You are currently viewing a new version of our website. To view the old version click .
Energies
  • Article
  • Open Access

29 June 2022

Research on 3D Design of High-Load Counter-Rotating Compressor Based on Aerodynamic Optimization and CFD Coupling Method

,
,
and
School of Energy Science and Engineering, Harbin Institute of Technology, Harbin 150001, China
*
Author to whom correspondence should be addressed.
This article belongs to the Special Issue Flow and Heat Transfer in Turbomachinery

Abstract

In view of the flow instability problem caused by the strong shock wave and secondary flow in the channel of the high-load counter-rotating compressor, this paper adopts the design method of coupling aerodynamic optimization technology and CFD and establishes a three-dimensional aerodynamic optimization design platform for the blade channel based on an artificial neural network and genetic algorithm. The aerodynamic optimization design and internal flow-field diagnosis of a high-load counter-rotating compressor with a 1/2 + 1 aerodynamic configuration are carried out. The research indicates that the optimized blade channel can drive and adjust the flow better, and the expected supercharging purpose and efficient energy conversion process are achieved by controlling the intensity of the shock wave and secondary flow in the channel. The total pressure ratio at the design point of the compressor exceeds 2.9, the adiabatic efficiency reaches 87%, and the aerodynamic performance is excellent at the off-design condition, which is on the advanced design level of the same type of axial compressor. The established aerodynamic optimization design platform has important practical engineering applications for the development of high thrust-to-weight ratio aero-engine compression systems.

1. Introduction

In recent years, the high-load compressor is playing an increasingly important role in the design of high thrust-to-weight ratio aero-engines [1,2]. The counter-rotating aerodynamic configuration has obvious technical advantages in improving the relative Mach number of the blade inlet and the stage supercharging capacity, reducing the axial size and weight of the compressor, increasing the design freedom of the compression system, and weakening the dependence of compressor work on circumferential velocity [3,4,5]. Wilcox [6] pointed out that the downstream rotor of the counter-rotating compressor can make full use of the aerodynamic pre-swirl provided by the upstream rotor to achieve a higher incoming Mach number at a lower rotation. Law et al. [7] successfully applied the counter-rotation technology to design a transonic compressor with high pressure ratio for the first time. Kerrebrock JL et al. [8] conducted experimental research on a transonic counter-rotating compressor, and the results showed that the total pressure ratio of the compressor was 2.94, and the adiabatic efficiency was 87%, which proved the high efficiency and compactness of the counter-rotating compressor. However, when the relative Mach number of the rotor inlet is high, the aerodynamic performance of the compressor drops sharply due to the combined effect of shock wave/turbulent boundary layer interaction, secondary flow, and tip flow leakage. Wang [9] pointed out that the rotor tip clearance is an important factor affecting the working margin and efficiency of the counter-rotating compressor. R Agarwal et al. [10] analyzed the factors that affect the stall margin of the counter-rotating compressor and pointed out that the shock wave and the secondary flow in the channel would deteriorate the aerodynamic performance of the compressor. Designers do not have a deep understanding of the flow mechanism under counter-rotation technology, resulting in an unreasonable design for the blade channel, which is an important reason for the low aerodynamic performance of the compressor [11,12]. With the development of intelligent optimization algorithms and CFD technology [13,14], researchers at home and abroad have done a series of studies in the field of blade channel optimization design [15,16,17]. Yang Guanhua et al. [18] carried out an asymmetric modification design for two different arc-shaped leading edge blade profiles; the total pressure loss coefficient of the optimized blade profiles was reduced by 26.3% and 23.5%. John A et al. [19] found that the local bulge structure of the blade surface can effectively suppress the shock-induced boundary layer separation of the suction surface in a transonic compressor channel. Jiang B et al. [20] studied the design and optimization of the blade channel under the subsonic condition based on the self-designed blade optimization platform of the axial compressor and summarized the influence of the selection of optimization variables and objective functions on optimization results. The current studies on the optimal design of blade geometric characteristics mainly focus on the optimization of the single-row blade of conventional compressors, and even the developed optimization design platform is only suitable for aerodynamic optimization of compressor blade channels with conventional configuration. Therefore, it has academic and engineering value to develop an automatic and efficient aerodynamic optimization design platform that can adjust and control the geometric characteristics of multi-stage blades at the same time, and comprehensively study the flow mechanism inside the blade channel. The research shows that the genetic algorithm has great technical advantages for the global optimization of nonlinear space with noise points [21,22,23]. The artificial neural network is especially suitable for multi-dimensional interpolation of data and extrapolation of unstructured data [24,25]. It is a meaningful technical attempt to combine genetic algorithms and artificial neural networks for three-dimensional blade-channel aerodynamic optimization of the complex compression system.
In this paper, aiming at the complex flow problems in high-load counter-rotating compressor channels and the actual requirements of the high-pressure ratio and high-efficiency design, a fully three-dimensional aerodynamic optimization design platform of blade channels coupled with CFD technology is developed, taking the control parameters of the camber line as optimization variables, the aerodynamic optimization design under stage conditions is carried out for low- and high-pressure rotors of a counter-rotating compressor in order to expand its overall aerodynamic performance index.

2. Research Object and Numerical Simulation Method Validation

In order to present the potential of the aerodynamic optimization design platform and the advantages of the flow-field diagnosis method in this paper, a 1/2 + 1 counter-rotating centrifugal axial compressor is selected as the research object. The aerodynamic performance parameters of the research object are relatively high, and it is difficult to obtain reasonable blade geometric characteristics through optimization design. The blades are distributed in the form of: low-pressure rotor (R1), high-pressure rotor (R2), and stator (look from the airflow inlet to outlet). Other design parameters are shown in Table 1.
Table 1. Design parameters of the counter-rotating compressor.
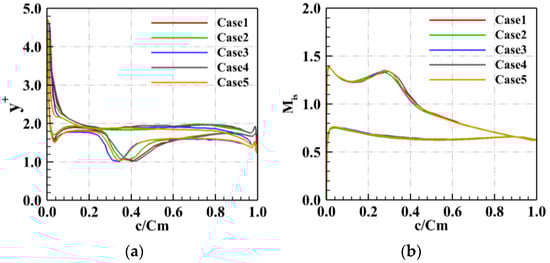
The grid division is completed in a NUMECA/AutoGrid5 module; the O4H grid topology is selected. In order to accurately solve the internal flow of the boundary layer, the surface of the blade profile adopts the structured grid, and the height of the first layer of the grid is 0.005 mm. Due to the complex shock wave problem in the high-Mach-number compressor channel, the degree to which the number of grids affects the simulation results must be investigated. The results of the global parameter grid independence tests are shown in Table 2. When the grid number exceeds 2.4 million, the relative changes between the mass flow rate, total pressure ratio, and adiabatic efficiency are all less than 0.1% at the design point, and the simulation results tend to be stable. At this time, the y+ of near the blade surface is less than 5, which shows that the grid distribution can accurately simulate the aerodynamic performance of the actual compressor. The grid and y+ on the blade surfaces are shown in Figure 1. In addition, Figure 2 gives the local parameter grid independent verification of the 50% span section of the R1 blade, such as y+, isentropic Mach number, and the results show that under different grid numbers, its value changes relatively little. Therefore, this paper determines that the numerical simulation results are independent of the number of grids. Considering the computational cost, the case 4 grid parameter setting is adopted in all subsequent examples in this paper.
Table 2. Grid independence verification.
Figure 1. Grid and y+ on the blade surfaces of the counter-rotating compressor.
Figure 2. The local parameter grid independence verification. (a) y+; (b) Isentropic Mach number.
In this paper, the NUMECA/Fine Turbo module is used to simulate the counter-rotating compressor’s aerodynamic performance and flow-field fine structure. Due to limited computing resources, it is impossible to simulate all the turbulent structures on spatial and temporal scales, so the flow-field information is obtained by solving the Navier-Stokes equations. The equations are as follows:
U t + F I + F V = Q
where U is the vector of the conservative variables; F I and F V are respectively the inviscid and viscous flux vectors; Q contains the source terms.
Due to the rotational effect of the turbomachinery, it is necessary to describe the flow behavior in the relative system and solve the governing equations for the relative velocity components. In the rotating frame of reference, the expressions on the left side of Equation (1) are as follows:
U = [ ρ ¯ ρ ¯ w 1 ˜ ρ ¯ w 2 ˜ ρ ¯ w 3 ˜ ρ ¯ E ˜ ] F I = [ ρ ¯ w i ˜ p * ¯ δ 1 i + ρ ¯ w 1 ˜ w i ˜ p * ¯ δ 2 i + ρ ¯ w 2 ˜ w i ˜ p * ¯ δ 3 i + ρ ¯ w 3 ˜ w i ˜ ( ρ ¯ E ˜ + p * ¯ ) w i ˜ ] F V = [ 0 τ i 1 ¯ τ i 2 ¯ τ i 3 ¯ q i ¯ + w j ˜ τ i j ¯ ]
where w i is the x i component of the relative velocity w ; ρ is the density; τ i j is the stress; q i is the heat flux; E is the total energy; p * is the total pressure.
The stress, heat flux, total energy and total pressure are given by:
τ i j ¯ = ( μ + μ t ) [ w i ˜ x j + w j ˜ x i 2 3 ( · w ) δ i j ]
q i ¯ = ( κ ¯ + κ t ) T ˜ x i
p * ¯ = p ¯ + 2 3 ρ ¯ k ˜
E ˜ = e ˜ + 1 2 w i ˜ w i ˜ + k ˜
where μ t is the coefficient of turbulent viscosity; κ t is the coefficient of thermal conductivity; T is the temperature; p is the static pressure; e is the internal energy; k is the turbulent kinetic energy.
The source term vector Q contains contributions of Coriolis and centrifugal forces and is given by:
Q = [ 0 ( ρ ¯ ) [ 2 ω × w + ( ω × ( ω × r ) ) ] ρ ¯ w · ( 0.5 ω 2 r 2 ) ]
where ω is the angular velocity of the relative frame of reference.
The Spalart–Allmaras turbulence model is adopted in this paper, which is widely used to simulate the internal flow field of turbomachinery because of its robustness in recent years [26,27,28]. The principle of this turbulence model is based on the resolution of an additional transport equation for the eddy viscosity. The turbulent viscosity is given by:
ν t = ν ˜ f ν 1
where ν ˜ is the turbulent working variable and the f ν 1 is defined by:
f ν 1 = χ 3 χ 3 + c ν 1
with χ being the ratio between the working variable ν ˜ and the molecular viscosity ν .
χ = ν ˜ ν
The turbulent working variable obeys the transport equation
ν ˜ t + V ν ˜ = 1 σ { [ ( ν + ( 1 + c b 2 ) ν ˜ ) ν ˜ ] c b 2 ν ˜ Δ ν ˜ } + Q
where V is the velocity vector; Q is the source term; σ and c b 2 are the constants.
The source term Q includes a production term P ( ν ˜ ) and a destruction term D ( ν ˜ ) .
Q = ν ˜ P ( ν ˜ ) ν ˜ D ( ν ˜ )
The production term P ( ν ˜ ) and the destruction term D ( ν ˜ ) are constructed with the following functions:
ν ˜ P ( ν ˜ ) = c b 1 S ˜ ν ˜
ν ˜ D ( ν ˜ ) = c w 1 f w ( ν ˜ d ) 2
S ˜ = S f v 3 + ν ˜ k 2 d 2 f v 2
f v 2 = 1 ( 1 + χ / c v 2 ) 3
f v 3 = ( 1 + χ f v 2 ) ( 1 f v 2 ) χ
where d is the distance to the closest wall and S is the magnitude of vorticity.
f w = g ( 1 + c w 3 6 g 6 + c w 3 6 ) 1 6
g = r + c w 2 ( r 6 r )
r = ν ˜ S ˜ k 2 d 2
The constants arising in the model are as follows:
c w 1 = c b 1 / k 2 + ( 1 + c b 2 ) / σ ; c w 2 = 0.3 ; c w 3 = 2 ; c v 1 = 7.1   c v 2 = 5 ; c b 1 = 0.1355 ; c b 2 = 0.622 k = 0.41 ; σ = 2 / 3 .
In addition, the central difference scheme is used for spatial discretization, and the explicit Runge–Kutta method is used for time discretization. The implicit residual smoothing method and multi-grid technology are used to accelerate simulation convergence [29]. The revolutions of the R1 and R2 blades are 18,390 and 14,400 respectively. At the inlet, the intake direction is axial, the total temperature is 288.15 K and the total pressure is 101,325 Pa. The outlet boundary condition of the static pressure at the middle diameter is given, the static pressure value at the design point is 274 kPa, and the pressure at other radial positions of outlet is determined by the simple radial equation. In the simulation, the air-mass flow rate into the counter-compressor is changed by adjusting the back pressure at the outlet. No-slip and adiabatic wall conditions are used for all the wall boundaries.
The numerical simulation method is used to calculate the aerodynamic performance of a transonic compressor independently designed by our research group [30]. The results of numerical validation are presented in Figure 3. At the design point, the simulation results of the total pressure ratio and adiabatic efficiency of the compressor are basically consistent with the experimental results, and the maximum error is less than 0.05%. Under other conditions at the design revolution, although there is a certain degree of error between simulation values and experimental values of aerodynamic performance, the overall change trend is consistent, and the error is within 2.0%. Moreover, at 82.1% rotation speed, the prediction accuracy of compressor aerodynamic performance is also high, especially that the simulation values of the total pressure ratio are almost consistent with the experimental values, which verifies the accuracy of the numerical simulation method in this paper.
Figure 3. Performance map for the transonic compressor. (a) Adiabatic efficiency vs. mass flow rate; (b) Total pressure ratio vs. mass flow rate.

3. Aerodynamic Optimization Design Platform

The three-dimensional blade channel aerodynamic optimization design platform developed in this paper uses the numerical optimization method based on an artificial neural network and genetic algorithm, and it is finally integrated on the NUMECA/Design3D module by coupling CFD technology and a self-edited Python script. The logical relationship is shown in Figure 4. Among them, the user defined module can complete the functions of blade parametric modeling, grid division, physical model selection, and boundary condition setting. The Python script in the multistage blade optimization script module is the highlight of the highly automated platform, which first determines the blade geometric parameters that need to be modified and defines the geometric parameters as optimization variables that the platform can recognize, and then completes the link of the geometry functions. Second, the method determines the range of optimization variables which are used to limit the parameter search space of the optimization algorithm, and then interacts with the user defined module and the numerical optimization module to complete the work of generating geometric files, performing grid generation, and assembly of the meshes. The resulting grid is invoked by the solver of the numerical optimization module, and the objective function is automatically obtained. For the effective samples generated by the numerical optimization module, artificial neural networks can be used to find the relationship between the objective function and the optimization variables, and then the optimal value of the objective function can be found through the genetic algorithm to obtain the optimal blade geometry.
Figure 4. Aerodynamic optimization design platform.
This platform can complete advanced aerodynamic optimization work such as camber-line optimization, the airflow angle of inlet and outlet optimization, and endwall optimization. Compared with other aerodynamic optimization platforms in industry, the multistage blade optimization script module of this platform can achieve simultaneous optimization of different variables of multi-row blades, which is highly automated.
The parameterization of the camber line is shown in Figure 5. To keep the leading-edge position of profile unchanged, the camber line is fitted with a high-order Bezier curve controlled by five discrete points, which can ensure a smooth blade profile and avoid large aerodynamic loss. Each blade has five parametric cross-sections equidistantly distributed along the spanwise direction. They are represented by the red dotted line in Figure 6. The specific optimization method is to add a perturbation amount to each discrete point of the camber line of the R1 and R2 blade designated sections, respectively, and optimize the three-dimensional blade channel geometry by controlling the shape of the camber line.
Figure 5. Parameterization of camber line.
Figure 6. Distribution of the sections.
In order to enhance the readability of this paper, the main aerodynamic performance parameters and the flow details inside the channel of the initial case and the optimized case will be repeated below. In addition, the case after optimizing the R1 blade is called the opt-1 case, and the case after optimizing the R2 blade on the basis of the opt-1 case is called the final case in the following text.

4. Analysis of Optimization Results

4.1. Optimization of the R1 Blade

Maximize: adiabatic efficiency η on the highest efficiency point;
Constraints: mass flow rate mm (initial case), total pressure ratio π ≥ π (initial case);
Design variables: 20 variables for 4 sections (from shroud to hub). Each camber line has 5 control points.
Figure 7 shows the comparison of aerodynamic performance characteristic lines for the initial case and opt-1 case. After optimization, the aerodynamic performance of the compressor has been improved in different degrees at the design point and off-design point. The blade’s ability to organize airflow in the stage environment has been enhanced, which is mainly manifested in that the mass flow rate at the design point increases by 0.15%, the choking flow rate increases by 1.704%, and the stall flow rate decreases by 0.64%, which means that the stable working range is significantly increased. When the total pressure ratio at the design point remains unchanged, the adiabatic efficiency varies from 85.71% to 86.07%, increasing by 0.36%. The above performance-expansion data prove that the aerodynamic optimization work of the R1 blade channel is positive.
Figure 7. Performance map for the counter-rotating compressor. (a) Adiabatic efficiency vs. mass flow rate; (b) Total pressure ratio vs. mass flow rate.
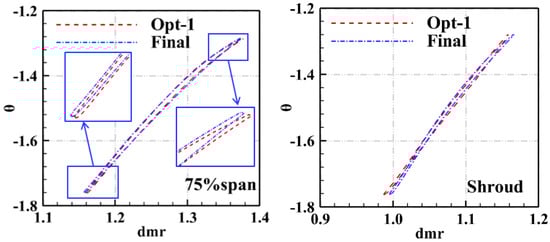
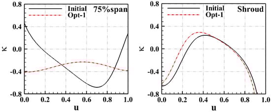
The aerodynamic performance of the counter-rotating compressor under high Mach number is very sensitive to changes in blade geometry. Among them, the comparison before and after optimization of the blade profiles with relatively large geometric changes is shown in Figure 8. At the 75% span section, the front part of the optimized blade profile produces a rapid turn that is similar to a slope, forming a pre-compressed profile, which has been widely used in the design of turbomachinery. The camber of the slope segment has the characteristic of negative curvature, which is also shown in Figure 9. The main function of this type of profile is to reduce the Mach number before the shock wave and to reduce the interference between the shock wave and boundary layer. This conclusion has been recognized by many scholars [31,32]. The straight rear part can reduce wake area size. At the shroud section, the turning angle of the optimized profile’s front part is reduced, and the expansion in the channel is suppressed, which can also reduce the shock wave intensity.
Figure 8. Blade profiles of the initial case and opt-1 case.
Figure 9. The curvature of camber line.
Figure 9 shows the change of camber curvature before and after optimization, which can more intuitively analyze the control effect of the blade profile geometry on the shock wave structure in the channel and boundary layer separation in the near-wall region. At the 75% span section, the camber of the optimized blade profile has a negative curvature globally, and the curvature distribution is significantly slower than the initial case, which is beneficial in reducing the adverse pressure gradient in the channel. At the shroud section, taking the position of 20% chord length as the boundary, the camber curvature of the blade profile’s front part is reduced, and the large pitch angle of the inlet is alleviated, which improves the flow matching characteristics in the blade channel.
Figure 10 shows the distribution characteristics of adiabatic efficiency and total pressure ratio along the spanwise direction at Section 1 (as shown in Figure 6). The upper area of the R1 blade produces a large amount of shock wave loss for the purpose of shock pressurization, resulting in a significantly lower adiabatic efficiency than the root area. After optimization, the adiabatic efficiency of the area above 80% of the span section increases significantly, and the average adiabatic efficiency of Section 1 increases from 89.52% to 90.98%, increasing by 1.46%. The average total pressure ratio of Section 1 increases from 1.856 to 1.862, increasing by 0.45%. The above data confirm that a reasonable blade channel can effectively control and utilize the shock wave intensity to achieve the purpose of pressurization and reduce aerodynamic losses simultaneously.
Figure 10. Comparison of aerodynamic parameters at Section 1. (a) Adiabatic efficiency; (b) Total pressure ratio.
Figure 11 is the cloud map of the distribution of relative Mach numbers in the blade-to-blade section of the R1 blade. Figure 12 shows the distribution trend of isentropic Mach number along the relative chord length direction. These data can more intuitively display the distribution of important flow-field structures in the channel. The cloud map shows that, since the Mach numbers of incoming flow at both sections are supersonic, a dual-wave structure, in which the leading-edge shock wave and the reflected shock wave coexist, is formed in the blade channel. After the blade is optimized, the intensity of the reflected shock wave in both sections of the blade channel is obviously weakened. The peak value of the isentropic Mach number on the pressure surface of the optimized blade profile at both sections is obviously reduced, which also verifies the characteristics of the flow field in Figure 11. In addition, at the 75% span section in Figure 12, the suction surface first goes through a large gradient of the isentropic Mach number, and then the isentropic Mach number gradient from the end position of the shock wave to the trailing edge is obviously slowed down, indicating that, under the premise of achieving a certain degree of static pressure rise, the separation of the boundary layer on the suction surface induced by the shock wave is weakened, leading to a corresponding reduction in the area of the wake, which is also clearly shown in Figure 11.
Figure 11. Relative Mach number in the R1 blade channel. (a) 75% span section; (b) shroud section.
Figure 12. Isentropic Mach number on the surface of R1 blade.
The change of the channel geometry will inevitably affect the distribution law of the thermodynamic parameters on the blade surface. Figure 13 shows the distribution cloud map of entropy on the R1 blade suction. The upper-half part of the blade forms a shock wave due to supersonic airflow, resulting in a high-entropy region. However, the traditional flow-field diagnosis method based on the entropy distribution of the blade surface has certain limitations in analyzing the shock wave and the secondary flow of the channel. Only the entropy cloud map can roughly indicate the position of the shock wave but cannot intuitively indicate the structure and influence range of the shock wave, and it is difficult to compare the changes of the entropy distribution on the blade surface before and after optimization.
Figure 13. The distribution of entropy on the suction side.
Figure 14 shows the distribution cloud map of the radial vorticity and skin-friction vector lines on the R1 blade suction surface. The radial vorticity determination method of vortex dynamics diagnosis provides a new perspective for the aerodynamic optimization design of three-dimensional blade channels and flow-field diagnosis of the compressor. The radial vorticity can directly reflect the intensity variation law of shock wave and secondary flow. Due to the high relative Mach number of the incoming flow, the over-expansion of airflow produces the shock wave separation bubble. The signs of radial vorticity inside and outside the separation region near the shock wave are opposite, and the start and end of the separation region are exactly the places where the signs of the radial vorticity change. After optimization, the distribution of skin-friction vector lines is also improved to a great extent, and the phenomenon of airflow backflow is significantly weakened. The radial vorticity in the separation region and its vicinity is significantly increased and the separation bubble is significantly smaller, indicating that the optimization technique based on the camber line of the airfoil has significant advantages in improving the characteristics of shock wave swelling flow field in the channel.
Figure 14. Radial vorticity and skin-friction vector lines on the suction side.
Compared with the conventional compressor, in the counter-rotating centrifugal compressor, the airflow at the outlet of the low-pressure rotor directly flows into the high-pressure rotor channel without going through the rectification of the stator blade, which makes the high-pressure rotor located downstream greatly affected by the non-uniform flow field at outlet of the low-pressure rotor. The working conditions are worse, so it is necessary to research the optimization of the R2 blade channel.

4.2. Optimization of the R2 Blade

Design variables: 15 variables for 3 sections (from shroud to hub). Each camber line has 5 control points.
Constraints: The target results of aerodynamic performance parameters are all higher than the op_1 case.
Figure 15 and Table 3 show the compressor characteristics before and after optimizing the R2 blade. The results show that, for the final case at the design point, the total pressure ratio exceeds 2.9 and the efficiency reaches 86.87%, which is itself an advanced counter-compressor. In addition, compared with the initial case and opt-1 case, the mass-flow rate is increased by 0.5% and 0.35%, and the adiabatic efficiency is increased by 1.16% and 0.8% under the condition that the total pressure-ratio reduction at the design point of the final case is negligible. Moreover, the aerodynamic performance of the off-design condition has also been ameliorated, which is mainly reflected in the significant increase in the area of high adiabatic efficiency. The stall flow rate is reduced by 1.93% and 1.29%. Although the choking flow rate is lower than the opt-1 case, it still increases by 0.2% compared with the initial case. In summary, the optimized R2 blade can highly efficiently match the low-pressure and high-pressure rotors under all operating conditions, and the further improvement in the comprehensive aerodynamic performance of this counter-compressor is attributed to the advanced aerodynamic optimization design platform.
Figure 15. Performance map for the counter-rotating compressor. (a) Adiabatic efficiency vs. mass flow rate; (b) Total pressure ratio vs. mass flow rate.
Table 3. Aerodynamic performance for different design cases.
Figure 16 also shows the blade profiles with large geometric changes before and after the R2 blade optimization. After optimization, both at the 75% span and shroud section, the pre-compression blade profiles are formed at the front part and the airflow is compressed through the concave section of the front part, which can reduce the Mach number before the shock wave and achieve the purpose of controlling shock wave structure. At the shroud section, the turning angle of the blade profile is increased, making full use of the large airflow velocity in the supersonic blade tip area, and the blade’s ability to work on airflow is enhanced, which improves the aerodynamic load in this area. Figure 17 shows the variation law of aerodynamic performance at Section 2 (as shown in Figure 6) along the spanwise direction. After optimization, the average adiabatic efficiency of Section 2 is increased by 1.34% and 0.89% compared with the initial case and opt-1 case, respectively, and the total pressure ratios of Section 2 both increases by 0.03%.
Figure 16. Blade profiles of the opt-1 case and the final case.
Figure 17. Comparison of aerodynamic parameters at the Section 2. (a) Adiabatic efficiency; (b) Total pressure ratio.
Figure 18 shows the relative Mach number distribution in the channel before and after R2 blade optimization. The R2 blade of the counter-rotating compressor has a higher relative Mach number at the inlet under the combined action of de-swirl inflow and high circumferential velocity. After optimization, the relative Mach numbers in front of the shock wave in both span section channels are reduced. The angle between the shock wave surface and the direction of incoming flow decreases, causing the normal shock wave to evolve into an oblique shock wave and a reflected shock wave, the strength of the shock wave is obviously weakened, and the gradient of strong adverse pressure is decreased. The aerodynamic advantage is that the separation of the boundary layer on the suction surface after the shock wave is delayed or inhibited. The reason for the formation of this flow-field structure is mainly due to the pre-compression effect of the optimized blade profiles’ front part. In addition, the shock-wave position moves downstream in the optimized blade profiles, and the blade can operate under higher back pressure until the leading edge generates a detached shock wave, which means an increase in the stall margin and the total pressure ratio of the compressor.
Figure 18. Relative Mach number in the R2 blade channel. (a) 75% span section; (b) shroud section.
Figure 19 shows the distribution cloud map of entropy on the R2 blade suction. Because the airflow is all supersonic on the whole span direction region, the larger high-entropy region indicates that the degree of shock wave/boundary layer interaction is serious. Figure 20 shows the distribution cloud map of the radial vorticity and skin-friction vector lines on the R2 blade suction surface. After optimization, the radial vorticity distribution characteristic of the near wall is reconstructed. The high radial vorticity region is reduced, and the position of the separation bubble moves backward, which verifies that the shock-wave intensity is reduced, and its position moves backward as well. The influence of the shock-wave separation bubble in the radial and flow direction is significantly reduced, which explains the increase in adiabatic efficiency of the optimized blade in the whole span direction region shown in Figure 17. In addition, it is worth noting that, compared with the entropy cloud map, the radial vorticity cloud map can intuitively show that the secondary flow intensity of the low-velocity fluid mass near the root migrating along the radial direction is obviously weakened, which also shows the advantage of the radial vorticity method. The weakening of the secondary flow in the channel enhances the flow capacity of the blade channel and expands the range of high-efficiency work. In summary, the aerodynamic optimization design of the R2 blade channel is successful, and the compressor’s aerodynamic performance is comprehensively improved.
Figure 19. The distribution of entropy on the suction side.
Figure 20. Radial vorticity and skin-friction vector lines on the suction side.
Figure 21 shows the aerodynamic performance of the initial case and final case at different rotations. The optimized counter-rotating compressor also has a wider stability margin, a higher total pressure ratio, and an adiabatic efficiency at off-design rotating speed, which prove the success of blade aerodynamic optimization and the advancement and practicability of the three-dimensional blade channel optimization platform in this paper.
Figure 21. Performance map for the counter-rotating compressor. (a) Adiabatic efficiency vs. mass flow; (b) Total pressure ratio vs. mass flow rate.

5. Conclusions

In this paper, a three-dimensional aerodynamic optimization design platform for a blade channel based on an artificial neural network and genetic algorithm is established to optimize the camber line of the double-row rotor of a high-load counter-rotating axial compressor that is difficult to optimize. A numerical simulation method is used to analyze the influence of blade geometry characteristics on the flow field structure and aerodynamic performance inside the compressor channel. The conclusions we can draw are as follows:
  • The de-swirl and high circumferential velocity characteristics of the counter-rotating compressor create a high Mach number flow-field environment in the channel, which makes the aerodynamic optimization of the blade more difficult. The optimized blade profiles automatically generated by the platform in this paper reconstruct the aerodynamic load distribution on the blade surface, control the shock wave structure and secondary flow intensity effectively, improve the flow field quality along the flow direction, and improve the comprehensive aerodynamic performance of the compressor. It proves that the aerodynamic optimization platform in this paper is advanced and practical.
  • The optimization technology based on the camber line improves the aerodynamic performance of the compressor both at the design point and the off-design point. After optimization, when the total pressure ratio at the design point is almost unchanged, the adiabatic efficiency is increased by 1.16%, and the stall margin is expanded. The aerodynamic performance index obtained is at a high level among similar compressors.
  • Radial vorticity is a better parameter than thermodynamic entropy to evaluate the intensity and influence of shock wave and secondary flow, and its main distribution characteristics on blade near-wall and superiority are verified by the research results in this paper.

Author Contributions

Methodology, P.Y.; Supervision, P.Y.; Writing—original draft, T.Y. and H.C.; Writing—review & editing, T.Y., H.C., J.F. and P.Y. All authors have read and agreed to the published version of the manuscript.

Funding

This research was funded by the National Science and Technology Major Project (J2019-Ⅱ-0016-0037).

Institutional Review Board Statement

Not applicable.

Data Availability Statement

Not applicable.

Acknowledgments

The authors would like to thank the editor and the reviewers for their helpful comments and suggestions.

Conflicts of Interest

The authors declare no conflict of interest.

Nomenclature

dmrCoordinate for the streamline
cLocal meridian curve distance
CmTotal meridian curve distance
c/CmThe relative chord length
uNon-dimensional coordinate in basic airfoil plane
yNon-dimensional coordinate of the airfoil surface perpendicular to the chord
MisIsentropic Mach number
ΚCurvature
ηEfficiency
πTotal pressure ratio
ωrRadial vorticity
θCircumferential coordinates

References

  1. Braembussche, R.A. Numerical optimization for advanced turbomachinery design. In Optimization and Computational Fluid Dynamics; Springer: Berlin/Heidelberg, Germany, 2008; pp. 147–189. [Google Scholar]
  2. Li, Z.; Zheng, X. Review of design optimization methods for turbomachinery aerodynamics. Prog. Aerosp. Sci. 2017, 93, 1–23. [Google Scholar] [CrossRef]
  3. Sun, S.; Wang, S.; Zhang, L.; Ji, L. Design and performance analysis of a two-stage transonic low-reaction counter-rotating aspirated fan/compressor with inlet counter-swirl. Aerosp. Sci. Technol. 2021, 111, 106519. [Google Scholar] [CrossRef]
  4. Dejour, Q.; Vo, H.D. Assessment of a novel non-axial counter-rotating compressor concept for aero-engines. In Proceedings of the ASME Turbo Expo 2018: Turbomachinery Technical Conference and Exposition, Olso, Norway, 11–15 June 2018. [Google Scholar]
  5. Luo, D.; Sun, X.; Huang, D. Design of 1+ 1/2 counter rotating centrifugal turbine and performance comparison with two-stage centrifugal turbine. Energy 2020, 211, 118628. [Google Scholar] [CrossRef]
  6. Roy, B.; Ravibabu, K.; Rao, P.S.; Basu, S.; Raju, A.; Murthy, P.N. Flow studies in ducted twin-rotor contra-rotating axial flow fans. In Turbo Expo: Power for Land, Sea, and Air; ASME 92-GT-390; American Society of Mechanical Engineers: New York, NY, USA, 1992. [Google Scholar]
  7. Law, C.H.; Wennerstrom, A.J. Performance of two transonic axial compressor rotors incorporating inlet counterswirl. J. Turbomach. 1987, 109, 142–148. [Google Scholar] [CrossRef]
  8. Kerrebrock, J.L.; Epstein, A.H.; Merchant, A.A.; Guenette, G.R.; Parker, D.; Onnee, J.F.; Neumayer, F.; Adamczyk, J.J.; Shabbir, A. Design and test of an aspirated counter-rotating fan. J. Turbomach. 2008, 130, 293–302. [Google Scholar] [CrossRef]
  9. Wang, Y.; Chen, W.; Wu, C.; Ren, S. Effects of tip clearance size on the performance and tip leakage vortex in dual-rows counter-rotating compressor. Proc. Inst. Mech. Eng. Part G J. Aerosp. Eng. 2014, 229, 1953–1965. [Google Scholar] [CrossRef]
  10. Agarwal, R.; Dhamarla, A.; Narayanan, S.R. Numerical investigation on the effect of vortex generator on axial compressor performance. In ASME Turbo Expo: Power for Land, Sea, and Air; American Society of Mechanical Engineers: New York, NY, USA, 2014. [Google Scholar]
  11. Du, Y.; Dou, H.S.; Lu, F. Counter-propagating rotating stall of vaned diffuser in a centrifugal compressor near design condition. J. Turbomach. 2020, 142, 111007. [Google Scholar] [CrossRef]
  12. Mao, X.; Liu, B. Investigation of the casing groove location effect for a large tip clearance in a counter-rotating axial flow compressor. Aerosp. Sci. Technol. 2020, 105, 106059. [Google Scholar] [CrossRef]
  13. Li, M.; Li, G.; Azarm, S. A kriging metamodel assisted multi-objective genetic algorithm for design optimization. J. Mech. Des. Mar. 2008, 130, 031401. [Google Scholar] [CrossRef]
  14. Venturelli, G.; Benini, E.; Łaniewski-Wołłk, Ł. A Kriging-assisted multiobjective evolutionary algorithm. Appl. Soft Comput. 2017, 58, 155–175. [Google Scholar] [CrossRef]
  15. Benini, E. Three-dimensional multi-objective design optimization of a transonic compressor rotor. J. Propuls. Power 2004, 20, 559–565. [Google Scholar] [CrossRef]
  16. Pinto, R.N.; Afzal, A.; D’Souza, L.V.; Ansari, Z.; Mohammed Samee, A. Computational fluid dynamics in turbomachinery: A review of state of the art. Arch. Comput. Methods Eng. 2017, 24, 467–479. [Google Scholar] [CrossRef]
  17. De Vanna, F.; Bof, D.; Benini, E. Multi-Objective RANS Aerodynamic Optimization of a Hypersonic Intake Ramp at Mach 5. Energies 2022, 15, 2811. [Google Scholar] [CrossRef]
  18. Yang, G.; Gao, L.; Wang, H. Asymmetric leading edge design of diffusion cascade based on nurbs. J. Aerosp. Power 2021, 36, 655–663. [Google Scholar]
  19. John, A.; Qin, N.; Shahpar, S. Using shock control bumps to improve transonic fan/compressor blade performance. J. Turbomach. 2019, 141, 1. [Google Scholar] [CrossRef] [Green Version]
  20. Jiang, B.; Zheng, Q.; Zhang, H.; Zhang, X.; Chen, Z.; Qiu, Y.; Li, M. Advanced axial compressor airfoils design and optimization. In Turbo Expo: Power for Land, Sea, and Air; ASME GT 2015-43846; American Society of Mechanical Engineers: New York, NY, USA, 2015. [Google Scholar]
  21. Adeli, H.; Kumar, S. Distributed genetic algorithm for structural optimization. J. Aerosp. Eng. 1995, 8, 156–163. [Google Scholar] [CrossRef]
  22. Amirjanov, A. The development of a changing range genetic algorithm. Comput. Methods Appl. Mech. Eng. 2006, 195, 2495–2508. [Google Scholar] [CrossRef]
  23. Arias-Montano, A.; Coello, C.A.; Mezura-Montes, E. Multiobjective evolutionary algorithms in aeronautical and aerospace angineering. IEEE Trans. Evol. Comput. 2012, 16, 662–694. [Google Scholar] [CrossRef]
  24. Holland, J.H. Adaptation in Natural and Artificial Systems: An Introductory Analysis with Applications to Biology, Control, and Artificial Intelligence; MIT Press: Cambridge, MA, USA, 1992. [Google Scholar]
  25. Meireles, M.R.G.; Almeida, P.E.M.; Simões, M.G. A comprehensive review for industrial applicability of artificial neural networks. IEEE Trans. Ind. Electron. 2003, 50, 585–601. [Google Scholar] [CrossRef] [Green Version]
  26. Umn, U.A.; Güzelbey, B.H.; Ücü, O. Aerodynamic shape optimization of a missile using a multiobjective genetic algorithm. Int. J. Aerosp. Eng. 2020, 2020, 1528435. [Google Scholar]
  27. Lagares, C.; Santiago, J.; Araya, G. Turbulence modeling in hypersonic turbulent boundary layers subject to convex wall curvature. AIAA J. 2021; in press. [Google Scholar]
  28. Erkan, O.; Özkan, M.; Karakoç, T.H.; Garrett, S.J.; Thomas, P.J. Investigation of aerodynamic performance characteristics of a wind-turbine-blade profile using the finite-volume method. Renew. Energy 2020, 161, 1359–1367. [Google Scholar] [CrossRef]
  29. Cui, T.; Wang, S.; Tang, X.; Wen, F.; Wang, Z. Effect of leading-edge optimization on the loss characteristics in a low-pressure turbine linear cascade. J. Therm. Sci. 2019, 28, 56–74. [Google Scholar] [CrossRef]
  30. Li, S.B. Design of Highly Loaded Dihedral Stator and Investigation on the Aerodynamic Stage Performance in an Axial Transonic Compressor. Ph.D. Thesis, Harbin Institute of Technology, Harbin, China, 2007. [Google Scholar]
  31. Hong, W.U. Effect of swirl distribution on fan throughflow design. J. Eng. Thermophys. 2008, 29, 43. [Google Scholar]
  32. Zhou, X.; Yan, P.; Han, W. Investigation of modification design of the fan stage in axial compressor. J. Therm. Sci. 2010, 5, 105–109. [Google Scholar] [CrossRef]
Publisher’s Note: MDPI stays neutral with regard to jurisdictional claims in published maps and institutional affiliations.

Article Metrics

Citations

Article Access Statistics

Multiple requests from the same IP address are counted as one view.