Next Article in Journal
Strategic Planning of Oil and Gas Companies: The Decarbonization Transition
Next Article in Special Issue
Alternative Simplified Analytical Models for the Electric Field, in Shoreline Pond Electrode Preliminary Design, in the Case of HVDC Transmission Systems
Previous Article in Journal
Simple Mathematical and Simulink Model of Stepper Motor
Previous Article in Special Issue
Arc Furnace Power-Susceptibility Coefficients
 
 
Font Type:
Arial Georgia Verdana
Font Size:
Aa Aa Aa
Line Spacing:
Column Width:
Background:
Article

The Influence of the Transformer Core Material on the Characteristics of a Full-Bridge DC-DC Converter

Department of Marine Electronics, Faculty of Electrical Engineering, Gdynia Maritime University, Morska 83, 81-225 Gdynia, Poland
*
Author to whom correspondence should be addressed.
Energies 2022, 15(17), 6160; https://doi.org/10.3390/en15176160
Submission received: 21 July 2022 / Revised: 20 August 2022 / Accepted: 22 August 2022 / Published: 25 August 2022
(This article belongs to the Special Issue Power System Dynamics and Renewable Energy Integration)

Abstract

:
The paper analyzes the influence of the material from which the ferromagnetic core of a transformer is made on the characteristics of a full-bridge converter. Experimental investigations were carried out for three bridge converters containing transformers with ring cores made of various materials: iron powder, ferrite, and nanocrystalline material. The properties of the aforementioned converters were considered in a wide range of changes of input voltage, load resistance, as well as frequency and the duty cycle of the control signal. Based on the obtained measurements results of the relationship between the parameters of the used transformer core and the obtained values of the output voltage, the energy efficiency of the full bridge converter was discussed. The method of transformer modeling in the SPICE program for the analysis of the considered converter in this program was proposed. The correctness of this model was demonstrated for a converter containing a transformer with a powdered iron core.

1. Introduction

Contemporary electronic devices require power systems that supply electrical energy with given parameters [1]. Recently, the economic conversion of electrical energy and related technical, economic, and environmental issues have become of great importance [2].
Pulse DC-DC converters are commonly used to convert electrical energy [1,2,3]. In many cases, it is desirable to provide galvanic isolation between the input and output of such a converter. Then, isolated DC-DC converters are used, which include, e.g., bridge converters [4,5,6]. These converters are also used in the systems cooperating with wind farms or photovoltaic installations [7].
One of the tasks of designers of the considered class of DC-DC converters is the proper selection of a pulse transformer, in particular a ferromagnetic core. Manufacturers of these cores offer a wide range of products made of various ferromagnetic materials of various shapes and sizes. As shown in [8,9], the shape and size of the ferromagnetic core significantly affect thermal parameters of inductors with ferromagnetic cores. On the other hand, in [10,11] it was shown that the material used for the construction of the inductor core significantly influences the characteristics of buck and boost converters. As shown in the literature, the functional parameters of magnetic elements such as losses, operating temperature, size, weight, and material parameters have a significant impact on the properties of systems and converting devices [8,9,12].
For example, in [9], it was shown that the use of ferrite material for the construction of the inductor core operating in the boost converter resulted in a change of the operating mode of the mentioned system from CCM to DCM at load resistance above 1 kΩ, whereas the use of powder material for the construction of the inductor core resulted in a change in the operating mode of the converter from CCM to DCM at 100 Ω load resistance.
Meanwhile, the computer analyses and descriptions of properties of DC-DC converters typically ignore the imperfections of magnetic elements and models of the transformers contained in these converters that use linear coupled inductors [13,14]. This method of transformer modeling may lead to significant inaccuracies in calculations. Additionally, with such simplified analyses, it is not possible to take into account the properties of the considered elements. As is shown in [15,16,17,18,19], the magnetic materials used are characterized by different values of parameters, e.g., saturation of magnetic flux density, power losses, and the maximum value of the operating frequency. Of course, these materials are constantly being improved, but their development is not as dynamic as that of semiconductor devices.
Designers of electronic devices strive to reduce the size and weight of the designed devices and to improve their energy efficiency. However, the construction process must be preceded by the appropriate analyses that take into account the limitations of the used components [2,3]. The aforementioned strive to miniaturize converting devices that require, inter alia, increasing the switching frequency of switching elements and, consequently, searching for new technologies for the production of semiconductor devices and magnetic elements [4,20].
Before starting the construction of the aforementioned electronic systems, computer analyses are carried out to verify the properties of the designed systems. This allows eliminating some errors at the design stage. During the analysis of electronic circuits such as energy conversion systems, it is necessary to use the appropriate models and calculation methods [5,21,22]. In simulated systems, it is desirable to carry out a transient analysis, which is a very time-consuming process [15,23,24].
The paper [25] describes the modeling method and the phase-shifted bidirectional dual active bridge (PSBBAB) model. It was found out that the standard methodology for modeling such systems is inappropriate when the average value of the transformer current is zero. For the analysis of this type of systems, a discrete model with two time scales was proposed. This model performs a fast and slow dynamic analysis of the system, but the process is performed separately, which simplifies the calculations and reduces the simulation time. This model takes into account a number of factors, including: inductor core losses, dead-time of semiconductor devices, on-resistance, transformer winding losses, etc. Additionally, a phase-shifted bidirectional dual active bridge prototype was built. The conducted investigations show that the model proposed in [25] allows for obtaining similar characteristics to the characteristics of the real system when non-idealities of the transformer can be omitted.
As for now, little attention has been focused on the influence of the transformer core material on properties of DC-DC converters. A typical approach is to idealize properties of these elements [4,5,13,14]. Such transformers are modeled with the use of linearly coupled linear inductors. It can be expected that when taking into account non-idealities of the transformer, it is possible to more accurately model DC-DC converters containing such elements. Due to the differences in properties of different magnetic materials, some differences between characteristics of such converters can be also observed. The authors do not know any articles describing such a problem.
The aim of this paper is to analyze the influence of the selection of the ferromagnetic material used to build the transformer core on the characteristics of a full-bridge converter. The results of experimental investigations for the mentioned converters containing transformers with a core made of iron powder, ferrite, and nanocrystalline material are presented. Based on the obtained results of the measurements, the influence of the core material on the output voltage and energy efficiency of the tested converter operating at different values of the input voltage, load resistance, frequency, and the duty of the control signal was discussed. A transformer model for the SPICE program is proposed and its usefulness was demonstrated to determine the characteristics of the considered converter containing a transformer with a powdered iron core. The method of including the non-ideality of the transformer in the considered model is discussed. The converter operating conditions, in which selected cores ensure the best properties of the investigated converter, were indicated.

2. Investigated Circuit

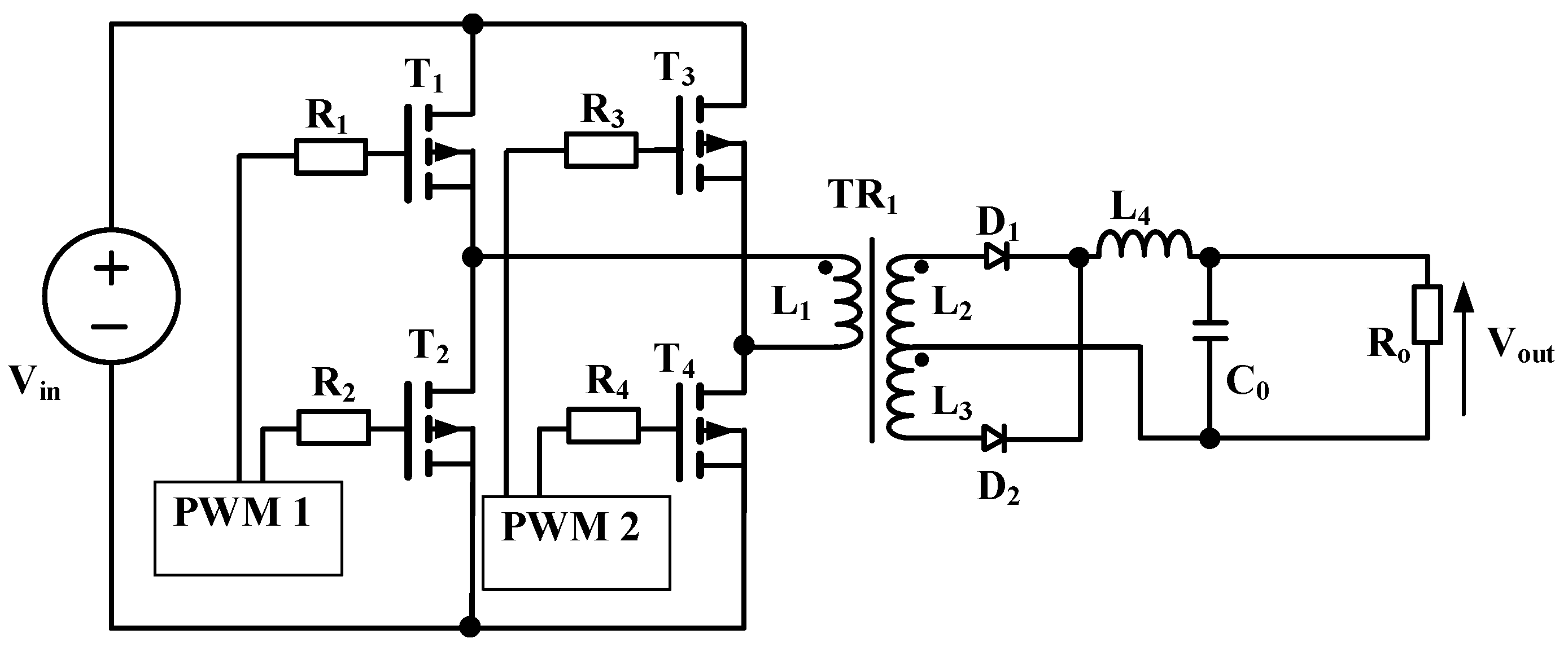
The investigations were carried out for the full-bridge converter, whose topology is shown in Figure 1. According to the classic concept of operation of this system, presented among others in [4], transistors T1 and T4, as well as T2 and T3, are switched on in pairs, alternately allowing the current to flow through the primary winding of the transformer at the zero value of the average voltage on this winding. Two identical secondary windings alternately deliver energy to the load through diodes D1 and D2. The energy storage element is inductor L4. Capacitor C0 maintains the ripple of the output voltage Vout at an acceptable level.
In the considered circuit, four MOSFET transistors of the IRF540 type [26], two Schottky diodes of the MBR10100 type [27] and passive elements with the following values were used: R1 = R2 = R3 = R4 = 100 Ω, CO = 47 µF, L1 = 80 µH. Resistor R0 is the load of the converter, and the voltage source Vin—the power source. In the considered circuit, TR1 transformers with the cores described in Section 3 were used. The signal controlling the gates of the transistors is obtained from two drivers IR2111 [28] marked in the diagram as PWM1 and PWM2 controlled by the PWM square wave signal generator. This generator produces a signal with frequency f and the duty cycle d with a value not exceeding 0.5.
For the considered system, the measurements were performed for the dependence of the output voltage and energy efficiency with changes in the input voltage Vin in the range from 0 to 50 V, load resistance from 15 Ω to 1 kΩ, and the frequency of the control signal from 10 to 50 kHz. All the measured values were obtained at the steady state.

3. Investigated Transformers

The investigations were carried out for three transformers containing toroidal cores with similar external diameters of 27 mm, internal diameters of 15 mm, and heights of 10 mm. The investigated cores are made of various ferromagnetic materials:
  • ferrite material, designated in this paper as SM-100 [29],
  • nanocrystalline material, designated in this paper as RTN (material M-074) [30],
  • powdered iron, designated in this paper as RTP (material -26) [31].
According to the information given by the producers [29] of the considered cores, the SM-100 material is dedicated to applications which need very high values of initial permeability and frequency up to 1 MHz. This material is characterized by a strong influence of temperature on saturation flux density. Its temperature coefficient is about 0.67%/K. In turn, the material -26 is dedicated to the cores of inductors and its permeability is nearly constant for frequency below 100 kHz [31]. It can operate at a very high values of flux density up to 1.2 T. Finally, the material M-074 is dedicated, e.g., for transformers in switch-mode, power supplies operate at frequencies up to 100 kHz [30].
Figure 2 shows the constructed transformers containing the mentioned cores. On each of them, 10 turns of enameled copper wire with a diameter of 0.9 mm were wound on the primary side. In turn, the split secondary winding contained 2 × 15 turns of enameled copper wire with a diameter of 0.8 mm. The most important material parameters of the cores used are listed in Table 1.
Table 1 shows that the RTP core has the highest value of the saturation of magnetic flux density, but the initial magnetic permeability µi of this core is up to 250 times lower than for the RTN core and 130 times lower than for the SM-100 core. In turn, the RTN core has the highest value of Curie temperature TC. The parameter of losses PV is not listed for the ferrite core, and for the RTN core, it is nominally 25% higher, even 175 time lower than for the RTP core. However, considering the influence of frequency on losses, it can be seen that under the same operating conditions, the losses in the RTN core are much lower than in the RTP core. It is worth noting that the parameter AL, which is proportional to the inductance of the windings is the highest for the RTN core and the lowest (even over a thousand times) for the RTP core.
Such significant differences in the values of the cores parameters lead to the assumption that significant differences will also appear in the characteristics of the transformers containing these cores. Differences in the characteristics of the converters containing these transformers are also expected.

4. Results of Measurements

To assess the influence of the transformer core material on the characteristics of the full-bridge converter, a number of measurements of the characteristics of the mentioned converter were carried out. The figures in this section show only the measurement results obtained at the steady state. They illustrate the influence of the input voltage Vin, load resistance R0, and the transformer core material on the measured values of the output voltage Vout and the energy efficiency η of the investigated converter.
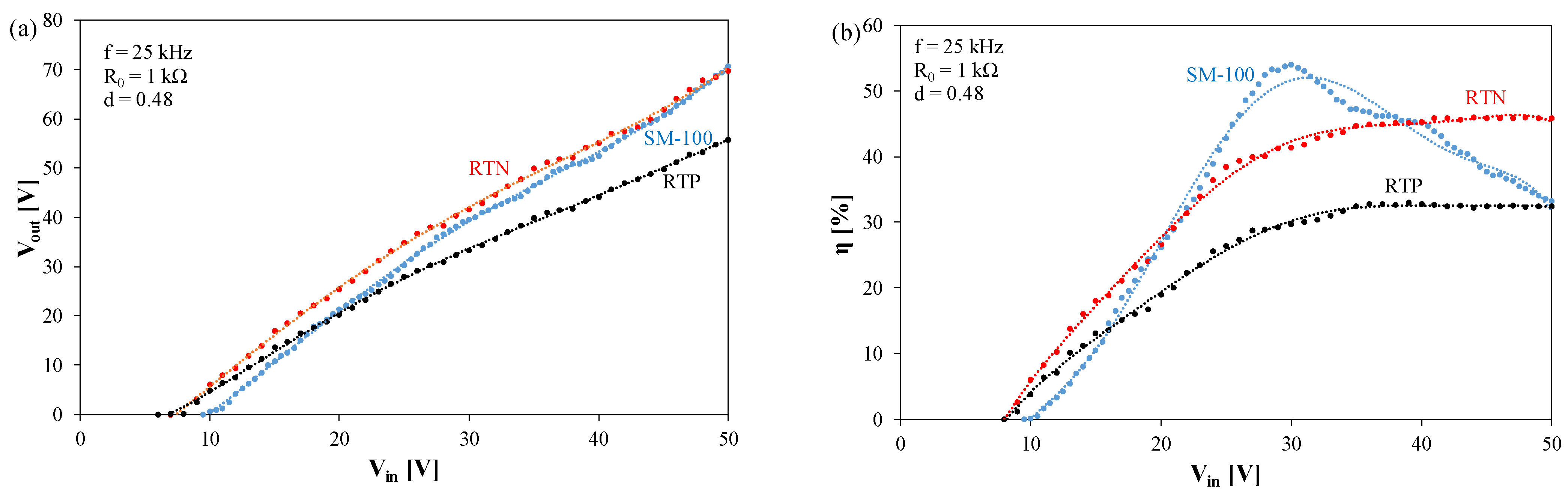
Figure 3 shows the dependences Vout (Vin) and η (Vin) measured at frequency f = 25 kHz, the duty cycle d = 0.48, and load resistance R0 = 1 kΩ.
As can be seen, for resistance R0 = 1 kΩ, the character of the dependence Vout (Vin) is identical for all the considered transformers. This is approximately a linear relationship, but the slope of this characteristic changes as the transformer core changes. The highest values of the output voltage Vout were obtained for the converter with a transformer with the RTN core, and the lowest for the converter with a transformer with the RTP core. The differences between the obtained values of the output voltage Vout reach up to 20%. It is also worth noting that the output voltage only increases after the input voltage exceeds the value of a few volts.
In turn, in Figure 3b, it can be seen that the dependence η (Vin) is a monotonically increasing function for the converter with the a transformer with RTP and RTN cores, whereas for the SM-100 core, this dependence has a maximum at Vin = 30 V. It is worth noting that that the obtained energy efficiency values are low and reach a maximum of 32% for a transformer with the RTP core, 46%-with the RTN core, and 54%-with the SM-100 core. For higher values of the input voltage Vin, the highest energy efficiency is ensured by the use of a transformer with the RTN core, and in the range of the low input voltage values Vin a transformer with the SM-100 core.
Figure 4 shows the dependences Vout (Vin) and η (Vin) measured at frequency f = 25 kHz, the duty cycle d = 0.48, and load resistance R0 = 33 Ω.
As can be seen, at R0 = 33 Ω only for the transformer with the RTP core, the monotonically increasing dependence of Vout (Vin) was obtained. In the other cases, the considered dependence has a maximum at voltage Vin equal to about 26 V. The observed character of the considered dependence results from the differences in the course of the magnetization curve for selected cores, which also cause the dependence of the winding inductance on the current of these windings.
In turn, Figure 4b shows that for all the considered transformers, the dependences η (Vin) have a maximum. The highest value of about 70% of the maximum is achieved for the transformer with the SM-100 core. For the remaining transformers, this maximum achieves 53%. The occurrence of this maximum is related to the limitation of the maximum value of the power that can be transferred by each of the considered transformers.
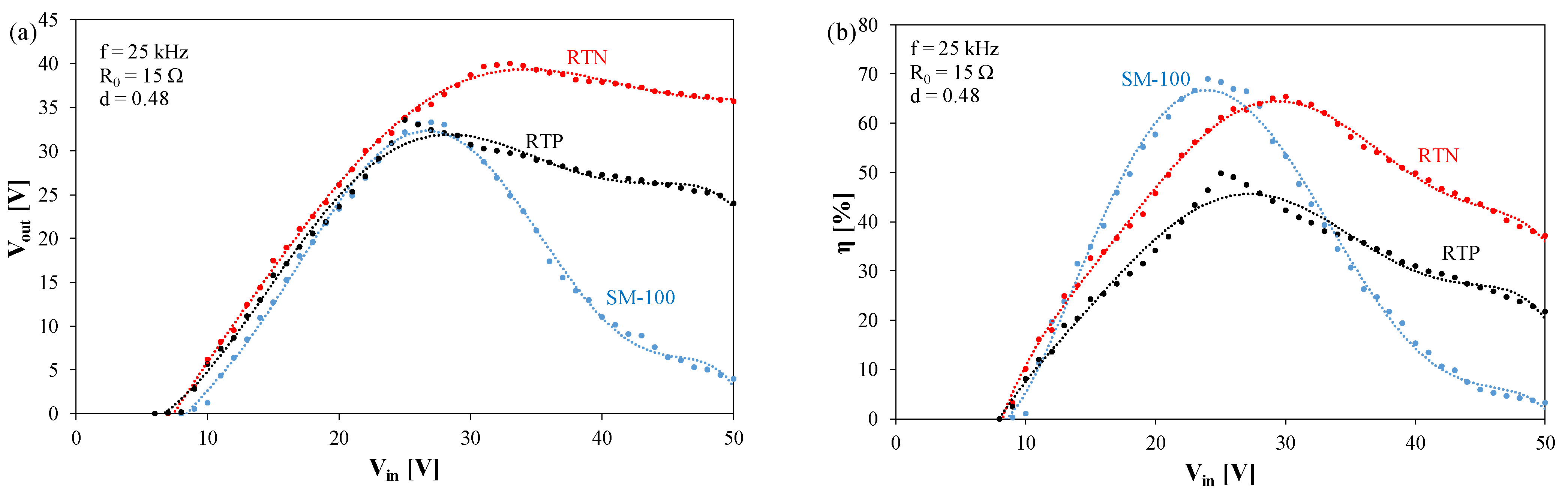
Figure 5 shows the dependences Vout (Vin) and η (Vin) measured at frequency f = 25 kHz, the duty cycle d = 0.48, and load resistance R0 = 15 Ω.
As can be seen in Figure 5a, at a low value of resistance R0, Vout (Vin) characteristics obtained for each of the considered transformers have a maximum, but it is most visible for the transformer with the SM-100 core. For the input voltage Vin < 25 V, the influence of the core material on the output voltage Vout is small, and the obtained values of this voltage do not differ from each other by more than 3 V. In turn, for the highest of the considered input voltage values Vin = 50 V, the highest value of the output voltage Vout was obtained for the transformer with the RTN core. It is seven times higher than for the transformer with the SM-100 core.
Similarly, Figure 5b clearly shows the maxima of the dependences η (Vin) for each of the considered transformers. They occur at voltage Vin in the range from 25 to 30 V. The value of this maximum is the highest for the transformer with the SM-100 core and it exceeds 70%. For higher values of Vin voltage, the highest energy efficiency is obtained using the transformer with the RTN core, and the lowest with the SM-100 core.
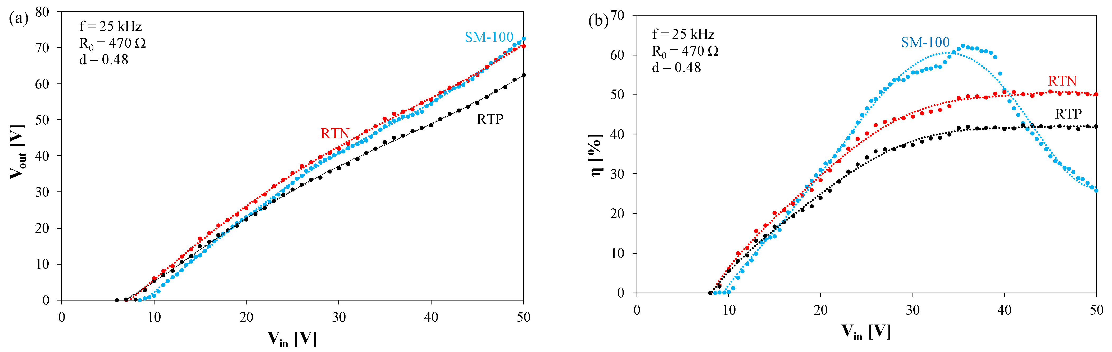
Figure 6 shows the dependences Vout (Vin) and η (Vin) measured at frequency f = 25 kHz, the duty cycle d = 0.48, and load resistance R0 = 470 Ω.
It is visible in Figure 6a that for resistance R0 = 470 Ω, the dependence Vout (Vin) is approximately a linear relationship for all the considered cores. The highest values of the output voltage Vout were obtained for the converter with transformers containing the RTN and SM-100 cores, whereas the lowest were obtained for the converter with the transformer with the RTP core. The differences between the obtained values of the output voltage Vout reach up to 20%.
In Figure 6b, one can observe that the dependence η (Vin) is a monotonically increasing function for a converter with the transformer with RTP and RTN cores, whereas for the SM-100 core, this dependence has a maximum at Vin = 35 V. The obtained energy efficiency values do not exceed 42% for the transformer with the RTP core, 50% with the RTN core and 62% with the SM-100 core. For the input voltage Vin higher than 40 V, the highest energy efficiency is ensured by the use of the transformer with the RTN core, whereas for lower values of this voltage, it is the transformer with the SM-100 core.
Comparing the results presented in Figure 3, Figure 4, Figure 5 and Figure 6, one can observe that both the ferromagnetic material used and load resistance visibly influence the characteristics Vout (Vin) and η (Vin) of the considered DC-DC converter. For higher values of load resistance, the dependences Vout (Vin) are nearly linear, but for lower values they are nonlinear and possess the maxima. The considered characteristics obtained for the RTP core are monotonically increasing functions in the widest range in R0 values. It worth observing that for each considered value of R0 the dependences, Vout (Vin) are linear for all the considered ferromagnetic materials and they lie very close to one another for low values of Vin voltage. This range of Vin voltage is smaller and smaller when the value of R0 decreases. In turn, in the characteristics η (Vin), for all the ferromagnetic materials, a maximum can be observed which moves left when the value of R0 decreases. In a wider range of change in Vin and R0 values, a high value of energy efficiency can be obtained using the RTN core.
In addition, besides the load resistance, the characteristics of the considered converter also depend on the parameters of the control signal.
Figure 7 shows the dependences Vout (Vin) and η (Vin) measured at frequency f = 25 kHz, the value of the duty cycle d = 0.25, and load resistance R0 = 470 Ω.
As can be seen in Figure 7a, for the considered operation and conditions of the full-bridge converter, the transformer core material does not significantly influence the course of Vout (Vin) characteristics. These dependences monotonically increase, and the maximum divergence between the output voltage values Vout obtained with the use of different transformer cores do not exceed 14%.
In turn, in Figure 7b, it can be seen that the dependences η (Vin) obtained for the transformers with the RTP and RTN cores are monotonically increasing functions, which do not practically differ from each other and reach a maximum value of less than 40%. For the SM-100 core, a maximum more than 60% can be seen at voltage Vin = 36 V.
Figure 8 shows the dependences Vout (Vin) and η (Vin) measured at frequency f = 50 kHz, the duty cycle d = 0.48, and load resistance R0 = 470 Ω.
As can be seen in Figure 8a, with an increased frequency of the control signal, the monotonically increasing characteristics Vout (Vin) are obtained. The highest values of voltage Vout were obtained for the transformer with the RTN core.
Figure 8b shows different values of the converter energy efficiency for the value obtained for the transformers with different cores. For the transformers with the RTN and RTP cores, the dependences η (Vin) are monotonically increasing functions, and for the transformer with the SM-100 core, the maximum occurs at Vin = 35 V. For the highest input voltage values Vin, the highest energy efficiency values were obtained for the transformer with the RTN core. The energy efficiency values obtained at f = 50 kHz are higher than the values obtained at f = 25 kHz.
Comparing the results presented in Figure 6, Figure 7 and Figure 8, one can observe that the double change in switching frequency or the duty cycle very slightly influences characteristics Vout (Vin), but a change in the characteristics η (Vin) is visible. For the cores RTN and RTP, a decrease in the duty cycle causes a decrease in energy efficiency, whereas an increase in the frequency value causes a small increase in energy efficiency. For the core SM-100, the changes in the value of energy efficiency are very small.
The presented measurement results prove that the choice of the materials, from which the transformer core is made, significantly influences both the output voltage and the energy efficiency of the full-bridge converter. These differences are particularly noticeable at low values of load resistance R0. Apart from the quantitative differences, one can also see qualitative differences in the shape of the obtained dependences Vout (Vin) and η (Vin).

5. Simulation Results

The measurement results shown in the previous section prove that the selection of the transformer core material can significantly affect the characteristics of the full-bridge converter. The strong influence of the input voltage and load resistance on the output voltage and energy efficiency of the considered converter is also visible. In order to investigate the influence of individual circuit parameters and the parameters of individual components on the properties of the tested DC-DC converter, it is convenient to use computer simulations [32].
This section presents the results of simulation tests of the considered converter made with the use of the SPICE program. In the computer simulations, the scheme of the tested circuit shown in Figure 1 and the models of the power MOS transistor and diodes built-in in the SPICE program were used [33]. The parameter values of these models were taken from the websites of the manufacturers of these components [34]. The passive elements were described with the use of linear models with the values given in the description of Figure 1. Each transistor is controlled from a voltage source generating a sequence of rectangular pulses with given values of frequency and the duty cycle.
The results presented in this section were determined for the converter with the transformer containing the powdered iron RTP core. First, calculations were performed for the classical transformer model in the form of linear coupled coils. The following values of the inductance of these coils were used in the calculations: L1 = 70 μH, L2 = L3 = 157.5 μH and the coupling factor equal to 0.99. The calculated (lines) and measured (points) characteristics of Vout (Vin) and η (Vin) of the considered converter for the presented transformer model are shown in Figure 9.
Figure 9a shows that when using the ideal transformer model, the calculation results significantly different from the measurement results are obtained. The calculated Vout (Vin) characteristics are linear functions, whose slope slightly decreases as the load resistance value decreases. Particularly big differences between the results of calculations and measurements occur at low values of voltage Vin and at a low value of resistance R0.
In Figure 9b, it can be seen that the use of an ideal transformer model in the calculations causes significant errors in the calculations of the energy efficiency of the considered converter. In particular, for the lowest of the considered load resistance values, the calculated energy efficiency values are up to three times higher than the measurement results. Apart from the quantitative differences, there are also qualitative differences between the calculated and measured dependences η (Vin). In particular, it is worth noting that the calculations obtain the efficiency exceeding 90% over a wide range of Vin voltage variations, whereas the maximum measured value of this efficiency slightly exceeds 50%.
The results of calculations and measurements presented in Figure 9 clearly show that the application of the ideal transformer model in computer analyses of the full-bridge converter does not allow for obtaining reliable results. Therefore, the authors proposed a modification of the transformer model by taking into account undesirable phenomena, which are the source of power losses in this element [15,17]. The equivalent diagram of the modified transformer model is shown in Figure 10.
This model takes into account the dependence of the inductance of individual transformer windings (L1, L2 and L3) on the average value of the current of these windings. These inductances are an increasing function of the load resistance of the converter. The values of these inductances at the load resistance tending to infinity are calculated on the basis of the value of parameter AL of the used core and the number of turns in each winding. Furthermore, the value of the coupling coefficient between each pair of the windings was made depending on the input voltage and the load resistance of the DC-DC converter. RC resistor represents the core loss. The value of this resistance depends on the load resistance of the tested converter. The value of this resistor strongly decreases when the load resistance of the converter decreases and it decreases in the range from 1 kΩ to about 10 Ω. If the simulations are performed at variable load resistances, this resistor should be replaced by the controlled current source of the output current depending on the converter output current. Resistor Rp represents the resistance of the primary winding and inductor LP represents the dissipated inductance of this winding. The controlled current source GP represents the no-load current of the transformer. The source current is a decreasing function of the input voltage and the load current. Of course, the values of the parameters occurring in the described model are different for each ferromagnetic core.
Using the presented transformer model, the dependences of the output voltage of the tested DC-DC converter and its energy efficiency were calculated on the input voltage at selected values of load resistance. The obtained calculation results (solid lines) were compared with the measurement results (points) in Figure 11.
As can be seen, the use of the modified transformer model made it possible to significantly improve the accuracy of the calculations compared with the results obtained using the ideal transformer model shown in Figure 9.
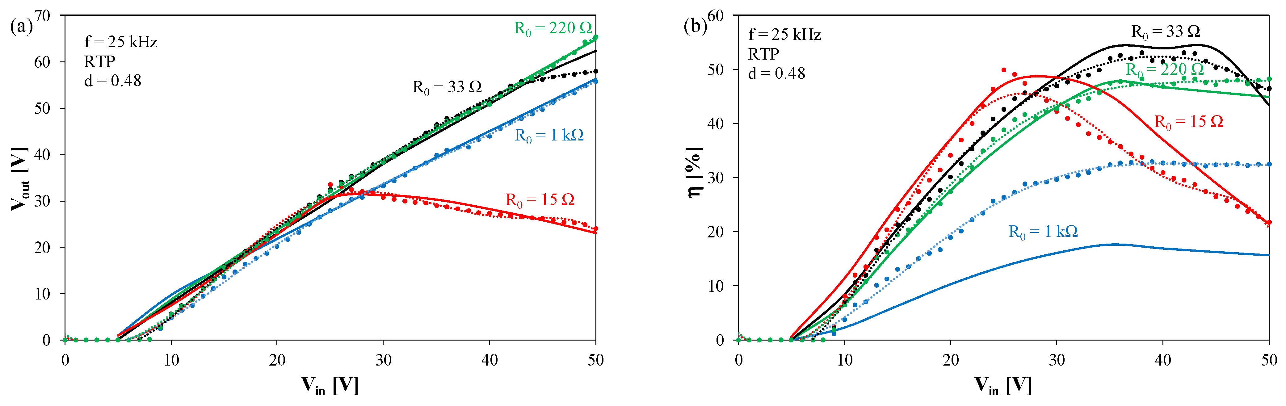
In Figure 11a, it can be seen that depending on the value of resistance R0, different shapes of the characteristic Vout (Vin) are obtained. In the range of low voltage Vin, the no-load current has a significant impact on the considered characteristics. In turn, in the range of high voltage Vin and low load resistances, a decrease in the value of the output voltage occurs due to the limitation of the power value that can be transmitted by the transformer. Modeling this phenomenon is possible using the dependence of the coupling coefficient between the windings on the input voltage and resistance R0. Taking into account the non-ideality of the transformer also allowed for the correct description of the shape of the η (Vin) characteristics. It was shown that the highest value of the maximum efficiency was obtained with load resistance R0 = 33 Ω.
Figure 12 illustrates the measured and simulated characteristics of the considered DC-DC converters operating at f = 25 kHz, d = 0.48, R0 = 220 Ω, and different cores of the transformer.
As is visible, a good agreement between the results of measurements and simulations is obtained for all cores. In the considered, operating conditions and the characteristics Vout (Vin) are monotonically increasing functions. Due to the biggest power losses in the RTP core, the values of the output voltage obtained for the converter with the transformer with this core are the lowest. In turn, the dependences η (Vin) have the maxima. The largest of them is obtained for the SM-100 core. At the selected value of load resistance, the high value of the output voltage and a high value of energy efficiency in a wide range of the input voltage can be obtained for the transformer with the RTN core.

6. Conclusions

The paper considers the problem of the influence of the ferromagnetic material used in the transformer contained in the full-bridge DC-DC converter on the characteristics of this converter. The measurements illustrating the influence of the input voltage and load resistance of the considered converter on its output voltage and energy efficiency were performed. The investigations were carried out for three different transformers with the same winding structure and different cores made of powdered iron, ferrite, and nanocrystalline material. It was proven that non-idealities of the transformer core can strongly influence the characteristics of full-bridge DC-DC converters. Additionally, in contrast to the classical models, the model of a transformer described in this article makes it possible to properly calculate the characteristics of the considered DC-DC converter.
The performed measurements showed that the material used for the transformer core significantly influences the obtained values of the output voltage and the energy efficiency of the bridge converter. There are also visible differences in the shape of the Vout (Vin) and η (Vin) characteristics. In a wide range of changes of load resistance and the output voltage, the most advantageous properties were shown by the converter containing the transformer with the nanocrystalline core. On the other hand, in the narrow range of the input voltage changes, the highest efficiency was achieved for the transformer with the ferrite core. Particularly visible differences between the output voltage values obtained for the converters containing different transformer cores occur at the low load resistance values. These differences are even sevenfold. Similarly, there are clear differences between the energy efficiency values of the considered converter, which can be even five times higher.
The computer simulations carried out with the use of the ideal transformer model and models embedded in the SPICE program of the other components showed that such simplified, but often used, calculations give significantly different results than the measurement results. The observed differences are not only quantitative, but also qualitative. The modified transformer model proposed by the authors made it possible to obtain a good agreement between the calculated and measured Vout (Vin) and η (Vin) characteristics. To achieve this compliance, it was necessary to take into account such non-idealities of the transformer as the dependence of the winding coupling coefficient on the input voltage and load resistance, taking into account at the same time the no-load current and resistances modeling the losses in the core and the primary winding.
The results of the investigations presented in this paper may be useful for designers of switch-mode power converter systems. In further work, the authors will develop a universal transformer model dedicated to the analysis of the considered class of converters which will take into account the properties of the magnetic materials used.

Author Contributions

Conceptualization, K.G. and K.D.; methodology, K.G. and K.D.; measurements, K.K.; computations, K.G. and K.D.; resources, K.G., K.D. and K.K.; writing—original draft preparation, K.G. and K.D.; writing—review and editing, K.G. and K.D.; visualization, K.G. and K.D.; supervision, K.G. All authors have read and agreed to the published version of the manuscript.

Funding

Project financed in the framework of the program by Ministry of Science and Higher Education called “Regionalna Inicjatywa Doskonałości” in the years 2019–2022, project number 006/RID/2018/19, the sum of financing 11,870,000 PLN.

Institutional Review Board Statement

Not applicable.

Informed Consent Statement

Not applicable.

Data Availability Statement

Data available for request.

Conflicts of Interest

The authors declare no conflict of interest.

References

  1. Rashid, M.H. Power Electronic Handbook; Academic Press: Cambridge, MA, USA, 2007. [Google Scholar]
  2. Janke, W. Impulsowe Przetwornice Napięcia Stałego; Wydawnictwo uczelniane Politechniki Koszalińskiej: Koszalin, Poland, 2014. [Google Scholar]
  3. Billings, K.; Morey, T. Switch-Mode Power Supply Handbook; McGraw-Hill: New York, NY, USA, 2011. [Google Scholar]
  4. Ericson, R.; Maksimovic, D. Fundamentals of Power Electronics; Kluwer Academic Publisher: Norwell, MA, USA, 2001. [Google Scholar]
  5. Basso, C. Switch-Mode Power Supply SPICE Cookbook; McGraw-Hill: New York, NY, USA, 2001. [Google Scholar]
  6. Mohan, N.; Undeland, T.M.; Robbins, W.P. Power Electronics: Converters, Applications, and Design, 3rd ed.; Wiley: Hoboken, NJ, USA, 2003. [Google Scholar]
  7. Ademulegun, O.O.; Moreno Jaramillo, A.F. Power conversion in a grid-connected residential PV system with energy storage using fuzzy-logic controls. Int. Trans. Electr. Energy Syst. 2020, 30, e12659. [Google Scholar] [CrossRef]
  8. Detka, K.; Górecki, K. Influence of the Size and Shape of Magnetic Core on Thermal Parameters of the Inductor. Energies 2020, 13, 3842. [Google Scholar] [CrossRef]
  9. Detka, K.; Górecki, K. Influence of the size and the material of the magnetic core on thermal properties of the inductor. Microelectron. Reliab. 2022, 129, 114458. [Google Scholar] [CrossRef]
  10. Detka, K.; Górecki, K. Wpływ samonagrzewania w dławiku na charakterystyki przetwornicy typu boost. Przegląd Elektrotechniczny 2014, 90, 19–21. [Google Scholar]
  11. Górecki, K.; Detka, K.; Zarębski, J.A. Wierszyło: Wpływ rdzenia dławika na charakterystyki przetwornicy Buck. Przegląd Elektrotechniczny 2016, 92, 137–139. [Google Scholar]
  12. Tumański, S. Handbook of Magnetic Measurements; Taylor and Francis Group: Boca Raton, FL, USA, 2011. [Google Scholar]
  13. Ghadimi, H.; Rastegar, A. Keyhani: Development of Average Model for Control of a Full Bridge PWM DC-DC Converter. Eng. J. Iran. Assoc. Electr. Electron. Engineers 2007, 4, 52–59. [Google Scholar]
  14. Ekici, A.; Najafi, F. Dirisaglik: 600W DC-DC Converter Design Using Flyback, Half Bridge, Full Bridge LLC Topologies and Comparison of Simulation Results. Eurasia Proc. Sci. Technol. Eng. Math. 2021, 16, 219–224. [Google Scholar] [CrossRef]
  15. Górecki, K.; Detka, K.; Górski, K. Compact thermal model of pulse transformer taking into account nonlinearity of heat transfer. Energies 2020, 13, 2766. [Google Scholar] [CrossRef]
  16. Van den Bossche, A.; Valchev, V. Inductor and Transformers for Power Electronic; CRC Press: Boca Raton, FL, USA, 2005. [Google Scholar]
  17. Górecki, K.; Godlewska, M. Modelling characteristics of the impulse transformer in a wide frequency range. Int. J. Circuit Theory Appl. 2020, 48, 750–761. [Google Scholar] [CrossRef]
  18. Wilson, P.R.; Ross, J.N.; Brown, A.D. Simulation of magnetics components models in electrics circuits including dynamic thermal effects. IEEE Trans. Power Electr. 2002, 17, 55–65. [Google Scholar] [CrossRef]
  19. Lullo, G.; Sciere, D.; Vitale, G. Non-linear inductor modelling for a DC/DC Buck converter. In Proceedings of the International Conference on Renewable Energies and Power Quality (ICREPQ’17), Malaga, Spain, 21–25 March 2017. [Google Scholar] [CrossRef]
  20. Kazimierczuk, M. High-Frequency Magnetic Components; Wiley: Hoboken, NJ, USA, 2014. [Google Scholar]
  21. Maksimovic, D. Automatem steady-state analysis of switching power converters using a general-purpose simulation tool. In Proceedings of the IEEE Power Electronics Specialists Conference PESC, St. Louis, MO, USA, 27 June 1997; Volume 2, pp. 1352–1358. [Google Scholar]
  22. Górecki, K.; Zarębski, J. Electrothermal analysis of the self-excited push-pull dc-dc converter. Microelectron. Reliab. 2009, 49, 424–430. [Google Scholar] [CrossRef]
  23. Huang, B.; Hu, M.; Chen, L.; Jin, G.; Liao, S.; Fu, C.; Wang, D.; Cao, K. A Novel Electro-Thermal Model of Lithium-Ion Batteries Using Power as the Input. Electronics 2021, 10, 2753. [Google Scholar] [CrossRef]
  24. Górecki, K.; Detka, K. Electrothermal model of choking-coils for the analysis of dc-dc converters. Mater. Sci. Eng. B 2012, 177, 1248–1253. [Google Scholar] [CrossRef]
  25. Iqbal, M.T.; Maswood, A.I.; Tariq, M.; Iqbal, A.; Verma, V.; Urooj, S. A Detailed Full-Order Discrete-Time Modeling and Stability Prediction of the Single-Phase Dual Active Bridge DC-DC Converter. IEEE Access 2022, 10, 31868–31884. [Google Scholar] [CrossRef]
  26. IRF540 Datasheet. Available online: https://pdf1.alldatasheet.com/datasheet-pdf/view/17799/PHILIPS/IRF540.html (accessed on 5 July 2022).
  27. MBR10100 Datasheet. Available online: https://www.alldatasheet.com/datasheet-pdf/pdf/3128/MOTOROLA/MBR10100.html (accessed on 5 July 2022).
  28. IR2111 Datasheet. Available online: https://www.alldatasheet.com/datasheet-pdf/pdf/68060/IRF/IR2111.html (accessed on 5 July 2022).
  29. SM-100 Material Parameters. Available online: https://en.aet.com.pl/Shop/Type/ProductDetails/ProductID/R-040-0003/ProductName/Toroidal-ferrite-core-R40-24-16-SM-100-OR40X16-24HC-coated-RoHS (accessed on 5 July 2022).
  30. RTN M-074 Material Parameters. Available online: https://feryster.pl/rdzenie-rtn (accessed on 5 July 2022).
  31. RTP Material Parameters. Available online: https://feryster.pl/rdzenie-proszkowe-rtp (accessed on 5 July 2022).
  32. Górecki, P.; Górecki, K. Methods of Fast Analysis of DC–DC Converters—A Review. Electronics 2021, 10, 2920. [Google Scholar] [CrossRef]
  33. Wilamowski, B.; Jager, R.C. Computerized Circuit Analysis Using SPICE Programs; McGraw-Hill: New York, NY, USA, 1997. [Google Scholar]
  34. SPICE Models, Mouser Electronics. Available online: https://eu.mouser.com/ProductDetail/onsemi/MBR10100?qs=3JMERSakeboFOtFAhNHcug%3D%3D (accessed on 18 July 2022).
Figure 1. Diagram of the investigated full-bridge converter.
Figure 1. Diagram of the investigated full-bridge converter.
Energies 15 06160 g001
Figure 2. Toroidal transformers with the cores made of (a) SM-100, (b) RTN, (c) RTP.
Figure 2. Toroidal transformers with the cores made of (a) SM-100, (b) RTN, (c) RTP.
Energies 15 06160 g002
Figure 3. Measured dependences of the output voltage (a) and energy efficiency (b) of the tested DC-DC converter on its input voltage at R0 = 1 kΩ.
Figure 3. Measured dependences of the output voltage (a) and energy efficiency (b) of the tested DC-DC converter on its input voltage at R0 = 1 kΩ.
Energies 15 06160 g003
Figure 4. Measured dependences of the output voltage (a) and energy efficiency (b) of the tested DC-DC converter on its input voltage at R0 = 33 Ω.
Figure 4. Measured dependences of the output voltage (a) and energy efficiency (b) of the tested DC-DC converter on its input voltage at R0 = 33 Ω.
Energies 15 06160 g004
Figure 5. Measured dependences of the output voltage (a) and energy efficiency (b) of the tested DC-DC converter on its input voltage at R0 = 15 Ω.
Figure 5. Measured dependences of the output voltage (a) and energy efficiency (b) of the tested DC-DC converter on its input voltage at R0 = 15 Ω.
Energies 15 06160 g005
Figure 6. Measured dependences of the output voltage (a) and energy efficiency (b) of the tested DC-DC converter on its input voltage at R0 = 470 Ω and d = 0.48.
Figure 6. Measured dependences of the output voltage (a) and energy efficiency (b) of the tested DC-DC converter on its input voltage at R0 = 470 Ω and d = 0.48.
Energies 15 06160 g006
Figure 7. Measured dependences of the output voltage (a) and energy efficiency (b) of the tested DC-DC converter on its input voltage at R0 = 470 Ω and d = 0.25.
Figure 7. Measured dependences of the output voltage (a) and energy efficiency (b) of the tested DC-DC converter on its input voltage at R0 = 470 Ω and d = 0.25.
Energies 15 06160 g007
Figure 8. Measured dependences of the output voltage (a) and energy efficiency (b) of the tested DC-DC converter on its input voltage at f = 50 kHz and R0 = 470 Ω.
Figure 8. Measured dependences of the output voltage (a) and energy efficiency (b) of the tested DC-DC converter on its input voltage at f = 50 kHz and R0 = 470 Ω.
Energies 15 06160 g008
Figure 9. Measured and computed simulated with the model of an ideal transformer dependences of the output voltage (a) and energy efficiency (b) of the tested DC-DC converter on its input voltage at f = 25 kHz.
Figure 9. Measured and computed simulated with the model of an ideal transformer dependences of the output voltage (a) and energy efficiency (b) of the tested DC-DC converter on its input voltage at f = 25 kHz.
Energies 15 06160 g009
Figure 10. Network representation of the modified model of the transformer.
Figure 10. Network representation of the modified model of the transformer.
Energies 15 06160 g010
Figure 11. Measured and computed simulated with the proposed model of the transformer dependences of the output voltage (a) and energy efficiency (b) of the tested DC-DC converter on its input voltage at f = 25 kHz.
Figure 11. Measured and computed simulated with the proposed model of the transformer dependences of the output voltage (a) and energy efficiency (b) of the tested DC-DC converter on its input voltage at f = 25 kHz.
Energies 15 06160 g011
Figure 12. Measured and simulated with the proposed model of the transformer dependences of the output voltage (a) and energy efficiency (b) of the tested DC-DC converter on its input voltage at f = 25 kHz and R0 = 220 Ω.
Figure 12. Measured and simulated with the proposed model of the transformer dependences of the output voltage (a) and energy efficiency (b) of the tested DC-DC converter on its input voltage at f = 25 kHz and R0 = 220 Ω.
Energies 15 06160 g012
Table 1. Selected material parameters of the used ferromagnetic cores.
Table 1. Selected material parameters of the used ferromagnetic cores.
Parameters
MaterialBsat [T]TC [°C]µiPV [kW/m3]AL [nH]
SM-1000.4112010,000No data10,200
RTN1.260080,00037 @ Bm = 0.3 T,
f = 25 kHz
30,000–102,000
RTP1.38250756500 @ Bm = 0.3 T,
f = 25 kHz
70
Publisher’s Note: MDPI stays neutral with regard to jurisdictional claims in published maps and institutional affiliations.

Share and Cite

MDPI and ACS Style

Górecki, K.; Detka, K.; Kaczerski, K. The Influence of the Transformer Core Material on the Characteristics of a Full-Bridge DC-DC Converter. Energies 2022, 15, 6160. https://doi.org/10.3390/en15176160

AMA Style

Górecki K, Detka K, Kaczerski K. The Influence of the Transformer Core Material on the Characteristics of a Full-Bridge DC-DC Converter. Energies. 2022; 15(17):6160. https://doi.org/10.3390/en15176160

Chicago/Turabian Style

Górecki, Krzysztof, Kalina Detka, and Krystian Kaczerski. 2022. "The Influence of the Transformer Core Material on the Characteristics of a Full-Bridge DC-DC Converter" Energies 15, no. 17: 6160. https://doi.org/10.3390/en15176160

APA Style

Górecki, K., Detka, K., & Kaczerski, K. (2022). The Influence of the Transformer Core Material on the Characteristics of a Full-Bridge DC-DC Converter. Energies, 15(17), 6160. https://doi.org/10.3390/en15176160

Note that from the first issue of 2016, this journal uses article numbers instead of page numbers. See further details here.

Article Metrics

Back to TopTop