Next Article in Journal
Using OLTC-Fitted Distribution Transformer to Increase Residential PV Hosting Capacity: Decentralized Voltage Management Approach
Previous Article in Journal
Just Transitions for Oil and Gas Regions and the Role of Regional Development Policies
 
 
Font Type:
Arial Georgia Verdana
Font Size:
Aa Aa Aa
Line Spacing:
Column Width:
Background:
Article

Study on the Influence of Working-Fluid’s Thermophysical Properties on the Stirring-Heating

1
College of Horticulture, North West Agriculture and Forestry University, Xianyang 712100, China
2
College of Mechanical and Electronic Engineering, North West Agriculture and Forestry University, Xianyang 712100, China
3
School of Energy and Power Engineering, Xi’an Jiaotong University, Xi’an 710048, China
*
Author to whom correspondence should be addressed.
Energies 2022, 15(13), 4835; https://doi.org/10.3390/en15134835
Submission received: 23 March 2022 / Revised: 11 May 2022 / Accepted: 18 May 2022 / Published: 1 July 2022
(This article belongs to the Topic Sustainable Energy Technology)

Abstract

:
The thermophysical properties of a working-fluid play an important role in the process of stirring-heating. The heating process of stirring is accompanied by two processes: the friction between the solid mechanism and the working-fluid and the viscous dissipation of the working liquid. Traditionally, the sensible heat of water-based working-fluids is low, while that of oil-based working-fluids is higher, but the load capacity is relatively low. In order to find a balance between the two, an optimal stirring working-fluid should be selected. In this study, an experimental method was used to study the heating process of 30 kinds of working-fluids. The numerical evaluation model of the effects of thermophysical properties on the comprehensive evaluation index of heat (CEIH) was established by multiple linear regression methods, and a computational fluid dynamics (CFD) tool was used to analyze the heat generation and flow field of different working-fluids in the stirring-heating device. The results show that viscous dissipation is the most important way of stirring-heating. CFD can completely replace the experiment to study the heating effect of stirring. The thermophysical properties of the working-fluid affect the upper circulation and the overall velocity of the double circulation flow. The experimental results and regression model analysis show that specific heat capacity has the greatest effect on the heating effect, but density will also play a positive role in the stirring-heating. Water-based salt solutions such as KCl can achieve a better heating effect, and oil-based working-fluids are not always the best choice.

1. Introduction

The working principle of a stirring-heating device is to directly transfer mechanical energy to thermal energy by using a stirring blade to stir the working-fluid. The heating efficiency of the device is extremely high because mechanical energy is directly converted into heat energy, and it has a good application prospect in the scenario of direct heating by using new energy such as wind energy. Cao et al. [1] designed a general model of wind powered thermal energy, considering the component size, cost mechanism, efficiency parameters, etc. They measured five kinds of wind-energy heating devices and compared their application potential by using the levelized costs of energy (LCOE) index. They found that combining the hydrodynamic retarder (off-the-shelf product with the same principle of stirring-heating) with an absorption heat pump could achieve the optimal solution between investment cost and heat conversion efficiency. The stochastic characteristic of wind may have an impact on the reliability and power quality of electrical grids due to short-term power fluctuations; however, energy storage systems for wind power smoothing purposes are still costly [2]. Okazaki et al. [3] thought that the wind-energy stirring-heating device could overcome the intermittent nature of wind-energy generation: it is not only of high efficiency and easy storage, but also has a significantly lower construction cost than the same power wind-energy turbine. The wind-energy stirring-heating device can easily co-operate with industries such as photovoltaic, geothermal, biomass, etc., without the need for peak adjusting facilities.
There are three main ways to convert wind energy into heat energy: the conversion of wind energy into electric energy for electric heating, wind-driven compressor for heat pump heating and wind energy directly heating. The purpose of converting wind energy into electric is to maximize the insufficient peaking capacity of the units and a large amount of curtailed wind is generated under the condition of accommodating large-scale wind [4]. In terms of use, it is not a special way of heating. If it is only used for heating, the power generation equipment required is complex and expensive, and the efficiency of comprehensive utilization of energy is low due to the transformation of energy to high-grade energy. Another key ingredient of wind heating is the wind-driven heat pump [5,6]. Benefiting from the principle of inverse Carnot cycle, wind-driven heat pumps can obtain the highest COP (coefficient of performance) above 1 [7] of the three ways, under the condition that wind energy is directly driving. Sun et al. [8] put forward a 150 kW new type of air-heating system which uses a wind turbine to directly drive the compressor. The coefficient of performance of the system is approximately 3, the maximum power coefficient is 0.45, and the primary energy ratio exceeds 100%; the energy loss of the system is evidently reduced. However, the heating system requires higher wind speed and quality based on this principle and can only work normally within the rated speed range of the compressor; the system itself is relatively complex and the scope of application is limited as a result. The direct heating mode of wind energy with simple principles and device structure also includes compression heating, friction heating, and induction-based wind heating devices [9]. Zdankus T et al. [10] proposed a wind heating device based on a hydraulic system and the heat is produced mainly due to friction losses of this system; the system may reach an overall efficiency of 58.8% under optimal conditions. Wind energy stirring-heating is one of direct heating methods of wind energy based on the principle of agitator, which causes a phenomenon of solid-liquid friction and viscous dissipation by stirring the working-fluid through the blade. Its COP is close to but less than 1, but the device has the advantages of simple structure, good durability, and can work well in a wide range of wind speeds; it is also more versatile than the other two ways.
Different from the general agitator in pursuit of high uniformity and rotational speed, low air mixing, and power consumption [11], the stirring-heating device requires high power consumption under low rotational speed. This means that the design method of the classical agitator [12] is not suitable for a stirring-heating device. At present, research on the design method of stirring-heating devices is mainly focused on the structure. First of all, in the selection of stirring blades. Compared to other types of turbines of the same size, the straight blade disc turbine has the characteristics of simplicity, durable structure, and high absorption power; the straight blade disc turbine is very suitable for stirring-heating [13], and some research on stirring-heating with a straight blade has made much progress. Liu et al. [14] designed a straight blade stirring-heating device and found that the higher the speed, the better the heating effect. Gao et al. [15] studied the heating effect of two kinds of straight blade turbines with different radii in the same heating device and concluded that the smaller the gap between the turbine blade and the spoiler, the better the heating effect. Zhang et al. [16] also studied the matching design of a 5 kW straight blade stirring-heating device with a vertical axis wind turbine, completing the design practice of the wind energy heating system. Chen et al. [17] improved the structure to optimize the start-up performance of the wind stirring-heating system; flexible connection is realized by using torque-limited hydraulic coupling instead of the mechanical shaft connection.
However, research on the heating fluid is relatively rare. The interaction between the blade, the working-fluid, and the intermolecular interaction of the working-fluid happens at the same time in the process of energy conversion [18]. Both approaches will cause the conversion of kinetic energy to internal energy. Therefore, the thermal properties of working-fluid play a very important role in stirring-heating. Based on earlier research [19] on the process of stirring-heating, the temperature rises almost uniformly and linearly, and the effect of the working-fluid’s thermophysical properties on the heating effect has been explored preliminarily by using the method of multiple linear regression. Research also has its limitations, which are that the types of working-fluid used are rare, the evaluation index of heating effect is simple, the fitting result is not satisfactory, and the energy change process of stirring is not simulated by CFD.
In this study, 30 kinds of working-fluids were selected for the experimental study of stirring-heating under the condition of five speed gradients from 200 to 250 rpm; the reliability of the fitting results increased by increasing the sample size. In the fitting process, the original comprehensive evaluation indicator of heating effect (CEIH) is artificially drawn up to ensure that the description of the heating process of the explained variables is comprehensive and objective. The CFD technology is used to model and simulate the experimental process after the experiment; then, the experimental results are compared with the simulation results to verify the reliability of the CFD model used in the stirring-heating research. By comparison, the main way of stirring-heating was confirmed. After that, the study continues to research the velocity vector images, phase cloud images, and velocity cloud images of different working-fluids. The results show that the fitting of these four factors by a multiple linear regression method is accurate and reasonable, the generality of CEIH to the heating effect of stirring is good, and the determination coefficient R2 of the fitting model is more than 0.9. The CFD simulation can reflect the actual situation well, and the fitting determination coefficient R2 between the simulation data and the experimental data is greater than 0.7. It also means that viscous dissipation plays the most important role in the two ways of stirring-heating. The analysis of the phase and velocity cloud images shows that the thermophysical properties of the working-fluid have a significant influence on the flow field in the stirring-heating process. Generally speaking, the heating effect of stirring increases with the increase of density and decreases with the increase of specific heat capacity and viscosity. It is suitable to choose the working-fluids with high density, low viscosity, and low specific heat capacity.

2. Materials and Methods

2.1. Stirring-Heating Experiment Platform

At present, the use of stirring-heating technology in practice is a blank, and it is necessary to carry out experimental research on the basis of theoretical analysis. Wind energy is a kind of unstable energy which is easily affected by climate, which is not conducive to normal experimental research. Therefore, alternative means are needed to simulate wind energy input under different conditions. For this reason, we have built an experimental platform to simulate wind stirring-heating. The schematic diagrams of the experimental platform are shown in Figure 1.
The three-phase AC induction motor simulates the wind and water energy in nature and inputs the kinetic energy into the stirring-heating device through a multistage steering and deceleration transmission mechanism. The speed and torque input into the stirring heating device were recorded by a torque-speed sensor in the transmission shaft. Rubber insulation cotton is used to prevent heat loss. Temperature sensor probes are arranged on the inside and side walls of the heating device to record temperature rise. The external probe is located at the height of the liquid level, and the internal probe is located at the middle depth below the liquid level.
The structure and parameters of the stirring-heating device are shown in Figure 2 and Table 1. The six-straight-blade disk turbine is a kind of rotor with strong shear force and large stirring absorption power. The use of double-layer agitating rotors has been proven in our previous research to improve the heating effect [20,21]. This structure will still be used in the experiment, considering the reference of the experiment and the accumulation of data.

2.2. Selection of Working-Fluid and Experimental Design

Twelve working-fluids, including water, NaCl solution, KCl solution, K2SO4 solution, sucrose solution, ethylene glycol solution, soybean oil and hydraulic oil of label 15#, 22#, 32#, 46#, 68#, were used in this experiment. Except for water, soybean oil, and hydraulic oil, other types of working-fluids can change their thermophysical properties by adjusting their solute concentration. So different concentration gradients are divided according to the solubility of the working-fluid solute at 20 °C and load capacity of the experiment platform in order to increase the number of working-fluid experimental groups. Finally, we obtained 30 kinds of working-fluids with different thermal properties. The detailed division is shown in Table 2. The samples of these working-fluids were collected after the stirring experiment, and the density, dynamic viscosity, and specific heat capacity at 20 °C were measured by density flask, rotary viscometer, and DSC (Differential Scanning Calorimeter) sapphire method. The measurement results are shown in Table 2.
The stirring heating device was filled with 35 L (244.7 mm high) working-fluid. We put these working-fluids under five speed gradients of 200~250 rpm for 1 h of stirring-heating experiments, in order to increase the number of samples. As a result, 150 sets of experimental data were obtained.

2.3. Simulation of Stirring-Heating Based on CFD

The simulation part of this study uses SOLIDWORKS software(ver.2020, created by Dassault Systems, Paris, France) to model and uses ANSYS-FLUENT to form mesh and simulation. The whole model is divided into two parts: the dynamic area of the blade and the static area of the tank to model and form a mesh, considering the complexity of the blade structure and the characteristics of blade movement. Then the two model meshes are fit together in FLUENT by using the interface setting. The total nodes of dynamic mesh and static mesh are 78,543 and 182,072, respectively. Their pre-mesh quality under the criterion of determinant 2 × 2 × 2 was greater than 0.7. The model and mesh of the stirring heating device are shown in Figure 3 and Figure 4.
In the setting of the FLUENT model, the VOF model is used for the multiphase flow model, and the RNG k-ε model is used for the viscous flow model ( k is the kinetic energy of turbulence and ε is the turbulent dissipation rate). The RNG k-ε model adds a term to its ε equation to improve the accuracy of high-speed flow, takes into account the influence of eddy current on turbulence and improves the accuracy of vortex flow, which is more useful than standard k-ε model. The transport equation of the model is shown in Formulas (1) and (2).
t ( ρ w k ) + x i ( ρ w k u i ) = x j ( α k μ k x j ) + G k + G b ρ w ε Y M + S k
t ( ρ w ε ) + x i ( ρ w ε u i ) = x j ( α ε μ ε x j ) + C 1 ε ε k ( G k + C 3 ε G b ) C 2 ε ρ w ε 2 k R ε + S ε
k and ε represent the kinetic energy and dissipation rate of turbulence; C 1 ε , C 2 ε and C 3 ε are coefficients. Gk and Gb are the influence of the laminar velocity and buoyancy. Y M is the kinetic energy change caused by excessive diffusion in compressible turbulence; α k and α ε are the reciprocals of the k and ε effective Prandtl numbers. S k and S ε are user-defined coefficients. In the setting of boundary conditions, all solid surfaces of the model are defined as adiabatic walls to facilitate the calculation of heat production.
Because the existing fluid models are all simplified N-S equations, the long-time simulation will make the results inaccurate, so we use this FLUENT model to simulate the heat production at the starting temperature of 300 K in transient time. Including water at 200~250 rpm in 1min, a typical concentration of working-fluid is selected for each type of working-fluid to simulate the heat production at 200 rpm in 1 min and the heat production of all working-fluids at 200 rpm in 10 s. We will compare the experimental values of the heat increase rate with the simulated values to confirm the reliability of the CFD simulation after all the simulations are completed. On the one hand, it shows that turbulent dissipation is the main mode of heat production caused by stirring; if the similarity between the two is very high, the changing trend is the same. On the other hand, it shows that CFD can directly guide the power design of stirring-heating devices, which greatly facilitates the design and optimization process. More importantly, interpreting the flow field information simulated by CFD can help reveal the mechanism of the effect of thermophysical properties of working-fluid on the stirring-heating effect.

3. Results

3.1. Experimental Results

The test data of all experimental groups after stirring-heating for 1 h are shown in Figure 5. T s and T h are measured directly by the thermocouple and the value Q E is calculated by Formula (3), according to T s , T h , and the thermophysical properties of the materials for the heating devices. ρ s s   = 7850 kg/m3, ρ p m   = 1180 kg/m3, V s s = 0.00459 m3, V p m = 0.01276 m3, c s s = 500 J/(kg·K), c p m = 1487 J/(kg·K) in this formula, according to the size and material parameters of the stirring heating device.
Q E = ρ w V w c w T h + ( ρ s s V s s c s s T h + ρ p m V p m c p m ) T h + T s 2
In the power value calculation, the average arithmetic power is calculated in segments between the two measuring points. Then the average power of the stirring-heating process is obtained by dividing the total energy by the total time, considering that the instantaneous value of the power will decrease due to the heating of the motor and the transmission system.
As shown in Figure 5, the heat generated by each working-fluid increases with the increase of rotational speed, as could have been anticipated due to more energy being added to this closed system. Otherwise, the changing trend of working-fluid heat is basically the same under the condition of each rotational speed.
The heating device still has the problem of energy loss, considering the system transmission link is relatively long, and the three-phase asynchronous motor has a long working time; moreover, a part of the heat is lost through surface radiate. The transmission mechanism of the platform consists of three flexible couplings, two rolling bearings, a bevel gear reduction commutator, and a set of synchronous pulleys. The input heating device power considering the mechanical loss is:
P = P · η 1 3 · η 2 2 · η 3 · η 4
Select the experimental group that uses water under the working condition of 200 rpm. The power transmitted by the transmission shaft is measured by the rotational speed and torque meter, which is 1,134,526 J after the correction of Formula (4), and the total heat energy increase in the heating device is 1,039,829 J. The total heat loss is 94,697 J, which accounts for 8.35% of the total heat energy. The average proportion of heat loss in all experimental groups is 5.18%.
Now we consider the error of experimental data. Take the experiment group of water under 200 rpm, for example. The temperatures measured by the two thermocouples are T h = 5.6 °C and T s = 5.1 °C. The maximum and minimum values of the measured power output are 374 W and 341 W, respectively. However, the value of the power output used in the data analysis process is the integral power of each time period, which is 352 W. In terms of heat energy increase, the actual magnitude of heat energy increase may be between 1,039,829 J and 1,049,931 J; this was calculated by using the average temperature of the internal and external thermocouples or the internal thermocouple temperature measured, the relative error is about 0.97%. In all experimental groups, the relative error of heat energy is between 0.19% to 9.46%, and 2.65% on average. The relative error of output power is 6.18%, and 0.3% to 28.31% in all experimental groups, 7.49% on average. This shows that it is necessary to use the integral power of each time period.

3.2. Regression Analyze of Influence Factors on CEIH

The study plan is to use the method of multiple linear regression to analyze the effects of rotational speed, density, specific heat capacity, viscosity in all experimental groups, and density, specific heat capacity, and viscosity in different speed groups on the heating effect of stirring-heating in the view of mathematical statistics.

3.2.1. Establishment of CEIH (Comprehensive Evaluation Indicator of Heating Effect)

In the past, heating power, heat generated, heating efficiency, and other indicators were commonly used to measure the heating effect, but these indicators have a disadvantage in that they are not comprehensive. However, the use of multiple traditional indicators to evaluate the heating effect is not intuitive and is also not conducive to the use of statistical means to analyze the impact of various factors on the indicator. Therefore, we have established a comprehensive indicator to evaluate the heating effect of the device, which can not only include the content of the traditional index but also consider the working condition of the device in the system. At the same time, the interference outside the system is eliminated through certain assumptions.
The schematic diagram of the working system of a typical stirring-heating device is shown in Figure 6. This ideal simplified model consists of an outdoor adiabatic stirring-heating device, a certain size of adiabatic space to be heated, and an ideal heat dissipation loop in which the inlet and outlet pipe are always changed with the stirring-heating device or inside space steadily. Then, assume that the wind speed can make the stirring-heating device run at a stable power and that the wind turbine’s power is P . This model can exclude the influence of environmental factors and other additional equipment outside the system such as a heat pump and circulation pump, and only focus on the stirring-heating system itself.
The performance of the radiator follows the steady-state heat conduction of a flat plate, its effective heat transfer area is A r and the heat exchange rate is h r . The indoor space is an adiabatic system with volume V , and the temperature distribution is uniform. When the system starts to work, the temperature inside the heating device, pipeline, and room is T 0 . According to the above conditions and assumptions, we can list the energy equations composed of the energy balance of the heating device, and the indoor and heat transfer process of the radiator, as shown in Formula (5).
{ T h = T 0 + P t 0 t q ( t ) d t c w m w T i s = T 0 + 0 t q ( t ) d t c a i r ρ a i r V q ( t ) = A r h r ( T h T i s )
According to the specific heating space and pipeline layout, we can artificially set the values of V , A r , h r , and put forward the ideal goal of heating and a temperature threshold T and time t to reach it. By solving the three equations in Formula (5), a formula about T and t can be obtained, as shown in Formula (6).
t = l a m b e r t w ( 0 , e A r h r ( c a i r ρ a i r V + c w m w ) 2 T P 1 ) P + A r h r ( c a i r ρ a i r V + c w m w ) 2 T + P P A r h r ( c a i r ρ a i r V + c w m w )
The time required to raise a fixed size of space to a specific temperature value is used to describe the heating effect, the heating power, heating efficiency and heat generation can be well described. However, this time, the value t is basically inversely related to the heating effect, and it is a dimensional value. Therefore, if we divide the ideal time t by t , we can make the final value positively correlated with the heating effect and dimensionless. Finally, the formula for the CEIH (comprehensive evaluation indicator of heating effect) score is shown in Formula (7).
CEIH = P A r h r ( c a i r ρ a i r V + c w m w ) t l a m b e r t w ( 0 , e A r h r ( c a i r ρ a i r V + c w m w ) 2 T P 1 ) P + A r h r ( c a i r ρ a i r V + c w m w ) 2 T + P
In this study, suppose the room volume V is 100 m 3 , the effective heat conduction area of the radiator A r is 1.72 m 2 , the heat transfer rate h r is 200 W / ( m 2 · K ) , and the density ρ a i r and specific heat capacity of the air c a i r are 1.293 kg / m 3 and 1004 J / ( kg · K ) , respectively. The magnitude and time of temperature rise according to the situation of the experimental group, the average temperature-rise T was 9.38 °C and the heating time t was 60 min. After setting these artificial parameters, the comprehensive indicators of each experimental group are shown in Table 3.
The highest CEIH score appeared in 80% volume ratio glycol solution at 200 rpm, which was 0.632; 15# hydraulic oil at 212.5 rpm, which was 0.760; 90% volume ratio glycol solution at 225 rpm, which was 0.848; 30% mass ratio KCl solution at 237.5 rpm and 250 rpm, which was 0.939 and 1.093, respectively, as shown in Table 3. The working-fluid that performed best at all rotational speed was 30% mass ratio KCl solution, which averaged a score of all rotational speed of 0.847.

3.2.2. Multiple Linear Regression Analysis of Factors Affecting CEIH

Rotational speed, density, viscosity, and specific heat capacity were set as independent variables, and CEIH score as a dependent variable to establish multiple linear regression models at all rotational speeds and different rotational speeds. The most descriptive (Adjusted R2 maximum) model in each group was selected, and the summary and ANOVA of those models are shown in Table 4 and Table 5.
As can be seen from Table 4, the adjusted R2 for all models is more than 0.5, which means that these models can explain most of the changes in the CEIH score. At the test level of 0.01, the F value in Table 5 is much larger than its corresponding Fa value of 3.451 in the model of all rotational speed and 5.488 in other models. These results indicate that the linear relationship between the independent variables and the dependent variables in the model is significant on the whole and that the sigma value of each model is less than 0.0001. The analysis of the above data shows that it is feasible and effective to use multiple linear regression to analyze the influence of rotational speed, density, specific heat capacity, and viscosity on a CEIH score.
Table 6 shows the coefficients of those models. Here, the CEIH score is magnified 1000 times in order to make the coefficient of the model become significant.
The sigma of each independent variable is less than 0.05, indicating that they have a significant impact on the CEIH score and the dependent variable. The model of all rotational speed contains all the independent variables, but there are different situations in the other five models distinguished by rotational speed. The model of 200 rpm contains the independent variables of specific heat capacity and density, and abandons the factor of viscosity. The other four models are in a similar situation in that they contain the independent variables of specific heat capacity and viscosity, but the density has been discarded.
According to the contents in Table 6, the multiple linear regression model of all rotational speed is shown in Formula (7).
CEIH = 687.48 + 7.205 n 0.104 c w 1.946 μ + 0.161 ρ w 1000
The study still takes the experimental group with water as the working-fluid at 200 rpm as an example. The CEIH score calculated from the comprehensive evaluation index model, as shown in Formula (7), is 0.488. The CEIH score calculated by the multiple linear regression model, as shown in Formula (8), is 0.474, with a relative error of 2.93%. Compared with all experimental groups, the RSME = 0.041, MRE = 4.44, and R2 = 0.91. The verification results also show that the regression model performs well.
The degree of influence of the independent variable on the CEIH score is achieved by comparing the absolute value of the standard coefficient of each independent variable in one model and the positive correlation or negative correlation to see if the standard coefficient is positive or plural. In summary, the independent variable of rotational speed had the greatest influence on the score of CEIH, and it is positive. The independent variable of specific heat capacity has the second greatest negative influence on the model of all rotational speed, and the greatest negative influence on the other five models. The influence of viscosity is the third greatest in the model of all rotational speed and second greatest in the model of 212.5 rpm, 225 rpm, 237.5 rpm, 250 rpm, in a negative way; it is not included in the model of 200 rpm because the impact is ignored. The density shows the slightest positive influence on the models of all rotational speed and 200 rpm, but was abandoned for the other four models.

3.3. Analysis of CFD Simulation Results

3.3.1. Comparison of Experimental and Simulation Results

In this study, the heat generation caused by stirring-heating of water as a working-fluid under 200~250 rpm was simulated by using ANSYS-FLUENT software. In this research, the experimental and simulation results of heat change and its fitting curve are shown in Figure 7.
The heat increase rate of the simulation is the same as that of the experimental data, and the heat increase rate of the simulation at other rotational speeds is higher than the experimental value, except that the heat increase rate of the experiment is higher than the simulation value at 200 rpm. Compared with the experimental data, the RSME = 34.13, MRE = 7.82, and R2 = 0.96, which means the simulation result is very reliable.
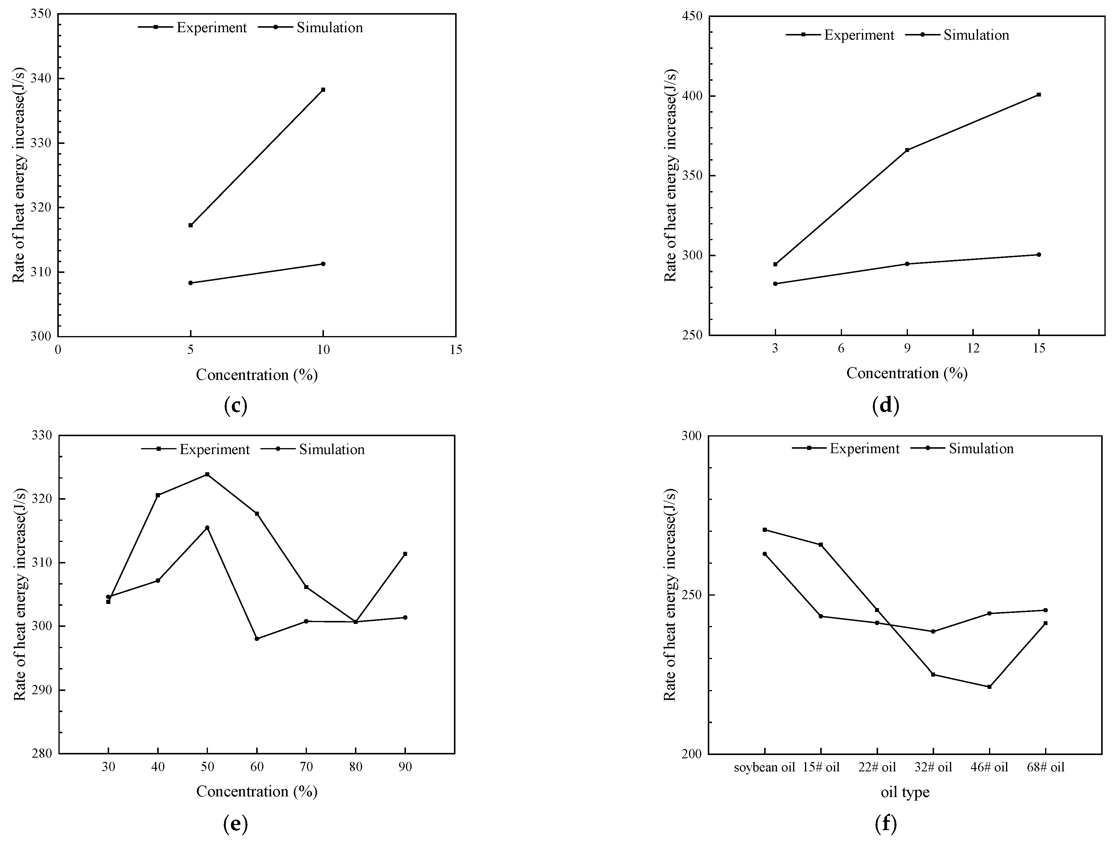
The experimental and simulated data of all the working-fluid’s heat energy increased data, under the condition of 200 rpm, are shown in Figure 8. The rate of heat increase in the simulated and experimental process of concentration changed working-fluids are shown in Figure 9.
The RSME = 35.44, MRE = 7.45, and R2 = 0.70, when the simulated data is compared with the experimental in Figure 9. In Figure 9, The changing trend of simulated data is basically consistent with that of experimental data. The results of Figure 8 and Figure 9 show that the CFD simulation faithfully reflects the actual situation of the experiment and the simulation method is reliable.
On the other hand, in the six charts in Figure 9, the heat energy increase rate of the experimental data is larger than that of the simulated data most of the time, which shows that although the heat generated by mechanical collision and friction accounts for only a small part, it is still significant; except for the 80% ethylene glycol, 32 # hydraulic oil, 46 # hydraulic oil, and 68 # hydraulic oil. In this study, it is considered that the working-fluids of these cases have the common factors of low specific heat capacity and high viscosity, which can easily lead to an increase in temperature difference between the wall of the stirring heating device, which will increase the heat loss and reduce the friction contact on the adsorption surface. Finally, the total heat increase by mechanical collision and friction is lower than that of the other types of working-fluids. Of course, this issue needs to be studied and discussed in more detail.

3.3.2. Flow Field Information of Stirring-Heating Device

After confirming the reliability of the CFD model on the stirring-heating process, the flow field information in same time obtained from CFD can be further analyzed to confirm the actual influence of the working-fluid’s thermophysical properties on the stirring-heating process. The flow field information analysis used in this section is the cloud images of phase and velocity and vector diagrams on a specified section.
The phase cloud images select the vertical section along the X-axis and the horizontal section at the 285 mm height; these sections are not occupied by the rotor blade and the display range is more comprehensive. The velocity cloud image makes the opposite treatment because the rotor blade drives the working-fluid movement, so the selected section needs to include the rotor blade. The sections that meet the requirements are the vertical section along the Y-axis and the horizontal section at the edge of the blade. For the study of the flow pattern in the stirring-heating device, the velocity vector image of the whole device is also necessary.
Figure 10 shows the velocity vector image of CFD simulation of water as a working medium under the condition of 250 rpm.
It can be seen from Figure 10 that the working-fluid in the stirring-heating device is in a double circulation flow state. After being pushed by the rotor blade, the working-fluid will flow out of the rotor area horizontally away from the axis and then impact the container wall. However, at the same time, the rotor will also give the working-fluid a tangent velocity along the direction of rotation so that the working-fluid will also move along the circle until it hits the spoiler, and the hindrance of the baffle forces the working-fluid to change its flow direction to move upward and downward along the baffle. When the velocity of the upward-moving working-fluid returns to zero by gravity and the downward-moving working-fluid hits the bottom plate of the container, the two working-fluids will return to the blade area from the center of the stirring axis again, forming the above-mentioned double circulation flow.
Regarding the cloud images, there are many working-fluid samples. We selected 30% mass ratio KCl solution, 15% mass ratio sucrose solution, 90% volume concentration ethylene glycol solution, soybean oil and 68# hydraulic oil as the research example. It can be seen from Table 2 that the thermophysical parameters of those five working-fluids change regularly. The density of the working-fluid decreases gradually from left to right while the viscosity increases. The cloud images of phase and velocity are shown in Figure 11.
A “gas funnel” zone is shown in yellow to green becoming more and more obvious in the X-axis section phase cloud image, with a decrease in density and an increase in viscosity. The horizontal cross-sectional phase image also supports this point. It can be seen that with a decrease in density and increase in viscosity, the color contrast of cloud image becomes larger. This means that the more to the right, the larger the funnel area. In other words, a decrease in density can make the working-fluid move in the upper circulation flow, reach a higher position along the vessel wall and then fall back to the rotor area, after the working-fluid obtains the same momentum by the action of the rotor blade. From the velocity cloud image, it can be seen that the high-velocity area with a bright color on the upper part and the outer edge of the blade decreases obviously when the thermophysical properties move to the right; while the area between the blades changes little. The overall moving intensity of the working-fluid decreases gradually.
These phenomena show that a decrease in working-fluid density and an increase in viscosity will lead to an increase in the flow of upper circulation and increase the distance of circulation. It is difficult for the upward flow working-fluid to quickly return to the rotor blade area, resulting in a decrease in fluid discharge per unit time and a decrease in axial power.

4. Discussion

In addition to the four factors involved in this study, such as rotational speed, density, viscosity, and specific heat capacity, the factors determining the CEIH score also include the artificial factors in the CEIH calculation equation, especially the heated space volume V; its influence on CEIH is also directly reflected in the subsequent regression equation. In order to consider its influence, this study substituted different V values between 20 to 300 m3 and carried out a multiple linear regression analysis according to the steps in the previous chapter. The standard coefficients of different factors vary with V , as shown in Figure 12.
It can be seen from the figure that the standard coefficients corresponding to rotational speed, density, viscosity, and specific heat capacity do change with V . The coefficient corresponding to the rotational speed increases at first and then remains stable; the density is ignored when V is less than 100 m3 and the coefficient gradually increases when it is greater than 100 m3. The coefficient corresponding to viscosity is unstable when V is less than 80 m3, but it remains basically unchanged when V is greater than 80 m3. The coefficient of specific heat capacity decreases gradually. However, it is worth noting that the positive, negative, and order of these four factors have not changed in the range of 20 to 300 m3. Therefore, The study believes that the conclusion of multiple linear regression is useful.
The manual for the design and selection of mixing equipment points out that the power of the agitator can be calculated by an empirical formula shown as Formula (9).
P = N p · ρ w · n 3 · d 5
The stirring power is determined by power number, the density of the working-fluid, rotational speed, and rotor diameter. The power number N p of the agitator is affected by the Froude number F r and Reynolds number R e [22], while the F r has an obvious influence only when the flow state is in the transitional flow. In our experiment, the R e of each experimental group is more than 7000, a state which is turbulent, so the effect of F r on stirring power can be ignored. The diagram of N p changing with R e has been given by Chen et al. [23]. As shown in Figure 13, Curve 13 is the curve of the relationship between the N p of six-straight-blade disk turbine and R e .
It can be seen that in the low R e region, N p decreases with the increase of R e , and then increases slowly. When R e   > 10,000, the power number almost no longer increases. R e in the agitator can be calculated by Formula (10).
R e = n ρ w d 2 μ
From Formulas (9) and (10), we can know that the power of the agitator is proportional to the cubic of rotational speed, and R e is proportional to rotational speed (the power number in the turbulent region increases with R e ). Therefore, the rotational speed shows the most important influence in the model. The effect of density is similar to the rotational speed. However, the Pearson correlation analysis of experimental data showed a strange conclusion, as shown in Table 7.
The correlation coefficient between rotational speed and power in all experiment data is 0.837, and the difference between density and power at the same rotational speed is more than 0.8 in all levels of rotational speed.; this shows that there is a high correlation between rotational speed, density and power. Viscosity has a negative effect on the CEIH score. The viscosity of a liquid is closely related to the state of motion; usually, what is called the viscosity of a liquid actually refers to the shear viscosity according to the literature [24,25], that is, the ratio of shear stress to shear rate in laminar flow. The apparent viscosity of the working-fluid is much higher than its shear viscosity affected by eddy current diffusion because the turbulent vortex drives the random motion of the fluid particles to cause a strong momentum transfer rate; the apparent viscosity is much higher than that at the molecular level. When the flow state is turbulent, it is generally called turbulent viscosity. Although turbulent viscosity is not a physical property of the working-fluid, it also has a viscous dimension and causes dissipative heat generation. In fluid mechanics, the formula for estimating turbulent viscosity is shown in Formula (11).
μ t = ρ w · C u · k 2 ε
μ t is the turbulent viscosity, C u is the empirical coefficient. The calculation formulas of turbulent kinetic energy and dissipation rate are shown in Formulas (12) and (13).
μ t = ρ w · C u · k 2 ε
ε = C u 0.75 C u 3 4 k 3 2 I = C u 0.75 C u 3 4 k 3 2 0.16 R e 1 8
Comprehensive Formulas (11)–(13), the final estimation formula of turbulent viscosity is shown in Formula (14).
μ t = ( 0.16 ) 2 1.5 1 2 π C u 1 4 n 3 4 ρ 3 4 d 1 2 μ 1 4
The turbulent viscosity estimated by formula (14) in each experimental group is 6.5 to 211.0 times that of the physical viscosity, much higher than the shear viscosity of the working-fluid. It can be seen that the turbulent viscosity is mainly affected by rotational speed and density. However, the regression models based on the experimental data and simulated results of CFD do not show that turbulent viscosity has a significant effect on the heating effect. The viscosity of the working-fluid will affect the critical value of reaching the turbulent state, according to Formula (10). However, Formula (14) can only describe the flow area within the rotor, which the volume only accounts for 12.39% of all fluid flow areas when the total volume of working-fluids is 35 L. The flow state out of the rotor area plays a more important role in influencing the heating effect.

5. Conclusions

In this study, 30 kinds of working-fluids were selected, and stirring-heating experiments were carried out at the rotational speed of 200, 212.5, 225, 237.5, and 250 rpm. The CEIH score, which can comprehensively evaluate the heating effect, was established, and the CFD simulation was also applied to this experiment to study the energy change and hypothetical working-fluid in the process of stirring-heating. Moreover, the influence of non-structural factors on the heating effect of stirring and the corresponding mechanism was analyzed. The following conclusions are drawn:
The comprehensive evaluation indicator of the heating effect established in this study can comprehensively describe the performance of the heating device, and the CEIH score has flexibility through the artificial parameters. The evaluation results can correspond to the mechanism analysis one by one, which fully shows that the use of CEIH is reasonable and feasible. The regression models established by multiple linear regression show a good description.
Among the thermophysical properties factors, the influence of specific heat capacity is the greatest one and viscosity of the working-fluid is secondary, with density as the last one. The influence of the specific heat capacity and density showed a positive effect on the CEIH score and is affected by the volume of the object studied. The lower specific heat capacity is beneficial to the rapid formation of temperature differences inside and outside the heat exchanger, but the heat carried by the working-fluid per unit volume becomes lower. The viscosity of the working-fluid has a negative effect on the heating effect because the viscosity affects the size of the fluid area volume of the turbulent state.
The heat energy increase during the stirring-heating process simulated by CFD is basically consistent with the experimental data. This shows that CFD is very suitable for studying this kind of problem, and the simulation results also show that viscous dissipation is the most important heating way of stirring-heating. The thermophysical properties of the working-fluid have a significant effect on the flow pattern in the stirring-heating device, mainly affecting the upper circulation and the overall velocity in the double circulation flow.
To sum up, the working-fluid with high density, low viscosity, and low specific heat capacity should be selected for stirring-heating. The commonly used water-based and oil-based working-fluids cannot fully meet these conditions, and in this study, the KCl solution is the working-fluid with the highest CEIH score. The single working-fluid has shown its limitations, and it is urgent to develop a special composite working-fluid.

Author Contributions

Data curation, D.W.; Funding acquisition, X.S.; Project administration, X.S.; Resources, J.H.; Validation, Y.C.; Writing—original draft, X.L.; Writing—review & editing, X.Q. and S.B. All authors have read and agreed to the published version of the manuscript.

Funding

This study is supported by “National Technology system of bulk vegetable Industry” (serial number: CARS-23-C-05), “Development and demonstration of emergency heating equipment for wind energy in greenhouse” (numbered: 20193014YF002NS002), and “Research and Development of Intelligent Control Technology and equipment for greenhouse Environment” (serial number: 2021QFY08-02).

Data Availability Statement

Not applicable.

Conflicts of Interest

The authors declare no conflict of interest.

Nomenclature

D Inner diameter of heating device, mm
H Internal height of heating device, mm
b Width of rotor blade, mm
h Height of rotor blade, mm
d Diameter of rotor, mm
l Length of spoiler, mm
W Width of Spoiler, mm
n b Number of spoilers
n p Number of rotor blade
ρ w Density of working-fluid, kg/m3
V w Volume of working-fluid, m3
c w Specific heat capacity of working-fluid, J/(kg·K)
μ dynamic viscosity of working-fluid, mPa·s
T s Temperature of stirring device’s external surface, K
T h Temperature in the heating device at t time, K
Q E Total heat generated in the stirring heating experiment, J
ρ s s Density of stainless steel, kg/m3
V s s Volume of stainless steel structure, m3
c s s Specific heat capacity of Stainless steel, J/(kg·K)
ρ p m Density of polymethyl methacrylate, kg/m3
V p m Volume of polymethyl methacrylate structure, m3
c p m Specific heat capacity of polymethyl methacrylate, J/(kg·K)
T 0 Temperature of the initial moment in the loop and inside space, K
T i s Temperature in the inside space at t time, K
P Power output, kW
P Power of heating, kW
η 1 Mechanical transmission efficiency of flexible coupling, valued 0.99
η 2 Mechanical transmission efficiency of rolling bearings, valued 0.99
η 3 Mechanical transmission efficiency of single-stage bevel gear reducer, valued 0.96
η 4 Mechanical transmission efficiency of timing pulley, valued 0.98
t Operating hours of the heating device, s
q ( t ) Heat conduction rate of heat exchanger at t time, kJ
c a i r Specific heat capacity of air, J/(kg·K)
ρ a i r Density of air, kg/m3
V The volume of inside space, m3
A r effective heat transfer area of heat exchanger, m2
h r heat exchange rate of heat exchanger, W/(m2·K)

References

  1. Cao, K.-K.; Nitto, A.N.; Sperber, E.; Thess, A. Expanding the horizons of power-to-heat: Cost assessment for new space heating concepts with wind powered. Therm. Energy Syst. Energy 2018, 164, 925–936. [Google Scholar] [CrossRef]
  2. Barra, P.H.; de Carvalho, W.C.; Menezes, T.S.; Fernandes, R.A.; Coury, D.V. A review on wind power smoothing using high-power energy storage systems. Renew. Sustain. Energy Rev. 2021, 137, 110455. [Google Scholar] [CrossRef]
  3. Okazaki, T.; Shirai, Y.; Nakamura, T. Concept study of wind power utilizing direct thermal energy conversion and thermal energy storage. Renew. Energy 2015, 83, 332–338. [Google Scholar] [CrossRef] [Green Version]
  4. Lei, Z.; Wang, G.; Li, T.; Cheng, S.; Yang, J.; Cui, J. Strategy analysis about the active curtailed wind accommodation of heat storage electric boiler heating. Energy Rep. 2021, 7, 65–71. [Google Scholar] [CrossRef]
  5. Jwo, C.-S.; Chien, Z.-J.; Chen, Y.-L.; Chien, C.-C. Development of a wind directly forced heat pump and its efficiency analysis. Int. J. Photoenergy 2013, 2013, 862547. [Google Scholar] [CrossRef]
  6. Prol, J.L.; Steininger, K.W.; Zilberman, D. The cannibalization effect of wind and solar in the California wholesale electricity market. Energy Econ. 2020, 85, 104552. [Google Scholar] [CrossRef]
  7. Gaur, A.S.; Fitiwi, D.Z.; Curtis, J. Heat pumps and our low-carbon future: A comprehensive review. Energy Res. Soc. Sci. 2021, 71, 101765. [Google Scholar] [CrossRef]
  8. Sun, X.; Zhong, X.; Zhang, M.; Zhou, T. Experimental investigation on a novel wind-to-heat system with high efficiency. Renew. Sustain. Energy Rev. 2022, 158, 112143. [Google Scholar] [CrossRef]
  9. Neumeier, M.; Cöster, M.; Pais, R.A.M.; Levedag, S. State of the art of Windthermal Turbines: A systematic scoping review of direct wind-to-heat conversion technologies. J. Energy Resour. Technol. Trans. ASME 2022, 144, 040802. [Google Scholar] [CrossRef]
  10. Zdankus, T.; Cerneckiene, J.; Jonynas, R.; Stelmokaitis, G.; Fokaides, P. Experimental investigation of a wind to thermal energy hydraulic system. Renew. Energy 2020, 159, 140–150. [Google Scholar] [CrossRef]
  11. Zhang, Y.; Zhang, L.; Wang, H.; Ma, X.; Yu, S.; Yan, Y.; Bu, H. Comparative study on the power consumption and flow field characteristics of a three-blade combined agitator. Processes 2021, 9, 1962. [Google Scholar] [CrossRef]
  12. Chen, Z.; Zhang, X. Manual for Design and Selection of Mixing and Mixing Equipment, 1st ed.; Chemical Industry Press: Beijing, China, 2004; pp. 3–9. [Google Scholar]
  13. Gui, T.; Li, Y. Experimental study on heating characteristics of straight and Cylindrical Blades by stirring. Shanghai Univ. Electr. Power 2015, 31, 156–160. [Google Scholar]
  14. Liu, Y.; Hu, Y. Parameter design of stirring wind heating device. Acta Energ. Sol. Sin. 2014, 35, 1977–1980. [Google Scholar]
  15. Gao, X.; Li, Y. Experimental study on heating characteristics of flat blades by stirring. Energy Energy Sav. 2016, 5, 111–113. [Google Scholar]
  16. Zhang, Z.; Zhang, C. Maximum power matching design of 5kW stirring wind energy heater. Acta Energ. Sol. Sin. 2018, 5, 1467–1474. [Google Scholar]
  17. Chen, L.; Ma, X.; Xie, H.; Li, Y.; Liu, J.; Liu, D. Start-up performance and optimization of the stirring wind-heating system. In IOP Conference Series: Earth and Environmental Science; IOP Publishing: Bristol, UK, 2021; p. 657. [Google Scholar]
  18. Li, H.; Feng, X. Research progress of wind heating technology in China. Acta Energ. Sol. Sin. 2008, 9, 37–40. [Google Scholar]
  19. Liu, X.; Sun, X.; Li, J.; Qiu, X.; Yang, K.; Cao, Y. Experimental study on the heating effect of a wind-energy stirring heater. J. Therm. Sci. 2021, 30, 772–781. [Google Scholar] [CrossRef]
  20. Yang, K. Study on Greenhouse Emergency Warming Wind Energy Stirring Heating Device. Master’s Thesis, Northwest A&F University, Xianyang, China, 2019. [Google Scholar]
  21. Guo, Y. Study on the Heat Production Performance of Stir-Heating Medium. Master’s Thesis, Northwest A&F University, Xianyang, China, 2019. [Google Scholar]
  22. Rushton, J.H.; Costich, E.W. Power characteristics of mixing impellers. Chem. Eng. Prog. 1950, 46, 395–404. [Google Scholar]
  23. Chen, Z.X.; Xie, M.H.; Zhou, G.Z.; Yu, P.Q.; Wang, F.H. Power curves of 24 kinds of agitators. Chem. Eng. 2010, 38, 38–43. [Google Scholar]
  24. Di Nucci, C.; Pasquali, D.; Celli, D.; Pasculli, A.; Fischione, P.; Di Risio, M. Turbulent bulk viscosity. Eur. J. Mech. B/Fluids 2020, 84, 446–454. [Google Scholar] [CrossRef]
  25. Mani, A.; Larsson, J.; Moin, P. Suitability of artificial bulk viscosity for large-eddy simulation of turbulent flows with shocks. J. Comput. Phys. 2009, 228, 7368–7374. [Google Scholar] [CrossRef]
Figure 1. Stirring-heating experiment system.
Figure 1. Stirring-heating experiment system.
Energies 15 04835 g001
Figure 2. The structure of the heating device. (a) Photos of stirring heating device; (b) schematic diagram of stirring heating device’s size parameters.
Figure 2. The structure of the heating device. (a) Photos of stirring heating device; (b) schematic diagram of stirring heating device’s size parameters.
Energies 15 04835 g002
Figure 3. Model structure of stirring heating device in SOLIDWORKS. (a) Dynamic area model; (b) static area model.
Figure 3. Model structure of stirring heating device in SOLIDWORKS. (a) Dynamic area model; (b) static area model.
Energies 15 04835 g003
Figure 4. Model mesh of stirring heating device in ICEM CFD. (a) Dynamic area mesh; (b) static area mesh.
Figure 4. Model mesh of stirring heating device in ICEM CFD. (a) Dynamic area mesh; (b) static area mesh.
Energies 15 04835 g004
Figure 5. Energy increase of all experimental groups after stirring-heating.
Figure 5. Energy increase of all experimental groups after stirring-heating.
Energies 15 04835 g005
Figure 6. A schematic diagram of the working system of a typical stirring-heating device.
Figure 6. A schematic diagram of the working system of a typical stirring-heating device.
Energies 15 04835 g006
Figure 7. Heat energy increased and fitting curve of water after stirring-heating process. (a) Experimental results; (b) simulation results.
Figure 7. Heat energy increased and fitting curve of water after stirring-heating process. (a) Experimental results; (b) simulation results.
Energies 15 04835 g007
Figure 8. Heat energy increased and fitting curve of all kinds of working-fluids after stirring-heating process under 200 rpm. (a) Experimental results; (b) simulation results.
Figure 8. Heat energy increased and fitting curve of all kinds of working-fluids after stirring-heating process under 200 rpm. (a) Experimental results; (b) simulation results.
Energies 15 04835 g008aEnergies 15 04835 g008b
Figure 9. Rate of heat energy increase in working-fluids with concentration change. (a) Heat increasing rate of NaCl group; (b) heat increasing rate of KCl group; (c) heat increasing rate of K2SO4 group; (d) heat increasing rate of sucrose group; (e) heat increasing rate of glycol group; (f) heat increasing rate of oil group.
Figure 9. Rate of heat energy increase in working-fluids with concentration change. (a) Heat increasing rate of NaCl group; (b) heat increasing rate of KCl group; (c) heat increasing rate of K2SO4 group; (d) heat increasing rate of sucrose group; (e) heat increasing rate of glycol group; (f) heat increasing rate of oil group.
Energies 15 04835 g009aEnergies 15 04835 g009b
Figure 10. The speed vector image in CFD simulation.
Figure 10. The speed vector image in CFD simulation.
Energies 15 04835 g010
Figure 11. CFD simulated cloud images of different working-fluids. (a) Phase cloud images; (b) velocity cloud images.
Figure 11. CFD simulated cloud images of different working-fluids. (a) Phase cloud images; (b) velocity cloud images.
Energies 15 04835 g011
Figure 12. The influence of four factors on standard coefficient of all rotational speed model.
Figure 12. The influence of four factors on standard coefficient of all rotational speed model.
Energies 15 04835 g012
Figure 13. Power number curve [23].
Figure 13. Power number curve [23].
Energies 15 04835 g013
Table 1. The heating device’s structure parameters.
Table 1. The heating device’s structure parameters.
Structure of the Heating DeviceParameter
D (mm)400
H (mm)450
b (mm)70
h (mm)55
d (mm)210
l (mm)300
W (mm)50
n b 4
n p 6
Table 2. Working-fluid concentration division and the measurement results of thermophysical parameters.
Table 2. Working-fluid concentration division and the measurement results of thermophysical parameters.
Solubility at 20 °C (g/100 g)Working-Fluid ρ w   ( kg / m 3 ) μ (mPa·s) c w   ( J / ( kg · K ) )
water9971.0104215
3625% mass ratio NaCl solution11401.4203663
20% mass ratio NaCl solution11231.3403729
15% mass ratio NaCl solution10991.2703789
10% mass ratio NaCl solution10701.2203867
25% mass ratio NaCl solution11401.4203663
34.230% mass ratio KCl solution11451.0903025
25% mass ratio KCl solution11421.0803131
20% mass ratio KCl solution11251.0203251
15% mass ratio KCl solution11020.9603362
10% mass ratio KCl solution10620.9403582
5% mass ratio KCl solution10350.9603690
11.110% mass ratio K2SO4 solution11061.1003693
5% mass ratio K2SO4 solution10710.9503825
20315% mass ratio sucrose solution10601.4304544
9% mass ratio sucrose solution10421.2704375
3% mass ratio sucrose solution10141.1604251
90% volume ratio glycol solution109810.1802953
80% volume ratio glycol solution10877.9803095
70% volume ratio glycol solution10785.8403292
60% volume ratio glycol solution10694.1803576
50% volume ratio glycol solution10563.3103719
40% volume ratio glycol solution10322.5103927
30% volume ratio glycol solution10191.3804039
soybean oil95548.0002009
15 # hydraulic oil85627.6002054
22 # hydraulic oil85437.8002047
32 # hydraulic oil84042.2002088
46 # hydraulic oil86049.7002100
68 # hydraulic oil86767.7002080
Table 3. CEIH score of all experimental groups.
Table 3. CEIH score of all experimental groups.
Working-FluidCEIHAverage
200 rpm212.5 rpm225 rpm237.5 rpm250 rpm
Water0.4880.5760.7170.7980.8260.681
25% mass ratio NaCl solution0.5270.6350.7210.8220.9290.727
20% mass ratio NaCl solution0.5250.6100.6950.7920.8910.703
15% mass ratio NaCl solution0.5070.5940.6890.7780.8750.689
10% mass ratio NaCl solution0.5040.5890.6780.7610.8480.676
5% mass ratio NaCl solution0.4780.5610.6450.7560.8170.651
30% mass ratio KCl solution0.6270.7520.8230.9391.0930.847
25% mass ratio KCl solution0.6060.7100.8070.9191.0160.812
20% mass ratio KCl solution0.5690.6780.7370.8490.9970.766
15% mass ratio KCl solution0.5470.6500.7320.8400.9400.742
10% mass ratio KCl solution0.5350.6210.7220.8220.9210.724
5% mass ratio KCl solution0.5270.6030.6990.7660.9150.702
10% mass ratio K2SO4 solution0.5420.6370.7310.8150.9140.728
5% mass ratio K2SO4 solution0.5160.6650.6650.7570.8630.693
15% mass ratio sucrose solution0.5710.6050.7030.7930.8040.695
9% mass ratio sucrose solution0.5260.6080.6990.8000.9430.715
3% mass ratio sucrose solution0.4760.5440.6250.7000.8940.648
90% volume ratio glycol solution0.5590.7480.8480.8781.0640.819
80% volume ratio glycol solution0.6320.7140.8000.8350.9360.783
70% volume ratio glycol solution0.5290.6330.7490.8110.9120.727
60% volume ratio glycol solution0.5300.5960.6830.7810.8720.692
50% volume ratio glycol solution0.5660.5860.6630.7640.8580.687
40% volume ratio glycol solution0.5020.5690.6520.7230.8370.657
30% volume ratio glycol solution0.4820.5600.6440.7040.8040.639
soybean oil0.6150.6970.8020.8551.0010.794
15# hydraulic oil0.6280.7600.8280.9311.0010.830
22# hydraulic oil0.6120.7220.7930.9100.9890.805
32# hydraulic oil0.5940.6960.7760.8820.9790.785
46# hydraulic oil0.5560.6740.7120.7360.7950.695
68# hydraulic oil0.5880.6330.7310.8050.8930.730
Table 4. The summary of all multiple linear regression models.
Table 4. The summary of all multiple linear regression models.
ModelRR2Adjusted R2Standard Estimated Error
all rotational speed0.9620.9250.9230.039424
200 rpm0.7880.6210.5930.030044
212.5 rpm0.8670.7510.7330.031951
225 rpm0.8060.6500.6250.036942
237.5 rpm0.7720.5960.5660.042355
250 rpm0.7550.5700.5380.052785
Table 5. ANOVA of all models.
Table 5. ANOVA of all models.
ModelSum of SquaresdfMean SquareFSig.
all
rotation
speed
Regression2.78640.697448.1280.000
Residual error0.2251450.002
Total3.011149
200
rpm
Regression0.04020.02022.15550.000
Residual error0.024270.001
Total0.06429
212.5
rpm
Regression0.08320.04240.7530.000
Residual error0.028270.001
Total0.11129
225
rpm
Regression0.06920.03425.1160.000
Residual error0.037270.001
Total0.10529
237.5
rpm
Regression0.07120.03619.9070.000
Residual error0.048270.002
Total0.12029
250
rpm
Regression0.10020.05017.8690.000
Residual error0.075270.003
Total0.17529
Table 6. Coefficient of all models.
Table 6. Coefficient of all models.
ModelIndependent VariableNon-Standardized CoefficientStandard

Coefficient
tSig.
BStandard Error
all
rotational
speed
(Constant)−687.4893.817-−7.3280.000
Rotational speed7.2050.1820.89939.5650.000
Specific heat capacity−0.1040.008−0.555−912.6100.000
Viscosity−1.9460.478−0.251−4.0730.000
Density0.1610.0660.1032.4520.015
200
rpm
(Constant)565.88165.4228.6500.000
Specific heat capacity−0.0590.009−0.957−6.2890.000
Density0.1750.0770.3532.2550.032
212.5
rpm
(Constant)1063.55054.759-19.4220.000
Specific heat capacity−0.1170.014−1.449−8.0420.000
Viscosity−2.7650.599−0.831−4.6160.000
225
rpm
(Constant)1110.13163.314-17.5340.000
Specific heat capacity-0.1060.017−1.350−6.3240.000
Viscosity−2.5240.693−0.778−3.6450.001
237.5
rpm
(Constant)1234.16572.591-17.0020.000
Specific heat capacity−0.1150.019−1.377−6.0030.000
Viscosity−3.2090.794−0.927−4.0420.000
250
rpm
(Constant)1436.23190.466-15.8760.000
Specific heat capacity−0.1410.024−1.393−5.8830.000
Viscosity−4.3640.990−1.044−4.4100.000
All CEIH scores have been multiplied by 1000 to make the model coefficients easy to observe.
Table 7. Pearson correlation coefficient of Rotational speed and density with its corresponding power.
Table 7. Pearson correlation coefficient of Rotational speed and density with its corresponding power.
Rotational Speed ρ W 200 ρ W 212.5 ρ W 225 ρ W 237.5 ρ W 250
P 0.837
P 200 0.833
P 212.5 0.879
P 225 0.883
P 237.5 0.872
P 250 0.891
On the level of 0.01.
Publisher’s Note: MDPI stays neutral with regard to jurisdictional claims in published maps and institutional affiliations.

Share and Cite

MDPI and ACS Style

Liu, X.; Sun, X.; He, J.; Wang, D.; Qiu, X.; Bi, S.; Cao, Y. Study on the Influence of Working-Fluid’s Thermophysical Properties on the Stirring-Heating. Energies 2022, 15, 4835. https://doi.org/10.3390/en15134835

AMA Style

Liu X, Sun X, He J, Wang D, Qiu X, Bi S, Cao Y. Study on the Influence of Working-Fluid’s Thermophysical Properties on the Stirring-Heating. Energies. 2022; 15(13):4835. https://doi.org/10.3390/en15134835

Chicago/Turabian Style

Liu, Xingran, Xianpeng Sun, Jinhong He, Da Wang, Xinyang Qiu, Shengshan Bi, and Yanfei Cao. 2022. "Study on the Influence of Working-Fluid’s Thermophysical Properties on the Stirring-Heating" Energies 15, no. 13: 4835. https://doi.org/10.3390/en15134835

APA Style

Liu, X., Sun, X., He, J., Wang, D., Qiu, X., Bi, S., & Cao, Y. (2022). Study on the Influence of Working-Fluid’s Thermophysical Properties on the Stirring-Heating. Energies, 15(13), 4835. https://doi.org/10.3390/en15134835

Note that from the first issue of 2016, this journal uses article numbers instead of page numbers. See further details here.

Article Metrics

Back to TopTop