Immobilization of Zn and Cu in Conditions of Reduced C/N Ratio during Sewage Sludge Composting Process
Abstract
:1. Introduction
2. Material and Methods
2.1. Composting Experiment (Device)
2.2. Physical and Chemical Parameters Analyses
2.3. Statistical Analysis
3. Results and Discussion
3.1. Statistical Analysis
3.1.1. Change of Temperature, Organic Matter Degradation, Total Organic Carbon, and Total Nitrogen
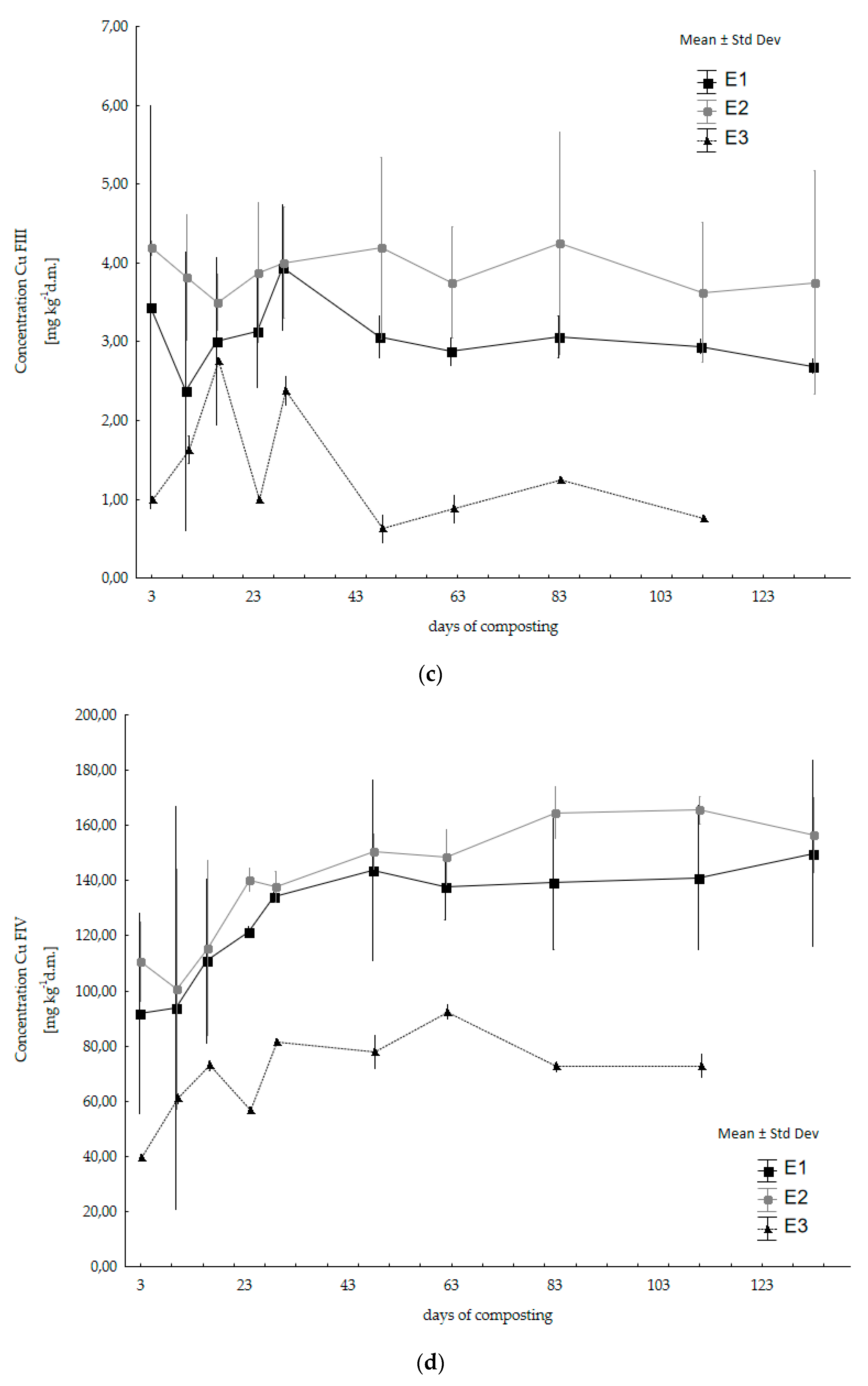
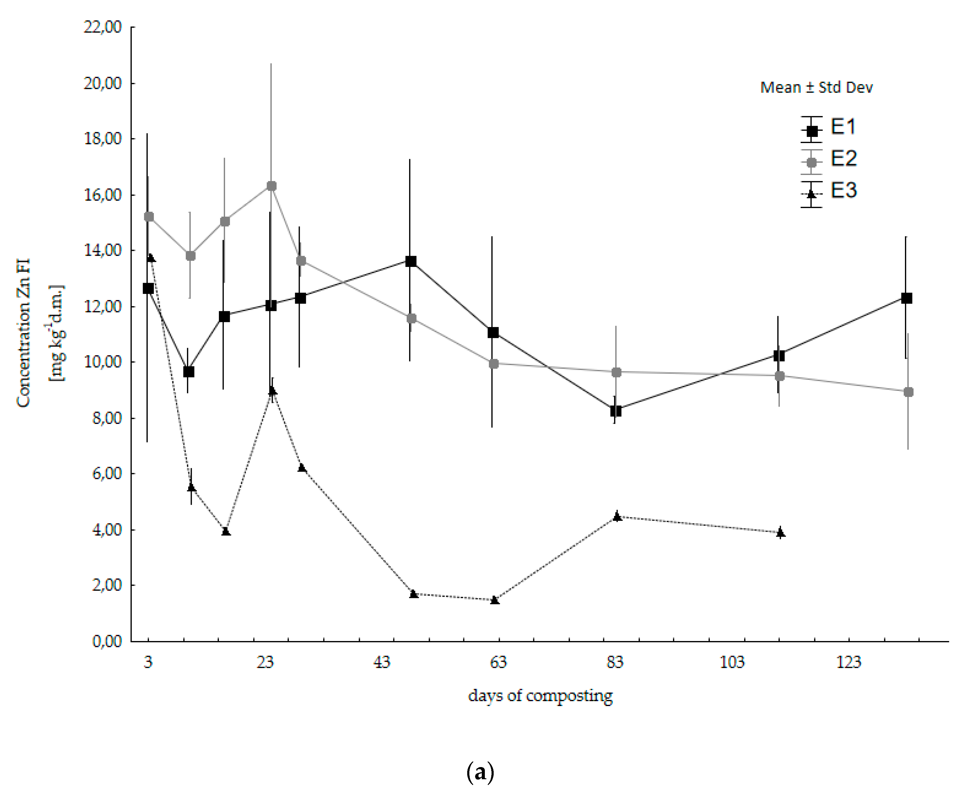
3.1.2. Zinc and Copper Speciation
3.1.3. Cu and Zn Mobility Factor
3.2. Numerical Analysis
- If the concentration was 150 < X (Cu) ≤ 500 mg∙kg−1d.m., then class B;
- If the concentration was 70 < X(Cu) ≤ 150 mg∙kg−1d.m., then class A;
- If the concentration was 500 < Y(Zn) ≤ 1800 mg∙kg−1d.m., then class B;
- If the concentration was 200 < Y(Zn) ≤ 500 mg∙kg−1d.m., then class A;
- If the concentration was Y(Zn) ≤ 200 mg∙kg−1d.m., then class A+
4. Conclusions
- (1)
- The impact of limited volumes of straw added as a source of organic carbon;
- (2)
- The presence of mobile forms of tested metals based on sequential extraction;
- (3)
- The classification of mature compost based on adopted standards using a neural network of standard classification type.
Author Contributions
Funding
Institutional Review Board Statement
Informed Consent Statement
Data Availability Statement
Conflicts of Interest
References
- Sidełko, R.; Siebielska, I.; Janowska, B.; Skubała, A. Assessment of biological stability of organic waste processed under aerobic conditions. J. Clean. Prod. 2017, 164, 1563–1570. [Google Scholar] [CrossRef]
- GUS—Statistics Poland 2020. Environment Statistics Reports for the Poland. Available online: https://stat.gov.pl/en/ (accessed on 24 September 2020).
- Kujawa, S.; Mazurkiewicz, J.; Czekała, W. Using convolutional neural networks to classify the maturity of compost based on sewage sludge and rapeseed straw. J. Clean. Prod. 2020, 258, 120814. [Google Scholar] [CrossRef]
- Carrizo, M.E.; Alesso, C.A.; Cosentino, D.; Imhoff, S. Aggregation agents and structural stability in soils with different texture and organic carbon content. Sci. Agric. 2015, 72, 75–82. [Google Scholar] [CrossRef] [Green Version]
- Curtis, M.J.; Claassen, V.P. Regenerating topsoil functionality in four drastically disturbed soil types by compost incorporation. Restor. Ecol. 2009, 17, 24–32. [Google Scholar] [CrossRef]
- Pinasseau, A.; Zerger, B.; Roth, J.; Canova, M.; Roudier, S. Best Available Techniques (BAT) Reference Document for Waste Treatment Industrial Emissions Directive 2010/75/EU (Integrated Pollution Prevention and Control), EUR 29362 EN; Publications Office of the European Union: Luxembourg, 2018; p. JRC113018. Available online: https://publications.jrc.ec.europa.eu/repository/handle/JRC113018 (accessed on 22 October 2018).
- Publications Office of the European Union. Commission Decision. Establishing Ecological Criteria for the Award of the Community Eco-Label to Soil Improvers and Growing Media. 2001/688/EC. 2001. Available online: https://op.europa.eu/en/publication-detail/-/publication/ (accessed on 20 May 2005).
- Publications Office of the European Union. Council Directive 86/278/EEC of 12 June 1986 on the Protection of the Environment, and in Particular of the Soil, When Sewage Sludge Is Used in Agriculture; European Commission: Brussels, Belgium, 1986; Available online: https://op.europa.eu/en/publication-detail/-/publication/f76faa39-2b27-42f2-be1e-9332f795e324/language-en/ (accessed on 12 June 1986).
- Singh, J.; Kalamdhad, A.S. Assessment of bioavailability and leachability of heavy metals during rotary drum composting of green waste (Water hyacinth). Ecol. Eng. 2013, 52, 59–69. [Google Scholar] [CrossRef]
- Zhou, H.; Meng, H.; Zhao, L.; Shen, Y.; Hou, Y.; Cheng, H.; Song, L. Effect of biochar and humic acid on the copper, lead, and cadmium passivation during composting. Bioresour. Technol. 2018, 258, 279–286. [Google Scholar] [CrossRef]
- Regulation (EU) 2019/1009 of the European Parliament and of the Council of 5 June 2019 Laying Down Rules on the Making Available on the Market of EU Fertilising Products and Amending Regulations (EC) No 1069/2009 and (EC) No 1107/2009 and Repealing Regulation (EC) No 2003/2003. Available online: https://eur-lex.europa.eu/legal-content/EN/TXT/HTML/?uri=CELEX:32019R1009&from=EN (accessed on 25 June 2019).
- Biala, J.; Wilkinson, K. International Comparison of the Australian Standard for Composts, Soil Conditioners and Mulches. University of Queensland, Australia. 2020. Available online: https://www.aora.org.au/sites/default/files/uploaded-content/website-content/International_Comparison_AS4454_Final.pdf (accessed on 15 February 2020).
- Xu, S.; Li, L.; Zhan, J.; Guo, X. Variation and factors on heavy metal speciation during co-composting of rural sewage sludge and typical rural organic solid waste. J. Environ. Manag. 2022, 306, 114418. [Google Scholar] [CrossRef]
- Wu, S.; Shen, Z.; Yang, C.; Zhou, Y.; Li, X.; Zeng, G.; Ai, S.; He, H. Effects of C/N ratio and bulking agent on speciation of Zn and Cu and enzymatic activity during pig manure composting. Int. Biodeterior. Biodegrad. 2017, 119, 429–436. [Google Scholar] [CrossRef]
- Mossop, K.F.; Davidson, C.M. Comparison of original and modified BCR sequential extraction procedures for the fractionation of copper, iron, lead, manganese and zinc in soils and sediments. Anal. Chim. Acta 2003, 478, 111–118. [Google Scholar] [CrossRef] [Green Version]
- Gondek, K.; Mierzwa-Hersztek, M.; Kopec, M. Mobility of heavy metals in sandy soil after application of composts produced from maize straw, sewage sludge and biochar. J. Environ. Manag. 2018, 210, 87–95. [Google Scholar] [CrossRef]
- He, M.-M.; Tian, G.-M.; Liang, X.-Q. Phytotoxicity and speciation of copper, zinc and lead during the aerobic composting of sewage sludge. J. Hazard. Mater. 2009, 163, 671–677. [Google Scholar] [CrossRef] [PubMed]
- Wang, L.; Li, Y.; Prasher, S.O.; Yan, B.; Ou, Y.; Cui, H.; Cui, Y. Organic matter, a critical factor to immobilize phosphorus, copper, and zinc during composting under various initial C/N ratios. Bioresour. Technol. 2019, 289, 121745. [Google Scholar] [CrossRef] [PubMed]
- Wang, X.; Chen, T.; Zheng, G. Preservation of nitrogen and sulfur and passivation of heavy metals during sewage sludge composting with KH2PO4 and FeSO4. Bioresour. Technol. 2020, 297, 122383. [Google Scholar] [CrossRef]
- Bernal, M.P.; Alburquerque, J.A.; Mora, R. Composting of animal manures and chemical criteria for compost maturity assessment. A review. Bioresour. Technol. 2009, 100, 5444–5453. [Google Scholar] [CrossRef] [PubMed]
- Sidełko, R.; Janowska, B.; Walendzik, B.; Siebielska, I. Two composting phases running in different process conditions timing relationship. Bioresour. Technol. 2010, 101, 6692–6698. [Google Scholar] [CrossRef]
- Kacprzak, K.; Neczaj, E.; Fijałkowski, K.; Grobelaka, A.; Grosser, A.; Worwag, M.; Rorat, A.; Brattebo, H.; Almas, A.; Singh, B.R. Sewage sludge disposal strategies for sustainable development. Environ. Res. 2017, 156, 39–46. [Google Scholar] [CrossRef]
- Świerczek, L.; Cieślik, B.M.; Konieczka, P. The potential of raw sewage sludge in construction industry—A review. J. Clean. Prod. 2018, 200, 342–356. [Google Scholar] [CrossRef]
- Doublet, J.; Francou, F.; Poitrenaud, M.; Houot, S. Sewage sludge composting: Influence of initial mixtures on organic matter evolution and N availability in the final composts. Waste Manag. 2010, 30, 1922–1930. [Google Scholar] [CrossRef]
- Zhau, Y.; Selvam, A.; Wong, J.W.C. Chinese medicinal herbal residues as a bulking agent for food waste composting. Bioresour. Technol. 2018, 249, 182–188. [Google Scholar] [CrossRef]
- Graca, J.; Murphy, B.; Pentlavalli, P.; Allen, C.C.R.; Bird, E.; Gaffney, M.; Duggan, T.; Kelleh, B. Bacterium consortium drives compost stability and degradation of organic contaminants in in-vessel composting process of the mechanically separated organic fraction of municipal solid waste (MS-OFMSW). Bioresour. Technol. 2021, 13, 100621. [Google Scholar]
- Gonzalez, D.; Colon, J.; Gabriel, D.; Sanchez, A. The effect of the composting time on the gaseous emissions and the compost stability in a full-scale sewage sludge composting plant. Sci. Total Environ. 2019, 654, 311–323. [Google Scholar] [CrossRef] [PubMed]
- Zheng, G.; Wang, T.; Niu, M.; Chen, X.; Liu, C.; Wang, Y.; Chen, T. Biodegradation of nonylphenol during aerobic composting of sewage sludge under two intermittent aeration treatments in a full-scale plant. Environ. Pollut. 2018, 238, 783–791. [Google Scholar] [CrossRef] [PubMed]
- Głąb, T.; Żabiński, A.; Sadowska, U.; Gondek, K.; Kopeć, M.; Mierzwa-Hersztek, M.; Taborc, S. Effects of co-composted maize, sewage sludge, and biochar mixtures on hydrological and physical qualities of sandy soil. Geoderma 2018, 315, 7–35. [Google Scholar] [CrossRef]
- Li, S.; Li, D.; Li, J.; Li, G.; Zhang, B. Evaluation of humic substances during co-composting of sewage sludge and corn stalk under different aeration rates. Bioresour. Technol. 2017, 245, 1299–1302. [Google Scholar] [CrossRef] [PubMed]
- Cerda, A.; Artola, A.; Font, X.; Barrena, R.; Gea, T.; Sanchez, A. Composting of food wastes: Status and challenges. Bioresour. Technol. 2018, 248, 57–67. [Google Scholar] [CrossRef] [Green Version]
- Kulikowska, D.; Sindrewicz, S. Effect of barley straw and coniferous bark on humification process during sewage sludge composting. Waste Manag. 2018, 79, 207–213. [Google Scholar] [CrossRef]
- Sidełko, R.; Walendzik, B.; Smuga-Kogut, M.; Janowska, B.; Szymański, K.; Głowacka, A.; Leśniańska, A. Impact of reduced straw content on the sewage sludge composting process. Arch. Environ. Prot. 2020, 46, 70–77. [Google Scholar]
- Szymański, K.; Janowska, B.; Sidełko, R. Estimation of bioavailability of copper, lead and zinc in municipal solid waste and compost. Asian J. Chem. 2005, 17, 1646–1660. [Google Scholar]
- Interreg South Baltic 2018. STEP. Sludge Technological Ecological Progress—Increasing the Quality and Reuse of Sewage Sludge. Project No. STHB.02.02.00-32-0110/17. Available online: https://www.step-interreg.eu/pl/ (accessed on 28 October 2020).
- PN-R-04006: 2000; Organic Fertilizers—Collection and Preparation of Manure and Compost Samples. PKN: Warsaw, Poland, 2000.
- PN-Z-15011-3: 2001; Municipal Solid Waste Compost—Determination of pH, Content of Organic Substance, Organic Carbon, Nitrogen, Phosphorus and Potassium. PKN: Warsaw, Poland, 2001.
- Zhu, N.-M.; Guo, X.-J. Sequential extraction of anaerobic digestate sludge for the determination of partitioning of heavy metals. Ecotoxicol. Environ. Saf. 2014, 102, 18–24. [Google Scholar] [CrossRef]
- Kang, J.; Zhang, Z.; Wang, J.J. Influence of humic substances on bioavailability of Cu and Zn during sewage sludge composting. Bioresour. Technol. 2011, 102, 8022–8026. [Google Scholar] [CrossRef]
- StatSoft Electronic Statistic Textbook PL 2006. Available online: http://www.statsoft.pl/textbook/stathome.html (accessed on 30 September 2006).
- Gaffke, N.; Schwabe, R. Quasi-Newton algorithm for optimal approximate linear regression design: Optimization in matrix space. J. Stat. Plan. Inference 2019, 198, 62–78. [Google Scholar] [CrossRef]









| Country | Concentration, mg∙kg−1d.m. | |||||||
|---|---|---|---|---|---|---|---|---|
| As | Cr | Cu | Hg | Ni | Pb | Zn | Cd | |
| Poland 2 | - | 100 | - | 2 | 60 | 140 | - | 5 |
| The Netherlands 2 | 15 | 50 | 90 | 0.3 | 20 | 100 | 290 | 1 |
| Sweden 2 | - | 100 | 100 | 1 | 50 | 100 | 300 | - |
| France 2 | 25 | 120 | 300 | 2 | 60 | 180 | 600 | 3 |
| Greece 2 | 15 | 510 | 500 | 5 | 200 | 500 | 2000 | 10 |
| Germany 2 | 1 | 100 | 100 | 1 | 50 | 150 | 400 | 1.5 |
| Denmark | 25 | - | 1000 | 0.8 | 30 | 120 | 4000 | 25 |
| EU 1 | 40 | 2 | - | 1 | 50 | 50 | - | 2 |
| Mixture Components | E1 | E2 | E3 |
|---|---|---|---|
| Mass Proportion | |||
| Sewage sludge | 4 | 8 | 1 |
| Barley straw | 1 | 1 | - |
| Wood chips | 0.5 | 1 | 1 |
| Mature compost (inoculum) | 0.5 | 1 | - |
| Material | Stage | Dry Mass | Organic Matter | Total Organic Carbon | Total Nitrogen | C/N | Cu | Zn |
|---|---|---|---|---|---|---|---|---|
| [%] | [mg∙kg−1d.m.] | |||||||
| Sewage sludge | E1 | 21.4 | 81.4 | 33.92 | 7.48 | 5.0 | 225.25 | 551.75 |
| E2 | 15.6 | 78.2 | 40.4 | 7.54 | 5.0 | 252.50 | 497.25 | |
| E3 | 14.0 | 81.0 | 33.20 | 6.81 | 4.9 | 216.75 | 531.50 | |
| Barley straw | E1 | 62.4 | 94.2 | 45.7 | 0.7 | 66 | 3.50 | 12.75 |
| E2 | 62 | 94.0 | 45.5 | 0.71 | 64 | 3.60 | 11.82 | |
| Wood chips | E1 | 34.7 | 87.0 | 44.4 | 1.14 | 39 | - | - |
| E2 | 34.0 | 87.0 | 44.4 | 1.18 | 38 | - | - | |
| E3 | 34.2 | 87.1 | 44.4 | 1.12 | 39 | - | - | |
| Compost (at 1 day) | E1 | 21.7 | 83.65 | 41.35 | 3.05 | 14.56 | 144.25 | 358.75 |
| E2 | 20.5 | 80.30 | 39.08 | 4.07 | 9.61 | 184.25 | 418.50 | |
| E3 | 37.30 | 74.50 | 36.90 | 4.01 | 9.20 | 58.50 | 175.75 | |
| Fraction | Extractant | Extraction Conditions | |
|---|---|---|---|
| Temperature | Time | ||
| FR I Exchangeable | 10 cm3 1 M CH3COONH4 pH = 7 | 20 °C | 1 h |
| FR II Carbonate | 20 cm3 1 M CH3COONa, pH = 5 | 20 °C | 5 h |
| FR III Bound with Mn and Fe oxides | 20 cm3 0.04 M NH2OH∙HCl w 25% (v/v) CH3COOH | 95 °C | 5 h |
| FR IV Organics and sulphides |
|
| 2 h 3 h 0.5 h |
| FR V Residue | 5 cm3 65% HNO3 + 1 cm3 30% H2O2 + 1 cm3 75% HClO4 | Microwave mineralization | |
| Element | Stage | FI | FII | FIII | FIV | FV | MF | IR |
|---|---|---|---|---|---|---|---|---|
| Cu | E1 | −7.86 | −2.37 | −0.60 | 4.80 | −5.19 | −10.03 | 77.74 |
| E2 | −8.79 | −2.02 | −0.65 | 6.57 | 2.63 | −11.51 | 80.31 | |
| E3 | −1.76 | −1.43 | −1.18 | −8.01 | 10.25 | −2.38 | 61.31 | |
| Zn | E1 | −1.19 | −13.12 | 0.62 | 15.93 | −0.61 | −16.45 | 41.66 |
| E2 | −2.01 | −14.26 | 3.05 | 9.39 | −5.58 | −16.74 | 50.31 | |
| E3 | −6.49 | −8.78 | −4.00 | 16.15 | 0.39 | −17.23 | 51.91 |
| Dependent Variable | Number of Estimates | ||||
|---|---|---|---|---|---|
| Category | All | ||||
| a+ | a | b | |||
| Cu | correct | 0 | 5 | 12 | 17 |
| incorrect | 2 | 4 | 1 | 7 | |
| Zn | correct | 0 | 23 | 0 | 23 |
| incorrect | 1 | 0 | 0 | 1 | |
| NN | Independent Variables | Quality of | |||
|---|---|---|---|---|---|
| Total Cu, Zn | C/N | Time | Teaching | Testing | |
| Cu—MLP 3-5-3 | 1.015 | 1.413 | 1.008 | 70.83 | 100 |
| Zn—MLP 3-6-3 | 1.004 | 1.005 | 0.999 | 95.83 | 100 |
Publisher’s Note: MDPI stays neutral with regard to jurisdictional claims in published maps and institutional affiliations. |
© 2022 by the authors. Licensee MDPI, Basel, Switzerland. This article is an open access article distributed under the terms and conditions of the Creative Commons Attribution (CC BY) license (https://creativecommons.org/licenses/by/4.0/).
Share and Cite
Leśniańska, A.; Janowska, B.; Sidełko, R. Immobilization of Zn and Cu in Conditions of Reduced C/N Ratio during Sewage Sludge Composting Process. Energies 2022, 15, 4507. https://doi.org/10.3390/en15124507
Leśniańska A, Janowska B, Sidełko R. Immobilization of Zn and Cu in Conditions of Reduced C/N Ratio during Sewage Sludge Composting Process. Energies. 2022; 15(12):4507. https://doi.org/10.3390/en15124507
Chicago/Turabian StyleLeśniańska, Aleksandra, Beata Janowska, and Robert Sidełko. 2022. "Immobilization of Zn and Cu in Conditions of Reduced C/N Ratio during Sewage Sludge Composting Process" Energies 15, no. 12: 4507. https://doi.org/10.3390/en15124507
APA StyleLeśniańska, A., Janowska, B., & Sidełko, R. (2022). Immobilization of Zn and Cu in Conditions of Reduced C/N Ratio during Sewage Sludge Composting Process. Energies, 15(12), 4507. https://doi.org/10.3390/en15124507

