.476683.998377.86079 **0.019640.362730.21900
Note: ***, **, * indicate significance at the 1%, 5% and 10% levels.
Table 3. Unit root tests of the variables.
Table 3. Unit root tests of the variables.
Augmented Dickey–Fuller (ADF) TestPhillips–Perron (PP) TestKwiatkowski–Phillips–Schmidt–Shin (KPSS) TestStationarity Order
VariableAt LevelAt 1st DifferenceAt LevelAt 1st DifferenceAt LevelAt 1st Difference
ln.SPUSGRN−1.044−8.840 ***−1.194−8.881 ***0.8220.119 ***I(1)
ln.BFO−2.612−9.179 ***−2.603−9.150 ***0.8510.107 ***I(1)
ln.GRNREG−0.341−9.903 ***−0.335−9.904 ***1.1120.079 ***I(1)
ln.GRNNR0.589−11.135 ***0.628−11.069 ***0.9080.348 ***I(1)
ln.GRNEUROPE−0.898−10.462 ***−0.745−10.531 ***0.8670.138 ***I(1)
Note: *** indicates significance at the 1% level.
Table 4. Optimal lag length selection.
Table 4. Optimal lag length selection.
VariableLagFPEAICHQICSBIC
d.ln.GRNREG01.7 × 10−8−9.38364−9.34983−9.29975
11.2 × 10−8−9.72250−9.58725 *−9.38696 *
21.2 × 10−8 *−9.74995 *−9.51326−9.16274
d.ln.GRNNR03.7 × 10−8−8.59096−8.55715 *−8.50708 *
13.7 × 10−8 *−8.60979 *−8.47454−8.27424
d.ln.GRNEUROPE01.7 × 10−8−9.39802−9.36421−9.31413
11.1 × 10−8−9.82713−9.69188 *−9.49158 *
21.1 × 10−8 *−9.83429 *−9.5976−9.24708
Note: * indicates the optimal lag length based on the criterion.
Table 5. Johansen test for cointegration.
Table 5. Johansen test for cointegration.
ln.GRNREGln.GRNNRln.GRNEUROPE
Maximum RankTrace StatisticsTrace StatisticsTrace StatisticsCritical Value (5%)
026.3023 *28.0376 *29.0035 *29.68
18.03199.850310.109015.41
21.75273.64532.60913.76
Maximum RankMaximum StatisticsMaximum StatisticsMaximum StatisticsCritical Value (5%)
018.270418.187318.894620.97
16.27926.00517.499914.07
21.75273.64532.60913.76
Note: * indicates order of cointegration.
Table 6. LM test for the presence of the ARCH effect.
Table 6. LM test for the presence of the ARCH effect.
Variablechi sq.dfProb > chi sq.
d.ln.SPUSGRN0.37910.5380
d.ln.BFO0.00510.9423
d.ln.GRNREG0.13810.7101
d.ln.GRNNR0.01010.9220
d.ln.GRNEUROPE0.01110.9162
Table 7. The Granger causality tests for three models constructed on the basis of Equation (1).
Table 7. The Granger causality tests for three models constructed on the basis of Equation (1).
ModelsEquationExcludedchi sq.dfp-Value
Model 1d.ln.SPUSGRNd.ln.BFO8.373220.015
d.ln.SPUSGRNd.ln.GRNREG60.27220.000
d.ln.SPUSGRNALL67.18540.000
d.ln.BFOd.ln.SPUSGRN1.758820.415
d.ln.BFOd.ln.GRNREG19.69920.000
d.ln.BFOALL20.30640.000
d.ln.GRNREGd.ln.SPUSGRN4.829320.089
d.ln.GRNREGd.ln.BFO5.479520.065
d.ln.GRNREGALL7.052140.133
Model 2d.ln.SPUSGRNd.ln.BFO2.724710.099
d.ln.SPUSGRNd.ln.GRNNR7.584210.006
d.ln.SPUSGRNALL10.21220.006
d.ln.BFOd.ln.SPUSGRN0.064610.799
d.ln.BFOd.ln.GRNNR11.54310.001
d.ln.BFOALL11.76220.003
d.ln.GRNNRd.ln.SPUSGRN0.249310.618
d.ln.GRNNRd.ln.BFO0.675910.411
d.ln.GRNNRALL0.708120.702
Model 3d.ln.SPUSGRNd.ln.BFO7.633720.022
d.ln.SPUSGRNd.ln.GRNEUROPE61.41020.000
d.ln.SPUSGRNALL68.37340.000
d.ln.BFOd.ln.SPUSGRN5.042320.080
d.ln.BFOd.ln.GRNEUROPE38.92420.000
d.ln.BFOALL39.63140.000
d.ln.GRNEUROPEd.ln.SPUSGRN1.621320.445
d.ln.GRNEUROPEd.ln.BFO1.793020.408
d.ln.GRNEUROPEALL2.332140.675
Table 8. Residual serial correlation LM test.
Table 8. Residual serial correlation LM test.
Model 1Model 2Model 3
Lagchi sq.p-Valuechi sq.p-Valuechi sq.p-Value
18.96430.4405811.47410.2446110.30050.32671
24.42230.8814917.44020.042255.21450.81522
39.89870.3587512.10450.2074810.32090.32514
41.95520.992168.29770.504454.83170.84873
56.17260.722533.59620.935935.61700.77756
Publisher’s Note: MDPI stays neutral with regard to jurisdictional claims in published maps and institutional affiliations.

Share and Cite

MDPI and ACS Style

Orzechowski, A.; Bombol, M. Energy Security, Sustainable Development and the Green Bond Market. Energies 2022, 15, 6218. https://doi.org/10.3390/en15176218

AMA Style

Orzechowski A, Bombol M. Energy Security, Sustainable Development and the Green Bond Market. Energies. 2022; 15(17):6218. https://doi.org/10.3390/en15176218

Chicago/Turabian Style

Orzechowski, Arkadiusz, and Małgorzata Bombol. 2022. "Energy Security, Sustainable Development and the Green Bond Market" Energies 15, no. 17: 6218. https://doi.org/10.3390/en15176218

APA Style

Orzechowski, A., & Bombol, M. (2022). Energy Security, Sustainable Development and the Green Bond Market. Energies, 15(17), 6218. https://doi.org/10.3390/en15176218

Note that from the first issue of 2016, this journal uses article numbers instead of page numbers. See further details here.

Article Metrics

Back to TopTop