Exergy Efficiency and COP Improvement of a CO2 Transcritical Heat Pump System by Replacing an Expansion Valve with a Tesla Turbine
Abstract
:1. Introduction
2. Heat Pump Cycle Description
- There is no heat loss to the environment.
- The heat pump cycle operates in a steady-state condition.
- The pinch point is 5 K, and water is an external fluid.
3. CFD Model
3.1. Carbon Dioxide Thermodynamic Properties
3.2. Turbulence Model
3.3. Boundary Conditions
4. Results and Discussion
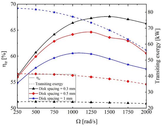
4.1. Effect of Rotor Speed and Disk Spacing on the Tesla Turbine Parameters
4.2. Effect of the Tesla Turbine on the Transcritical Heat Pump System
5. Conclusions
Author Contributions
Funding
Data Availability Statement
Conflicts of Interest
Abbreviations
| Nomenclature | |
| C | specific power, kJ kg−1 |
| ex | specific exergy, kJ kg−1 |
| exergy rate, kW | |
| h | specific enthalpy, kJ kg−1 |
| H | enthalpy, kW |
| exergy loss, kW | |
| k | turbulence kinetic energy, m2 s−2 |
| mass flow rate, kg s−1 | |
| pressure, MPa | |
| heating load, W | |
| s | specific entropy, kJ kg−1 K−1 |
| t | time, s |
| temperature, °C or K | |
| fluid velocity component in xi-direction, m s−1 | |
| power, W | |
| coordinates | |
| Greek symbols | |
| v | specific volume, m3 kg−1 |
| efficiency | |
| density, kg m−3 | |
| dynamic viscosity, kg m−1 s−1 | |
| rotor angular velocity, rad s−1 | |
| stress tensor, N m−2 | |
| torque, N m | |
| specific dissipation | |
| Subscripts | |
| C | compressor |
| E | evaporator |
| Ed | expansion device |
| Ev | expansion valve |
| Ext | external |
| in | inlet |
| Gc | gas cooler |
| Gr | Grassmann |
| i, j, k | Cartesian indices |
| out | out |
| sat | saturated |
| T | turbine |
| tr | transiting |
| Acronyms | |
| COP | coefficient of performance |
| EoS | equation of state |
| HEM | homogeneous equilibrium |
| HPS | heat pump system |
References
- Zhao, J.; Ning, J. Performance Analysis on CO2 Heat Pump Cycle with a Vortex Tube. In Proceedings of the 3rd International Conference on Smart Materials and Nanotechnology in Engineering, Antalya, Turkey, 20–21 April 2016. [Google Scholar]
- Bai, T.; Yan, G.; Yu, J. Thermodynamic assessment of a condenser outlet split ejector-based high temperature heat pump cycle using various low GWP refrigerants. Energy 2019, 179, 850–862. [Google Scholar] [CrossRef]
- Rashidi, M.M.; Aghagoli, A.; Raoofi, R. Thermodynamic analysis of the ejector refrigeration cycle using the artificial neural network. Energy 2017, 129, 201–215. [Google Scholar] [CrossRef]
- Sarkar, J. Cycle parameter optimization of vortex tube expansion transcritical CO2 system. Int. J. Therm. Sci. 2009, 48, 1823–1828. [Google Scholar] [CrossRef]
- Aghagoli, A.; Sorin, M.; Poncet, S. Thermodynamics analysis of a novel transcritical CO2 vortex tube heat pump cycle. In Proceedings of the 27th CANCAM; 2019; p. 4. [Google Scholar]
- Aghagoli, A.; Sorin, M. CFD modelling and exergy analysis of a heat pump cycle with Tesla Turbine using CO2 as a working fluid. Appl. Therm. Eng. 2020, 178, 115587. [Google Scholar] [CrossRef]
- Elbel, S.; Hrnjak, P. Experimental validation of a prototype ejector designed to reduce throttling losses encountered in transcritical R744 system operation. Int. J. Refrig. 2008, 31, 411–422. [Google Scholar] [CrossRef]
- Taslimi Taleghani, S.; Sorin, M.; Poncet, S. Analysis and Optimization of Exergy Flows inside a Transcritical CO2 Ejector for Refrigeration, Air Conditioning and Heat Pump Cycles. Energies 2019, 12, 1686. [Google Scholar] [CrossRef] [Green Version]
- Ersoy, H.K.; Bilir, N. Performance characteristics of ejector expander transcritical CO2 refrigeration cycle. Proc. Inst. Mech. Eng. Part A J. Power Energy 2012, 226, 623–635. [Google Scholar] [CrossRef]
- Taslimi Taleghani, S.; Sorin, M.; Poncet, S. Modeling of two-phase transcritical CO2 ejectors for on-design and off-design conditions. Int. J. Refrig. 2018, 87, 91–105. [Google Scholar] [CrossRef]
- Fangtian, S.; Yitai, M. Thermodynamic analysis of transcritical CO2 refrigeration cycle with an ejector. Appl. Therm. Eng. 2011, 31, 1184–1189. [Google Scholar] [CrossRef]
- Xing, M.; Yu, J.; Liu, X. Thermodynamic analysis on a two-stage transcritical CO2 heat pump cycle with double ejectors. Energy Convers. Manag. 2014, 88, 677–683. [Google Scholar] [CrossRef]
- Taslimi Taleghani, S.; Sorin, M.; Poncet, S.; Nesreddine, H. Performance investigation of a two-phase transcritical CO2 ejector heat pump system. Energy Convers. Manag. 2019, 185, 442–454. [Google Scholar] [CrossRef]
- Austin, B.T.; Sumathy, K. Transcritical carbon dioxide heat pump systems: A review. Renew. Sustain. Energy Rev. 2011, 15, 4013–4029. [Google Scholar] [CrossRef]
- Croquer, S. Combined CFD and Thermodynamic Analysis of a Supersonic Ejector with Liquid Droplets. Ph.D. Thesis, Université de Sherbrooke, Sherbrooke, QC, Canada, 2018. [Google Scholar]
- Gutak, A.D. Experimental investigation and industrial application of Ranque-Hilsch vortex tube. Int. J. Refrig. 2015, 49, 93–98. [Google Scholar] [CrossRef]
- Rafiee, S.E.; Sadeghiazad, M.M. Three-dimensional and experimental investigation on the effect of cone length of throttle valve on thermal performance of a vortex tube using k-ε turbulence model. Appl. Therm. Eng. 2014, 66, 65–74. [Google Scholar] [CrossRef]
- Thakare, H.R.; Parekh, A.D. Experimental investigation & CFD analysis of Ranque–Hilsch vortex tube. Energy 2017, 133, 84–298. [Google Scholar] [CrossRef]
- Rafiee, S.E.; Sadeghiazad, M.M. Experimental and 3D CFD investigation on heat transfer and energy separation inside a counter flow vortex tube using different shapes of hot control valves. Appl. Therm. Eng. 2017, 110, 648–664. [Google Scholar] [CrossRef]
- Aghagoli, A.; Sorin, M. Thermodynamic performance of a CO2 vortex tube based on 3D CFD flow analysis Performance. Int. J. Refrig. 2019, 108, 124–137. [Google Scholar] [CrossRef]
- Matveev, K.I.; Leachman, J. Numerical investigation of vortex tubes with extended vortex chambers. Int. J. Refrig. 2019, 108, 145–153. [Google Scholar] [CrossRef]
- Zangana, L.M.; Barwari, R.R.I. The effect of convergent-divergent tube on the cooling capacity of vortex tube: An experimental and numerical study. Alexandria Eng. J. 2020, 59, 239–246. [Google Scholar] [CrossRef]
- Groll, E.A.; Kim, J. Review Article: Review of Recent Advances toward Transcritical CO2 Cycle Technology. HVAC&R Res. 2007, 13, 499–520. [Google Scholar] [CrossRef]
- Yingfu, L.; Chunjing, G.; Guangya, J. Vortex Tube Expansion Transcritical CO2 Heat Pump Cycle. Appl. Mech. Mater. 2012, 190–191, 1340–1344. [Google Scholar] [CrossRef]
- Collins, R.L.; Lovelace, R.B. Experimental Study of Two-Phase Propane Expanded through the Ranque-Hilsch Tube. Trans. ASME 1979, 101, 300–305. [Google Scholar] [CrossRef]
- Takahama, H.; Kawamuras, H.; Katos, S.; Yokosawa, H. Performance characteristics of energy separation in a steam-operated vortex tube. Int. J. Eng. Sci. 1979, 17, 735–744. [Google Scholar] [CrossRef]
- Rice, W. Tesla Turbomachinery. In Proceedings of the IV International Nikola Tesla Symposium, Belgrade, Serbia, 23–25 September 1991. [Google Scholar]
- Shi, Y.; Yoonessi, M.; Weiss, R.A. High Temperature Shape Memory Polymers. Macromolecules 2013, 46, 4160–4167. [Google Scholar] [CrossRef]
- Traum, M.J.; Weiss, H.L. Tiny Tesla Turbine Analytical Performance Validation Via Dynamic Dynamometry. E3S Web Conf. 2019, 113, 03024. [Google Scholar] [CrossRef] [Green Version]
- Yang, J.L.; Ma, Y.T.; Li, M.X.; Guan, H.Q. Exergy analysis of transcritical carbon dioxide refrigeration cycle with an expander. Energy 2005, 30, 1162–1175. [Google Scholar] [CrossRef]
- Sorin, M.; Khennich, M. Exergy Flows Inside Expansion and Compression Devices Operating below and across Ambient Temperature. In Energy Systems and Environment; InTech: Houston, TX, USA, 2018. [Google Scholar] [CrossRef] [Green Version]
- Qi, W.; Deng, Q.; Chi, Z.; Hu, L.; Yuan, Q.; Feng, Z. Influence of Disc Tip Geometry on the Aerodynamic Performance and Flow Characteristics of Multichannel Tesla Turbines. Energies 2019, 12, 572. [Google Scholar] [CrossRef] [Green Version]
- Qi, W.; Deng, Q.; Jiang, Y.; Yuan, Q.; Feng, Z. Disc Thickness and Spacing Distance Impacts on Flow Characteristics of Multichannel Tesla Turbines. Energies 2019, 12, 44. [Google Scholar] [CrossRef] [Green Version]
- Menter, F.R. Two-Equation Eddy-Viscosity Turbulence Models for Engineering Applications. AIAA J. 1994, 32, 1598–1605. [Google Scholar] [CrossRef] [Green Version]














| Component | Energy Analysis | Exergy Analysis |
|---|---|---|
| Compressor | ||
| Gas cooler | ||
| Expansion valve | ||
| Tesla turbine | ||
| Evaporator |
| Boundary | Condition | Value |
|---|---|---|
| Inlet | Inlet pressure | 10 (MPa) |
| Inlet temperature | 35 (°C) | |
| Outlet | Outlet pressure | 4 (MPa) |
| Stator | Adiabatic and no-slip boundary condition | - |
| Rotor–stator interface | Frozen rotor method | - |
| Rotor | Rotating speed | 250, 500, 750, 1000, 1250, 1500, 1750, and 2000 (rad/s) |
| Section | Dimension |
|---|---|
| Rotor outer diameter | 100 (mm) |
| Rotor inner diameter | 38.4 (mm) |
| Rotor disk thickness | 1 (mm) |
| Disk spacing | 0.3, 0.5, and 1 (mm) |
| Inlet nozzle angle | 10° |
| Number of disks | 5 |
| (rad/s) | (kW) | (kW) | (kW) | (%) | (kW) | (kW) | (kW) | (%) |
|---|---|---|---|---|---|---|---|---|
| 250 | 1.64 | 2.92 | 24.04 | 56.16 | 1.28 | 26.96 | 25.68 | 95.25 |
| 500 | 1.77 | 2.92 | 24.01 | 60.62 | 1.15 | 26.93 | 25.78 | 95.73 |
| 750 | 1.87 | 2.91 | 23.94 | 64.26 | 1.04 | 26.85 | 25.81 | 96.13 |
| 1000 | 1.92 | 2.89 | 23.82 | 66.44 | 0.97 | 26.71 | 25.74 | 96.37 |
| 1250 | 1.94 | 2.87 | 23.64 | 67.59 | 0.93 | 26.52 | 25.58 | 96.46 |
| 1500 | 1.93 | 2.84 | 23.42 | 67.96 | 0.91 | 26.27 | 25.35 | 96.50 |
| 1750 | 1.89 | 2.82 | 23.23 | 67.02 | 0.93 | 26.05 | 25.12 | 96.43 |
| 2000 | 1.86 | 2.80 | 23.03 | 66.43 | 0.94 | 25.83 | 24.89 | 96.36 |
Publisher’s Note: MDPI stays neutral with regard to jurisdictional claims in published maps and institutional affiliations. |
© 2022 by the authors. Licensee MDPI, Basel, Switzerland. This article is an open access article distributed under the terms and conditions of the Creative Commons Attribution (CC BY) license (https://creativecommons.org/licenses/by/4.0/).
Share and Cite
Aghagoli, A.; Sorin, M.; Khennich, M. Exergy Efficiency and COP Improvement of a CO2 Transcritical Heat Pump System by Replacing an Expansion Valve with a Tesla Turbine. Energies 2022, 15, 4973. https://doi.org/10.3390/en15144973
Aghagoli A, Sorin M, Khennich M. Exergy Efficiency and COP Improvement of a CO2 Transcritical Heat Pump System by Replacing an Expansion Valve with a Tesla Turbine. Energies. 2022; 15(14):4973. https://doi.org/10.3390/en15144973
Chicago/Turabian StyleAghagoli, Abbas, Mikhail Sorin, and Mohammed Khennich. 2022. "Exergy Efficiency and COP Improvement of a CO2 Transcritical Heat Pump System by Replacing an Expansion Valve with a Tesla Turbine" Energies 15, no. 14: 4973. https://doi.org/10.3390/en15144973
APA StyleAghagoli, A., Sorin, M., & Khennich, M. (2022). Exergy Efficiency and COP Improvement of a CO2 Transcritical Heat Pump System by Replacing an Expansion Valve with a Tesla Turbine. Energies, 15(14), 4973. https://doi.org/10.3390/en15144973
