A PID Control Method Based on Internal Model Control to Suppress Vibration of the Transmission Chain of Wind Power Generation System
Abstract
:1. Introduction
2. Mathematical Model of the Two-Mass Wind Turbine Drivetrain
2.1. Wind Turbine Drivetrain
2.2. Mathematical Model of the Two-Mass Wind Turbine Drivetrain
3. Vibration Analysis of Wind Turbine Drivetrain
3.1. Elastic Vibration of Two-Mass Wind Turbine Drivetrain
3.1.1. Elastic Vibration Analysis of Two-Mass Wind Turbine Drivetrain
- (1)
- The speed generated by the rotational torque of the wind turbine is ; we can obtain Equation (3):
- (2)
- The speed generated by the load torque is , thus
- (3)
- The speed produced by is
3.1.2. Elastic Vibration Experiment of the Two-Mass Wind Turbine Drivetrain
3.2. The Vibration Caused by Gear Clearance in Wind Turbine Drivetrain
3.2.1. Nonlinear Characteristics of Gear Clearance and Its Influence
- (1)
- The gear clearance lead to decrease in output signal amplitude and phase lag occur. As illustrated in Figure 6b, the output signal is limited due to the influence of by gear clearance characteristics. Due to the influence of the gear clearance 2b, the output signal lags behind the input signal in the phase by an angle of φ. Thus, the stability and dynamic performance of the system are affected, and the system’s instability is increased.
- (2)
3.2.2. Experimental Verification of Nonlinear Vibration of Gear Clearance
4. Methods to Suppress Vibration of Wind Turbine Drivetrain
4.1. PID Control Method to Suppress Elastic Vibration of the Wind Turbine Drivetrain
4.2. Methods to Suppress the Clearance Vibration of the Wind Turbine Drivetrain
4.2.1. Equivalence of Gear Clearance Nonlinearity
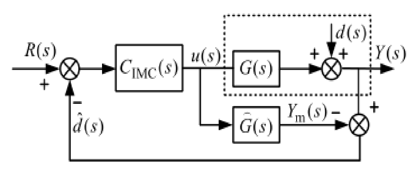
4.2.2. Principle of IMC to Suppress Nonlinear Disturbance of Gear Clearance
- (1)
- IMC can adjust the output deviation caused by unmeasured disturbance d(s).
- (2)
- When the model is matched with the controlled object, that is, and the system can overcome any unmeasured disturbance d(s) and achieve no deviation tracking for any input R(s). For example, as can be seen from Figure 13
4.3. Internal Model (IMC) ControllerDesign
4.3.1. Design of IMC Controller for Wind Turbine Side
- (1)
- Structural diagram transformation of two-mass wind turbine drivetrains for wind turbine side
- (2)
- Design of IMC controller for wind turbine side
4.3.2. Design of IMC Controller for Generator Side
4.4. Suppression Strategy of Gear Clearance Vibration
5. Design of PID Controller Based on IMC
5.1. PID Controller Design Method Based on IMC
5.2. Design of PID Controller Based on IMC
5.2.1. Design of PID Controller Based on IMC for Wind Turbine Side
5.2.2. Design of PID Controller Based on IMC for Generator Side
6. Simulation Experiment and Result Analysis
6.1. Speed Experiment of the Wind Turbine Side
6.1.1. Speed Experiment of PID Control Based on IMC for Wind Turbine Side
- (1)
- Transfer function of the controlled object:
- (2)
- PID controller based on IMC:
- (3)
- The PID simulation plan 1: A Simulink simulation model was developed using the feedback control structure illustrated in Figure 12 and the transfer function of Equation (24). The wind turbine speed waveform is shown in Figure 16. Figure 16a,b show the output speed waveforms of the wind turbine, with α = 10, 2, respectively.
- (4)
- The result analysis of PID simulation 1: As illustrated in Figure 16, using the wind turbine speed as the controlled variable and a PID controller based on the IMC, the vibration caused by the wind turbine drivetrain’s elasticity is eliminated. The wind turbine’s output speed Ww waveform can track the reference input Ww.ref accurately without vibration. Experimental results validate the theoretical analysis. It demonstrates that a PID controller based on IMC can suppress vibration caused by elasticity. The larger the α, the smaller value of the vibration amplitude.
- (5)
- The PID simulation plan 2: A Simulink simulation model was developed using the control structure illustrated in Figure 9a and the transfer function of Equation (24). The wind turbine speed waveform is shown in Figure 17. Figure 17a,b show the output speed waveforms of the wind turbine, with α = 10, 2, respectively.
- (6)
- The result analysis of PID simulation 2: In Figure 17, using the control structure illustrated in Figure 9a and the controller based on the IMC, the vibration caused by the wind turbine drivetrain’s elasticity is eliminated. The wind turbine’s output speed waveform can track the reference input accurately without vibration. It demonstrates that a PID controller based on IMC can suppress vibration caused by elasticity. The effect of vibration suppression is consistent with that of experimental scheme 1.
6.1.2. Speed Experiment Based on IMC for Wind Turbine Side
- (1)
- In Figure 14b, the controlled object on the wind turbine side
- (2)
- The filter is selected as ; then, the wind turbine side IMC controller is designed as
- (3)
- IMC simulation plan: A Simulink simulation model was developed using the IMC control structure illustrated in Figure 13 and the transfer function of Equation (25). The wind turbine speed waveform is shown in Figure 18. Figure 18a,b show the output speed waveforms of the wind turbine, with α = 10, 2, respectively.
- (4)
- The result analysis of simulation: As illustrated in Figure 18, using the wind turbine speed as the controlled variable and an IMC controller, the vibration caused by the wind turbine drivetrain’s gear clearance is eliminated. The wind turbine’s output speed waveform can track the reference input accurately without vibration. Experimental results validate the theoretical analysis. The larger the α, the better the effect of vibration suppression.
6.2. Speed Experiment of the Generator Side
6.2.1. Speed Experiment of PID Control Based on IMC for Generator Side
- (1)
- Transfer function of the controlled object:
- (2)
- PID controller based on IMC:
- (3)
- The PID simulation plan 1: A Simulink simulation model was developed using the feedback control structure illustrated in Figure 12 and the transfer function of Equation (26). The generator speed waveform is shown in Figure 19. Figure 19a,b show the output speed waveforms of the generator, with β = 15, 20, respectively.
- (4)
- The result analysis of PID simulation 1: As illustrated in Figure 19, using the generator speed as the controlled variable and a PID controller based on the IMC, Figure 19 demonstrates that a PID controller based on IMC can suppress the vibration caused by elasticity. The larger value the β, the longer the dynamic response time.
- (5)
- The PID simulation plan 2: A Simulink simulation model was developed using the control structure illustrated in Figure 9b and the transfer function of Equation (26). The generator speed waveform is shown in Figure 20. Figure 20a,b show the output speed waveforms of the generator when β = 15, 20, respectively.
- (6)
- The result analysis of PID simulation 2: As illustrated in Figure 20, using the generator speed of Figure 9b as the controlled variable and a PID2 controller based on the IMC, Figure 20 demonstrates that a PID2 controller based on IMC can suppress the vibration caused by elasticity. The larger the value of β, the longer the dynamic response time. The effect of vibration suppression is consistent with that of experimental scheme 1.
6.2.2. Speed Experiment Based on IMC for Generator Side
- (1)
- (2)
- The filter is selected as ; then, the generator side IMC controller is designed as
- (3)
- IMC simulation plan: A Simulink simulation model was developed using the IMC control structure illustrated in Figure 13 and the transfer function of Equation (27). The generator speed waveform is shown in Figure 21. Figure 21a,b show the output speed waveforms of the generator when β = 15, 20, respectively.
- (4)
- The result analysis of simulation: As illustrated in Figure 21, using the generator speed as the controlled variable and an IMC controller, the vibration caused by the wind turbine drivetrain’s gear clearance is eliminated. The generator’s output speed waveform can track the reference input without vibration. The smaller value of the β, the better the dynamic response performance.
7. Conclusions
- (1)
- A disturbance suppression method based on IMC was proposed to address the nonlinear bounded disturbance presented by the nonlinear unit of gear clearance. The nonlinear disturbance factors associated with gear clearance are suppressed by utilizing the IMC’s effective disturbance rejection performance.
- (2)
- An equivalent PID controller based on IMC is used to suppress elasticity vibration in a two-mass wind turbine drivetrain. PID control can be used to suppress elastic vibration, while IMC can be used to suppress nonlinear clearance vibration. The simulation results demonstrate the method’s efficacy.
Author Contributions
Funding
Institutional Review Board Statement
Informed Consent Statement
Data Availability Statement
Conflicts of Interest
References
- Zhao, M.; Ji, J.C. Nonlinear torsional vibrations of a wind turbine gearbox. Appl. Math. Model. 2015, 39, 4928–4950. [Google Scholar] [CrossRef]
- Zhao, M.; Ji, J. Dynamic Analysis of Wind Turbine Gearbox Components. Energies 2016, 9, 110. [Google Scholar] [CrossRef]
- Yang, M.; Hu, H.; Xu, D.-G. Cause and suppression of mechanical resonance in PMSM servo system. Electr. Mach. Control 2012, 16, 79–84. [Google Scholar]
- Yang, M.; Hao, L.; Xu, D.-G. Online suppression of mechanical resonance based on adapting notch filter. J. Harbin Inst. Technol. 2014, 46, 63–69. [Google Scholar]
- Zhang, G.; Hrusho, J. Vibration Control of Three-Inertia System. In Proceedings of the IECON’99. Conference Proceedings. 25th Annual Conference of the IEEE Industrial Electronics Society, San Jose, CA, USA, 29 November–3 December 1999; pp. 1045–1050. [Google Scholar]
- Wu, Y.; Fujikawa, K.; Kobayashi, H. A Torque Control Method of Two-Mass Resonant System with PID-P Controller. In Proceedings of the 1998 IEEE 5th International Workshop on Advanced Motion Control. Proceedings (AMCelectronics-1851317—98), Coimbra, Portugal, 29 June–1 July 1998; pp. 1046–1052. [Google Scholar]
- Nakayama, Y.; Fujikawa, K.; Kobayashi, H. A Torque Control Method of Three-Inertia Torsional System with Backlash. In Proceedings of the 2000 IEEE 6th International Workshop on Advanced Motion Control. Proceedings, Nagoya, Japan, 30 March–1 April 2000; pp. 193–198. [Google Scholar]
- Ikeda, H.; Ueda, S. Design of Vibration Suppression Controller for High Order Resonance System by Mutation-Type Grouping PSO. In Proceedings of the 2013 IEEE 10th International Conference on Power Electronics and Drive Systems (PEDS), Kitakyushu, Japan, 22–25 April 2013; pp. 767–772. [Google Scholar]
- Xia, C.; Na, X.-Z.; Chai, X.-H.; Song, T. Analysis on Mechanism and Suppression of Mechanical Resonance in Servo System. Navig. Position. Timing 2016, 3, 29–34. [Google Scholar]
- Harnefors, L.; Nee, H.-P. Model-Based Current Control of AC Machines Using the Internal Model Control Method. IEEE Trans. Ind. Appl. 1998, 34, 133–141. [Google Scholar] [CrossRef]
- Wu, P.J.; Ma, S.K.; Chen, Q.; Yang, G.; Li, X. Resonant Suppression of Flexible System by Feedback Compensation of Resonant Frequencies. Trans. China Electrotech. Soc. 2017, 32, 188–194. [Google Scholar]
- Miao, F.-L.; Shi, H.-S.; Zhang, X.-Q. Modelling of Wind Turbines Coupled in Multi Domain and Dynamic Response Analysis. Proc. CSEE 2015, 35, 1704–1712. [Google Scholar]
- Yang, M.; Hao, L.; Xu, D.-G. Analysis of mechanical resonance mechanism and fast identification of resonance characteristic for 2-mass system with elastic load. Electr. Mach. Control. 2016, 20, 112–120. [Google Scholar]
- Xu, Z.; Pan, Z.-P. Influence of Different Flexible Drive Train Models on the Transient Responses of DFIG Wind Turbine. In Proceedings of the 2011 Electrical Machines and Systems (ICEMS), Beijing, China, 20–23 August 2011. [Google Scholar]
- He, C.-Y.; Zhang, X.-D.; Wu, K.; Yu, D.-D. Compensation Method for Gap of Electric Servo and Engine. Aerosp. Shanghai 2016, 33, 117–121. [Google Scholar]
- Shahruz, S.M. Performance Enhancement of a Class of Nonlinear Systems by Disturbance Observers. IEEE ASME Trans. Mechatron. 2000, 5, 319–323. [Google Scholar] [CrossRef]
- Zhou, Y.-S. Internal Model Control Technology of Induction Motor AC-AC Frequency Conversion Speed Regulation System; Publishing House of Electronics Industry: Beijing, China, 2005; pp. 30–33. [Google Scholar]
- Xing, Z.; Chen, L.; Xu, J.; Yang, Y. Torque Control Strategy Research of Large- Scale Vspr Wind Turbine. Acta Energ. Sol. Sin. 2012, 33, 738–744. [Google Scholar]
- Sun, J. Control on Vibration of the Drive Chain in Wind Turbine. Electr. Mach. Technol. 2017, 4, 23–27. [Google Scholar]
- Li, J.; He, G.; Lan, Y.; Hu, H. Measurement and Suppression of Shafting Torsional Vibration of Wind Turbine Drive System. Ship Eng. 2019, 41, 252–255. [Google Scholar]
- Kongratana, V.; Tipsuwanporn, V.; Numsomran, A.; Detchrat, A. IMC-Based PID Controllers Design for Torsional Vibration System. In Proceedings of the 12th International Conference on Control, Automation and Systems, Jeju, Korea, 17–21 October 2012; pp. 892–895. [Google Scholar]
- Pawar, S.N.; Borase, R.P.; Jadhav, S.P. Design and Implementation of IMC based PID Control using Arduino for Process Control Application. In Proceedings of the 2020 International Conference on Industry 4.0 Technology (I4Tech), Pune, India, 13–15 February 2020; pp. 29–33. [Google Scholar]
- Suvilath, S.; Khongsomboun, K.; Benjanarasuth, T.; Komine, N. IMC-Based PID Controllers Design for a Two-Links SCARA Robot. In Proceedings of the TENCON 2011—2011 IEEE Region 10 Conference, Bali, Indonesia, 21–24 November 2011; pp. 1030–1034. [Google Scholar]





















| No | Parameter | Value |
|---|---|---|
| 1 | 2.6 | |
| 2 | 0.776 | |
| 3 | K | 0.452 |
| 4 | 2b (rad) | 0.2 |
Publisher’s Note: MDPI stays neutral with regard to jurisdictional claims in published maps and institutional affiliations. |
© 2022 by the authors. Licensee MDPI, Basel, Switzerland. This article is an open access article distributed under the terms and conditions of the Creative Commons Attribution (CC BY) license (https://creativecommons.org/licenses/by/4.0/).
Share and Cite
Zhou, C.; Shen, Y. A PID Control Method Based on Internal Model Control to Suppress Vibration of the Transmission Chain of Wind Power Generation System. Energies 2022, 15, 5919. https://doi.org/10.3390/en15165919
Zhou C, Shen Y. A PID Control Method Based on Internal Model Control to Suppress Vibration of the Transmission Chain of Wind Power Generation System. Energies. 2022; 15(16):5919. https://doi.org/10.3390/en15165919
Chicago/Turabian StyleZhou, Chenyang, and Yanxia Shen. 2022. "A PID Control Method Based on Internal Model Control to Suppress Vibration of the Transmission Chain of Wind Power Generation System" Energies 15, no. 16: 5919. https://doi.org/10.3390/en15165919
APA StyleZhou, C., & Shen, Y. (2022). A PID Control Method Based on Internal Model Control to Suppress Vibration of the Transmission Chain of Wind Power Generation System. Energies, 15(16), 5919. https://doi.org/10.3390/en15165919
