Experimental and Numerical Investigation of Extinguishing Effectiveness of Inert-Gas Agents in a Leaky Enclosure
Abstract
:1. Introduction
- The gas discharge usually generates an overpressure effect in a hermetical enclosure. However, most buildings have ventilation systems and leaks of some sort, e.g., cracks under doors or windows, which can prevent a rapid pressure build up during the discharge period. A question is whether a design oxygen level can be achieved when the effects of ventilation and leakage are taken into account.
- The inert-gas agents are normally heavier than the ambient air and are discharged at a very low temperature. It is doubtful whether the inert-gas agents can reach every corner of an enclosure in a short period. It is necessary to investigate whether inert-gas agents can extinguish a deep-seated fire which is located in a narrow corner space in the upper layer of an enclosure.
2. Oxygen Level and Agent Quantity
3. Set Up of Tests and Simulations
3.1. Tests
3.2. Simulations
4. Results
4.1. Oxygen Level
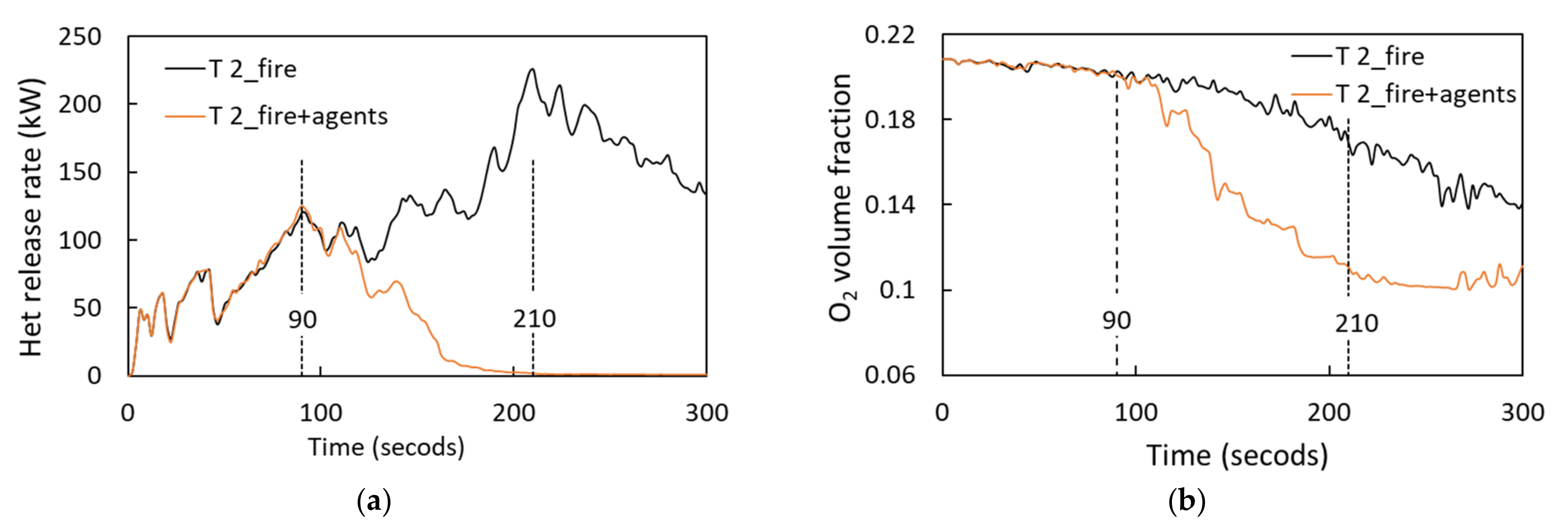
4.2. Fire Extinguishment
5. Conclusions
- Tests, simulations, and calculation all demonstrated that the design oxygen level can be approximately achieved at the end of the discharge period, even taking leakage into account. However, the oxygen level increased slowly during the post-discharge time as fresh air could enter the enclosure through the cracks. The calculation method proposed in [15] was proved to be able to estimate the required quantity of gas agent in terms of protected volume.
- The oxygen fraction is not evenly distributed within an enclosure and more oxygen stays in the upper layer. Therefore, the crack location plays a nonnegligible role in determining the oxygen level. Less inert-gas agent is pressed out of the enclosure if cracks are located in the upper layer.
- The gas-fire-suppression system can extinguish a deep-seated closet fire in the enclosure, even if the fire is located in the upper layer and the activation time is postponed. Although the sprinkler system can control the fire spread, it failed to extinguish the fire.
Author Contributions
Funding
Acknowledgments
Conflicts of Interest
References
- Direktoratet for Samfunnssikkerhet og Beredskap (DSB). Evaluering av Brann 9 Juni 2007 i Sveio Omsorgssenter; DSB: Tønsberg, Noway, 2007; ISBN 978-82-7768-117-7. [Google Scholar]
- DIBK. Regulations on Technical Requirements for Construction Works; Norwegian Building Authority: Oslo, Noway, 2017. [Google Scholar]
- Agderposten. Kvinne Alvorlig Skadd Etter Brann I Grimstad. Available online: https://www.agderposten.no/nyheter/kvinne-alvorlig-skadd-etter-brann-i-grimstad/ (accessed on 15 September 2018).
- OANO—Ohio Association of Nonprofit Organizations. Kvinne(85) Døde Som Følge av Røykutviking. Available online: https://www.oa.no/biri/brann/innlandet-politidistrikt/kvinne-85-dode-som-folge-av-roykutvikling/s/5-35-343945 (accessed on 5 November 2016).
- Grant, C.C. Halon design calculations. In SFPE Handbook of Fire Protection Engineering, 5th ed.; Hurley, M.J., Gottuk, D., Hall, J.R., Jr., Harada, K., Kuligowski, E., Puchovsky, M., Torero, J., Watts, J.M., Jr., Wieczorek, C., Eds.; SFPE: Gaithersburg, MD, USA, 2016; Chapter 43; pp. 1450–1482. [Google Scholar] [CrossRef]
- DiNenno, P.J.; Forssell, E.W. Clean agent total flooding fire extinguishing systems. In SFPE Handbook of Fire Protection Engineering, 5th ed.; Hurley, M.J., Gottuk, D., Hall, J.R., Jr., Harada, K., Kuligowski, E., Puchovsky, M., Torero, J., Watts, J.M., Jr., Wieczorek, C., Eds.; SFPE: Gaithersburg, MD, USA, 2016; Chapter 44; pp. 1483–1529. [Google Scholar] [CrossRef]
- IG 100-IG01-IG55-IG541; Bettati, Design Manual for Inert Gas System. Bettati Antincendio: Reggio Emilia, Italy, 2010.
- Kraaijeveld, A. Rapport Vedrørende Anvendelse av IG-541 som Alternative til Sprinkleranlegg; Western Norway University of Applied Sciences: Bergen, Norway, 2018. [Google Scholar]
- Beyler, C. Flammability limits of premixed and diffusion flames. In SFPE Handbook of Fire Protection Engineering, 5th ed.; Hurley, M.J., Gottuk, D., Hall, J.R., Jr., Harada, K., Kuligowski, E., Puchovsky, M., Torero, J., Watts, J.M., Jr., Wieczorek, C., Eds.; SFPE: Gaithersburg, MD, USA, 2016; Chapter 17; pp. 529–553. [Google Scholar] [CrossRef]
- Simmons, R.F.; Wolfhard, H.G. Some Limiting Oxygen Concentrations for Diffusion Flames in Air Diluted with Nitrogen. Combust. Flame 1957, 1, 155–161. [Google Scholar] [CrossRef]
- Purser, D.A. Combustion Txoicity. In SFPE Handbook of Fire Protection Engineering, 5th ed.; Hurley, M.J., Gottuk, D., Hall, J.R., Jr., Harada, K., Kuligowski, E., Puchovsky, M., Torero, J., Watts, J.M., Jr., Wieczorek, C., Eds.; SFPE: Gaithersburg, MD, USA, 2016; Chapter 62; pp. 2207–2307. [Google Scholar] [CrossRef]
- Lambertsen, C.J. Summary of Relations, Physiologic Factors and Fire Protection and Engineering Design; Report, 4-14-92; Environmental Biochemical Research Data Center (EBRDC), Institute of Environmental Medicine: Philadelphia, PA, USA; University of Pennsylvania: Philadelphia, PA, USA, 1994. [Google Scholar]
- Laursen, T. Fire protection for weak citizens. In Proceedings of the Nordic Fire and Safety Days, Copenhagen, Denmark, 20–21 August 2019; RISE Research Institutes of Sweden AB: Gothenburg, Sweden, 2019. [Google Scholar]
- ISO 14520-1; Gaseous Fire Extinguish Systems—Physical Properties and System Design, Part 1: General Requirements. International Standards Organization: Geneva, Switzerland, 2006.
- Hu, X.; Kraaijeveld, A.; Log, T. Numerical investigation of the required quantity of inert gas agents in fire suppression systems. Energies 2020, 13, 2536. [Google Scholar] [CrossRef]
- Kraaijeveld, A. Fire protection of at-risk groups by IG-541 and water based sprinklers: Full scale tests. In Proceedings of the Nordic Fire and Safety Days, Copenhagen, Denmark, 20–21 August 2019; RISE Research Institutes of Sweden AB: Gothenburg, Sweden, 2019. [Google Scholar]
- Fire Eater. Fire Eater Control Inert Ci Manual for UL Listed Extinguishing System; Fire Eater A/S: Hillerød, Denmark, 2013. [Google Scholar]
- Norge, S. NS-EN 12845: Faste Brannslokkesystemer-Automatiske Sprinklersystemer-Dimensjonering, Installering og Vedlikehold; Standard Norway: Oslo, Noway, 2015. [Google Scholar]
- TYCO. RAVEN 5.6K Institutional Sprinklers Pendent and Horizontal Sidewall Quick Response, Standard and Extended Coverage; Johnson Controls: Cork, Ireland, 2018. [Google Scholar]
- McGrattan, K.; Hostikka, S.; McDermott, R.; Floyd, J.; Weinschenk, C.; Overholt, K. Fire Dynamics Simulator User’s Guide, 6th ed.; NIST Special Publication; NIST: Gaithersburg, MD, USA, 2013. [Google Scholar] [CrossRef]
- McGrattan, K.; Hostikka, S.; McDermott, R.; Floyd, J.; Weinschenk, C.; Overholt, K. Fire Dynamics Simulator Technical Reference Guide Volume 1: Mathematical Model; National Institute of Standards and Technology (NIST) Special Publication 1018-3; NIST: Gaithersburg, MD, USA, 2021. [Google Scholar]
- Hu, X.; Jia, F.; Wang, Z.; Galea, E. Grouping methods for MPS soot transport model and its application in large-scale enclosure fires. Fire Saf. J. 2017, 9, 361–370. [Google Scholar] [CrossRef]
- Hu, X. Numerical study of the effects of ventilation velocity on peak heat release rate and the confinement velocity in large tunnel fires. Saf. Sci. 2021, 142, 105359. [Google Scholar] [CrossRef]
- Hejtmánek, P.; Ševčík, L.; Cábová, K. Input data of burning wood for CFD modelling using small-scale experiments. Civ. Eng. J. 2017, 4, 38. [Google Scholar] [CrossRef]
- Chen, Q.; Zhao, T. The thermal decomposition and heat release properties of the nylon/cotton, polyester/cotton and Nomex/cotton blend fabrics. Text. Res. J. 2016, 86, 1859–1868. [Google Scholar] [CrossRef]
- Hou, J. Distribution Curves for Interior Furnishings on CO2, CO, HCN, Soot and Heat of Combustion. Master’s Thesis, Department of Civil and Natural Resources Engineering, University of Canterbury, Christchurch, New Zealand, 2011. [Google Scholar]
- McGrattan, K.; Hostikka, S.; McDermott, R.; Floyd, J.; Weinschenk, C.; Overholt, K. Fire Dynamics Simulator Technical Reference Guide Volume 1: Mathematical Model, 6th ed.; NIST Special Publication 1018(1); NIST: Gaithersburg, MD, USA, 2013. [Google Scholar]











| Case Index | Description | |
|---|---|---|
| Test 1 | Test 1 | One cylinder of IG-541 was discharged into the apartment. |
| Test 2 | Test 2 (I) | One cylinder of IG-541 was discharged to extinguish a closet fire |
| Test 2 (II) | Sprinkler was activated automatically to suppress a closet fire |
| Combustion Properties | Pine | Fabrics |
|---|---|---|
| Density (kg/m3) | 520 | 148 |
| Specific heat capacity (kJ/kg∙K) | 2.5 | 1.0 |
| Thermal conductivity (W/m∙K) | 0.2 | 0.1 |
| Reference temperature (°C) | 335 | 375 |
| Reaction intensity (s−1) | 0.00267 | 0.015 |
| Heating rate (K/min) | 5 | 10 |
| Heat of reaction (kJ/kg) | 1047 | 3000 |
| Heat of combustion (kJ/kg) | 11,410 | 14,000 |
| Case Index | Description | |
|---|---|---|
| T1 Discharge only | T1_bottom | A crack located at the bottom of the entrance door |
| T1_top | A crack located at the top (2 m) of the entrance door | |
| T1_side | A crack located at the vertical side of the entrance door | |
| T2 A closet fire | T2_fire | A closet fire without the discharge of inert-gas agents |
| T2_fire+agent | A closet fire with the discharge of inert-gas agents | |
| T2_delay | A closet fire with a delay activation of the gas extinguish system | |
| T3 The closet is partially closed | T3_fire | A fire in a partially closed closet without the discharge of inert-gas agents |
| T3_fire+agent | A fire in a partially closed closet with the discharge of inert-gas agents |
| Test | Smoke Detection | Activation | Extinguishment | Discharge Completed |
|---|---|---|---|---|
| Test 2 (I)_IG-541 | 85 s | 115 s (manual) | 220 s | 235 s |
| Test 2 (II)_Sprinkler | 105 s | 125 s (auto) | 363 s (manual) | --- |
Publisher’s Note: MDPI stays neutral with regard to jurisdictional claims in published maps and institutional affiliations. |
© 2022 by the authors. Licensee MDPI, Basel, Switzerland. This article is an open access article distributed under the terms and conditions of the Creative Commons Attribution (CC BY) license (https://creativecommons.org/licenses/by/4.0/).
Share and Cite
Hu, X.; Kraaijeveld, A. Experimental and Numerical Investigation of Extinguishing Effectiveness of Inert-Gas Agents in a Leaky Enclosure. Energies 2022, 15, 4323. https://doi.org/10.3390/en15124323
Hu X, Kraaijeveld A. Experimental and Numerical Investigation of Extinguishing Effectiveness of Inert-Gas Agents in a Leaky Enclosure. Energies. 2022; 15(12):4323. https://doi.org/10.3390/en15124323
Chicago/Turabian StyleHu, Xiaoqin, and Arjen Kraaijeveld. 2022. "Experimental and Numerical Investigation of Extinguishing Effectiveness of Inert-Gas Agents in a Leaky Enclosure" Energies 15, no. 12: 4323. https://doi.org/10.3390/en15124323
APA StyleHu, X., & Kraaijeveld, A. (2022). Experimental and Numerical Investigation of Extinguishing Effectiveness of Inert-Gas Agents in a Leaky Enclosure. Energies, 15(12), 4323. https://doi.org/10.3390/en15124323

