Effects of Curing Pressure on the Long-Term Strength Retrogression of Oil Well Cement Cured under 200 °C
Abstract
:1. Introduction
2. Materials and Methods
2.1. Raw Materials
2.2. HPHT Cured Samples Formulation Design and Preparation
2.3. Test Methods
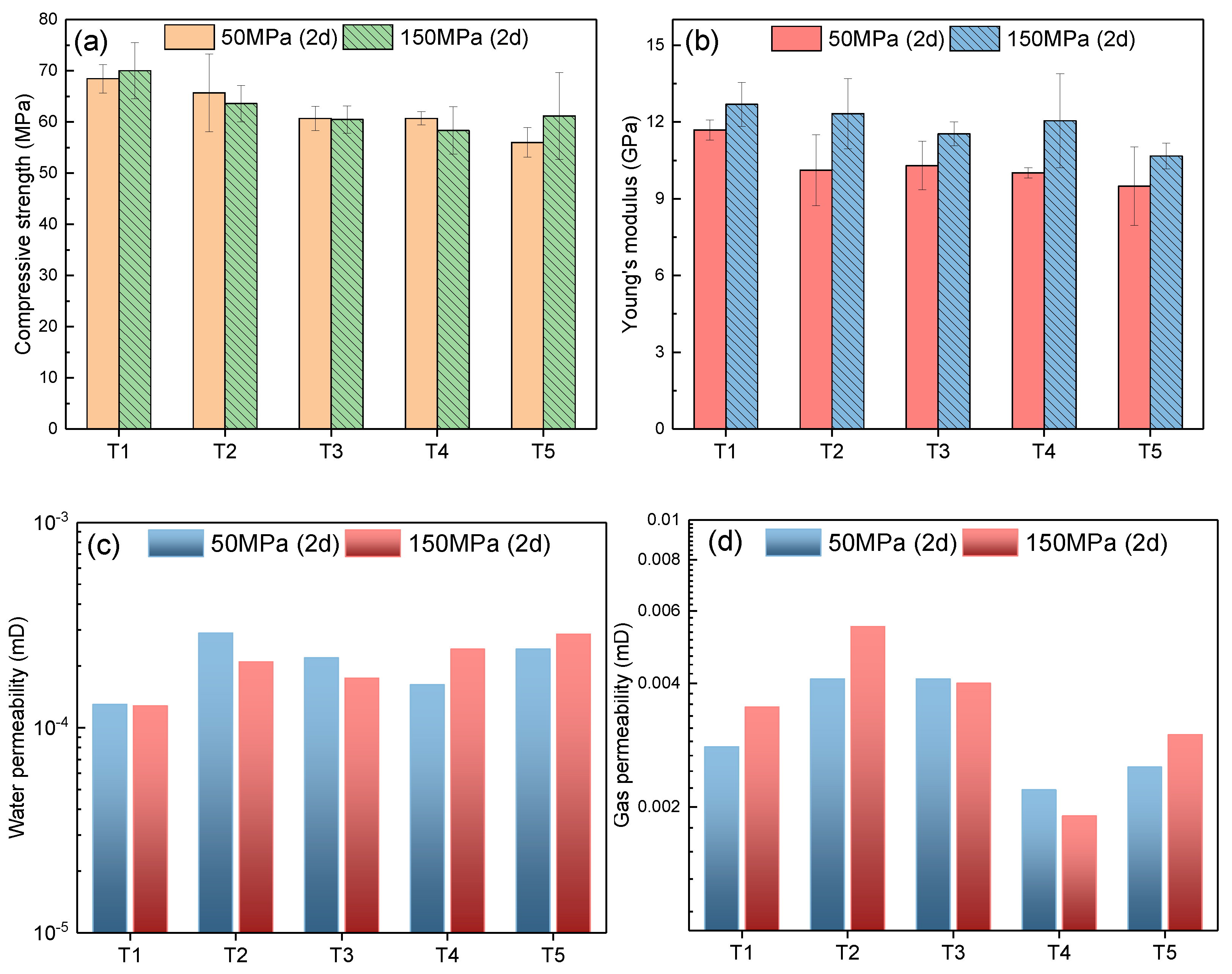
3. Macroscopic and Microscopic Analyses of Samples Cured under 50 and 150 MPa
3.1. Test Results of Samples Cured under 50 MPa
3.2. Test Results of Samples Cured under 150 MPa
4. Influences of Various Experimental Factors on Test Results
4.1. Influences of Specimen Size and Quantity on MIP Results
4.2. Influence of Drying Condition on Mechanical Properties of Set Cement
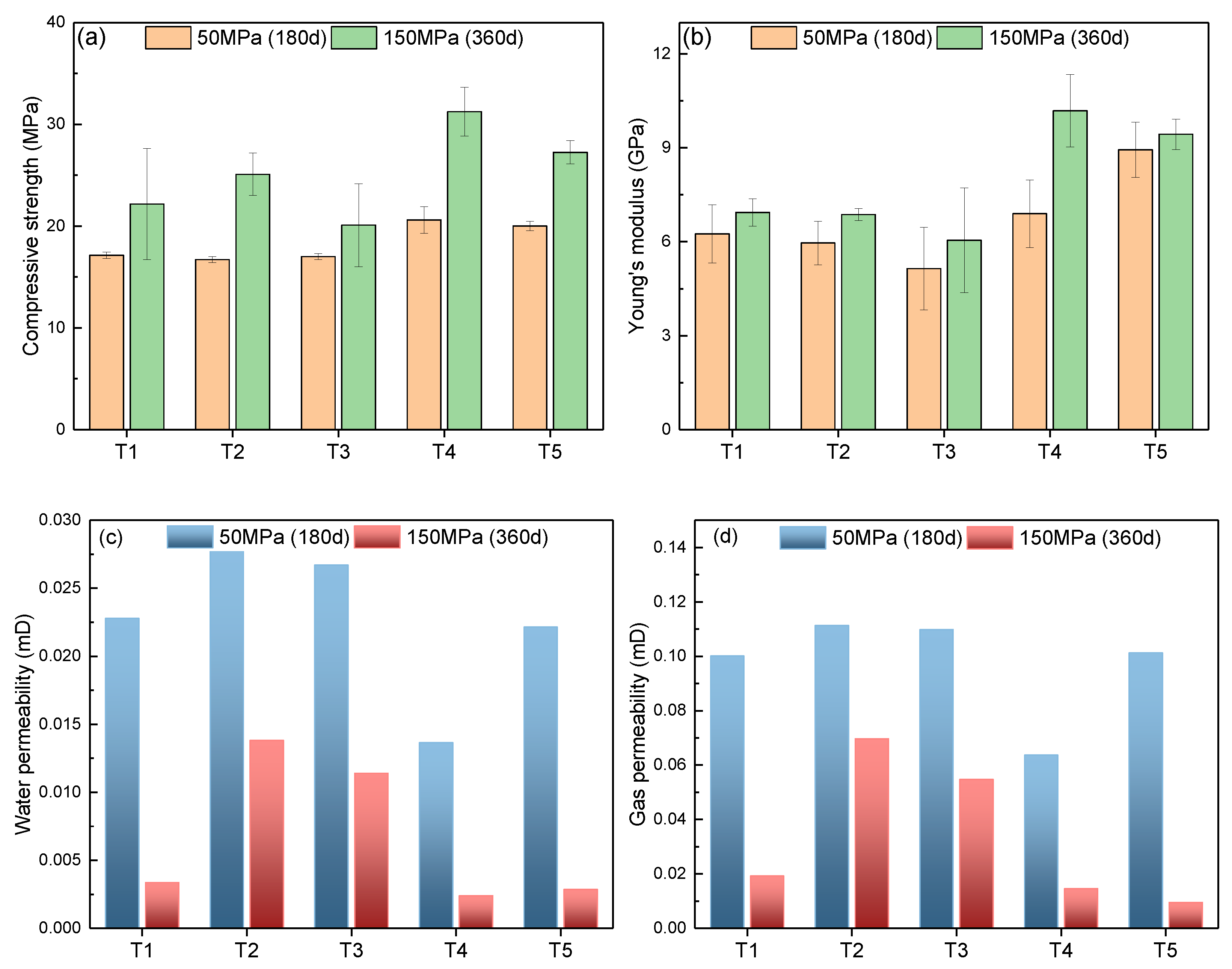
4.3. Influence of Curing Pressure on Properties of Set Cement
4.4. Influence of Reinforcement Materials on Properties of Set Cement
5. Discussion: Mechanism of Strength Retrogression
6. Conclusions
- (1)
- Increasing curing pressure can significantly decrease the rate of long-term strength retrogression of silica-enriched oil well cement systems, possibly due to the more compact microstructure of set cement and more stable C-S-H structures.
- (2)
- Reinforcement materials such as latex fiber and nano-graphene can also mitigate long-term strength retrogression of silica-enriched oil well cement systems, especially at ultra-high pressure (150 MPa); the best design of this study is slurry T4 with latex fiber, which had a compressive strength of 30 MPa after 360 d curing under 200 °C and 150 MPa.
- (3)
- The long-term curing during HPHT conditions may lead to structural change of amorphous C-S-H gel; such a structural change may be the cause of reduced bound water content and the driving force of microstructure coarsening, which in turn are responsible for strength retrogression of silica-enriched oil well cement systems.
Author Contributions
Funding
Institutional Review Board Statement
Informed Consent Statement
Data Availability Statement
Acknowledgments
Conflicts of Interest
Appendix A


References
- Zhang, P.; Mishra, B.; Heasley, K.A. Experimental Investigation on the Influence of High Pressure and High Temperature on the Mechanical Properties of Deep Reservoir Rocks. Rock Mech. Rock Eng. 2015, 48, 2197–2211. [Google Scholar] [CrossRef]
- Pang, X.; Qin, J.; Bu, Y.; Yuan, Z.; Wang, Y.; Wang, Z. Research Advances in Oil Well Cement Subjected to High Temperature and High Pressure Curing Environment. J. Oil Gas Technol. 2020, 42, 13–23. [Google Scholar] [CrossRef]
- Luo, Y.; Xiao, W.; Zhao, J. Research progresses and development suggestions of CNOOC cementing technology during the13th Five-Year Plan. China Offshore Oil Gas 2020, 32, 145–151. [Google Scholar]
- Swayze, M.A. Effects of high pressures and temperatures on strength of oil-well cements. Drill. Prod. Pract. 1954, 72. [Google Scholar]
- Krakowiak, K.J.; Thomas, J.J.; James, S.; Abuhaikal, M.; Ulm, F.-J. Development of silica-enriched cement-based materials with improved aging resistance for application in high-temperature environments. Cem. Concr. Res. 2018, 105, 91–110. [Google Scholar] [CrossRef]
- Eilers, L.H.; Root, R.L. Long-Term Effects of High Temperature on Strength Retrogression of Cements. In Proceedings of the Fall Meeting of the Society of Petroleum Engineers of AIME, Houston, TX, USA, 6–9 October 1974; Volume 4. [Google Scholar]
- Jiang, T.; Geng, C.; Yao, X.; Song, W.; Dai, D.; Yang, T. Long-term thermal performance of oil well cement modified by silica flour with different particle sizes in HTHP environment. Constr. Build. Mater. 2021, 296, 123701. [Google Scholar] [CrossRef]
- Xie, Z.; Yao, X. Influence of the particle size distribution of silica flour on the mechanical and microstructural properties of oil well cement paste exposed to hthp conditions. Ceram.-Silik. 2019, 63, 239–247. [Google Scholar] [CrossRef]
- Santiago, R.; Costa, B.; Silva, F.; Medeiros, R.; Nascimento, R.; Aum, P.; Freitas, J. Sustainable cement blends for oil well steam injection using rice husk ash. J. Pet. Sci. Eng. 2021, 199, 108281. [Google Scholar] [CrossRef]
- Pernites, R.B.; Santra, A.K. Portland cement solutions for ultra-high temperature wellbore applications. Cem. Concr. Compos. 2016, 72, 89–103. [Google Scholar] [CrossRef]
- Araújo, R.G.D.S.; Freitas, J.C.D.O.; Costa, B.L.D.S.; Moreira, P.H.S.S.; da Silva, F.P.F.; de Oliveira, Y.H. Alternative Material to be Applied in Oil Well Cementing Subjected to High Temperatures to Avoid Compressive Strength Retrogression. In Proceedings of the Offshore Technology Conference, Houston, TX, USA, 6–9 May 2019. [Google Scholar]
- Meller, N.; Kyritsis, K.; Hall, C. The mineralogy of the CaO–Al2O3–SiO2–H2O (CASH) hydroceramic system from 200 to 350 °C. Cem. Concr. Res. 2009, 39, 45–53. [Google Scholar] [CrossRef]
- Ge, Z.; Yao, X.; Wang, X.; Zhang, W.; Yang, T. Thermal performance and microstructure of oil well cement paste containing subsphaeroidal konilite flour in HTHP conditions. Constr. Build. Mater. 2018, 172, 787–794. [Google Scholar] [CrossRef]
- Pang, X.; Qin, J.; Sun, L.; Zhang, G.; Wang, H. Long-term strength retrogression of silica-enriched oil well cement: A comprehensive multi-approach analysis. Cem. Concr. Res. 2021, 144, 106424. [Google Scholar] [CrossRef]
- Qin, J.; Pang, X.; Liu, Z.; Ai, Z.; Li, N. Effect of various testing parameters on the experimental evaluation of oil well cement cured under simulated downhole conditions. IOP Conf. Ser. Mater. Sci. Eng. 2021, 1028, 012004. [Google Scholar] [CrossRef]
- Qin, J.; Pang, X.; Santra, A.; Cheng, G.; Li, H. Various admixtures to mitigate the long-term strength retrogression of Portland cement cured under HPHT conditions. J. Rock Mech. Geotech. Eng. 2022. [Google Scholar] [CrossRef]
- Qin, J.; Pang, X.; Cheng, G.; Bu, Y.; Liu, H. Influences of different admixtures on the properties of oil well cement systems at HPHT conditions. Cem. Concr. Compos. 2021, 123, 104202. [Google Scholar] [CrossRef]
- Shadravan, A.; Amani, M. What Petroleum Engineers and Geoscientists Should Know About High Pressure High Temperature Wells Environment. Energy Sci. Technol. 2012, 4, 36–60. [Google Scholar]
- Payne, M.L.; Pattillo, D.; Miller, R.; Johnson, C.K. Advanced Technology Solutions for Next Generation HPHT Wells. In Proceedings of the International Petroleum Technology Conference, Dubai, United Arab Emirates, 4–6 December 2007; OnePetro: Richardson, TX, USA, 2007. [Google Scholar]
- Han, C.; Wei, A.; Huang, K.; Luo, M.; Zhang, C. Ultra-High Temperature-Pressure Gas Well Testing in Ying-Qiong Basin. Spec. Oil Gas Reserv. 2018, 25, 150–154. [Google Scholar]
- Niu, X.; Zhang, J.; Zhou, H. Technological Challenges and Countermeasures in Well Control of Ultra-Deep, Ultra-High Temperature and Ultra-High Pressure Oil and Gas Wells. Pet. Drill. Tech. 2017, 45, 1–7. [Google Scholar]
- Scherer, G.W.; Funkhouser, G.P.; Peethamparan, S. Effect of pressure on early hydration of class H and white cement. Cem. Concr. Res. 2010, 40, 845–850. [Google Scholar] [CrossRef]
- Jupe, A.C.; Wilkinson, A.P.; Funkhouser, G.P. The effect of pressure on tricalcium silicate hydration at different temperatures and in the presence of retarding additives. Cem. Concr. Res. 2012, 42, 1083–1087. [Google Scholar] [CrossRef]
- Pang, X.; Jimenez, W.C.; Iverson, B.J. Hydration kinetics modeling of the effect of curing temperature and pressure on the heat evolution of oil well cement. Cem. Concr. Res. 2013, 54, 69–76. [Google Scholar] [CrossRef]
- Meyer, C.; Pang, X.; Darbe, R.; Funkhouser, G.P. Modeling the Effect of Curing Temperature and Pressure on Cement Hydration Kinetics. ACI Mater. J. 2013, 110, 137–147. [Google Scholar]
- Pang, X.; Otieno, P.A.; Funkhouser, G.P. Modeling the effect of curing pressure on the viscosity evolution of oilwell cement. In Proceedings of the 2014 AADE Fluid Technical Conference & Exhibition, Houston, TX, USA, 15–16 April 2014. [Google Scholar]
- Paiva, L.C.M.; Ferreira, I.M.; Martinelli, A.E.; Freitas, J.C.D.O.; Bezerra, U.T. Milled basalt fiber reinforced Portland slurries for oil well applications. J. Pet. Sci. Eng. 2019, 175, 184–189. [Google Scholar] [CrossRef]
- Yu, J.; Li, M.; Jin, J. Research Progress of Toughening-Enhancing Materials in Oil Well Cement. Bull. Chin. Ceram. Soc. 2017, 36, 3013–3019. [Google Scholar]
- Liu, H.; Yu, Y.; Liu, H.; Jin, J.; Liu, S. Hybrid effects of nano-silica and graphene oxide on mechanical properties and hydration products of oil well cement. Constr. Build. Mater. 2018, 191, 311–319. [Google Scholar] [CrossRef]
- Pang, X.; Meyer, C.; Funkhouser, G.P.; Darbe, R. Depressurization damage of oil well cement cured for 3days at various pressures. Constr. Build. Mater. 2015, 74, 268–277. [Google Scholar] [CrossRef]
- Zhou, C.; Ren, F.; Wang, Z.; Chen, W.; Wang, W. Why permeability to water is anomalously lower than that to many other fluids for cement-based material? Cem. Concr. Res. 2017, 100, 373–384. [Google Scholar] [CrossRef]
- Diamond, S. Mercury porosimetry: An inappropriate method for the measurement of pore size distributions in cement-based materials. Cem. Concr. Res. 2000, 30, 1517–1525. [Google Scholar] [CrossRef]
- Kaufmann, J. Pore space analysis of cement-based materials by combined Nitrogen sorption—Wood’s metal impregnation and multi-cycle mercury intrusion. Cem. Concr. Compos. 2010, 32, 514–522. [Google Scholar] [CrossRef]
- Zhou, J.; Ye, G.; van Breugel, K. Characterization of pore structure in cement-based materials using pressurization-depressurization cycling mercury intrusion porosimetry (PDC-MIP). Cem. Concr. Res. 2010, 40, 1120–1128. [Google Scholar] [CrossRef]
- Ma, Y.; Wang, G.; Ye, G.; Hu, J. A comparative study on the pore structure of alkali-activated fly ash evaluated by mercury intrusion porosimetry, N2 adsorption and image analysis. J. Mater. Sci. 2018, 53, 5958–5972. [Google Scholar] [CrossRef]
- Wyrzykowski, M.; McDonald, P.J.; Scrivener, K.L.; Lura, P. Water Redistribution within the Microstructure of Cementitious Materials due to Temperature Changes Studied with 1H NMR. J. Phys. Chem. C 2017, 121, 27950–27962. [Google Scholar] [CrossRef] [Green Version]












| Formulation | Cement | 6 μm Silica | A-Al2O3 | Latex Fiber | Graphene | Nano -Fe2O3 | Water |
|---|---|---|---|---|---|---|---|
| T1 | 100 | 70 | 5 | 0 | 0 | 5 | 50.2 |
| T2 | 100 | 70 | 15 | 0 | 0 | 0 | 60.4 |
| T3 | 100 | 70 | 15 | 0 | 0 | 5 | 55.9 |
| T4(LX) | 100 | 70 | 15 | 6 | 0 | 5 | 57.3 |
| T5(GR) | 100 | 70 | 15 | 0 | 0.4 | 5 | 55.9 |
| Slurry | Change in Compressive Strength (%) | Change in Young’s Modulus (%) | Change in Water Permeability (Multiple) | 180 d Median Pore Size (nm) |
|---|---|---|---|---|
| T3 | −71.9 | −50.1 | ×121 | 125 |
| T4(LX) | −66.1 | −31.1 | ×83 | 127 |
| T5(GR) | −64.2 | −14.6 | ×91 | 126 |
| Slurry | Change in Compressive Strength (%) | Change in Young’s Modulus (%) | Change in Water Permeability (Multiple) | 360 d Median Pore Size (nm) |
|---|---|---|---|---|
| T3 | −66.8 | −47.5 | ×64 | 61 |
| T4(LX) | −46.5 | −15.5 | ×9 | 43 |
| T5(GR) | −55.5 | −11.6 | ×9 | 31 |
Publisher’s Note: MDPI stays neutral with regard to jurisdictional claims in published maps and institutional affiliations. |
© 2022 by the authors. Licensee MDPI, Basel, Switzerland. This article is an open access article distributed under the terms and conditions of the Creative Commons Attribution (CC BY) license (https://creativecommons.org/licenses/by/4.0/).
Share and Cite
Liu, H.; Qin, J.; Zhou, B.; Liu, Z.; Yuan, Z.; Zhang, Z.; Ai, Z.; Pang, X.; Liu, X. Effects of Curing Pressure on the Long-Term Strength Retrogression of Oil Well Cement Cured under 200 °C. Energies 2022, 15, 6071. https://doi.org/10.3390/en15166071
Liu H, Qin J, Zhou B, Liu Z, Yuan Z, Zhang Z, Ai Z, Pang X, Liu X. Effects of Curing Pressure on the Long-Term Strength Retrogression of Oil Well Cement Cured under 200 °C. Energies. 2022; 15(16):6071. https://doi.org/10.3390/en15166071
Chicago/Turabian StyleLiu, Hongtao, Jiankun Qin, Bo Zhou, Zhongfei Liu, Zhongtao Yuan, Zhi Zhang, Zhengqing Ai, Xueyu Pang, and Xiaolin Liu. 2022. "Effects of Curing Pressure on the Long-Term Strength Retrogression of Oil Well Cement Cured under 200 °C" Energies 15, no. 16: 6071. https://doi.org/10.3390/en15166071
APA StyleLiu, H., Qin, J., Zhou, B., Liu, Z., Yuan, Z., Zhang, Z., Ai, Z., Pang, X., & Liu, X. (2022). Effects of Curing Pressure on the Long-Term Strength Retrogression of Oil Well Cement Cured under 200 °C. Energies, 15(16), 6071. https://doi.org/10.3390/en15166071

