Next Article in Journal
Diachronic and Synchronic Analysis for Knowledge Creation: Architectural Representation Geared to XR Building Archaeology (Claudius-Anio Novus Aqueduct in Tor Fiscale, the Appia Antica Archaeological Park)
Next Article in Special Issue
Optimized Synchronous Pulse Width Modulation Strategy Based on Discontinuous Carriers
Previous Article in Journal
Fast DC Fault Current Suppression and Fault Ride-Through in Full-Bridge MMCs via Reverse SM Capacitor Discharge
Previous Article in Special Issue
Harmonic Analysis and Attenuation Strategy for a Two-Stage Matrix Converter Fed by Dual-Inverter Based on Pulse Barycenter Method
 
 
Font Type:
Arial Georgia Verdana
Font Size:
Aa Aa Aa
Line Spacing:
Column Width:
Background:
Article

Design and Analysis of Modulated Magnetic Pole for Dual Three-Phase Surface-Mounted Permanent Magnet Synchronous Motor

1
School of Electrical Engineering, Tiangong University, Tianjin 300387, China
2
School of Electrical and Information Engineering, Tianjin University, Tianjin 300072, China
*
Author to whom correspondence should be addressed.
Energies 2022, 15(13), 4597; https://doi.org/10.3390/en15134597
Submission received: 11 May 2022 / Revised: 18 June 2022 / Accepted: 21 June 2022 / Published: 23 June 2022

Abstract

:
In order to improve the air-gap magnetic field waveform and reduce the torque ripple of dual three-phase surface-mounted permanent magnet synchronous motors (PMSMs), a new surface-mounted modulated permanent magnet (PM) structure is proposed in this paper. Compared with the existing pole-cutting structure, the modulated magnetic pole does not need to customize the precise machining mold. However, when the modulation pole structure is installed, only the magnetic block-assisted assembly structure is designed to reduce the manufacturing cost. Based on the principle of specific harmonic elimination technology (SHET), the number, size and position angle of the modulated magnetic poles can be calculated, and the elimination or the injection of specific harmonics of the air-gap magnetic field can be realized, which can optimize the performance of the motor. It can be seen that the modulation pole structure based on SHET is also an effective method to improve the sinusoidal waveform of the air-gap magnetic field of the surface-mounted PM motor.

1. Introduction

The surface-mounted permanent magnet synchronous motor (PMSM) is widely used in various fields due to its simple structure and small magnetic leakage [1,2]. The requirements for the performance of PMSMs are increasing in various industrial applications, and discovering how to design high-performance PMSMs with high torque density and low torque ripple has become the focus of modern motor design. The electromagnetic torque, torque ripple and vibration noise of PMSMs are closely related to the value and sinusoidal properties of air-gap flux density [3,4]. The rotor of the conventional surface-mounted permanent magnet (PM) motor is composed of the whole magnetic poles arranged according to the specified pole embrace. The air-gap magnetic field produced by the rotor with whole magnetic poles has a poor sinusoidal 0 degree and various non-working harmonics. Therefore, how to reduce the non-working harmonics in air-gap flux density has an important influence on the effectiveness of reducing the torque ripple and the loss of the motor.
A large amount of research on the optimization design of the magnetic pole structure of the surface-mounted PM motor has been conducted by scholars in recent years. The sinusoidal degree of the air-gap magnetic density waveform is improved by combining segmented magnetic poles of equal width and different magnetization intensities in [5,6]. However, the magnetic poles of different materials differ greatly in performance, which increases the difficulty of processing and manufacturing [7]. The effects of the PM arrangement, skew angle and axial segment length on cogging torque are analyzed in [8,9,10], and the results show that the reasonable arrangement of magnetic pole blocks can effectively reduce the non-working harmonics of air-gap flux density, which can eventually reduce motor cogging torque effectively. A method of eccentrically cutting the outer arc of the rotor magnetic pole is proposed in [11,12]. The magnetic pole structure, which can produce sinusoidal air-gap magnetic density, is derived by using a simple model, and the harmonics of air-gap magnetic density and cogging torque are weakened by optimizing key parameters, such as eccentricity. A sinusoidal magnetic pole structure was proposed in [13], and the optimal air-gap flux density waveform is found by adjusting the thickness of the magnet edge, so that the motor cogging torque can effectively be reduced. A new magnet pole structure, produced by injecting the 3rd, 5th and 7th harmonics into the traditional sinusoidal magnetic pole structure, is proposed in [14,15], which can adjust the shape of the magnetic pole. This method increases the fundamental amplitude of air-gap magnetic density and improves the torque density of the motor on the basis that the torque ripple will not deteriorate compared to the sinusoidal magnetic pole structure. In the magnetic pole structure design of the five-phase motor in the literature [16,17], the third harmonic is injected into the sinusoidal magnetic pole structure, and the third harmonic current is injected on the premise that the stator current amplitude is constant, so that it interacts with the third harmonic in the air-gap flux density and increases the torque density of the motor by 20%. Although the sinusoidal magnetic pole structure can improve the sinusoidal degree of the air-gap magnetic density waveform and effectively reduce the torque ripple, the magnetic pole production and processing is difficult due to the special arc shape of its outer contour, especially the magnetic pole structure with harmonic injection.
In order to improve the waveform of the air-gap magnetic field and the performance of the dual three-phase surface-mounted PMSM, a new design method of the surface-mounted modulated magnetic pole structure is proposed in this paper. As shown in Figure 1, the winding structure of the dual three-phase motor used in this paper is composed of two sets of three-phase windings with a phase shift of 30°. Different from the traditional three-phase motor, under this structure, the 5th and 7th harmonics in the stator MMF can be directly eliminated to reduce the motor torque ripple.
For the modulated magnetic pole part, the block number, size and position angle of the modulated magnetic pole are calculated based on the principle of SHET. The modulated magnetic pole is composed of several small magnetic block arrays. This structure can eliminate specific harmonics of the air-gap magnetic field of the motor, and effectively improve the sinusoidality of the air-gap magnetic density. This structure can also realize the injection of specific harmonics of the air-gap magnetic field to improve the output torque of the motor. Therefore, the modulated magnetic pole based on the SHET principle is also a good magnetic pole structure of the surface-mounted permanent magnet motor.

2. Application of SHET in Modulated Magnetic Pole Design

The specific harmonic elimination modulation method was proposed by Patel H.S. and Hoft R.G. in 1973, and it is mainly used in the field of variable frequency power supply [18,19]. When the three-level inverter is used in the case of high-power motor drive, in order to reduce the switching frequency of power devices and reduce switching losses, specific harmonic elimination technology (SHET) is needed to eliminate the low-order harmonics in the input voltage waveform. Therefore, the current ripple can be reduced, and the performance of the variable frequency power supply can be improved [20,21].
The main principle of SHET is based on the Fourier series model of the input phase voltage of three-phase inverter. The specific subharmonic amplitude to be eliminated is set to zero as the constraint, and the solution is based on the switching angle α nonlinear transcendental equations of unknown quantities. Finally, the specific harmonic in the inverter input voltage is eliminated through modulation.

2.1. Principle of Magnetic Pole-Specific Harmonic Elimination

In this paper, the above SHET was applied to the design of surface-mounted rotor magnetic poles in order to reduce the harmonics of the air-gap flux density in the motor and reduce the torque ripple. The specific harmonic in the no-load air-gap flux density can be eliminated by solving the width and position angle of the modulated magnetic pole through the SHET. Only the sinusoidal fundamental wave was retained to realize the sinusoidal air-gap flux density of the motor. In actual calculations, a symmetrical arrangement is usually adopted to simplify the calculation. The theoretical waveforms of modulated and sinusoidal magnetic poles are shown in Figure 2. Additionally, a cross-section picture of the machine in the position of different αim is shown in Figure 3.
As shown in Figure 2, the waveform is symmetrical in a period of positive and negative half periods. The waveform in the positive half period is symmetric at about π/2, where αi (i = 1, 2, 3, …, N) is the position angle of each magnetic pole in a quarter period, and αim is the corresponding mechanical angle. If there are N position angles in a quarter period (N − 1), specific harmonics can be eliminated. Under a pair of poles, the Fourier series expansion expression of the profile waveform of the modulated magnetic pole is as follows:
h 0 ω t = n = 1 c n sin n ω t + d n cos n ω t
where n is the order of each harmonic; cn and dn are the amplitudes of the sine and cosine components, respectively; and the expressions are as follows:
c n = 1 π 0 2 π h 0 ω t sin n ω t d ω t
d n = 1 π 0 2 π h 0 ω t cos n ω t d ω t
Since the magnetic pole positions are oddly symmetric at around the point π and symmetric at about π/2 in the interval [0, π], it follows that
h 0 ω t = h 0 ω t + π
h 0 ω t = h 0 π ω t
Substituting Equations (4) and (5) into Equations (2) and (3), respectively, we can obtain the following:
{ c n = { 4 h n π [ i = 1 N ( 1 ) i + 1 cos ( n α i ) ] n = 1 , 3 , 5 , 7 0 n = 2 , 4 , 6 , 8 d n = 0 n = 1 , 2 , 3 , 4
where h is the magnetic pole height and αi denotes the i-th position angle. From Equation (6), it can be seen that all even harmonics in the modulated pole profile waveform can be eliminated, and all cosine harmonics are also eliminated. Therefore, the amplitude of each harmonic in the modulated pole profile waveform can be expressed as follows:
h 0 ω t = n = 1 , 3 , 5 , 4 h n π i = 1 N 1 i + 1 cos n α i   sin n ω t
where the position angle αi should satisfy 0 < α1 < α2 < α3 … < αN < π/2. In the magnetic field generated by the magnetic poles, the effects of the 3rd harmonic and its multiple harmonics in the air-gap flux density need to be considered, so the harmonics to be eliminated are 3, 5, 7, 9, 11, …, 2k − 1 (k = 2, 3, 4, …). In this paper, a 12-slot 10-pole surface-mounted dual three-phase permanent magnet motor was designed as an example. The harmonic distribution of air-gap flux density generated by the conventional surface-mounted magnetic pole structure is shown in the following figure.
It can be seen from Figure 4 that 3, 5, 7 and 9 non-working harmonics with high amplitudes are the main factors affecting the sinusoidality of the air-gap magnetic density. The number of position angles N = 5 in a quarter period is chosen, so that four specific harmonics of the 3rd, 5th, 7th and 9th can be eliminated. Define bn as the n-th harmonic amplitude, and define the modulation index M as the ratio of the square wave fundamental amplitude b1 to the square wave amplitude hm, i.e.,
M = b 1 h m
The modulation index is M = 1, and the nonlinear equations composed of the corresponding harmonic amplitude expressions are as follows:
{ b 1 = 4 π [ cos ( α 1 ) cos ( α 2 ) + cos ( α 3 ) cos ( α 4 ) + cos ( α 5 ) ] = 1 b 3 = 4 3 π [ cos ( 3 α 1 ) cos ( 3 α 2 ) + cos ( 3 α 3 ) cos ( 3 α 4 ) + cos ( 3 α 5 ) ] = 0 b 5 = 4 5 π [ cos ( 5 α 1 ) cos ( 5 α 2 ) + cos ( 5 α 3 ) cos ( 5 α 4 ) + cos ( 5 α 5 ) ] = 0 b 7 = 4 7 π [ cos ( 7 α 1 ) cos ( 7 α 2 ) + cos ( 7 α 3 ) cos ( 7 α 4 ) + cos ( 7 α 5 ) ] = 0 b 9 = 4 9 π [ cos ( 9 α 1 ) cos ( 9 α 2 ) + cos ( 9 α 3 ) cos ( 9 α 4 ) + cos ( 9 α 5 ) ] = 0
Therefore, the position angle of each magnetic pole can be obtained only by solving the solution of the equations. The magnetic pole width is further obtained, followed by the elimination of specific harmonics in the air-gap magnetic density. However, this system of nonlinear transcendental equations cannot be solved directly, and the initial value of αi needs to be calculated and solved using an iterative method.
The solution of the nonlinear system of equations is the core of obtaining the width and position of the modulated magnetic pole. This initial value is selected using the principle of impulse equivalency. As shown in Figure 3 and Figure 5, there is one pole for each half period. Additionally, the pole is divided into P rectangular segments with different widths. The center of each pole is equidistant, the spacing is π/P and the amplitude is hm. Thus, the centerline position angle of the i-th pole is as follows:
θ i = π P i 1 2 π P = 2 i 1 2 P π
The height of the sine waveform corresponding to the center position of the i-th magnetic pole is as follows:
h 1 i = b 1 sin θ i
The width Wi of the i-th magnetic pole can be calculated:
W i = π P b 1 h m sin θ i
Therefore, the starting and ending position angles of the ith magnetic pole are as follows:
α i s = θ i 1 2 W i = 2 i 1 2 P π 1 2 π P b 1 h m sin θ i
α i f = θ i + 1 2 W i = 2 i 1 2 P π + 1 2 π P b 1 h m sin θ i
Matlab has efficient numerical and symbolic computation functions, and it contains a large number of computational algorithms. The Matlab fslove function included in its toolbox can directly solve large systems of nonlinear transcendental equations, and its basic iteration principle is the Newton iteration method. The initial value of αi is used as the initial value of the fslove function of the iterative solution. Additionally, the correct setting of the initial value of αi is conducive to the convergence of the program. When the program converges, the approximate true solution of nonlinear transcendental equations can be obtained. The magnetic pole position parameters obtained from the actual solution are shown in Table 1.
The relationship between the mechanical position angle αim and the electric angle αi of the modulation pole position is given as follows:
α i m = α i × 180 π p
the mechanical position angle αim of the modulated magnetic poles under one pole can be obtained as shown in Table 2.
Therefore, according to symmetry, the width of five modulated magnetic poles under one pole can be obtained:
w i = ( α i + 1 m α i m ) π R 180
In this paper, the rotor inner radius R is 22.5 mm, and the final width of each magnetic pole under one pole is shown in Table 3.

2.2. Principle of Magnetic Pole-Specific Harmonic Injection

In some occasions where the performance of the motor is required to be high, in addition to requiring the motor to have low torque ripple to enable the motor to operate smoothly, it also requires the motor to have high torque density. As we all know, when the surface-mounted motor rotor magnetic pole is cut into an extremely sinusoidal structure, although the torque ripple will be reduced, the torque density will also be greatly reduced. Therefore, in order to increase the torque without aggravating the torque ripple, the solution of injecting the third harmonic into the sinusoidal pole shape is proposed. The fundamental air-gap magnetic density amplitude can be increased by injecting the third harmonic while keeping the maximum magnetic pole thickness constant. Not only that, in the case of a dual three-phase motor with two sets of windings shifted 30° in phase, the torque density can be further increased by injecting the third harmonic current [22], which interacts with the third harmonic in the air-gap magnetic density to generate electromagnetic torque.
After injecting the third harmonic into the sinusoidal magnetic pole shape, the pole shape function at this point is as follows:
h 1 o θ = Δ m a sin θ + a sin 3 θ
where Δma is the adjustment factor whose magnitude varies with the change in the harmonic injection amount a. This ensures that the maximum thickness of the PM before and after harmonic injection is kept unchanged without changing the minimum air-gap length. a is the amplitude of the third harmonic injection. The theoretical waveforms of the 3rd harmonic injecting sin waveform are shown in Figure 6. Neglecting the effect of slot opening and assuming the same relative permeability of air gap and PM, the air-gap magnetic density of the dual three-phase PMSM can be expressed as follows:
B g θ = h 1 o θ B r l = Δ m a B r l sin θ + a sin 3 θ
where Br is the remanence of the PM, and l is the air-gap length. Each back electromotive force of the motor can be derived from the magnetic flux linkage equation:
e = d φ d t = 2 R s l a ω r N p Δ m a B r l K d p n sin n θ
where Rs is the stator inner diameter; la is the axial length of stator core; ωr is the rotor angular speed; Np is the number of series turns per phase; and Kdpn is the winding coefficient of each harmonic. By passing a sinusoidal current through the dual three-phase winding, the electromagnetic torque generated by each back electromotive force can be expressed as follows:
T m = e A 1 i A 1 + e A 2 i A 2 + e B 1 i B 1 + e B 2 i B 2 + e C 1 i C 1 + e C 2 i C 2 ω r = 6 R s l a N p Δ m a B r l K d p 1 I
After the third harmonic is injected into the sinusoidal pole, in order to solve for the harmonic injection amount a at the maximum PM thickness, the differential Equation (17) can be obtained:
d h 1 o θ d θ = Δ m a cos θ + 3 a cos 3 θ = 0
Therefore, the maximum thickness of PM is as follows:
cos θ = 0 , 0 < a 1 9
cos θ = 9 a 1 12 a 1 2 , a > 1 9
At this time, the maximum value of the magnetic pole shape function h1o (θ) is as follows:
h 1 o max = 1 a Δ m a , 0 < a 1 9
h 1 o max = 8 a 1 + 3 a 12 a 3 2 Δ m a , a > 1 9
After the third harmonic is injected into the sinusoidal magnetic pole, to keep the maximum thickness of the PM constant before and after injection, let h1omax = hm; thus:
Δ m a = h m 1 a , 0 < a 1 9
Δ m a = 1 8 a 1 + 3 a 12 a 3 2 h m , a > 1 9
The output torque of the motor is obtained as follows:
T = 6 R s l a N p K d p 1 h m B r l 1 a , 0 < a 1 9
T = 6 R s l a N p K d p 1 h m B r 8 l a 1 + 3 a 12 a 3 2 , a > 1 9
When a = 1/9, the torque after the third harmonic injection reaches the maximum; when a > 1/9, the optimal third harmonic injection amount a is solved using the Lagrangian function. First, the Lagrangian function is established:
L Δ m a , a = 6 R s l a N p K d p 1 Δ m a B r l + λ Δ m a 1 8 a 1 + 3 a 12 a 3 2 h m
where λ is the Lagrangian coefficient; thus, the maximum torque of the dual three-phase PMSM provided by the third harmonic injection into the sinusoidal pole can be determined by differentiating the equation L(∆ma,a) as follows:
d L Δ m a , a d Δ m a = 0
d L Δ m a , a d a = 0
Δ m a 1 8 a 1 + 3 a 12 a 3 2 h m = 0
The simultaneous solution of Equation (27) can be obtained:
a = 1 6
Δ m a = 2 3 3 h m
Therefore, in order to ensure the same maximum magnetic pole thickness before and after injection and to obtain the maximum torque at the same time, the optimal injection amount for the third harmonic injection into the sinusoidal pole is 1/6. At this point, the magnetic pole shape function is as shown in Equation (29), and the magnetic pole shape after the injection of the third harmonic is shown in Figure 7.
h 1 o θ = 2 3 3 h m sin θ + 1 6 sin 3 θ
As can be seen from Figure 7, the magnetic pole shape function contains only fundamental and third harmonics, and the equation group composed of the amplitude expression of each harmonic is as follows:
{ b 1 = 4 π [ cos ( α 1 ) cos ( α 2 ) + cos ( α 3 ) cos ( α 4 ) + cos ( α 5 ) ] = 1 2 3 3 b 3 = 4 3 π [ cos ( 3 α 1 ) cos ( 3 α 2 ) + cos ( 3 α 3 ) cos ( 3 α 4 ) + cos ( 3 α 5 ) ] = 1 6 2 3 3 b 5 = 4 5 π [ cos ( 5 α 1 ) cos ( 5 α 2 ) + cos ( 5 α 3 ) cos ( 5 α 4 ) + cos ( 5 α 5 ) ] = 0 b 7 = 4 7 π [ cos ( 7 α 1 ) cos ( 7 α 2 ) + cos ( 7 α 3 ) cos ( 7 α 4 ) + cos ( 7 α 5 ) ] = 0 b 9 = 4 9 π [ cos ( 9 α 1 ) cos ( 9 α 2 ) + cos ( 9 α 3 ) cos ( 9 α 4 ) + cos ( 9 α 5 ) ] = 0
Using Matlab fslove function to solve (30), the position angle parameters of equivalent sin + 3rd PM structure are obtained as shown in Table 4, Table 5 and Table 6. According to the symmetry of the waveform with respect to π/2 in the positive half period, the corresponding mechanical position angle αim of the modulated magnetic poles under one pole and widths of the five magnetic poles can be obtained as follows.

3. Finite Element Performance Analysis of Motor

In order to verify the effectiveness of the SHET and specific harmonic injection technology of the modulated magnetic pole, a 12-slot 10-pole surface-mounted dual three-phase PMSM is taken as an example to establish a finite element model. The specific parameters are shown in Table 7.

3.1. No-Load Performance Analysis

In order to evaluate the improvement effect of the modulated magnetic pole structure constructed with the SHET on motor performance, the motor finite element models corresponding to the three magnetic pole structures are established, as shown in Figure 8. The three models have the same structural parameters except the magnetic pole.
Figure 8a is the model of the conventional surface-mounted PMSM, Figure 8b is the model of the equivalent sinusoidal PM shape realized by using the SHET, and Figure 8c is the model of the equivalent sin + 3rd PM shape realized by using the SHET. Simulation experiments are carried out on the three motors, respectively.
A comparison of the no-load magnetic flux of a dual three-phase PMSM with three different magnetic pole structures is shown in Figure 9. From the figure, it can be seen that the magnetic flux of the conventional surface-mounted pole structure is densely distributed under one pole. However, the magnetic flux distribution of the equivalent sinusoidal PM structure becomes sparse. However, in the equivalent sin + 3rd PM structure, it can be seen that the density of the magnetic flux is higher than that of the equivalent sinusoidal PM structure.
The no-load air-gap flux density distribution of the permanent magnet motor has a direct impact on the motor performance; the working harmonic will only cause stator loss, while the non-working harmonic will cause stator and rotor loss, eddy current loss of the permanent magnet, torque ripple and vibration noise. In order to obtain more accurate results, the mesh is encrypted, as shown in Figure 10. The no-load air-gap flux density waveforms of the three motors with different magnetic pole structures are obtained through simulation, and are shown in Figure 11a. The no-load air-gap magnetic density harmonic distribution obtained through Fourier decomposition is shown in Figure 11b. Compared with the conventional magnet pole, the 3rd, 5th, 7th and 9th harmonics are almost completely eliminated in the air-gap magnetic density generated by the equivalent sinusoidal PM shape with SHET, which improves the sinusoidal degree of air-gap flux density waveform significantly, and the effectiveness of the SHET is verified. However, its fundamental amplitude (0.79 T) is significantly lower than that of the conventional structure with the whole magnetic pole (0.98 T), which will contribute to a decrease in the average torque of the motor.
From the perspective of the air-gap flux density produced by the equivalent sin + 3rd PM shape, the amplitude of the harmonics does not increase, except for the third harmonic, and the fundamental amplitude of magnetic density (0.9 T) is also greatly improved compared with that of the equivalent sinusoidal PM shape. Therefore, the equivalent sin + 3rd PM shape can increase the torque density of the motor by using the SHET, which further demonstrates the effectiveness of the SHET.
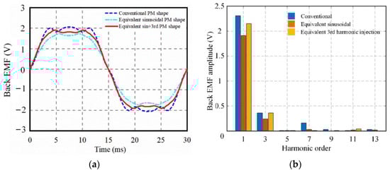
When the dual three-phase PMSM with three kinds of magnetic pole structures is at rated speed, the Back-EMF waveform in rotor position and its harmonic analysis are shown in Figure 12. As can be seen from the figure, the conventional surface-mounted PM structure has a flatter waveform due to the rich harmonic content in the Back-EMF waveform. The Fourier decomposition of the waveform shows that the amplitude of the fundamental Back-EMF is 2.31 V, and the harmonic distortion rate is 17.25%. The sinusality of the Back-EMF waveform of the equivalent sinusoidal PM structure is significantly increased, and the Fourier decomposition of this waveform shows that the amplitude of the fundamental Back-EMF is 1.91 V and the harmonic distortion rate is 12.55%. The amplitude of the Back-EMF waveform of the equivalent sin + 3rd PM structure is between the other two waveforms. After Fourier decomposition of the waveform, the fundamental Back-EMF amplitude is 2.15 V and the harmonic distortion rate is 16.8%. The fundamental amplitude is increased with respect to the equivalent sinusoidal PM structure.
When the magnetic pole of the surface-mounted motor is equivalent to a sinusoidal structure, the torque ripple is reduced, but the torque density also decreases significantly. Due to the reduction in the stored magnetic co-energy in the process of magnetic pole design, the amplitude of the Back-EMF decreases. Therefore, in order to increase the torque without aggravating the torque ripple, the third harmonic is injected into the sinusoidal magnetic pole; that is, the output torque amplitude can be increased by injecting the third harmonic, while the maximum thickness of the magnetic pole remains unchanged.
A comparison of the cogging torque of a dual three-phase PMSM with three different magnetic pole structures is shown in Figure 13. It can be seen from the figure that the conventional surface-mounted PM structure has the maximum cogging torque, and the amplitude is about 80 mNm due to the rich MMF harmonic content of the rotor. Both the equivalent sinusoidal PM structure and the equivalent sin + 3rd PM structure show a large decrease in the cogging torque after applying the SHET, with amplitudes of 16 mNm and 12 mNm, respectively. Therefore, the equivalent magnetic pole model designed by SHET will effectively reduce the torque ripple of the motor. On the other hand, we see that there is a reduction in the magnetic strength due to the design process, which leads to an overall reduction in stored magnetic co-energy under no-load conditions, and hence cogging torque.

3.2. Load Performance Analysis

Simulation experiments are carried out under load by applying current with the amplitude of 25 A to the three motors. The comparison results of electromagnetic torque of the three motors are shown in Figure 14a. As is shown in Figure 14a, the dual three-phase PMSM with the whole magnetic pole has the highest electromagnetic torque among the three motors, which is 4.1367 Nm. The conventional surface-mounted PM structure motor has the highest torque ripple, which is about 3.473% due to its high non-working harmonics in the no-load air-gap flux density. The torque of equivalent sinusoidal PM structure realized by using the SHET is 3.4208 Nm, which is the lowest among the three motors, and its torque ripple is 1.48%, which is 57.4% lower than that of the conventional surface-mounted PM structure motor. The operation stability of the motor is greatly improved, and the effectiveness of the SHET is further verified. The torque of the equivalent sin + 3rd PM structure realized by the SHET is 3.8516 Nm, and the value of the torque ripple is 1.22%, which is 64.87% lower than that of the conventional surface-mounted motor. The running stability of the motor is thus significantly improved. It can be seen that the modulation pole structure based on SHET is also an effective method to reduce the torque ripple. The electromagnetic performance parameters of the three motors were finally compiled, as shown in the following table.
The reason that the torque ripple of the equivalent sinusoidal PM structure is not the lowest is that when the value of N is 5, it can only eliminate four (N − 1 = 4) harmonics, which are the 3rd, 5th, 7th and 9th harmonics, respectively, in the process of specific harmonic elimination. The 6th and 12th torque harmonics of the 12-slot 10-pole motor are mainly generated by the 5th, 7th, 11th and 13th harmonics of air-gap flux density. It can be seen from Figure 11b that the 5th and 7th harmonics in the air-gap flux density generated by the equivalent sin + 3rd PM structure are the same as the equivalent sinusoidal PM structure, but the 11th and 13th harmonics are slightly lower than the equivalent sinusoidal PM structure, which leads to a slightly lower torque ripple than the equivalent sinusoidal PM structure.
A comparison of the PM eddy current loss of a dual three-phase PMSM with three different magnetic pole structures is shown in Figure 14b. Among the three motors, the dual three-phase PMSM with the conventional surface-mounted pole structure has the highest eddy current loss of about 48 mW. The remaining two dual three-phase PMSMs equipped with equivalent sinusoidal magnetic poles and equivalent third harmonic injection magnetic poles have low eddy current losses of 3.1 mW and 3.7 mW, respectively, both of which have good performance.

3.3. Analysis of Motor Performance after Injection of Current Harmonics

As seen in Figure 14a and Table 8, although the use of the equivalent sin + 3rd PM structure can improve the torque compared to the equivalent sinusoidal PM structure without worsening the torque ripple, in order to achieve the requirements of high torque density and low torque ripple in some servo systems, direct drive systems and other specific applications, the third harmonic current is injected into the stator winding to cause it to interact with the third harmonic in the air-gap flux density, which can effectively increase the electromagnetic torque. In conventional three-phase PMSMs, the windings are mostly star-connected, and there is no third harmonic current. However, in dual three-phase PMSMs, two sets of windings can be connected at the neutral point to allow the third harmonic current to flow in the windings. Therefore, the third harmonic current can be injected into the dual three-phase PMSM, and the current injection principle is the same as the PM injection principle. In order to ensure that the current amplitude before and after harmonic injection is the same, so that the peak current does not exceed the current limit of the inverter power supply, the optimal value of the injected third harmonic current amplitude is 1/6 of the fundamental amplitude. At the same time, the current fundamental amplitude increases to 1.154 times of the original [23]. At this point, the phase current expression is as follows:
I θ = 2 3 3 I m sin p θ + 1 6 sin 3 p θ
where Im is the fundamental current amplitude and p is the number of pole pairs. After harmonic current injection into the dual three-phase PMSM (sin + 3rd equivalent pole structure), finite element simulation was performed, and the final torque comparison was obtained, as shown in Figure 15.
It can be seen from the figure that the electromagnetic torque of the motor can be greatly improved by injecting the third harmonic current under the condition of constant current amplitude, from 3.8515 Nm to 4.5273 Nm, and the torque is increased by 17.54%. Except for the 15.47% increase in torque due to the increase in fundamental current after injecting the third harmonic current of 1/6 fundamental amplitude, the rest of the torque increase is a positive torque increment due to the interaction between the third harmonic current and the third harmonic of the air-gap magnetic density. Therefore, in cases requiring high motor output torque and low torque ripple, the proposed equivalent sin + 3rd PM structure motor has the best comprehensive performance and good running stability. The electromagnetic performance parameters of the four motors were finally compiled, as shown in the following table.
It can be seen from the Table 9 that in sinusoidal current excitation, the torque constant of the traditional surface-mounted motor is the highest, which is 0.234. Due to the decrease in the amount of PM in the equivalent sinusoidal magnetic pole structure, the stored magnetic strength decreases, so the torque constant decreases by 17.3%. In the equivalent sin + 3rd PM structure, under the premise of ensuring that the torque ripple value does not deteriorate, the torque constant is improved to 0.2179, which is about 12.6% higher than that of the equivalent sinusoidal pole structure. In some working situations, a motor is required to ensure high output torque and low torque ripple. Therefore, in motor 4, the third harmonic current is also injected into the sinusoidal excitation, and the torque of the motor is improved. At this time, due to the injection of harmonic current, the RMS of the excitation current increases, and the torque constant increases slightly.

4. Conclusions

In order to improve the air-gap magnetic field waveform and reduce the torque ripple of dual three-phase surface-mounted permanent magnet synchronous motors (PMSMs), a new surface-mounted modulated permanent magnet (PM) structure is proposed in this paper. The equivalent sinusoidal magnetic pole model and the equivalent sin + 3rd PM structure constructed by using SHET are compared with that of the conventional surface-mounted magnetic pole. The results show that the new magnetic pole structure proposed in this paper can improve the sinusoidal degree of air-gap flux density waveform, and can reduce the non-working sub-harmonics of air-gap flux density effectively, which can effectively reduce the torque ripple of the motor.
Additionally, in order to achieve the requirements of high torque density and low torque ripple in some servo systems, the sin + 3rd PM structure can also realize the injection of the third harmonic into the air-gap magnetic field, and the torque density of the motor is improved without worsening the torque ripple. Furthermore, the interaction of the third harmonic of current with the third harmonic of air-gap flux density can generate additional forward torque, which is superposed with the torque generated by the fundamental wave component of the air gap, which further improve the torque density of the motor, providing a basis for the design of PMSMs with high torque density and low torque ripple.

Author Contributions

Conceptualization, L.G.; methodology, J.X.; validation, J.X.; formal analysis, H.W.; resources, X.L.; data curation, X.L.; writing—original draft preparation, L.G. and J.X.; writing—review and editing, L.G., Z.H., J.X. and S.W.; supervision, X.L.; project administration, L.G.; funding acquisition, L.G., X.L. and H.W. All authors have read and agreed to the published version of the manuscript.

Funding

This research was funded in part by the project supported by the National Natural Science Foundation of China (52007132), in part by the project supported by the National Natural Science Foundation of China (52077155), and in part by the Nuclear Power Technology Innovation Centre (HDLCXZX-2021-ZH-015).

Institutional Review Board Statement

Not applicable.

Informed Consent Statement

Not applicable.

Data Availability Statement

The data presented in this study are available on request from the corresponding author.

Conflicts of Interest

The authors declare no conflict of interest.

Abbreviations

hmagnetic pole height
αithe i-th position angle
hmamplitude of square wave
bnthe n-th harmonic amplitude
WiPM width
Δmathe adjustment factor
aharmonic injection amount
lathe axial length of stator core
Mmodulation index

References

  1. Zheng, X.; Zhang, W.; Wu, X.; Ni, R. Numerical Calculation of Stator End Leakage Reactance of Permanent Magnet Machines with Concentric Winding. J. Magn. 2019, 24, 184–189. [Google Scholar] [CrossRef]
  2. Yu, Z.; Li, H.; Wei, W. Improved Method for Calculating Magnetic Field of Surface-Mounted Permanent Magnet Machines Accounting for Slots and Eccentric Magnet Pole. J. Electr. Eng. Technol. 2015, 10, 1025–1034. [Google Scholar]
  3. Lin, C.L.; Lin, Z. Review of the effect of permanent magnet motor structural parameters on cogging torque. Electr. Technol. 2018, 2, 20–24. [Google Scholar]
  4. Khan, S.; Pasund, A.; Ahmad, N.; Ahmed, S.; Khan, H.A.; Cheema, K.M.; Milyani, A.H. Performance Investigation and Cogging Torque Reduction in a Novel Modular Stator PM Flux Reversal Machine. Energies 2022, 15, 2261. [Google Scholar] [CrossRef]
  5. Zhu, H.Q.; Cheng, Y.F. Optimized design of bearingless permanent magnet synchronous motor rotor based on combined magnetic poles. J. Electr. Mach. Control 2020, 24, 8. [Google Scholar]
  6. Afinowi, I.; Zhu, Z.Q.; Guan, Y. Switched-flux machines with hybrid ndfeb and ferrite magnets. Compel Int. J. Comput. Math. Electr. Electron. Eng. 2016, 35, 456–472. [Google Scholar] [CrossRef]
  7. Eklund, P.; Eriksson, S. The Influence of Permanent Magnet Material Properties on Generator Rotor Design. Energies 2019, 12, 1314. [Google Scholar] [CrossRef] [Green Version]
  8. Zhou, Y.; Li, H.; Meng, G.; Zhou, S.; Cao, Q. Analytical Calculation of Magnetic Field and Cogging Torque in Surface-Mounted Permanent Magnet Machines Accounting for Any Eccentric Rotor Shape. IEEE Trans. Ind. Electron. 2015, 62, 3438–3447. [Google Scholar] [CrossRef]
  9. Zhang, S.S.; Guo, S.Y. Magnetic field analysis method for permanent magnet synchronous motors considering segmented diagonal poles and magnetic slot wedges. Trans. Chin. Electrotech. Soc. 2019, 34, 12. [Google Scholar]
  10. Ge, X.; Zhu, Z.Q.; Kemp, G.; Moule, D.; Williams, C. Optimal Step-Skew Methods for Cogging Torque Reduction Accounting for Three-Dimensional Effect of Interior Permanent Magnet Machines. IEEE Trans. Energy Convers. 2017, 32, 222–232. [Google Scholar] [CrossRef]
  11. Hu, P.F.; Wang, D.; Jin, S.B. Sine optimization model of air-gap magnetic field of eccentric pole permanent magnet motor. Trans. Chin. Electrotech. Soc. 2019, 34, 12. [Google Scholar]
  12. Chen, Z.; Xia, C.; Geng, Q.; Yan, Y. Modeling and Analyzing of Surface-Mounted Permanent-Magnet Synchronous Machines with Optimized Magnetic Pole Shape. IEEE Trans. Magn. 2014, 50, 1–4. [Google Scholar] [CrossRef]
  13. Ruangsinchaiwanich, S.; Zhu, Z.Q.; Howe, D. Influence of magnet shape on cogging torque and back-emf waveform in permanent magnet machines. In Proceedings of the 2005 International Conference on Electrical Machines and Systems, Nanjing, China, 27–29 September 2005; pp. 284–289. [Google Scholar]
  14. Chai, F.; Liang, P.; Pei, Y.; Cheng, S. Magnet Shape Optimization of Surface-Mounted Permanent-Magnet Motors to Reduce Harmonic Iron Losses. IEEE Trans. Magn. 2016, 52, 1–4. [Google Scholar] [CrossRef]
  15. Wang, K.; Zhu, Z.Q.; Ombach, G. Average Torque Improvement of Interior Permanent-Magnet Machine Using Third Harmonic in Rotor Shape. IEEE Trans. Ind. Electron. 2014, 61, 5047–5057. [Google Scholar] [CrossRef]
  16. Gu, Z.Y.; Wang, K.; Zhu, Z.Q.; Wu, Z.Z.; Liu, C.; Cao, R.W. Torque Improvement in Five-Phase Unequal Tooth SPM Machine by Injecting Third Harmonic Current. IEEE Trans. Veh. Technol. 2017, 67, 206–215. [Google Scholar] [CrossRef]
  17. Zhao, P.Z.; Yang, G.J.; Li, Y. Torque density optimization of third harmonic injection five-phase permanent magnet synchronous motor. Proc. Chin. Soc. Electr. Eng. 2010, 30, 71–77. [Google Scholar]
  18. Patel, H.S.; Hoft, R.G. Generalized Techniques of Harmonic Elimination and Voltage Control in Thyristor Inverters: Part I--Harmonic Elimination. IEEE Trans. Ind. Appl. 1973, IA-9, 310–317. [Google Scholar] [CrossRef]
  19. Turnbull, F.G. Selected harmonic reduction in static D-C—A-C inverters. IEEE Trans. Commun. Electron. 1964, 83, 374–378. [Google Scholar] [CrossRef]
  20. Li, G.H.; Li, W.H. Study of Inverter SHEPWM Method Based on Differential Evolutionary Algorithm. Power Syst. Prot. Control. 2019, 17, 32–38. [Google Scholar]
  21. Wang, Z.; Pan, G.Q. A comprehensive method for harmonic suppression of the output voltage of a three-phase SPWM inverter power supply. Electr. Technol. 2010, 1, 37–40. [Google Scholar]
  22. Wang, K.; Zhu, Z.Q.; Ombach, G. Torque Enhancement of Surface-Mounted Permanent Magnet Machine Using Third-Order Harmonic. IEEE Trans. Magn. 2014, 50, 104–113. [Google Scholar] [CrossRef]
  23. Wang, K.; Zhu, Z.Q.; Ren, Y. Torque Improvement of Dual Three-Phase Permanent-Magnet Machine with Third-Harmonic Current Injection. IEEE Trans. Ind. Electron. 2015, 62, 6833–6844. [Google Scholar] [CrossRef]
Figure 1. Schematic diagram of different winding structures: (a) three-phase winding structure; (b) dual three-phase winding structure.
Figure 1. Schematic diagram of different winding structures: (a) three-phase winding structure; (b) dual three-phase winding structure.
Energies 15 04597 g001
Figure 2. Theoretical waveforms of modulated and sin poles of the position angle.
Figure 2. Theoretical waveforms of modulated and sin poles of the position angle.
Energies 15 04597 g002
Figure 3. The cross-section picture of the machine in the position of different αim.
Figure 3. The cross-section picture of the machine in the position of different αim.
Energies 15 04597 g003
Figure 4. No-load air-gap magnetic density harmonic.
Figure 4. No-load air-gap magnetic density harmonic.
Energies 15 04597 g004
Figure 5. Theoretical waveforms of modulated and sin poles.
Figure 5. Theoretical waveforms of modulated and sin poles.
Energies 15 04597 g005
Figure 6. Theoretical waveforms of 3rd harmonic injecting sin waveform.
Figure 6. Theoretical waveforms of 3rd harmonic injecting sin waveform.
Energies 15 04597 g006
Figure 7. Theoretical waveforms of modulated magnetic poles and 3rd harmonic magnetic poles.
Figure 7. Theoretical waveforms of modulated magnetic poles and 3rd harmonic magnetic poles.
Energies 15 04597 g007
Figure 8. FEA model of motor with different magnetic pole structures: (a) conventional surface-mounted PM shape; (b) equivalent sinusoidal PM shape; (c) equivalent sin + 3rd PM shape.
Figure 8. FEA model of motor with different magnetic pole structures: (a) conventional surface-mounted PM shape; (b) equivalent sinusoidal PM shape; (c) equivalent sin + 3rd PM shape.
Energies 15 04597 g008
Figure 9. Comparison results of no-load flux of different pole structures: (a) conventional surface-mounted PM shape; (b) equivalent sinusoidal PM shape; (c) equivalent sin + 3rd PM shape.
Figure 9. Comparison results of no-load flux of different pole structures: (a) conventional surface-mounted PM shape; (b) equivalent sinusoidal PM shape; (c) equivalent sin + 3rd PM shape.
Energies 15 04597 g009
Figure 10. Mesh generation: (a) conventional surface-mounted PM shape; (b) equivalent sinusoidal PM shape; (c) equivalent sin + 3rd PM shape.
Figure 10. Mesh generation: (a) conventional surface-mounted PM shape; (b) equivalent sinusoidal PM shape; (c) equivalent sin + 3rd PM shape.
Energies 15 04597 g010
Figure 11. No-load air-gap flux density waveform and harmonic distribution: (a) air-gap flux density waveform; (b) harmonic distribution.
Figure 11. No-load air-gap flux density waveform and harmonic distribution: (a) air-gap flux density waveform; (b) harmonic distribution.
Energies 15 04597 g011
Figure 12. No-load back EMF waveform and harmonic distribution: (a) Back-EMF waveform; (b) harmonic distribution.
Figure 12. No-load back EMF waveform and harmonic distribution: (a) Back-EMF waveform; (b) harmonic distribution.
Energies 15 04597 g012
Figure 13. Comparison results of no-load cogging torque of different pole structure.
Figure 13. Comparison results of no-load cogging torque of different pole structure.
Energies 15 04597 g013
Figure 14. Comparison of motor performance parameters: (a) electromagnetic torque; (b) PM eddy current loss.
Figure 14. Comparison of motor performance parameters: (a) electromagnetic torque; (b) PM eddy current loss.
Energies 15 04597 g014
Figure 15. Comparison of torque changes before and after current harmonic injection.
Figure 15. Comparison of torque changes before and after current harmonic injection.
Energies 15 04597 g015
Table 1. Actual parameters of PM position.
Table 1. Actual parameters of PM position.
Initial Valueα1α2α3α4α5
radian0.35510.54330.72451.07371.1243
Table 2. Actual parameters of PM position angle.
Table 2. Actual parameters of PM position angle.
Parametersα1mα2mα3mα4mα5m
Mechanical angle4.0691°6.2258°8.3022°12.3037°12.8835°
Table 3. Actual width of modulated magnetic pole under one pole.
Table 3. Actual width of modulated magnetic pole under one pole.
ParametersW1W2W3W4W5
Width (mm)0.84691.57144.018491.57140.8469
Table 4. Actual parameter of sin + 3rd harmonic magnetic pole position.
Table 4. Actual parameter of sin + 3rd harmonic magnetic pole position.
Initial Valueα1α2α3α4α5
radian0.27550.50220.58641.32361.3358
Table 5. Actual parameters of sin + 3rd harmonic magnetic pole position angle.
Table 5. Actual parameters of sin + 3rd harmonic magnetic pole position angle.
Parametersα1mα2mα3mα4mα5m
Mechanical angle3.1570°5.7548°6.7196°15.1673°15.3071°
Table 6. Actual width of sin + 3rd harmonic modulated magnetic pole under one pole.
Table 6. Actual width of sin + 3rd harmonic modulated magnetic pole under one pole.
ParametersW1W2W3W4W5
Width (mm)1.02023.31741.05753.31741.0202
Table 7. Parameters of conventional dual three-phase motor.
Table 7. Parameters of conventional dual three-phase motor.
ParameterValueUnit
Stator slots12
Stator inner diameter/mm53mm
Stator outer diameter/mm90mm
Pole-pair number p5
rated speed n/rpm400rpm
The air-gap length/mm1mm
Pole-arc coefficients1
Permanent magnet thickness/mm3mm
Table 8. Performance comparison of dual three-phase PMSM with the same current type.
Table 8. Performance comparison of dual three-phase PMSM with the same current type.
Magnetic Pole TypeCurrent TypeAverage TorqueTorque Ripple
1ConventionalSin4.1367 Nm3.473%
2Equivalent sinusoidalSin3.4208 Nm1.48%
3Equivalent sin + 3rdSin3.8516 Nm1.22%
Table 9. Performance comparison of dual three-phase PMSM.
Table 9. Performance comparison of dual three-phase PMSM.
Magnetic Pole TypeCurrent TypeAverage TorqueTorque RippleTorque Constant
1ConventionalSin4.1367 Nm3.473%0.234
2Equivalent sinusoidalSin3.4208 Nm1.48%0.1935
3Equivalent sin + 3rdSin3.8516 Nm1.22%0.2179
4Equivalent sin + 3rdSin + 3rd4.5273 Nm1.178%0.219
Publisher’s Note: MDPI stays neutral with regard to jurisdictional claims in published maps and institutional affiliations.

Share and Cite

MDPI and ACS Style

Guo, L.; Hao, Z.; Xu, J.; Wang, H.; Li, X.; Wu, S. Design and Analysis of Modulated Magnetic Pole for Dual Three-Phase Surface-Mounted Permanent Magnet Synchronous Motor. Energies 2022, 15, 4597. https://doi.org/10.3390/en15134597

AMA Style

Guo L, Hao Z, Xu J, Wang H, Li X, Wu S. Design and Analysis of Modulated Magnetic Pole for Dual Three-Phase Surface-Mounted Permanent Magnet Synchronous Motor. Energies. 2022; 15(13):4597. https://doi.org/10.3390/en15134597

Chicago/Turabian Style

Guo, Liyan, Zhongyuan Hao, Jiaqi Xu, Huimin Wang, Xinmin Li, and Shuang Wu. 2022. "Design and Analysis of Modulated Magnetic Pole for Dual Three-Phase Surface-Mounted Permanent Magnet Synchronous Motor" Energies 15, no. 13: 4597. https://doi.org/10.3390/en15134597

APA Style

Guo, L., Hao, Z., Xu, J., Wang, H., Li, X., & Wu, S. (2022). Design and Analysis of Modulated Magnetic Pole for Dual Three-Phase Surface-Mounted Permanent Magnet Synchronous Motor. Energies, 15(13), 4597. https://doi.org/10.3390/en15134597

Note that from the first issue of 2016, this journal uses article numbers instead of page numbers. See further details here.

Article Metrics

Back to TopTop