Flow Characteristics and Heat-Transfer Enhancement of Air Agitation in Ice Storage Air Conditioning Systems
Abstract
:1. Introduction
2. Methodology
2.1. Physics Model
2.2. Mathematical Model
2.3. Grid Generation and Accuracy
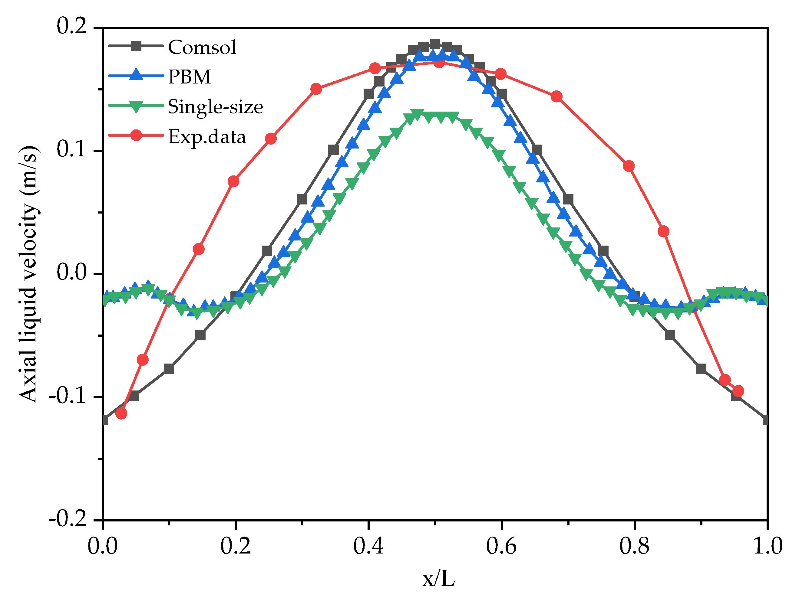
2.4. Comparison of the CFD Model with the Experimental Results
3. Analysis
3.1. Influence of the Orifice Diameter on the Air Velocity Distribution
3.2. Influence of the Orifice Diameter on the Water Velocity Distribution
3.3. Influence of the Orifice Diameter on the Gas Holdup Distribution, Heat Transfer, and Power Consumption
3.4. Influence of the Orifice Spacing on the Air Velocity Distribution
3.5. Influence of the Orifice Spacing on the Water Velocity Variation
3.6. Influence of the Orifice Spacing on the Gas Holdup, Heat-Transfer Coefficient, and Power Consumption
4. Conclusions
Author Contributions
Funding
Informed Consent Statement
Acknowledgments
Conflicts of Interest
References
- Monsef, H.; Yari, M. Design and analysis of an ice thermal storage system for residential air-conditioning applications. J. Int. J. Exergy 2016, 20, 122–138. [Google Scholar] [CrossRef]
 - Na, L.; Hong, T.; Hui, L.; Jia, R.; Weng, W. Data analytics and optimization of an ice-based energy storage system for commercial buildings. J. Appl. Energy 2017, 204, 459–475. [Google Scholar] [CrossRef]
 - Yavorovsky, Y.V.; Sultanguzin, I.A.; Khristenko, B.A.; Kruglikov, D.A.; Chaikin, V.Y. Research and development of ice storage in building energy supply system. J. IOP Conf. Ser. Mater. Sci. Eng. 2021, 1089, 012027. [Google Scholar] [CrossRef]
 - Ding, Z.; Jiang, Z.; Wang, J.; Wang, D. The heat transfer enhancement of low temperature airflow foam effect in the ice storage charging process. J. Energy Build. 2019, 204, 109447. [Google Scholar] [CrossRef]
 - Chong, Z.; Luwei, Y.; Wenye, L.; Juan, W.; Jiaxiang, C.; Zhenjun, M. Experimental investigation and life-cycle cost analysis of a cold storage enhanced vacuum cooling system using ice slurry. J. Sustain. Energy Technol. Assess. 2021, 45, 101074. [Google Scholar] [CrossRef]
 - Ajarostaghi, S.S.M.; Poncet, S.; Sedighi, K.; Delavar, M.A. Numerical Modeling of the Melting Process in a Shell and Coil Tube Ice Storage System for Air-Conditioning Application. J. Appl. Sci. 2019, 9, 2726. [Google Scholar] [CrossRef]
 - Jian, K.X.; Quan, B.H.; Lei, H. Exergy analysis of large temperature difference series air conditioners in subway stations. J. E3S Web Conf. 2020, 165, 04067. [Google Scholar] [CrossRef]
 - Kaishing, Y.; Yunsheng, C.; Chiahsing, H.; Minlun, C. Chichuan, Performance of Commercially Open Refrigerated Showcases with and without Ice Storage—A. Case Study. J. Processes 2021, 9, 683. [Google Scholar] [CrossRef]
 - Bi, Y.; Yu, M.; Wang, H.; Huang, J.; Lyu, T. Experimental investigation of ice melting system with open and closed ice-storage tanks combined internal and external ice melting processes. J. Energy Build. 2019, 194, 12–20. [Google Scholar] [CrossRef]
 - Bonales, R.S. Thermal conductivity of ice prepared under different conditions. J. Int. J. Food Prop. 2017, 20, 610–619. [Google Scholar] [CrossRef]
 - Kimura, M.; Urano, S.-I.; Okada, K.; Saeki, T. Study on utilization of cold energy from natural ice—Ice-making efficiency of small ice containers stacked in a cold room. J. Cold Reg. Sci. Technol. 2009, 60, 146–153. [Google Scholar] [CrossRef]
 - Panchabikesan, K.; Haghighat, F.; Velraj, R. Influence of PCM thermal conductivity and HTF velocity during charging of PCM through the free cooling concept—A parametric study. J. Energy 2019, 21, 48–57. [Google Scholar] [CrossRef]
 - Zhang, X.J.; Qiu, L.M.; Zhang, P.; Liu, L.; Gan, Z.H. Performance improvement of vertical ice slurry generator by using bubbling device. J. Energy Convers. Manag. 2007, 49, 83–88. [Google Scholar] [CrossRef]
 - Mokhtari, M.; Chaouki, J. Effect of Solid Loading and Particle Size on the Phase Holdup Distribution and Bubble Behaviour in a Pilot-Scale Slurry Bubble Column. J. Chem. Eng. Sci. 2021, 243, 116732. [Google Scholar] [CrossRef]
 - Belusko, M.; Sheoran, S.; Bruno, F. Effectiveness of direct contact PCM thermal storage with a gas as the heat transfer fluid. J. Appl. Energy 2015, 137, 748–757. [Google Scholar] [CrossRef]
 - Ahmadi, M.S.; Argyropoulos, S.A.; Bussmann, M.; Doutre, D. Comparative Studies of Silicon Dissolution in Molten Aluminum Under Different Flow Conditions Part II: Two-Phase Flow. J. Metall. Mater. Trans. 2015, 46, 1290–1301. [Google Scholar] [CrossRef]
 - Mohamed, M.M. Solidification of phase change material on vertical cylindrical surface in holdup air bubbles. J.-Ternational J. Refrig. 2004, 28, 403–411. [Google Scholar] [CrossRef]
 - Wu, C.-T.; Tsai, Y.-H. Design of an ice thermal energy storage system for a building of hospitality operation. J. Int. J. Hosp. Manag. 2015, 46, 46–54. [Google Scholar] [CrossRef]
 - Xu, Y.; Ma, X.; Hassanien, R.H.E.; Luo, X.; Li, G.; Li, M. Performance analysis of static ice refrigeration air conditioning system driven by household distributed photovoltaic energy system. J. Sol. Energy 2017, 158, 147–160. [Google Scholar] [CrossRef]
 - Arcuri, B.; Spataru, C.; Barrett, M. Evaluation of ice thermal energy storage (ITES) for commercial buildings in cities in Brazil. J. Sustain. Cities Soc. 2017, 29, 178–192. [Google Scholar] [CrossRef]
 - Rismanchi, B.; Saidur, R.; Masjuki, H.H.; Mahlia, T.M.I. Thermodynamic evaluation of utilizing different ice thermal energy storage systems for cooling application in office buildings in Malaysia. J. Energy Build. 2012, 53, 117–126. [Google Scholar] [CrossRef]
 - Thorat, B.N.; Joshi, J.B. Regime transition in bubble columns: Experimental and predictions. J. Exp. Therm. Fluid Sci. 2004, 28, 423–4305. [Google Scholar] [CrossRef]
 - B, H.M.; Marek, K.; Hasan, S. An Overview of Heat Transfer Enhancement Based Upon Nanoparticles Influenced by Induced Magnetic Field with Slip Condition Via Finite Element Strategy. J. Acta Mech. Et Autom. 2022, 16, 200–206. [Google Scholar] [CrossRef]
 - Bilal, H.M.; Marek, K.; Hasan, S.; Ali, P.A. Mohammad, Simulation of hybridized nanofluids flowing and heat transfer enhancement via 3-D vertical heated plate using finite element technique. J. Sci. Rep. 2022, 12, 11658. [Google Scholar] [CrossRef]
 - Bilal, H.M.; Marek, K.; Sooppy, N.K.; Wasim, J.; Ali, P.A. A finite element analysis of thermal energy inclination based on ternary hybrid nanoparticles influenced by induced magnetic field. J. Int. Commun. Heat Mass Transf. 2022, 135, 106074. [Google Scholar] [CrossRef]
 - Hyndman, C.L.; Larachi, F.; Guy, C. Understanding gas-phase hydrodynamics in bubble columns: A convective model based on kinetic theory. Chem. Eng. Sci. 1997, 52, 63–77. [Google Scholar] [CrossRef]
 - White, F.M. Viscous Fluid Flow, 3rd ed.; McGraw-Hill: New York, NY, USA, 2006. [Google Scholar]
 - Pfleger, D.; Gomes, S.; Gilbert, N.; Wagner, H.-G. Hydrodynamic simulations of laboratory scale bubble columns fundamental studies of the Eulerian–Eulerian modelling approach. J. Chem. Eng. Sci. 1999, 54, 5091–5099. [Google Scholar] [CrossRef]
 - Kataoka, I.; Serizawa, A. Basic equations of turbulence in gas-liquid two-phase flow. J. Int. J. Multiph. Flow 1989, 15, 843–855. [Google Scholar] [CrossRef]
 - Deen, N.G.; Hjertager, B.H.; Solberg, T. Comparison of PIV and LDA Measurement Methods Applied to the Gas-Liquid Flow in a Bubble Column. In Proceedings of the 10th International Symposion on Application of Laser Techniques to Fluid Mechanics, Lisbon, Portugal, 10–13 July 2000. [Google Scholar]
 - Kailiang, T. CFD Simulation of Gas-Liquid Flow and Mass Transfer Process in Bubble Column Reactor. Ph.D. Thesis, Beijing University of Chemical Technology, Beijing, China, 2020. [Google Scholar] [CrossRef]
 




















| Number of elements | 1.205 × 106 | 
| Grid volume | 0.1296 | 
| Cell volume ratio | 2.023 × 10−5 | 
| Minimal grid unit quality | >0.1 | 
| Mean cell mass | 0.71 | 
Publisher’s Note: MDPI stays neutral with regard to jurisdictional claims in published maps and institutional affiliations.  | 
© 2022 by the authors. Licensee MDPI, Basel, Switzerland. This article is an open access article distributed under the terms and conditions of the Creative Commons Attribution (CC BY) license (https://creativecommons.org/licenses/by/4.0/).
Share and Cite
Yang, X.; Wang, Q.; Liu, Y.; Yang, D.; Wang, Y.; Qin, H.; Liu, Z.; Chen, H. Flow Characteristics and Heat-Transfer Enhancement of Air Agitation in Ice Storage Air Conditioning Systems. Energies 2022, 15, 5918. https://doi.org/10.3390/en15165918
Yang X, Wang Q, Liu Y, Yang D, Wang Y, Qin H, Liu Z, Chen H. Flow Characteristics and Heat-Transfer Enhancement of Air Agitation in Ice Storage Air Conditioning Systems. Energies. 2022; 15(16):5918. https://doi.org/10.3390/en15165918
Chicago/Turabian StyleYang, Xiao, Qiyang Wang, Yang Liu, Dongmei Yang, Yixu Wang, Haiyan Qin, Zedong Liu, and Hua Chen. 2022. "Flow Characteristics and Heat-Transfer Enhancement of Air Agitation in Ice Storage Air Conditioning Systems" Energies 15, no. 16: 5918. https://doi.org/10.3390/en15165918
APA StyleYang, X., Wang, Q., Liu, Y., Yang, D., Wang, Y., Qin, H., Liu, Z., & Chen, H. (2022). Flow Characteristics and Heat-Transfer Enhancement of Air Agitation in Ice Storage Air Conditioning Systems. Energies, 15(16), 5918. https://doi.org/10.3390/en15165918
        
                                                
