A Predicting Model for the Effective Thermal Conductivity of Anisotropic Open-Cell Foam
Abstract
:1. Introduction
2. A Predicting Model for the Anisotropic ETCs of Open-Cell Metal Foams
2.1. Geometrical Model
2.2. Effective Thermal Conductivity Model of Open-Cell Metal Foams
2.3. Morphological Characterization of Foam Structures
3. Numerical Simulations for Validation
3.1. Computational Model
3.2. Mathematical Model
3.3. Code Verification
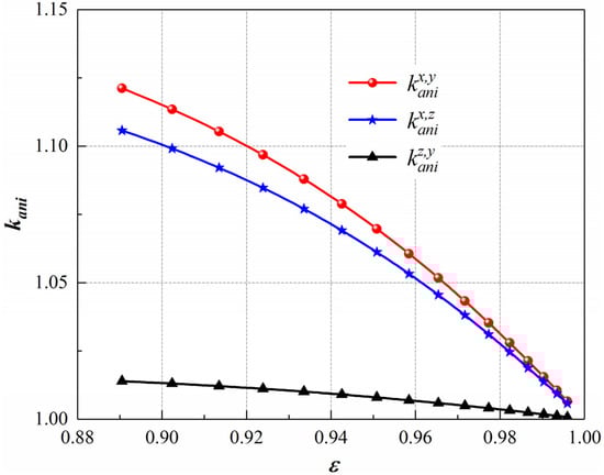
4. Discussions for the Anisotropic Model of Effective Thermal Conductivity
4.1. Comparison with Numerical Result
4.2. The Influence of Porosity and Relative Thermal Conductivity
5. Conclusions
Author Contributions
Funding
Institutional Review Board Statement
Informed Consent Statement
Data Availability Statement
Acknowledgments
Conflicts of Interest
References
- Ferrari, L.; Barbato, M.; Esser, B.; Petkov, I.; Kuhn, M.; Gianella, S.; Barcena, J.; Jimenez, C.; Francesconi, D.; Liedtke, V.; et al. Sandwich structured ceramic matrix composites with periodic cellular ceramic cores: An active cooled thermal protection for space vehicles. Compos. Struct. 2016, 154, 61–68. [Google Scholar] [CrossRef]
- Yang, H.; Li, Y.; Yang, Y.; Chen, D.; Zhu, Y. Effective thermal conductivity of high porosity open-cell metal foams. Int. J. Heat Mass Transf. 2020, 147, 118974. [Google Scholar] [CrossRef]
- Tao, Y.B.; He, Y.L. A review of phase change material and performance enhancement method for latent heat storage system. Renew. Sustain. Energy Rev. 2018, 93, 245–259. [Google Scholar] [CrossRef]
- Ranut, P. On the effective thermal conductivity of aluminum metal foams: Review and improvement of the available empirical and analytical models. Appl. Therm. Eng. 2016, 101, 496–524. [Google Scholar] [CrossRef]
- Andreozzi, A.; Bianco, N.; Iasiello, M.; Naso, V. Numerical study of metal foam heat sinks under uniform impinging flow. J. Phys. Conf. Ser. 2017, 796, 012002. [Google Scholar] [CrossRef]
- Gibson, L.J.; Ashby, M.F. Cellular Solids: Structure and Properties; Cambridge University Press: Cambridge, UK, 1999. [Google Scholar]
- Gong, L.; Kyriakides, S.; Jang, W.Y. Compressive response of open-cell foams. Part I: Morphology and elastic properties. Int. J. Solids Struct. 2005, 42, 1355–1379. [Google Scholar] [CrossRef]
- Perrot, C.; Panneton, R.; Olny, X. Periodic unit cell reconstruction of porous media:application to open-cell aluminum foams. J. Appl. Phys. 2007, 101, 113538. [Google Scholar] [CrossRef] [Green Version]
- Jang, W.Y.; Kraynik, A.M.; Kyriakides, S. On the microstructure of open-cell foams and its effect on elastic properties. Int. J. Solids Struct. 2008, 45, 1845–1875. [Google Scholar] [CrossRef] [Green Version]
- Manonukul, A.; Srikudvien, P.; Tange, M.; Puncreobutr, C. Geometry anisotropy and mechanical property isotropy in titanium foam fabricated by replica impregnation method. Mater. Sci. Eng. A Struct. Mater. Prop. Misrostruct. Process. 2016, 655, 388–395. [Google Scholar] [CrossRef]
- Huber, A.T.; Gibson, L.J. Anisotropy of foams. J. Mater. Sci. 1988, 23, 3031–3040. [Google Scholar] [CrossRef]
- Oliviero, M.; Cunsolo, S.; Bianco, N.; Naso, V.; William, H. Numerical analysis of heat transfer and pressure drop in metal foams for different morphological models. J. Heat Transf. 2014, 136, 112601. [Google Scholar]
- Iasiello, M.; Bianco, N.; Chiu, W.K.S.; Naso, V. Anisotropy effects on convective heat transfer and pressure drop in Kelvin’s open-cell foams. J. Phys. Conf. 2017, 923, 012035. [Google Scholar] [CrossRef]
- Iasiello, M.; Bianco, N.; Chiu, W.K.S.; Naso, V. Anisotropic convective heat transfer in open-cell metal foams: Assessment and correlations. Int. J. Heat Mass Transf. 2020, 154, 119682. [Google Scholar] [CrossRef]
- Bodla, K.K.; Murthy, J.Y.; Garimella, S.V. Microtomography-based simulation of transport through open-cell metal foams. Numer. Heat Transf. Part A Appl. 2010, 58, 527–544. [Google Scholar] [CrossRef] [Green Version]
- Amani, Y.; Takahashi, A.; Chantrenne, P.; Maruyama, S.; Dancette, S.; Maire, E. Thermal conductivity of highly porous metal foams: Experimental and image based finite element analysis. Int. J. Heat Mass Transf. 2018, 122, 1–10. [Google Scholar] [CrossRef]
- Iasiello, M.; Bianco, N.; Chiu, W.K.S.; Naso, V. Thermal conduction in open-cell metal foams: Anisotropy and Representative Volume Element. Int. J. Therm. Sci. 2018, 137, 399–409. [Google Scholar] [CrossRef]
- Boomsma, K.; Poulikakos, D. Corrigendum for the paper: K. Boomsma, D. Poulikakos, “On the effective thermal conductivity of a three-dimensionally structured fluid-saturated metal foam” [International Journal of Heat and Mass Transfer, 44 (2001) 827–836]. Int. J. Heat Mass Transf. 2011, 54, 746–748. [Google Scholar] [CrossRef]
- Kumar, P.; Topin, F. Impact of anisotropy on geometrical and thermal conductivity of metallic foam structures. J. Porous Media 2015, 18, 949–970. [Google Scholar] [CrossRef]
- Wang, X.; Zheng, J.; Chen, H. A prediction model for the effective thermal conductivity of mono-sized pebble beds. Fusion Eng. Des. 2016, 103, 136–151. [Google Scholar] [CrossRef]
- Dai, Z.; Nawaz, Y.K.; Park, G.; Bock, J.; Jacobi, A.M. Correcting and extending the Boomsma–Poulikakos effective thermal conductivity model for three-dimensional fluid-saturated metal foams. Int. Commun. Heat Mass Transf. 2010, 37, 575–580. [Google Scholar] [CrossRef]
- Yao, Y.; Wu, H.; Liu, Z. A new prediction model for the effective thermal conductivity of high porosity open-cell metal foams. Int. J. Therm. Sci. 2015, 97, 56–67. [Google Scholar] [CrossRef]
- Mendes, M.A.A.; Ray, S.; Trimis, D. A simple and efficient method for the evaluation of effective thermal conductivity of open-cell foam-like structures. Int. J. Heat Mass Transf. 2013, 66, 412–422. [Google Scholar] [CrossRef]
- Wang, G.; Wei, G.; Xu, C.; Xing, J.; Du, X. Numerical simulation of effective thermal conductivity and pore-scale melting process of PCMs in foam metals. Appl. Therm. Eng. 2019, 147, 464–472. [Google Scholar] [CrossRef]
- Thomson, W. On the division of space with minimum partitional area. Philos. Mag. 1887, 5, 503–514. [Google Scholar] [CrossRef] [Green Version]
- Kanaun, S.; Tkachenko, O. Effective conductive properties of open-cell foams. Int. J. Eng. Sci. 2008, 46, 551–571. [Google Scholar] [CrossRef]
- Schindelin, J.; Arganda, C.I.; Frise, E.; Kaynig, V.; Longair, M.; Pietzsch, T.; Preibisch, S.; Rueden, C.; Saalfeld, S.; Schmid, B. Fiji: An open-source platform for biological-image analysis. Nat. Methods 2012, 9, 676. [Google Scholar] [CrossRef] [PubMed] [Green Version]
- Ngo, I.L.; Byon, C. A generalized correlation for predicting the thermal conductivity of composite materials. Int. J. Heat Mass Transf. 2015, 83, 408–415. [Google Scholar] [CrossRef]
- Möller, T.; Trumbore, B. Fast, Minmum Storage Ray/Triangle Intersection. J. Graph. Tools 1997, 2, 21–28. [Google Scholar] [CrossRef]











| Direction | Number | Average Feret Diameters (×10−3 m) |
|---|---|---|
| x | 133 | 7.95 |
| y | 291 | 5.36 |
| z | 158 | 5.67 |
| Parameter | AFD (×10−3 m) | GFD (×10−3 m) | Relative Difference |
|---|---|---|---|
| 7.95 | 8.47 | 6.54% | |
| 5.36 | 5.88 | 9.70% | |
| 5.67 | 6.14 | 8.29% | |
| 1.4832 | 1.4405 | 2.87% | |
| 1.4021 | 1.3795 | 1.61% | |
| 1.0578 | 1.0442 | 1.28% |
| AFD | GFD | Relative Difference | ||
|---|---|---|---|---|
| The absolute values of ETCs | 0.14965 | 0.14918 | 0.31% | |
| 0.13604 | 0.13653 | 0.36% | ||
| 0.13761 | 0.13775 | 0.10% | ||
| The anisotropies of ETCs | 1.10004 | 1.09271 | 0.67% | |
| 1.08749 | 1.08298 | 0.41% | ||
| 1.01154 | 1.00898 | 0.25% |
| Numerical Results | Theoretical Results | Relative Error | ||
|---|---|---|---|---|
| kr = 10 | 0.15101 | 0.14965 | 0.90% | |
| 0.13856 | 0.13604 | 1.82% | ||
| 0.14163 | 0.13761 | 2.84% | ||
| 1.08985 | 1.10004 | 0.94% | ||
| 1.06623 | 1.08749 | 1.99% | ||
| 1.02216 | 1.01154 | 1.03% | ||
| kr = 100 | 0.05371 | 0.06100 | 13.57% | |
| 0.04110 | 0.04513 | 9.80% | ||
| 0.04285 | 0.04695 | 9.56% | ||
| 1.30681 | 1.35165 | 3.43% | ||
| 1.25344 | 1.29926 | 3.65% | ||
| 1.04258 | 1.04033 | 0.22% |
Publisher’s Note: MDPI stays neutral with regard to jurisdictional claims in published maps and institutional affiliations. |
© 2022 by the authors. Licensee MDPI, Basel, Switzerland. This article is an open access article distributed under the terms and conditions of the Creative Commons Attribution (CC BY) license (https://creativecommons.org/licenses/by/4.0/).
Share and Cite
Zhang, C.; Kong, X.; Wang, X.; Du, Y.; Xiao, G. A Predicting Model for the Effective Thermal Conductivity of Anisotropic Open-Cell Foam. Energies 2022, 15, 6091. https://doi.org/10.3390/en15166091
Zhang C, Kong X, Wang X, Du Y, Xiao G. A Predicting Model for the Effective Thermal Conductivity of Anisotropic Open-Cell Foam. Energies. 2022; 15(16):6091. https://doi.org/10.3390/en15166091
Chicago/Turabian StyleZhang, Chao, Xiangzhuang Kong, Xian Wang, Yanxia Du, and Guangming Xiao. 2022. "A Predicting Model for the Effective Thermal Conductivity of Anisotropic Open-Cell Foam" Energies 15, no. 16: 6091. https://doi.org/10.3390/en15166091
APA StyleZhang, C., Kong, X., Wang, X., Du, Y., & Xiao, G. (2022). A Predicting Model for the Effective Thermal Conductivity of Anisotropic Open-Cell Foam. Energies, 15(16), 6091. https://doi.org/10.3390/en15166091
