Global Warming Potential of New Gaseous Refrigerants Used in Chillers in HVAC Systems
Abstract
:1. Introduction
1.1. The Idea of Determining the Impact of Different Substances on the Climate
1.2. Indicators for Assessing the Impact of Different Refrigerants on Climate
1.3. Refrigerants Used in Air Conditioning and Space Cooling
1.4. Which GWP Index Should Be Used to Assess the Real Impact on Local and Global Environment
1.5. The Basic Framework of Work
2. Materials and Methods
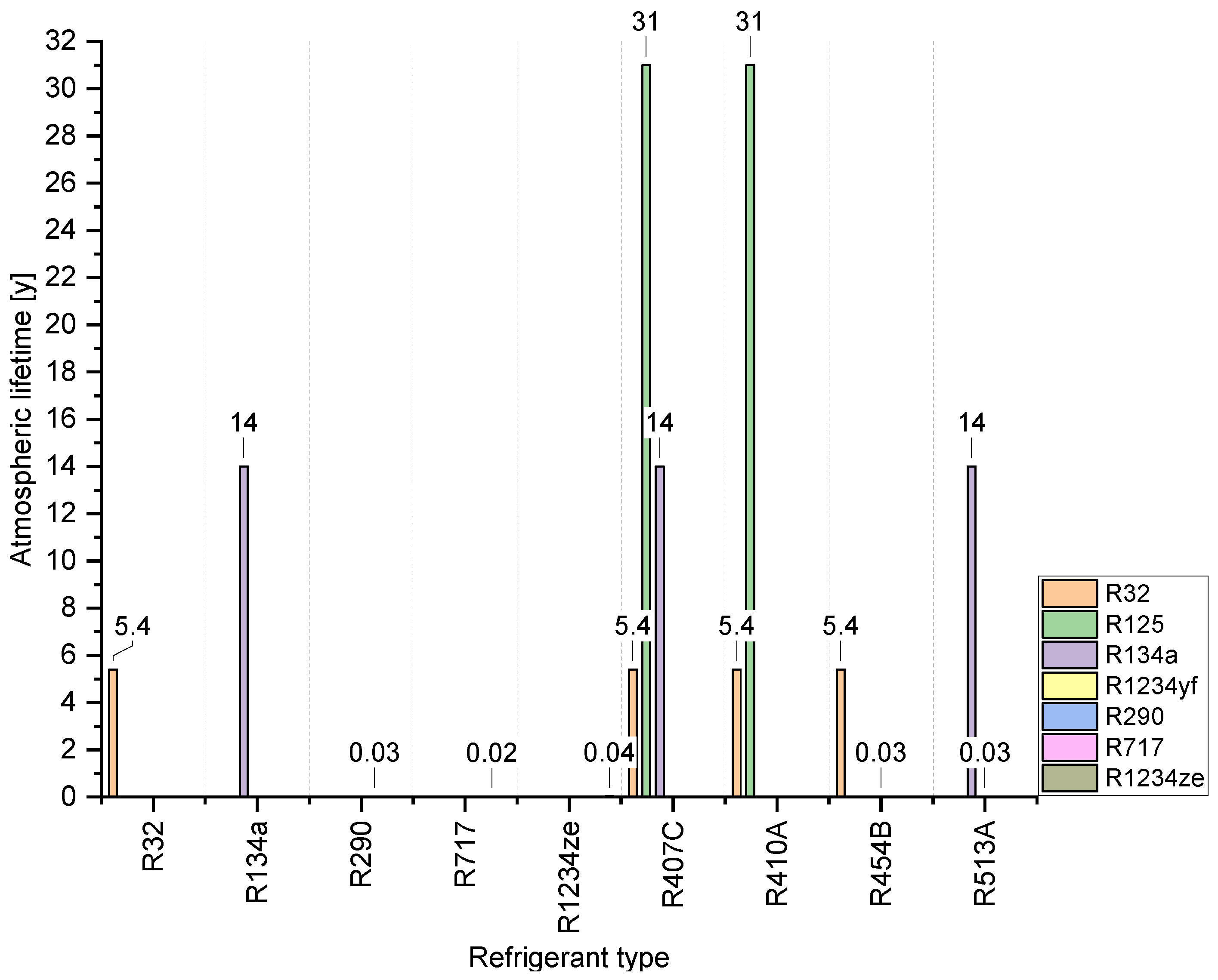
3. Results and Discussion
4. Conclusions
Author Contributions
Funding
Institutional Review Board Statement
Informed Consent Statement
Data Availability Statement
Conflicts of Interest
References
- Smith, S.J.; Wigley, M.L. Global Warming Potentials: 1. Climatic Implications of Emissions Reductions. Clim. Chang. 2000, 44, 445–457. [Google Scholar] [CrossRef]
- Fuglestvedt, J.S.; Berntsen, T.K.; Godal, O.; Sausen, R.; Shine, K.P.; Skodvin, T. Metrics of Climate Change: Assessing Radiative Forcing and Emission Indices. Clim. Chang. 2003, 58, 267–331. [Google Scholar] [CrossRef]
- Shine, K.P. The Global Warming Potential—The Need for an Interdisciplinary Retrial. Clim. Chang. 2009, 96, 467–472. [Google Scholar] [CrossRef]
- Pierrehumbert, R.T. Short-Lived Climate Pollution. Annu. Rev. Earth Planet. Sci. 2014, 42, 341–379. [Google Scholar] [CrossRef]
- Kleinberg, R. The Global Warming Potential Misrepresents the Physics of Global Warming Thereby Misleading Policy Makers; Insitute for Sustainable Energy, Boston University: Boston, MA, USA, 2020. [Google Scholar]
- Edwards, M.R.; McNerney, J.; Trancik, J.E. Testing Emissions Equivalency Metrics against Climate Policy Goals. Environ. Sci. Policy 2016, 66, 191–198. [Google Scholar] [CrossRef]
- Allen, M.R.; Fuglestvedt, J.S.; Shine, K.P.; Reisinger, A.; Pierrehumbert, R.T.; Forster, P.M. New Use of Global Warming Potentials to Compare Cumulative and Short-Lived Climate Pollutants. Nat. Clim. Chang. 2016, 6, 773–776. [Google Scholar] [CrossRef]
- Shine, K.P.; Fuglestvedt, J.S.; Hailemariam, K.; Stuber, N. Alternatives to the Global Warming Potential for Comparing Climate Impacts of Emissions of Greenhouse Gases. Clim. Chang. 2005, 68, 281–302. [Google Scholar] [CrossRef]
- Tanaka, K.; Peters, G.P.; Fuglestvedt, J.S. Policy Update: Multicomponent Climate Policy: Why Do Emission Metrics Matter? Carbon Manag. 2014, 1, 191–197. [Google Scholar] [CrossRef]
- IPCC. Climate Change: The IPCC Scientific Assessment; Cambridge University Press: Cambridge, UK, 1990. [Google Scholar]
- IPCC; TEAP. Special Report: Safeguarding the Ozone Layer and the Global Climate System; Cambridge University Press: Cambridge, UK, 2018. [Google Scholar]
- InforMEA The Vienna Convention for the Protection of the Ozone Layer—Overview of the Negotiation Process, Main Obligations and Development of the Vienna Convention. Available online: https://globalpact.informea.org/sites/default/files/documents/The%20Vienna%20Convention%20for%20the%20protection%20of%20the%20Ozone%20Layer.pdf (accessed on 6 May 2022).
- United Nations Environment Programme. Handbook for the International Treaties for the Protection of the Ozone Layer: The Vienna Convention (1985); The Montreal Protocol (1987), 6th ed.; UNEP: Nairobi, Kenya, 2003. [Google Scholar]
- United Nations. Montreal Protocol on Substances That Deplete the Ozone Layer (with Annex); United Nations: Geneva, Switzerland, 1987. [Google Scholar]
- United Nations. Kyoto Protocol to the United Nations Framework Convention on Climate Change; United Nations: Geneva, Switzerland, 1998. [Google Scholar]
- United Nations. United Nations Framework Convention on Climate Change; United Nations: Geneva, Switzerland, 1992. [Google Scholar]
- James, M. Calm Refrigeration Transitions … Again. In Moving Towards Sustainability, Proceedings of the ASHRAE/NIST Conference, Gaithersburg, MD, USA, 29–30 October 2012; ASHRAE: Atlanta, GA, USA, 2012. [Google Scholar]
- UNTC. Available online: https://treaties.un.org/pages/ViewDetails.aspx?src=IND&mtdsg_no=XXVII-2&chapter=27&clang=_en#1 (accessed on 13 May 2022).
- Decision I/9: ODP for Halon 2402|Ozone Secretariat. Available online: https://ozone.unep.org/treaties/montreal-protocol/meetings/first-meeting-parties/decisions/decision-i9-odp-halon-2402 (accessed on 12 May 2022).
- UNFCCC. What Is the United Nations Framework Convention on Climate Change. Available online: https://unfccc.int/process-and-meetings/the-convention/what-is-the-united-nations-framework-convention-on-climate-change (accessed on 6 May 2022).
- Forster, P.; Ramaswamy, V.; Artaxo, P.; Berntsen, T.; Betts, R.; Fahey, D.W.; Haywood, J.; Lean, J.; Lowe, D.C.; Myhre, G.; et al. Changes in Atmospheric Constituents and in Radiative Forcing. In Climate Change 2007: The Physical Science Basis. Contributuin of Working Group I to the Fourth Assessment Report of the Intergovernmental Panel on Climate Change; Cambridge University Press: Cambridge, NY, USA, 2007. [Google Scholar]
- IPCC. Climate Change 2013: The Physical Science Basis. Contribution of Working Group I to the Fifth Assessment Report of the Intergovernmental Panel on Climate Change; Cambridge University Press: Cambridge, NY, USA, 2013. [Google Scholar]
- Lynch, J.; Cain, M.; Pierrehumbert, R.; Allen, M. Demonstrating GWP*: A Means of Reporting Warming-Equivalent Emissions That Captures the Contrasting Impacts of Short- and Long-Lived Climate Pollutants. Environ. Res. Lett. 2020, 15, 044023. [Google Scholar] [CrossRef]
- Zhang, H.; Wu, J.; Lu, P. A Study of the Radiative Forcing and Global Warming Potentials of Hydrofluorocarbons. J. Quant. Spectrosc. Radiat. Transf. 2011, 112, 220–229. [Google Scholar] [CrossRef]
- Allen, M.R.; Shine, K.P.; Fuglestvedt, J.S.; Millar, R.J.; Cain, M.; Frame, D.J.; Macey, A.H. A Solution to the Misrepresentations of CO2-Equivalent Emissions of Short-Lived Climate Pollutants under Ambitious Mitigation. npj Clim. Atmos. Sci. 2018, 1, 16. [Google Scholar] [CrossRef]
- Cain, M.; Lynch, J.; Allen, M.R.; Fuglestvedt, J.S.; Frame, D.J.; Macey, A.H. Improved Calculation of Warming-Equivalent Emissions for Short-Lived Climate Pollutants. Npj Clim. Atmos. Sci. 2019, 2, 29. [Google Scholar] [CrossRef] [PubMed]
- Costa, C.; Wironen, M.; Racette, K.; Wollenberg, E. Global Warming Potential* (GWP*): Understanding the Implications for Mitigating Methane Emissions in Agriculture; CCAFS: Wageningen, The Netherlands, 2021. [Google Scholar]
- Fischer, S.K.; Hughes, P.J.; Fairchild, P.D.; Kusik, C.L.; Dieckmann, J.T.; McMahon, E.M.; Hobday, N. Energy and Global Warming Impacts of CFC Alternative Technologies. Executive Summary; U.S. Department of Energy: Washington, DC, USA, 1991.
- United Nations Environment Programme. Montreal Protocol on the Substances That Deplete the Ozone Layer: 2018 Report of the Refrigeration, Air Conditioning and Heat Pumps Technical Options Comittee; United Nations: Geneva, Swietzerland, 2018. [Google Scholar]
- Makhnatch, P.; Khodabandeh, R. The Role of Environmental Metrics (GWP, TEWI, LCCP) in the Selection Of Low GWP Refrigerant. Energy Procedia 2014, 61, 2460–2463. [Google Scholar] [CrossRef]
- Troch, S.; Lee, H.; Hwang, Y.; Radermacher, R. Harmonization of Life Cycle Climate Performance (LCCP) Methodology. In Proceedings of the International Refrigeration and Air Conditionign Conference, West Lafayette, IN, USA, 11–14 July 2016. [Google Scholar]
- Wang, Z.Y.; Wang, H.Q.; Liu, C.R. LCCP Evaluation on Environmental Impact of Air-Conditioning Cold and Heat Source. Appl. Mech. Mater. 2013, 291–294, 1789–1794. [Google Scholar] [CrossRef]
- Andersen, S.O.; Wolf, J. Improved Life-Cycle Climate Performance (LCCP) Metrics: Room AC Carbon Footprint. Vienna OEWG Side Event; UNEP: Nairobi, Kenya, 2018. [Google Scholar]
- WMO. Scientific Assesment of Ozone Depletion: 2014, Global Ozone Research Monitoring Project—Repoert No. 55; WMO: Geneva, Switzerland, 2014. [Google Scholar]
- WMO; UNEP. World Meteorological Organization Global Ozone Research and Monitoring Project-Report No. 58 Scientific Assesment of Ozone Depletion: 2018; WMO: Geneva, Switzerland, 2018. [Google Scholar]
- UNEP; ASHRAE. FACTSHEET 1: Update on New Refrigerants Designations and Safety Classifications; UNEP: Nairobi, Kenya, 2020. [Google Scholar]
- ISO 817:2014; Refrigerants—Designation and Safety Classification. International Organization for Standardization: Geneva, Switzerland, 2014.
- Czynniki Chłodnicze::Schiessl Polska. Available online: https://www.schiessl.pl/pl/czynniki-chlodnicze (accessed on 16 May 2022).
- Mota-Babiloni, A.; Makhnatch, P.; Khodabandeh, R. Recent Investigations in HFCs Substitution with Lower GWP Synthetic Alternatives: Focus on Energetic Performance and Environmental Impact. Int. J. Refrig. 2017, 82, 288–301. [Google Scholar] [CrossRef]
- Vallero, D.A. Air Pollution Biogeochemistry. In Air Pollution Calculations; Elsevier: Amsterdam, The Netherlands, 2019; pp. 175–206. [Google Scholar] [CrossRef]
- Danny Harvey, L.D. A Guide to Global Warming Potentials (GWPs). Energy Policy 1993, 21, 24–34. [Google Scholar] [CrossRef]
- IPCC. Climate Change 1994: Radiative Forcing of Climate Change and an Evaluation of the IPCCIS92 Emission Scenarios; Reports of Working Groups I and III of the Intergovernmental Panel on Climate Change, Forming Part of the IPCC Special Report to the First Session of the Conference of the Parties to the UN Framework Convention on Climate Change; Cambridge University Press: Cambridge, UK, 1995. [Google Scholar]
- Mate, J.; Kanter, D. The Benefits of Basing Policies on the 20 Year GWP of HFCs; Greenpeace: Amsterdam, The Netherlands, 2020. [Google Scholar]
- Walravens, F. Autor Opinii: Environmental Investigation Agency; European Commission: Brussels, Belgium, 2020. [Google Scholar]
- The European Parliment and the Council of the European Union. Regulation (EU) no 517/2014 of the European Parliment and of the Council of 16 April 2014 on Fluorinated Greenhouse Gases and Repealing Regulation (EC) No 842/2006. Off. J. Eur. Union 2014, 150, 195–230. [Google Scholar]
- Minx, J.C.; Lamb, W.F.; Andrew, R.M.; Canadell, J.G.; Crippa, M.; Döbbeling, N.; Forster, P.M.; Guizzardi, D.; Olivier, J.; Peters, G.P.; et al. A Comprehensive and Synthetic Dataset for Global, Regional, and National Greenhouse Gas Emissions by Sector 1970-2018 with an Extension to 2019. Earth Syst. Sci. Data 2021, 13, 5213–5252. [Google Scholar] [CrossRef]
- BITZER. Refrigerant Report|Enhanced Reader; BITZER: Sindelfingen, Germany, 2020. [Google Scholar]









| Group | Substance | Ozone Depletion Potential |
|---|---|---|
| I * | R11 R12 R113 R114 R115 | 1.0 1.0 0.8 1.0 0.6 |
| II * | CF2BRCl (halon-1211) CF2BR (halon-1301) C2F4Br2 (halon-2402) | 3.0 10.0 6.0 ** |
| III *** | R32 R134a R290 R717 R744 R1234ze R407C R410A R454B R513A R125 R1234yf | 0 |
| Substitute | Current Refrigerant |
|---|---|
| R513A (A1) | R134a (A1) |
| R454B (A2L) | R410A (A1) |
| R32 (A2L) | R410A (A1) |
| R1234ze (A1) | R134a (A1), R123 (B1) |
| R290 (A3) | R22 (A1), R404A (A1), R507 (A1) |
| Flammability | Lower Toxicity | Higher Toxicity |
|---|---|---|
| Higher Flammability | A3 | B3 |
| Lower Flammability | A2 A2L * | B2 B2L * |
| No Flame Propagation | A1 | B1 |
| Refrigerant | Producer | Model | Qc min | Qc max | mr min | mr max | No. Fans |
|---|---|---|---|---|---|---|---|
| R32 | Carrier | 30RB | 42 | 380 | 3.7 | 36.2 | 1–6 |
| Swegon | Zeta SKY | 46 | 238 | 4.1 | 18.9 | 2–3 | |
| Daikin | EWAt-B-SS | 81 | 665 | 10.0 | 90.0 | 4–11 | |
| Carrier | 30RBP | 172 | 943 | 17.8 | 64.8 | 3–12 | |
| Swegon | Tetris SKY | 200 | 535 | 19.0 | 50.0 | 3–8 | |
| R134a | Swegon | Kappa SKY | 255 | 1343 | 38.0 | 165.0 | 5–22 |
| Swegon | Kappa REV | 307 | 1542 | 39.0 | 165.0 | 5–22 | |
| TRANE | Sintesis | 404 | 1758 | 77.7 | 255.8 | 10–28 | |
| Carrier | 30XV | 492 | 1758 | 93.0 | 268.0 | 8–22 | |
| R290 | Skadec | VCG | 63 | 365 | 5.0 | 24.0 | 6–8 |
| Hitema | PRP | 85 | 278 | 13.0 | 26.0 | 2–4 | |
| Skadec | VCGV | 292 | 646 | 18.0 | 36.0 | 2–8 | |
| R1234ze | Swegon | Kappa SKY | 234 | 1063 | 29.0 | 142.0 | 5–18 |
| Airdale | Turbo Chill | 240 | 1000 | 110.0 | 525.0 | 4–24 | |
| Swegon | Kappa Rev | 240 | 1020 | 39.0 | 135.0 | 5–18 | |
| Flakt | FGAC | 383 | 1463 | 63.0 | 218.0 | 6–20 | |
| TRANE | GVAF XP-G | 453 | 1243 | 145.0 | 280.0 | 14–24 | |
| TRANE | RTAF HSE | 741 | 1618 | 138.0 | 222.0 | 16–24 | |
| R410A | Carrier | Aqua Snap 30RAP | 38 | 527 | 3.8 | 54.2 | 1–10 |
| Swegon | Beta Rev | 40 | 233 | 3.7 | 21.0 | 2–4 | |
| TRANE | CGAM | 70 | 457 | 13.6 | 69.8 | 2–10 | |
| Swegon | TETRIS 2 | 108 | 913 | 11.5 | 80.0 | 2–12 | |
| Daikin | Trailblazer | 109 | 847 | 12.7 | 100.7 | 4–14 | |
| TRANE | Ascend | 492 | 808 | 51.6 | 94.0 | 8–12 | |
| R454B | Flakt | FGAC DG | 40 | 866 | 13.8 | 276.8 | 4–12 |
| Swegon | Zeta SKY | 42 | 233 | 13.4 | 84.2 | 2–4 | |
| R513A | Swegon | Kappa Sky | 243 | 1260 | 38.0 | 165.0 | 5–22 |
| Flakt | FGAC AE2 | 479 | 1697 | 79.0 | 288.0 | 6–20 |
| Refrigerant | γ100 = GWP 100/GWP 100 | Γ20 = GWP 20/GWP 100 |
|---|---|---|
| R717 | - * | - * |
| R290 | 1.00 | 1.00 |
| R744 | 1.00 | 1.00 |
| R1234ze | 1.00 | 4.00 |
| 1234yf | 1.00 | 1.00 |
| R454B | 1.00 | 3.47 |
| R513A | 1.00 | 2.83 |
| R32 | 1.00 | 3.59 |
| R134a | 1.00 | 2.80 |
| R407C | 1.00 | 2.41 |
| R410A | 1.00 | 2.09 |
| R125 | 1.00 | 1.82 |
| Range | GWP 100 CO2e (kg) | GWP 20 CO2e (kg) |
|---|---|---|
| I | <1000 | <10,000 |
| II | <100,000 | <250,000 |
| III | >100,000 | >250,000 |
| Transport Properties * | Physical Properties | |||||
|---|---|---|---|---|---|---|
| Refrigerant | Density [kg/m3] | Viscosity [µPa·s] | Thermal Conductivity [W/m·K] | Critical Temp. [°C] | Evaporation Temp. [°C] | Condensation Temp. [°C] |
| R410A | 1062 | 119 | 0.0880 | 72 | −51 | 43 |
| R454B | 985 | 115 | 0.1055 | 77 | −51 | 47 |
| R32 | 959 | 114 | 0.1259 | 78 | −52 | 42 |
| Transport Properties * | Physical Properties | |||||
|---|---|---|---|---|---|---|
| Refrigerant | Density [kg/m3] | Viscosity [µPa·s] | Thermal Conductivity [W/m·K] | Critical Temp. [°C] | Evaporation Temp. [°C] | Condensation Temp. [°C] |
| R134a | 1206 | 200 | 0.0830 | 101 | −26 | 80 |
| R513A | 1171 | 166 | 0.0699 | 97 | −30 | 78 |
| R1234ze | 1163 | 190 | 0.0742 | 110 | −18 | 92 |
| Transport Properties | |||
|---|---|---|---|
| Refrigerant | GWP 20/GWP 100 | Safety Classes | Practical Concentration Limit [kg/m3] |
| Homogeneous substances | |||
| R32 | 3.59 | A2L | 0.061 |
| R134A | 2.8 | A1 | 0.25 |
| R290 | 1 | A3 | 0.008 |
| R717 | - * | B2 | 0.00035 |
| R744 | 1 | A1 | 0.07 |
| R1234ze | 4 | A1 | N/A ** |
| Heterogeneous substances | |||
| R407C | 2.41 | A1 | 0.31 |
| R410A | 2.09 | A1 | 0.44 |
| R454B | 3.47 | A2L | N/A |
| R513A | 2.83 | A1 | 0.35 |
Publisher’s Note: MDPI stays neutral with regard to jurisdictional claims in published maps and institutional affiliations. |
© 2022 by the authors. Licensee MDPI, Basel, Switzerland. This article is an open access article distributed under the terms and conditions of the Creative Commons Attribution (CC BY) license (https://creativecommons.org/licenses/by/4.0/).
Share and Cite
Szczęśniak, S.; Stefaniak, Ł. Global Warming Potential of New Gaseous Refrigerants Used in Chillers in HVAC Systems. Energies 2022, 15, 5999. https://doi.org/10.3390/en15165999
Szczęśniak S, Stefaniak Ł. Global Warming Potential of New Gaseous Refrigerants Used in Chillers in HVAC Systems. Energies. 2022; 15(16):5999. https://doi.org/10.3390/en15165999
Chicago/Turabian StyleSzczęśniak, Sylwia, and Łukasz Stefaniak. 2022. "Global Warming Potential of New Gaseous Refrigerants Used in Chillers in HVAC Systems" Energies 15, no. 16: 5999. https://doi.org/10.3390/en15165999
APA StyleSzczęśniak, S., & Stefaniak, Ł. (2022). Global Warming Potential of New Gaseous Refrigerants Used in Chillers in HVAC Systems. Energies, 15(16), 5999. https://doi.org/10.3390/en15165999

