Data-Driven Condition Monitoring of a Hydraulic Press Using Supervised Learning and Neural Networks
Abstract
:1. Introduction
2. Related Work and State of the Art
2.1. Condition Monitoring in Hydraulics
2.2. Design Considerations for Neural Networks
2.3. Feature Representation of Time Series Data
3. Materials and Methods
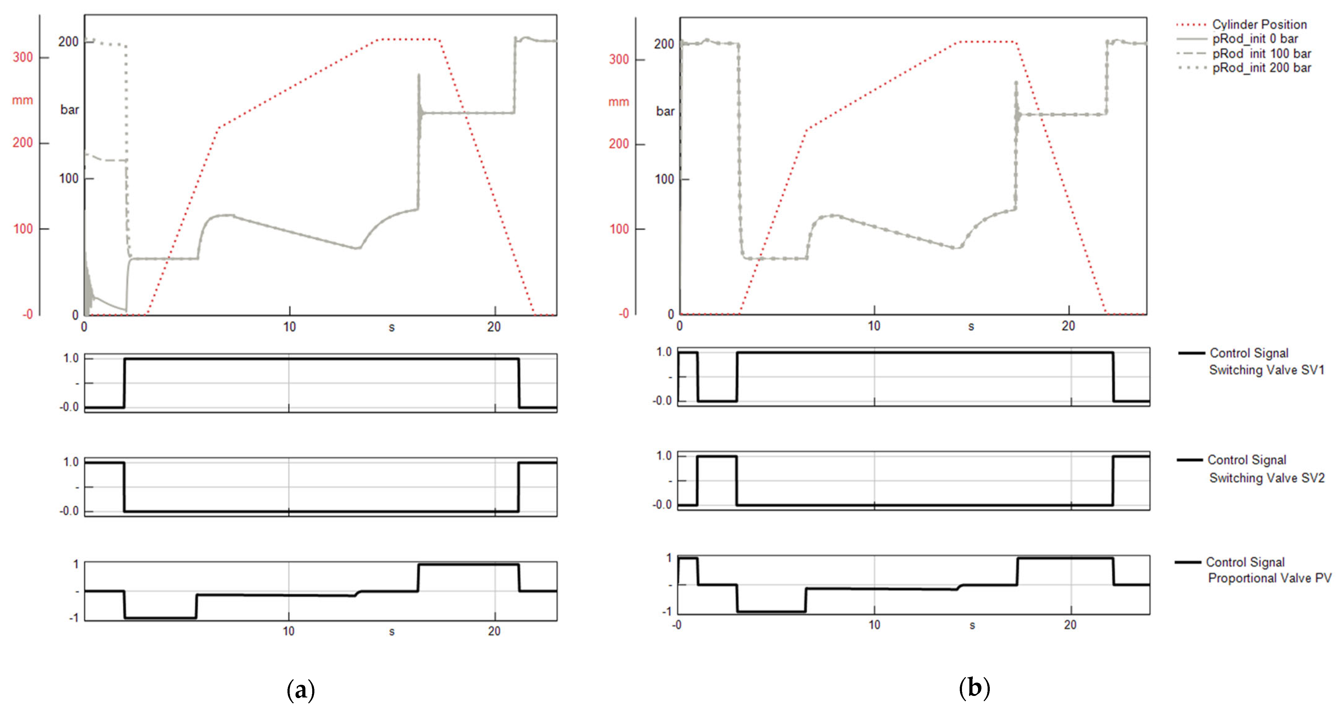
3.1. Hydraulic Press
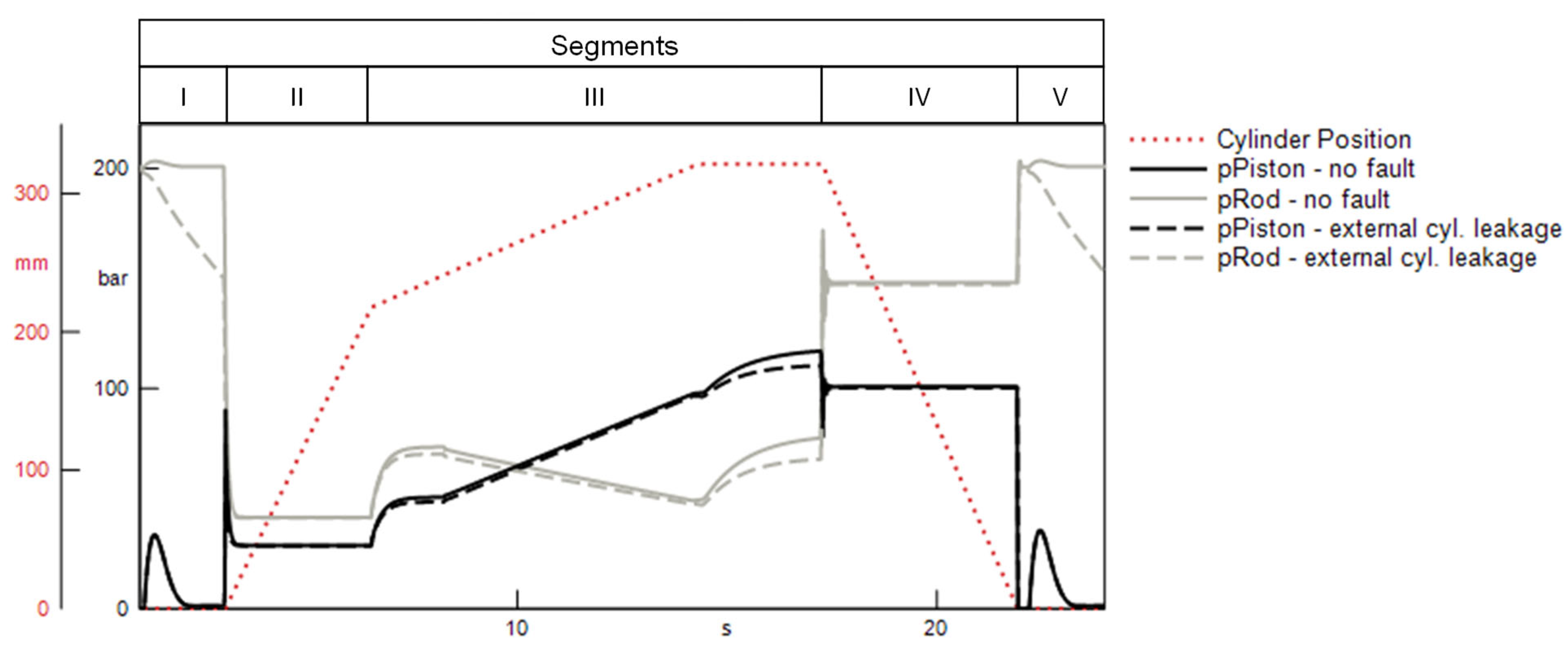
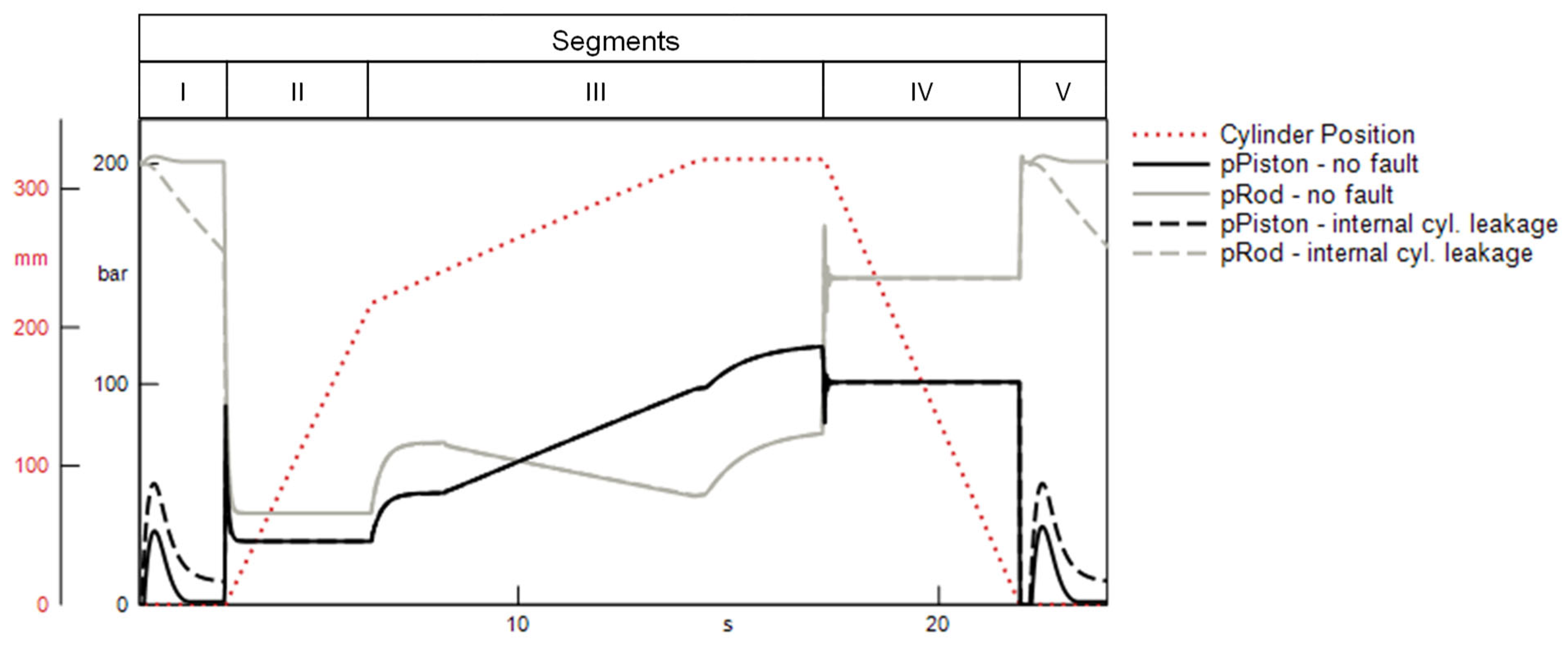
3.2. Data Generation and Labeling
3.3. Feature Extraction and Selection
- minimum;
- maximum;
- mean;
- median;
- standard deviation;
- variance;
- skewness;
- kurtosis;
- first location of minimum;
- first location of maximum;
- last location of minimum;
- last location of maximum;
- sum of values;
- absolute energy (sum over squared values);
- absolute sum of changes (sum over absolute values of consecutive changes);
- mean absolute change (mean over absolute values of consecutive changes).
3.4. Model Setup, Training and Evaluation
4. Results
4.1. Results of the Grid Search
4.2. Results of the Feature Selection
5. Discussion
Author Contributions
Funding
Institutional Review Board Statement
Informed Consent Statement
Data Availability Statement
Conflicts of Interest
References
- ISO 17359:2018; Condition Monitoring and Diagnostics of Machines—General Guidelines (ISO 17359:2018). International Organization for Standardization: Geneva, Switzerland, 2018.
- Watton, J. Modelling, Monitoring and Diagnostic Techniques for Fluid Power Systems; Springer: London, UK, 2007; ISBN 9781846283734. [Google Scholar]
- Isermann, R. Fault-Diagnosis Systems; Springer: Berlin/Heidelberg, Germany, 2006; ISBN 978-3-540-24112-6. [Google Scholar]
- Alt, R.; Murrenhoff, H.; Schmitz, K. A Survey of “Industrie 4.0” in the Field of Fluid Power—Challenges and Opportunities by the Example of Field Device Integration. In Proceedings of the 11th International Fluid Power Conference, Aachen, Germany, 19–21 March 2018; Murrenhoff, H., Ed.; RWTH Aachen University: Aachen, Germany, 2018. ISBN 3958862152. [Google Scholar]
- Kuhn, M.; Johnson, K. Applied Predictive Modeling, Corrected at 5th Printing; Springer: New York, NY, USA, 2016; ISBN 978-1-4614-6848-6. [Google Scholar]
- Döbel, I.; Leis, M.; Vogelsang, M.M.; Neustroev, D.; Petzka, H.; Rüping, S.; Voss, A.; Wegele, M.; Welz, J. Maschinelles Lernen—Kompetenzen, Anwendungen und Forschungsbedarf: Projektbericht. 2018. Available online: https://www.bigdata-ai.fraunhofer.de/content/dam/bigdata/de/documents/Publikationen/BMBF_Fraunhofer_ML-Ergebnisbericht_Gesamt.pdf (accessed on 28 July 2022).
- Paulmann, G.; Mkadara, G. Condition monitoring of hydraulic pumps—Lessons learnt. In Proceedings of the 11th International Fluid Power Conference, Aachen, Germany, 19–21 March 2018; Murrenhoff, H., Ed.; RWTH Aachen University: Aachen, Germany, 2018. ISBN 3958862152. [Google Scholar]
- Torikka, T.; Haack, S. Predictive Maintenance Service Powered by Machine Learning and Big Data. In Proceedings of the 11th International Fluid Power Conference, Aachen, Germany, 19–21 March 2018; Murrenhoff, H., Ed.; RWTH Aachen University: Aachen, Germany, 2018. ISBN 3958862152. [Google Scholar]
- Schraft, J.P.; Becher, D.; Weber, J. Condition Monitoring Strategy for Pump-Driven Hydraulic Axes. In Proceedings of the ASME/BATH Symposium on Fluid Power and Motion Control, Online, 9–11 September 2020; The American Society of Mechanical Engineers: New York, NY, USA, 2020. ISBN 9780791883754. [Google Scholar]
- Azeez, A.A.; Vuorinen, E.; Minav, T.; Casoli, P. AI-based condition monitoring of a variable displacement axial piston pump. In Proceedings of the 13th International Fluid Power Conference, Aachen, Germany, 13–15 June 2022; Schmitz, K., Ed.; RWTH Aachen University: Aachen, Germany, 2022. [Google Scholar]
- Wiens, T.; Fernandes, J. Application of Data Reduction Techniques to Dynamic Condition Monitoring of an Axial Piston Pump. In Proceedings of the ASME/BATH Symposium on Fluid Power and Motion Control, Longboat Key, FL, USA, 7–9 October 2019; The American Society of Mechanical Engineers: New York, NY, USA, 2020. ISBN 9780791859339. [Google Scholar]
- Yao, J.; Li, X.; Wang, P.; Cheng, Y.; Yang, S. Data-driven Fault Diagnosis Based on Deep Learning for Multiple Failures of High Speed On/off Valve. In Proceedings of the 13th International Fluid Power Conference, Aachen, Germany, 13–15 June 2022; Schmitz, K., Ed.; RWTH Aachen University: Aachen, Germany, 2022. [Google Scholar]
- Ali, E. Self-Learning Condition Monitoring for Smart Electrohydraulic Drives. Ph.D. Thesis, Technische Universität Dresden, Dresden, Germany, 2019. [Google Scholar]
- Torikka, T. Bewertung von Analyseverfahren zur Zustandsüberwachung einer Axialkolbenpumpe. Ph.D. Thesis, Shaker, Aachen, Germany, 2011. [Google Scholar]
- Duensing, Y.; Rodas Rivas, A.; Schmitz, K. Machine Learning for Failure Mode Detection in Mobile Machinery. In Proceedings of the 11th Kolloquium Mobilhydraulik, Karlsruhe, Germany, 10 September 2020; Geimer, M., Synek, P.-M., Eds.; KIT Scientific Publishing: Karlsruhe, Germany, 2020; pp. 1–25. [Google Scholar]
- Helwig, N.J. Zustandsbewertung Industrieller Prozesse Mittels Multivariater Sensordatenanalyse am Beispiel Hydraulischer und Elektromechanischer Antriebssysteme. Ph.D. Thesis, Shaker, Aachen, Germany, 2019. [Google Scholar]
- Adams, S.; Beling, P.; Farinholt, K.; Brown, N.; Polter, S.; Dong, Q. Condition Based Monitoring for a Hydraulic Actuator. In Proceedings of the Annual Conference of the PHM Society, Bilbao, Spain, 5–8 July 2016. [Google Scholar]
- Makansi, F.; Schmitz, K. Feature Generation and Evaluation for Data-Based Condition Monitoring of a Hydraulic Press. In Proceedings of the 13th International Fluid Power Conference, Aachen, Germany, 13–15 June 2022; Schmitz, K., Ed.; RWTH Aachen University: Aachen, Germany, 2022. [Google Scholar]
- Kuhn, M.; Johnson, K. Feature Engineering and Selection: A Practical Approach for Predictive Models; Chapman & Hall/CRC: Boca Raton, FL, USA, 2021; ISBN 978-1-03-209085-6. [Google Scholar]
- Aggarwal, C.C. Neural Networks and Deep Learning: A Textbook; Springer International Publishing: Cham, Switzerland, 2018; ISBN 978 3 319 94462 3. [Google Scholar]
- Hornik, K.; Stinchcombe, M.; White, H. Multilayer feedforward networks are universal approximators. Neural Netw. 1989, 2, 359–366. [Google Scholar] [CrossRef]
- Géron, A. Hands-on Machine Learning with Scikit-Learn, Keras, and TensorFlow; O’Reilly Media, Inc.: Sebastopol, CA, USA, 2019. [Google Scholar]
- Christ, M.; Kempa-Liehr, A.W.; Feindt, M. Distributed and Parallel Time Series Feature Extraction for Industrial Big Data Applications. 2016. Available online: http://arxiv.org/pdf/1610.07717v3 (accessed on 28 July 2022).
- Radford, A.; Metz, L.; Chintala, S. Unsupervised Representation Learning with Deep Convolutional Generative Adversarial Networks. 2015. Available online: http://arxiv.org/pdf/1511.06434v2 (accessed on 28 July 2022).
- ESI Group. SimulationX. Available online: https://www.esi-group.com/products/system-simulation (accessed on 28 July 2022).
- Makansi, F.; Schmitz, K. Simulation-Based Data Sampling for Condition Monitoring of Fluid Power Drives. IOP Conf. Ser. Mater. Sci. Eng. 2021, 1097, 012018. [Google Scholar] [CrossRef]
- Fürnkranz, J. Decision Tree. In Encyclopedia of Machine Learning and Data Mining; Sammut, C., Webb, G.I., Eds.; Springer: Boston, MA, USA, 2017; pp. 330–335. ISBN 978-1-4899-7685-7. [Google Scholar]
- Raschka, S. Model Evaluation, Model Selection, and Algorithm Selection in Machine Learning. 2018. Available online: http://arxiv.org/pdf/1811.12808v3 (accessed on 28 July 2022).
- Brodersen, K.H.; Ong, C.S.; Stephan, K.E.; Buhmann, J.M. The Balanced Accuracy and Its Posterior Distribution. In Proceedings of the 2010 20th International Conference on Pattern Recognition (ICPR), Istanbul, Turkey, 23–26 August 2010; IEEE: Piscataway, NJ, USA, 2010; pp. 3121–3124, ISBN 978-1-4244-7542-1. [Google Scholar]












| Fault | Symbol | Model Parameter | Parameter Range | Fault Threshold |
|---|---|---|---|---|
| Cylinder, Internal Leakage | Gap height piston sealing | 1–100 µm | >25 µm | |
| Cylinder, External Leakage | Gap height rod sealing | 0.5–75 µm | >20 µm | |
| Cylinder, Increased Friction | Static friction force | 500–5000 N | >1500 N | |
| Cylinder, Position Sensor Offset | Offset value | 0–410 mm | >1 mm | |
| Proportional Valve, Worn Control Edges | Valve spool overlap | −(2–10)% | <−4% | |
| Hydraulic Power Supply, External Leakage | Leakage factor | 0–0.1 L/(min∙bar) | >0.0005 L/(min∙bar) |
| Increased Cylinder Friction | Internal Cylinder Leakage | External Cylinder Leakage | ||||
|---|---|---|---|---|---|---|
| Feature Set | Without Selection | With Selection | Without Selection | With Selection | Without Selection | With Selection |
| Global | 93.60% | 93.57% | 98.65% | 99.29% | 78.72% | 78.81% |
| Global + derivative | 95.51% | 94.97% | 98.44% | 99.13% | 78.68% | 82.32% |
| Global + segment | 96.87% | 95.91% | 99.26% | 99.45% | 88.69% | 86.52% |
| Global + segment + deriv. | 96.81% | 97.09% | 99.21% | 99.51% | 88.38% | 89.69% |
| Position Sensor Offset | Worn Control Edges Prop. Valve | External Leakage at Hydr. Power Supply | ||||
| Feature Set | Without Selection | With Selection | Without Selection | With Selection | Without Selection | With Selection |
| Global | 98.51% | 99.68% | 96.62% | 96.42% | 99.69% | 99.78% |
| Global + derivative | 98.06% | 99.64% | 96.69% | 96.44% | 99.71% | 99.82% |
| Global + segment | 99.28% | 99.83% | 98.57% | 98.93% | 99.70% | 99.83% |
| Global + segment + deriv. | 99.10% | 99.67% | 98.38% | 98.94% | 99.70% | 99.85% |
| Increased Cylinder Friction | Internal Cylinder Leakage | External Cylinder Leakage | ||||
|---|---|---|---|---|---|---|
| Feature Set | Without Selection | With Selection | Without Selection | With Selection | Without Selection | With Selection |
| Global | (256) | (512, 256) | (8) | (8) | (256) | (256, 128) |
| Global + derivative | (64) | (256) | (8) | (8) | (64, 32, 16) | (512, 256) |
| Global + segment | (64, 32) | (512, 256) | (8) | (8) | (64, 32) | (512, 256) |
| Global + segment + deriv. | (256, 128) | (256, 128) | (8) | (8) | (64, 32, 16) | (512, 256, 128) |
| Position Sensor Offset | Worn Control Edges Prop. Valve | External Leakage at Hydr. Power Supply | ||||
| Feature Set | Without Selection | With Selection | Without Selection | With Selection | Without Selection | With Selection |
| Global | (8) | (8) | (512, 256, 128) | (512, 256) | (8) | (8) |
| Global + derivative | (8) | (8) | (256) | (256) | (8) | (8) |
| Global + segment | (8) | (8) | (64, 32, 16) | (8) | (8) | (8) |
| Global + segment + deriv. | (8) | (8) | (8) | (8) | (8) | (8) |
| Increased Cylinder Friction | Internal Cylinder Leakage | External Cylinder Leakage | ||||
|---|---|---|---|---|---|---|
| Feature Set | Without Selection | With Selection | Without Selection | With Selection | Without Selection | With Selection |
| Global | 94.51% | 93.37% | 99.08% | 99.17% | 81.30% | 72.94% |
| Global + derivative | 96.38% | 94.73% | 98.94% | 99.07% | 77.73% | 74.04% |
| Global + segment | 97.62% | 96.59% | 99.46% | 99.47% | 91.89% | 87.11% |
| Global + segment + deriv. | 97.72% | 97.64% | 99.43% | 99.47% | 90.63% | 90.17% |
| Position Sensor Offset | Worn Control Edges Prop. Valve | External Leakage at Hydr. Power Supply | ||||
| Feature Set | Without Selection | With Selection | Without Selection | With Selection | Without Selection | With Selection |
| Global | 97.86% | 98.98% | 97.12% | 97.13% | 99.61% | 99.66% |
| Global + derivative | 98.53% | 98.80% | 98.00% | 97.01% | 99.68% | 99.69% |
| Global + segment | 99.49% | 98.82% | 99.13% | 98.55% | 99.75% | 99.86% |
| Global + segment + deriv. | 98.53% | 98.74% | 98.25% | 98.79% | 99.59% | 99.76% |
| Number of Selected Features | |||||||
|---|---|---|---|---|---|---|---|
| Feature Set | All Faults Before Selection | ||||||
| Global | 128 | 40 | 29 | 36 | 14 | 21 | 28 |
| Global + derivative | 256 | 38 | 36 | 39 | 14 | 26 | 39 |
| Global + segment | 738 | 25 | 57 | 46 | 20 | 46 | 42 |
| Global + segment + deriv. | 1536 | 39 | 59 | 52 | 22 | 51 | 42 |
| Fault | Subsignal | Features |
|---|---|---|
| median—segment IV | ||
| minimum of derivative—segment IV | ||
| standard deviation of derivative—segment III | ||
| minimum—segment I | ||
| maximum of derivative—segment I | ||
| absolute sum of changes—segment V | ||
| minimum—segment III | ||
| maximum—segment III | ||
| standard deviation—segment II | ||
| minimum—segment I | ||
| median—segment I | ||
| minimum | ||
| maximum—segment III | ||
| maximum of derivative—segment III | ||
| median | ||
| minimum—segment I | ||
| absolute sum of changes—segment I | ||
| mean absolute change—segment V |
Publisher’s Note: MDPI stays neutral with regard to jurisdictional claims in published maps and institutional affiliations. |
© 2022 by the authors. Licensee MDPI, Basel, Switzerland. This article is an open access article distributed under the terms and conditions of the Creative Commons Attribution (CC BY) license (https://creativecommons.org/licenses/by/4.0/).
Share and Cite
Makansi, F.; Schmitz, K. Data-Driven Condition Monitoring of a Hydraulic Press Using Supervised Learning and Neural Networks. Energies 2022, 15, 6217. https://doi.org/10.3390/en15176217
Makansi F, Schmitz K. Data-Driven Condition Monitoring of a Hydraulic Press Using Supervised Learning and Neural Networks. Energies. 2022; 15(17):6217. https://doi.org/10.3390/en15176217
Chicago/Turabian StyleMakansi, Faried, and Katharina Schmitz. 2022. "Data-Driven Condition Monitoring of a Hydraulic Press Using Supervised Learning and Neural Networks" Energies 15, no. 17: 6217. https://doi.org/10.3390/en15176217
APA StyleMakansi, F., & Schmitz, K. (2022). Data-Driven Condition Monitoring of a Hydraulic Press Using Supervised Learning and Neural Networks. Energies, 15(17), 6217. https://doi.org/10.3390/en15176217

