Next Article in Journal
Optimizing the Design of a Biomass-to-Biofuel Supply Chain Network Using a Decentralized Processing Approach
Previous Article in Journal
Synergy Degree Evaluation of Stakeholder Engagement in Integrated Municipal Solid Waste Management: A Case Study in Harbin, China
 
 
Font Type:
Arial Georgia Verdana
Font Size:
Aa Aa Aa
Line Spacing:
Column Width:
Background:
Article

Passivity-Based Power-Level Control of Nuclear Reactors

Institute of Nuclear and New Energy Technology, Collaborative Innovation Centre of Advanced Nuclear Energy Technology, Key Laboratory of Advanced Reactor Engineering and Safety of Ministry of Education, Tsinghua University, Beijing 100084, China
*
Authors to whom correspondence should be addressed.
Energies 2022, 15(14), 4997; https://doi.org/10.3390/en15144997
Submission received: 29 May 2022 / Revised: 1 July 2022 / Accepted: 6 July 2022 / Published: 8 July 2022

Abstract

:
Nonlinear power-level control of nuclear reactors can guarantee wide-range closed-loop stability that is positive for plant load-following capability. Nuclear reactor power dynamics are the tight interconnection of both neutron kinetics and thermal hydraulics, which determines that the corresponding control design model is a complex nonlinear system with large uncertainty. Although nuclear reactor dynamics are complex, it is meaningful to develop simple but effective power-level control methods for easy practical implementation and commissioning. In this paper, a passivity-based control (PBC) is proposed for nuclear reactor power-level dynamics, which has a simple form and relies on the measurement of both neutron flux and average primary coolant temperature. By constructing the Lyapunov function based on the shifted ectropies of neutron kinetics and reactor core thermal hydraulics, the sufficient condition for globally asymptotic closed-loop stability is further given. Finally, this PBC is applied to the power-level control of a nuclear heating reactor, and simulation results show the feasibility and satisfactory performance.

1. Introduction

Nuclear reactor power-level control is a nonlinear control problem that has been a hot topic in the fields of nuclear engineering for more than two decades, and some exciting results have been given. To design the autonomous control system of the space reactor TOPAZ II, the sliding mode control (SMC) method is adopted for the automatic control functions including reactor startup and shutdown as well as power-level maintaining, ramping, and load-following [1]. In addition, some high-order SMC designs are presented for pressurized water reactors (PWRs) to mitigate the chattering effect during power maneuvering [2,3]. Feedback linearization (FL) is also an effective nonlinear control method, which is interconnected with a robust disturbance observer for the disturbance attenuation reactor power control in [4]. Although the SMC and FL-based power control can provide strong closed-loop stability, these control laws usually have complicated expressions, inducing the difficulty in the deployment. Actually, proportional–integral–differential (PID)-like control laws still dominate practical control applications in nuclear power engineering. Hence, it is meaningful to develop simple reactor power-level control laws that are able to guarantee strong closed-loop stability performance.
Due to its simple expression and high performance, passivity-based control (PBC) methods have been intensively studied in the last two decades, which are mostly developed for mechanical, electrical, and magnetic systems and their interconnections. The basic idea of PBC is to reshape the storage function of open-loop dynamics to a convex positive-definite function with its setpoint as its minimal point by feedback control. The PBC called control by interconnection (CbI) is proposed in [5], which gives simple static output control laws by reshaping the energy function via Casimir functions. However, given by its energy-balancing characteristics, the CbI cannot inject extra damping for enhancing the convergence of storage function, which is briefly called the dissipation obstacle [6]. The interconnection and damping assignment PBC (IDA-PBC) proposed in [7] avoids the dissipation obstacle based on state-feedback control design of solving a set of first-order partial differential equations, which is more complex in implementation and commissioning with comparison to the CbI. To remove the dissipation obstacle by a simple manner, the power-shaping CbI (PS-CbI) is given in [8]. The key idea of PS-CbI is to extend the original dynamical system to a higher-order passive system, and the associated extend state vector is the cyclopassive output of original system defined as the function of the control input, the original state vector and its derivative. By adopting necessary adaptation mechanism and injecting extra damping terms, the PS-CbI can further provide asymptotically closed-loop stability [9]. In addition, the power-shaping PBC given in [10,11] is another method being able to overcome the dissipation obstacle, which provides the design of a PBC by reshaping the power function instead of the energy function. Similar to the IDA-PBC, the power-shaping method still relies on solving partial differential equations. To sum up the PBC design methods, it can be seen that: (1) obtaining a storage function with its minimal point giving the expected balance of energy, mass, or momentum is the basis of applying PBC methods; (2) traditional CbI gives simple static output feedback control without extra damping; (3) IDA-PBC and power-shaping PBC can provide extra damping, whose design procedures rely on solving partial differential equations; and (4) PS-CbI provides extra damping by embedding the original dynamics to a higher-order passive system.
The PBC methods have been widely applied to industrial equipment and processes, where the classic CbI and IDA-PBC are the most two popular methods. The classical CbI has been applied to the frequency stabilization of multimachine power system [12], the motion control of induction motors [13], and the temperature control of heat exchanger networks [14], whose popularity comes from its simplicity. The IDA-PBC method is applied for designing the state-feedback control laws for induction motors [15], hydroturbine systems [16], multimachine power systems considering hydroturbine with surge tank [17], a fuel cell/super-capacitor hybrid system [18], brushless DC motor [19], and electric vehicles (EVs) [20]. The popularity of the IDA-PBC method is given by its capability of injecting extra damping, and usually proper state observers are necessary for realizing practically implementable dynamic output feedback control strategies. Moreover, the power shaping PBC has been applied to the control of reaction systems such as the continuous stirred tan reactor (CSTR) [21].
Since nuclear reactors are complex irreversible thermodynamic process with fission reaction, it is meaningful to develop PBC methods for simply controlling the power level of nuclear reactors, which might enhance the operation performance. Currently, there have been some interesting results on the PBC design of nuclear fission reactors and plants. For pressurized water reactors (PWRs), by giving the storage function from the shifted ectropies of neutron kinetics and reactor thermal hydraulics, a proportional–differential (PD) control is proposed by the use of classical CbI, being able to provide globally asymptotical closed-loop stability [22]. The parameter uncertainties can be further compensated by coupling an adaptation law with this PD control [23]. To further improve the performance of PD control, the port-Hamiltonian form of PWR dynamics is given, and an extra damping integration about the weighted sum of the errors in both neutron flux and primary coolant temperature is newly added to the PD law [24]. Several PBC methods have been given for the modular high-temperature gas-cooled reactors (mHTGRs) [25]. Based on the classical CbI, a simple static output feedback power control is designed for mHTGRs, which provides globally asymptotic closed-loop stability [26]. By coupling the IDA-PBC with backstepping, a dynamic output feedback power-level control law is further given, which has stronger performance but is too complicated to be implemented practically [27]. By considering the nonlinearity from dead zone and saturation as well as the coupled primary pressure dynamics, the simple control given in [26] can be further enhanced [28,29]. Moreover, based on the basic idea of PBC, the coordinated control for a single mHTGR-based nuclear steam supply system (NSSS) module [30,31] and that for several NSSS modules coupled by a common steam turbine [32] are also proposed for the control of the entire plant. The current PBC design for the power control of nuclear reactors are mainly based on the classic CbI method. The result based on the IDA-PBC should be implemented with an additional state observer, which largely strengthens the complexity and difficulty in deployment. To further enhance the closed-loop stability for better power ramping capability in the framework of PBC, extra damping terms related with specific performance indices should be injected.
In this paper, a novel passivity-based power-level control of nuclear reactors is proposed by extending the original power dynamics to a higher-order passive system, where the extra damping terms are given by the extended state variables. The storage function is given by not only the shifted ectropies of neutron kinetics and thermal hydraulics but also the squares of extended state variables. The sufficient condition for globally asymptotic closed-loop stability is given, and the PBC is then applied to the power-level control of a nuclear heating reactor (NHR). Simulation results in the case of power stepping show the feasibility and satisfactory performance.

2. State-Space Model for Control Design

The basic principle of nuclear reactor power level control by using control rods as the actuator is schematically shown in Figure 1. The inputs of a power-level controller are the errors of neutron flux and average coolant temperature, where the errors are the deviations of the measurements from the setpoints. The output of a power-level controller is the control rod speed signal, which drives the control rods for proper reactivity. The neutron flux is measured by the instruments such as ion chamber detectors, and the measurement of average coolant temperature is the algebraic mean of the measurements of reactor inlet and outlet coolant temperatures. It is the basic requirement for a nuclear reactor power-level controller to suppress or eliminate the errors while guaranteeing satisfactory closed-loop stability. In this section, the nonlinear state-space model of point reactor dynamics is first given. Then, a port-Hamiltonian form of nuclear reactor dynamics is proposed, and the control problem to be solved is finally raised.
The nuclear reactor dynamics for control design is usually given by the point kinetics with an equivalent group of delayed neutrons and the reactivity feedback from the averaged fuel and coolant temperatures that can be given as
Λ n ˙ r = β n r c r + n r ρ r + α f T f T f , m + α c T cav T cav , m , c ˙ r = λ n r c r , μ f T ˙ f = Ω T f T cav + P 0 n r , μ c T ˙ cav = Ω T f T cav 2 M T cav T cin , ρ ˙ r = G r v r .
where nr is the normalized neutron flux, cr is the normalized concentration of delayed neutron precursors, β is the fraction of delayed neutrons, Λ is the effective prompt neutron lifetime, λ is the radioactive decay constant of delayed neutron precursor, αf and αc are respectively the reactivity feedback coefficients of the fuel and coolant temperatures, Tf and Tcav are respectively the average temperatures of fuel assemblies and primary coolant, Tcav,m and Tf,m are respectively the initial steady values of Tcav and Tf, Tcin is the primary coolant temperature at reactor core inlet, Ω is the heat transfer coefficient between the fuel and primary coolant, M is the primary heat capacity flow-rate, i.e., the multiplication of primary mass flowrate and specific heat capacity at constant pressure, P0 is the rated reactor thermal power, μf and μc are respectively the total heat capacities of fuel assemblies and primary coolant, and ρr, Gr, and zr are the induced reactivity, differential worth, and speed of control rods, respectively. It is not loss of generality to assume that scalar αf is negative, which should be satisfied by all the current nuclear reactor designs to avoid severe accidents.
Let nr0, cr0, Tf0, Tcav0, Tcin0, and ρr0 be the setpoints of reactor process variables nr, cr, Tf, Tcav, Tcin, and ρr, respectively, where the setpoints are taken as the steady-state solution of (1) corresponding to the power setpoint. Then, the deviations of process variables from their setpoints can be given as δnr = nrnr0, δcr = crcr0, δTf = TfTf 0, δTcav = TcavTcav0, δTcin = TcinTcin0, δρr = ρrρr0.
We define
x = x i 4 × 1 = δ n r δ c r δ T f δ T cav T
ξ = δ ρ r
as the state variables while taking
u = G r v r
as the control input. Here, it is assumed that δTcin = 0, which means that the influence of secondary-loop is omitted. Based on (2)–(4), the nonlinear state-space model of nuclear reactor dynamics can be written as
x ˙ = f x + g x 1 ξ , ξ ˙ = u , y = h x ,
where y is the measurement output, and vector functions f(x), g(x) and h(x) are given by
f x = β Λ x 1 x 2 + n r 0 + x 1 Λ α f x 3 + α c x 4 λ x 1 x 2 Ω μ f x 3 x 4 + P 0 μ f x 1 Ω μ c x 3 x 4 2 M μ c x 4
g x 1 = G r Λ n r 0 + x 1 0 0 0 T
h x = x 1 x 4 T
From (5), the evolutional trend of state vector x is given by both the neutron kinetics and reactor thermal hydraulics, while that of the state variable ξ is determined by control rod dynamics. To guarantee desirable operation performance, it is meaningful to design a control law for nonlinear system (5) so that xO as t→∞.

3. Passivity-Based Control Design

The PBC design for nuclear reactor power-level dynamics given by (5) is summarized as the following theorem.
Theorem 1.
Consider nonlinear system (5) with control input u determined by
u = k P 1 x 1 + k D 1 x ˙ 1 + k P 4 x 4 + k D 4 x ˙ 4 + κ 1 ζ 1 + κ 2 ζ 2 ζ ˙ 1 = κ 1 ζ 1 + k p 1 x 1 , ζ ˙ 2 = κ 2 ζ 2 + k p 4 x 4 ,  
where
ζ = ζ 1 ζ 2 T
is the auxiliary state vector, ζi(0) = 0 (i = 1, 2), gains kD1, kD4, kP1 and kP4 as well as damping coefficients κ1 and κ2 are positive constants. The extended state vector z defined by
z = x T ζ T T
converges to the origin globally and asymptotically if
k D 1 + G r P 0 2 α f k D 4 α c 2 M + k P 4 κ 2 c 1
κ 2 k P 4 1 M c 2
where ci (i = 1, 2) are arbitrarily given positive constants.
Proof. 
From model (5), it is reasonable to regard ξ as a virtual control, and design the stabilizer for subsystem
x ˙ = f x + g x ξ , y = h x .
The shifted ectropies for the neutron kinetics and reactor thermal hydraulics are given by positive definite functions
E N x 1 , x 2 = Λ x 1 n r 0 ln 1 + x 1 n r 0 + β λ x 2 n r 0 ln 1 + x 2 n r 0
and
E T x 3 , x 4 = 1 2 μ R x 3 2 + μ H x 4 2
respectively. By differentiating (15) and (16) along the trajectory of subsystem (14), it can be found that the time derivatives of EN and ET satisfy
E ˙ N = β x 1 x 2 2 n r 0 n r 0 + x 1 n r 0 + x 2 + x 1 α f x 3 + α c x 4 + G r ξ ,
and
E ˙ T = P 0 x 1 x 3 Ω x 3 x 4 2 2 M x 4 2 .
respectively. □
Design virtual control ξ as
ξ = k D 1 x 1 k D 4 x 4 ζ 1 ζ 2
where positive constants kD1 and kD4 are feedback gains, and both ζ1 are ζ2 are the auxiliary state variables to be designed.
Substitute control law (19) to Equation (17), and it can be seen that the time derivative of EN is given by
E ˙ N x 1 , x 2 = β x 1 x 2 2 n r 0 n r 0 + x 1 n r 0 + x 2 + x 1 α f x 3 + α c x 4 G r k D 1 x 1 2 + k D 4 x 1 x 4 + x 1 ζ 1 + x 1 ζ 2 .
Design auxiliary state variables ζi (i = 1, 2) as
ζ ˙ 1 = κ 1 ζ 1 + k P 1 x 1
ζ ˙ 2 = κ 2 ζ 2 + k P 4 x 4
where positive constants κi (i = 1, 2) are given damping coefficients and ζi(0) = 0 (i = 1, 2).
Define Lyapunov function candidate of extended system
x ˙ = f x + g x ξ ζ ˙ 1 = κ 1 ζ 1 + k P 1 x 1 ζ ˙ 2 = κ 2 ζ 2 + k P 4 x 4
as
V z = E N x 1 , x 2 + ζ 1 2 2 k P 1 α f P 0 E T x 3 , x 4 + ζ 2 2 2 k P 4
Since both functions EN and ET are positive definite and feedback coefficient αf is strictly negative, it can be seen that function V(z) is positive definite. Differentiate V(z) defined by (24) along the trajectory of the closed-loop system formed by (23) and (19):
V ˙ z = E ˙ N x 1 , x 2 + G r k P 1 ζ 1 ζ ˙ 1 α f P 0 E ˙ T x 3 , x 4 + ζ 2 ζ ˙ 2 k P 4 = β x 1 x 2 2 n r 0 n r 0 + x 1 n r 0 + x 2 G r k D 1 x 1 2 + k D 4 α c x 1 x 4 + x 1 ζ 2 + κ 1 ζ 1 2 k P 1 + α f P 0 Ω x 3 x 4 2 + 2 M x 4 2 x 4 ζ 2 + κ 2 ζ 2 2 k P 4 = β x 1 x 2 2 n r 0 n r 0 + x 1 n r 0 + x 2 G r κ 1 ζ 1 2 k P 1 + k D 1 + P 0 G r k D 4 α c 2 2 α f M + G r P 0 k P 4 2 α f κ 2 x 1 2 + α f P 0 Ω x 3 x 4 2 + M x 4 2 + 1 2 κ 2 k P 4 1 M ζ 2 2 + α f M 2 P 0 x 4 + G r P 0 k D 4 α c α f M x 1 2 + x 4 ζ 2 M 2 + α f κ 2 2 P 0 k P 4 ζ 2 G r P 0 k p 4 α f κ 2 x 1 2 .
From (25), it can be seen that if both inequalities (12) and (13) are satisfied, then
V ˙ z β x 1 x 2 2 n r 0 n r 0 + x 1 n r 0 + x 2 G r c 1 x 1 2 + κ 1 ζ 1 2 k P 1 + α f P 0 Ω x 3 x 4 2 + M x 4 2 + c 2 2 ζ 2 2 ,
which means that zO as t→∞, i.e., the extended system defined by (23) is globally asymptotically stable.
Furthermore, from the relationship
u = ξ ˙
the control input u can be given as
u = k P 1 x 1 + k D 1 x ˙ 1 + k P 4 x 4 + k D 4 x ˙ 4 + κ 1 ζ 1 + κ 2 ζ 2
By interconnecting (27) with (21) and (22), passivity-based control (9) can then be obtained. This completes the proof of this theorem.
Remark 1.
The system considered in the theorem is the nuclear reactor power dynamics, and the designed control law is for the regulation of reactor power-level. The control input u is just the control rod speed, i.e., the output of the control law. State variables x1 and x4 are just the error of normalized neutron flux and reactor coolant temperature. The control input u is essentially given by x1 and x4. By choosing storage function of nuclear reactor power dynamics as
S x = E N x 1 , x 2 α f P 0 E T x 3 , x 4
it can be derived that
S ˙ = β x 1 x 2 2 n r 0 n r 0 + x 1 n r 0 + x 2 Ω x 3 x 4 2 2 M x 4 2 + x 1 v
where
v = α c x 4 + G r ξ
From (28) and (30), the reactor power dynamics is passive, which is the reason to call control law (27) as a PBC.
Remark 2.
From (21) and (22), it can be seen that auxiliary state variables ζ1 and ζ2 are the weighted integration of x1 and x4, respectively. Hence, virtual control law (19) can be seen as a proportional–weighted–integral control law.
Remark 3.
From PBC (9), control input u can be written in S-domain as
u 1 s = G 1 s x 1 s + G 2 s x 4 s
where
G 1 s = k P 1 s s + κ 1 + k D 1 s
G 2 s = k P 4 s s + κ 2 + k D 4 s
It can be seen from (31)–(33) that the controller takes a simple form, which leads to easy implementation and commissioning in the practical engineering. Furthermore, it can be seen that PBC (9) degenerates to classical PD control if κ1 = κ2 = 0.

4. Simulation Results with Discussions

In this section, PBC (9) is applied to the power-level control of a 200MWth nuclear heating reactor (NHR), which is a typical integral pressurized water reactor (iPWR) with a series of advanced design features such as integral arrangement, self-pressurization, full-power-range natural circulation, passively decay heat removal, and a built-in hydraulic control rod driven mechanism [33,34,35]. The main reactor design parameters are given in Table 1.
The simulation is performed on Matlab/Simulink. Feedback gains kP1, kD1, kP4, kD4, and damping coefficients κ1 and κ2 should be chosen so that both inequalities (12) and (13) are satisfied. According to (12) and (13), it is set that kP1 = 1, kD1 = 10, kP4 = 0.0001, kD4 = 0.001, and different values of damping coefficients κ1 and κ2 are adopted to show their influence on control performance.
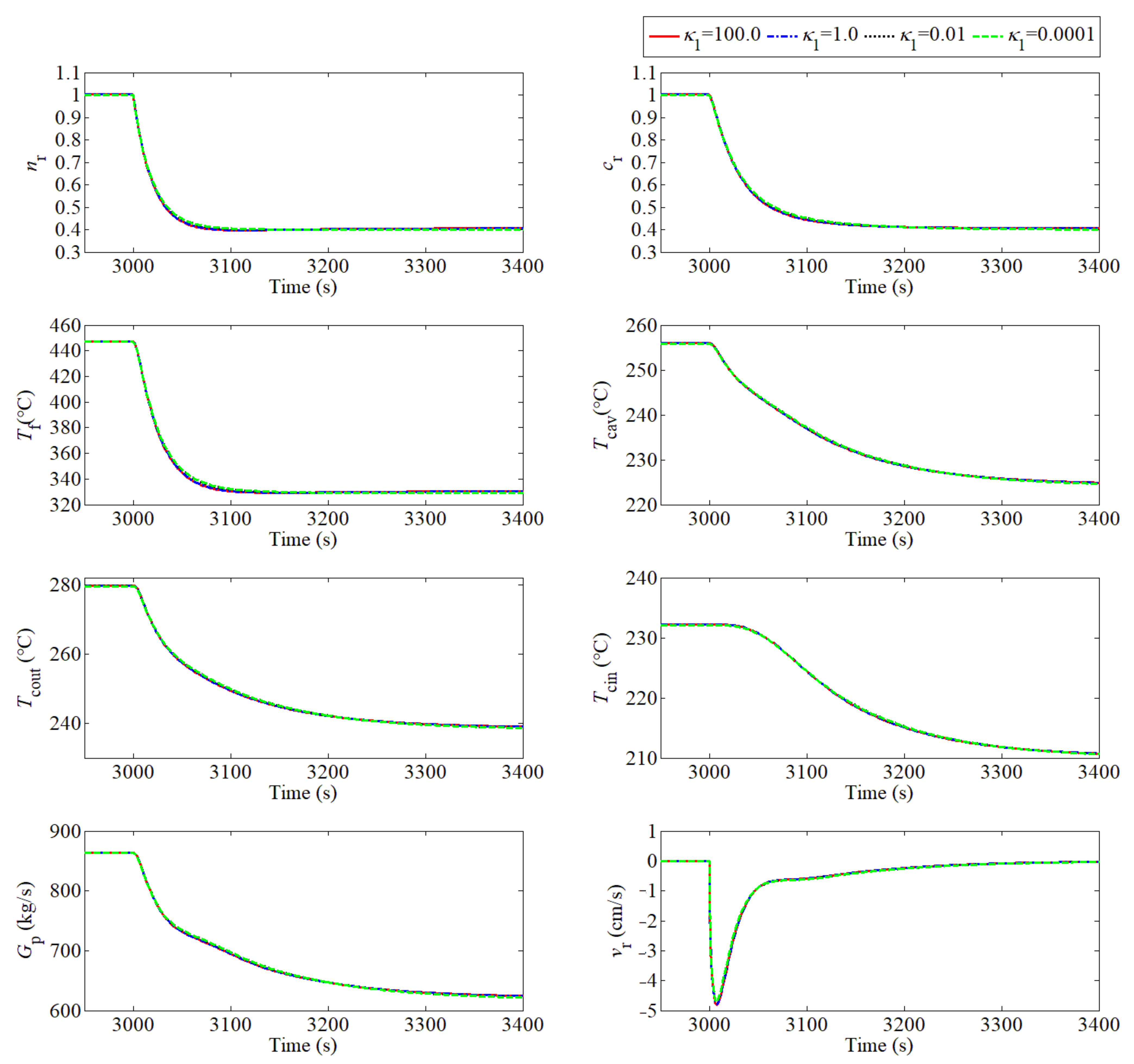
In the simulation, the case of power stepping from 100% full power (FP) to 40% FP is considered. The transient responses of normalized neutron flux nr, normalized precursor concentration cr, averaged fuel temperature Tf, average coolant temperature Tcav, primary coolant temperatures at reactor core outlet Tcout and inlet Tcin, and primary coolant flowrate Gp as well as control rod speed vr with different κ1 and κ2=1 and those with different κ2 and κ1=1 are shown in Figure 2 and Figure 3, respectively.
From the simulation results, it can be seen that the closed-loop stability is well guaranteed even under different values of damping coefficients κ1 and κ2, which verifies the correctness of the theoretic result about closed-loop stability analysis. Furthermore, the dynamic responses given in Figure 2 and Figure 3 also show the influence of damping coefficients κ1 and κ2 quantitatively. From Figure 2, it can be seen that the influence of κ1 to the transient performance is limited, which is caused by the low inertia in neutron kinetics. It can be seen from Figure 3 that the control performance is sensitive to the value of damping coefficient κ2. Actually, the total heat capacity of a nuclear reactor is large, which gives a strong inertia in the reactor coolant temperature dynamics. Damping coefficient κ2 is smaller, the integration effect of average coolant temperature error is stronger, i.e., auxiliary state variable ζ2 is larger, which leads to a shorter transition period of average coolant temperature while causing a larger overshoot of neutron flux. Hence, in practical engineering, the value of κ2 should be carefully tuned so as to obtain a satisfactory balance between the transition period of coolant temperature and the overshoot of neutron flux.
Finally, it can be seen from Equations (31)–(33) that the PBC has a simple expression that not only determines an easy implementation on the current digital control system platforms but also gives an easy tuning and commissioning procedure practically.

5. Conclusions

Nonlinear control of nuclear reactor power level guarantees wide-range operational stability, which is meaningful to strengthen the flexibility of nuclear power reactors. Due to the complexity, nonlinearity, and uncertainty in nuclear reactor dynamics, some classical nonlinear control methods such as feedback linearization and sliding mode control may lead to complicated control laws that are difficult to be deployed practically. In this paper, by choosing the Lyapunov function based on the shifted ectropies of neutron kinetics and reactor thermal hydraulics, a passivity-based power-level control of nuclear reactors is newly proposed, and the corresponding sufficient condition for globally asymptotic closed-loop stability is given. The control law is then applied for the power-level control of a nuclear heating reactor, simulation results not only verify the theoretical analysis but also show the influence of the damping coefficients to control performance.

Author Contributions

Conceptualization, Z.D.; methodology, Z.D. and Y.Z. (Yunlong Zhu); validation, Y.Z. (Yunlong Zhu); writing—original draft preparation, Y.Z. (Yunlong Zhu); writing—review and editing, Z.D. and X.H.; funding acquisition, Z.D. and X.H.; supervision Y.D., Y.Z. (Yajun Zhang), and Z.Z. All authors have read and agreed to the published version of the manuscript.

Funding

This work is jointly supported by National S&T Major Project of China (Grants No. ZX069) and Natural Science Foundation of China (NSFC) (Grant No. 62173202).

Data Availability Statement

Not applicable.

Conflicts of Interest

The authors declare no conflict of interest.

References

  1. Shtessel, Y.B. Sliding mode control of the space nuclear reactor system. IEEE Trans. Aerosp. Electron. Syst. 1998, 34, 579–589. [Google Scholar] [CrossRef]
  2. Qaiser, S.H.; Bhatti, A.I.; Iqbal, M.; Samar, R.; Qadir, J. Model validation and high order sliding mode controller design for a research reactor. Ann. Nucl. Energy 2009, 36, 37–45. [Google Scholar] [CrossRef]
  3. Ansarifar, G.H.; Rafiei, M. High order sliding mode controller design for a research nuclear reactor considering the effect of xenon concentration during load following operation. Ann. Nucl. Energy 2015, 75, 728–735. [Google Scholar] [CrossRef]
  4. Eom, M.; Chwa, D.; Baang, D. Robust disturbance observer-based feedback linearization control for a research reactor considering a power change rate constraint. IEEE Trans. Nucl. Sci. 2015, 62, 1301–1312. [Google Scholar] [CrossRef]
  5. Maschke, B.M.; Ortega, R.; van der Schaft, A.J. Energy-based Lyapunov functions for forced Hamiltonian systems with dissipation. IEEE Trans. Autom. Control 2000, 45, 1498–1502. [Google Scholar] [CrossRef] [Green Version]
  6. Castanos, F.; Ortega, R. Energy-balancing passivity-based control is equivalent to dissipation and output invariance. Syst. Control Lett. 2009, 58, 553–560. [Google Scholar] [CrossRef]
  7. Ortega, R.; van der Schaft, A.J.; Maschke, B.M.; Escobar, G. Interconnection and damping assignment passivity-based control of port-controlled Hamiltonian systems. Automatica 2002, 38, 585–596. [Google Scholar] [CrossRef] [Green Version]
  8. Ortega, R.; van der Schaft, A.; Castanos, F.; Astolfi, A. Control by interconnection and standard passivity-based control of port-Hamiltonian systems. IEEE Trans. Autom. Control 2008, 53, 2527–2542. [Google Scholar] [CrossRef] [Green Version]
  9. Castanos, F.; Ortega, R.; van der Schaft, A.; Astolfi, A. Asymptotic stabilization via control by interconnection of port-Hamiltonian systems. Automatica 2009, 45, 1611–1618. [Google Scholar] [CrossRef] [Green Version]
  10. Ortega, R.; Jeltsema, D.; Scherpen, J.M.A. Power shaping: A new paradigm for stabilization of nonlinear RLC circuits. IEEE Trans. Autom. Control 2003, 48, 1762–1767. [Google Scholar] [CrossRef]
  11. García-Canseco, E.; Jeltsema, D.; Ortega, R.; Scherpen, J.M.A. Power-based control of physical systems. Automatica 2010, 46, 127–132. [Google Scholar] [CrossRef] [Green Version]
  12. Wang, Y.; Cheng, D.; Li, C.; Ge, Y. Dissipative Hamiltonian realization and energy-based L2-disturbance attenuation control of multimachine power systems. IEEE Trans. Autom. Control 2003, 48, 1428–1433. [Google Scholar] [CrossRef] [Green Version]
  13. Salim, R.; Mansouri, A.; Bendiabdellah, A.; Chekroun, S.; Touam, M. Sensorless passivity based control for induction motor via an adaptive observer. ISA Trans. 2019, 84, 118–127. [Google Scholar] [CrossRef]
  14. Dong, Z.; Li, B.; Li, J.; Jiang, D.; Guo, Z.; Huang, X.; Zhang, Z. Passivity based control of heat exchanger networks with application to nuclear heating. Energy 2021, 223, 120107. [Google Scholar] [CrossRef]
  15. Karagiannis, D.; Astolfi, A.R.; Ortega, R.; Hilairet, M. A nonlinear tracking controller for voltage-fed induction motors with uncertain load torque. IEEE Trans. Control Syst. Technol. 2009, 17, 608–619. [Google Scholar] [CrossRef]
  16. Gil-González, W.; Garces, A.; Escobar, A. Passivity-based control and stability analysis for hydro-turbine governing systems. Appl. Math. Model. 2019, 68, 471–486. [Google Scholar] [CrossRef]
  17. Gil-González, W.J.; Garces, A.; Fosso, O.B.; Escobar-Mejía, A. Passivity-based control of power systems considering hydro-turbine with surge tank. IEEE Trans. Power Syst. 2020, 35, 2002–2011. [Google Scholar] [CrossRef]
  18. Kong, S.; Bressel, M.; Hilairet, M.; Roche, R. Advanced passivity-based, aging-tolerant control for a fuel cell/super-capacitor hybrid system. Control Eng. Pract. 2020, 105, 104636. [Google Scholar] [CrossRef]
  19. Shchur, I.; Lis, M.; Biletskyi, Y. Passivity-based control of water pumping system using BLDC motor drive fed by solar PV arrarys with battery storage system. Energies 2021, 14, 8184. [Google Scholar] [CrossRef]
  20. Benmouna, A.; Becherif, M.; Boulon, L.; Dépature, C.; Ramadan, H.S. Efficient experiment energy management operating for FC/battery/SC vehicles via hybrid artificial neural networks-passivity based control. Renew. Energy 2021, 178, 1291–1302. [Google Scholar] [CrossRef]
  21. Favache, A.; Dochain, D. Power-shaping control of reaction systems: The CSTR case. Automatica 2010, 46, 1877–1883. [Google Scholar] [CrossRef]
  22. Dong, Z. PD power-level control design for PWRs: A physically-based approach. IEEE Trans. Nucl. Sci. 2013, 60, 5382–5401. [Google Scholar] [CrossRef]
  23. Dong, Z. Adaptive proportional-differential power-level control for pressurized water reactors. IEEE Trans. Nucl. Sci. 2014, 61, 912–920. [Google Scholar] [CrossRef]
  24. Dong, Z.; Li, B.; Li, J.; Huang, X.; Dong, Y.; Zhang, Y.; Zhang, Z. Port-Hamiltonian control of nuclear reactors. IEEE Trans. Nucl. Sci. 2022, 69, 1022–1036. [Google Scholar] [CrossRef]
  25. Dong, Z.; Pan, Y.; Zhang, Z.; Dong, Y.; Huang, X. Dynamical modeling and simulation of the six-modular high temperature gas-cooled reactor plant HTR-PM600. Energy 2018, 155, 971–991. [Google Scholar] [CrossRef]
  26. Dong, Z. Output feedback dissipation control for the power-level of modular high-temperature gas-cooled reactors. Energies 2011, 4, 1858–1879. [Google Scholar] [CrossRef]
  27. Dong, Z. Dynamic output feedback power-level control for the MHTGR based on iterative damping assignment. Energies 2012, 5, 1782–1815. [Google Scholar] [CrossRef] [Green Version]
  28. Dong, Z. Model-free power-level control of MHTGRs against input saturation and dead-zone. IEEE Trans. Nucl. Sci. 2016, 62, 3297–3310. [Google Scholar] [CrossRef]
  29. Dong, Z.; Li, B.; Huang, X.; Dong, Y.; Zhang, Z. Power-pressure coordinated control of modular high temperature gas-cooled reactors. Energy 2022, 252, 124042. [Google Scholar] [CrossRef]
  30. Dong, Z. Model-free coordinated control for MHTGR-based nuclear steam supply systems. Energies 2016, 9, 37. [Google Scholar] [CrossRef] [Green Version]
  31. Dong, Z.; Pan, Y.; Zhang, Z.; Dong, Y.; Huang, X. Model-free adaptive control law for nuclear superheated-steam supply systems. Energy 2017, 135, 53–67. [Google Scholar] [CrossRef]
  32. Dong, Z.; Song, M.; Huang, X.; Zhang, Z.; Wu, Z. Module coordination control of MHTGR-based multi-modular nuclear plants. IEEE Trans. Nucl. Sci. 2016, 63, 1889–1900. [Google Scholar] [CrossRef]
  33. Wang, D.; Ma, C.; Dong, D.; Lin, J. Chinese nuclear heating test reactor and demonstration plant. Nucl. Eng. Des. 1992, 136, 91–98. [Google Scholar]
  34. Dong, Z.; Pan, Y. A lumped-parameter dynamical model of a nuclear heating reactor cogeneration plant. Energy 2018, 145, 638–656. [Google Scholar] [CrossRef]
  35. Dong, Z.; Li, J.; Li, B.; Guo, Z.; Huang, X.; Zhang, Z. Proportional-integral extended state-observer for monitoring nuclear reactors. IEEE Trans. Nucl. Sci. 2021, 68, 1207–1221. [Google Scholar] [CrossRef]
Figure 1. Schematic view of nuclear reactor power-level control, nr: normalized neutron flux, Tcout: primary coolant temperature at the reactor outlet, Tcin: primary coolant temperature at the reactor inlet, Tcav: average primary coolant temperature, vr: control rod speed signal, CRDM: control rod driving mechanism.
Figure 1. Schematic view of nuclear reactor power-level control, nr: normalized neutron flux, Tcout: primary coolant temperature at the reactor outlet, Tcin: primary coolant temperature at the reactor inlet, Tcav: average primary coolant temperature, vr: control rod speed signal, CRDM: control rod driving mechanism.
Energies 15 04997 g001
Figure 2. Responses in power stepping with different κ1 and κ2 = 1.
Figure 2. Responses in power stepping with different κ1 and κ2 = 1.
Energies 15 04997 g002
Figure 3. Responses in power stepping with κ1 = 1 and different κ2.
Figure 3. Responses in power stepping with κ1 = 1 and different κ2.
Energies 15 04997 g003
Table 1. Dynamical parameters of NHR200-II at the middle of fuel cycle around full power.
Table 1. Dynamical parameters of NHR200-II at the middle of fuel cycle around full power.
ParameterUnitQuantityParameterUnitQuantity
β 0.0065λ11/s0.0784
Λs4.18 × 10−5αf1/°C−2.48 × 10−5
μfkWs/°C5005.6αc1/°C−2.71 × 10−4
μckWs/°C1382.2ΩkW/°C1013
MkW/°C4201.7Gr1/m0.005
Publisher’s Note: MDPI stays neutral with regard to jurisdictional claims in published maps and institutional affiliations.

Share and Cite

MDPI and ACS Style

Zhu, Y.; Dong, Z.; Huang, X.; Dong, Y.; Zhang, Y.; Zhang, Z. Passivity-Based Power-Level Control of Nuclear Reactors. Energies 2022, 15, 4997. https://doi.org/10.3390/en15144997

AMA Style

Zhu Y, Dong Z, Huang X, Dong Y, Zhang Y, Zhang Z. Passivity-Based Power-Level Control of Nuclear Reactors. Energies. 2022; 15(14):4997. https://doi.org/10.3390/en15144997

Chicago/Turabian Style

Zhu, Yunlong, Zhe Dong, Xiaojin Huang, Yujie Dong, Yajun Zhang, and Zuoyi Zhang. 2022. "Passivity-Based Power-Level Control of Nuclear Reactors" Energies 15, no. 14: 4997. https://doi.org/10.3390/en15144997

APA Style

Zhu, Y., Dong, Z., Huang, X., Dong, Y., Zhang, Y., & Zhang, Z. (2022). Passivity-Based Power-Level Control of Nuclear Reactors. Energies, 15(14), 4997. https://doi.org/10.3390/en15144997

Note that from the first issue of 2016, this journal uses article numbers instead of page numbers. See further details here.

Article Metrics

Back to TopTop