Application of Field Olfactometry to Monitor the Odour Impact of a Municipal Sewage System
Abstract
1. Introduction
1.1. Municipal Sewage Systems as Sources of Odorant Emissions
1.2. Field Olfactometry
2. Materials and Methods
2.1. Research Schedule
- collecting and compiling data on residents’ complaints and potential sources of odour emissions in the analysed area;
- field tests for odorants;
- the analysis and elaboration of the research results and the formulation of conclusions.
2.2. Location of the Research Areas
- Area 1: the area containing nodal sewage chambers;
- Area 2: the area containing nuisance sewage manholes in the immediate vicinity of an apartment block;
- Area 3: the vicinity of the “Fasty” industrial wastewater;
- Area 4: the area along the street with the last section of the main sewer connecting to the municipal WWTP;
- Other: surroundings of single manholes for sewage collectors in different parts of the city.
2.3. Characteristics of the Municipal Sewage System
2.4. Olfactometric Examinations of cod
2.5. Chemical Examinations of Odorant Concentrations
2.6. Meteorological Examinations
2.7. Statistical Analysis
3. Results and Discussion
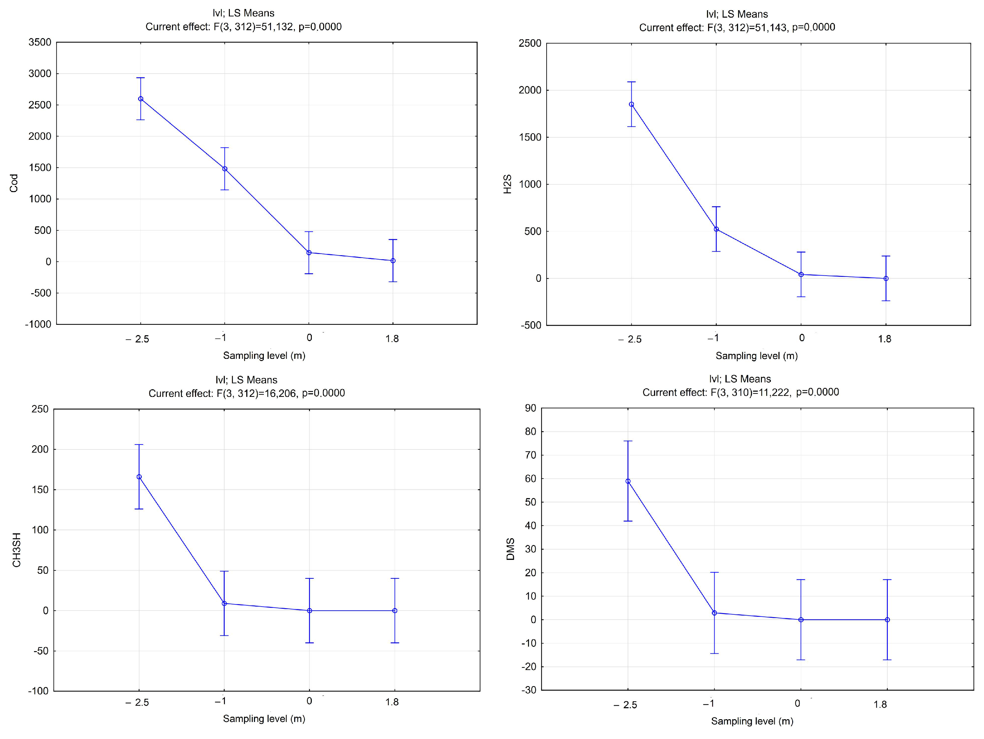
3.1. Sampling Air from under and above the Manhole to the Sewer
- 6000 ou/m3—in Area 1 and at one of the Other sites;
- 4300 ou/m3—in Area 2;
- 3750 ou/m3—in Area 3 and at one of the Other sites;
- 3330 ou/m3—in Area 1;
- 2700 ou/m3—in Area 1 and Area 4 (near the municipal WWTP).
3.2. Atmospheric Examinations—Sampling at a Height of 1.80 m
- No other sources of odorant emissions were identified except for those from the municipal sewage system.
- Sewerage wells are a significant source of emissions of catch compounds (including H2S, even in concentrations greater than 100 μg/m3), regardless of the season and weather conditions. The odour nuisance occurred in Area 4 and in other places in Białystok, such as in Area 1 and Area 2.
- Area 1 is also an essential source of odour impacts. Odour emitters include both manholes above the sewer and above the canal, which was used not only for rainwater but also for sewage.
- Significant odour nuisances were found during the rehabilitation of the sewer chambers (series no. V). Uncontrolled floodplains of raw sewage affecting the surrounding areas were formed.
4. Conclusions
- The improvement of the operation works in the sewage network through the purchase and possible replacement of specialised equipment designed for and dedicated exclusively to operation works in sewage networks.
- Maintaining proper functioning of the sewer network in terms of hydraulics, while minimising the negative effects on the environment, requires the implementation of on-line monitoring of filling and flow rates in the sewers. This enables the identification of irregularities in network operations, e.g., very low levels of filling and filling speeds (which do take place in the examined sewer network), which favour the development of anaerobic processes in sewers. On the other hand, high filling levels and overfilling of the network are also recorded. These may result from, among other things, uncontrolled and even illegal discharges of wastewater into the city’s network. Monitoring should also cover the rainwater network, which makes it possible to record events involving the illegal discharge of sanitary sewage into the rainwater network.
- The modernisation of connection-and-branch chambers located in large sewers, where unpleasant odours are found to be a nuisance to the environment, in order to stabilise the flow without reversing it and while ensuring the proper ventilation of the sewers.
- A full inventorying and securing of the non-drainage tanks in the city area with the systematic control of their proper use and operation.
- The elimination of rainwater discharge into the sanitary sewage system.
Author Contributions
Funding
Institutional Review Board Statement
Informed Consent Statement
Data Availability Statement
Conflicts of Interest
Abbreviations
| AT | air temperature |
| cod | odour concentration |
| DC | degree of cloudiness |
| DMS | (CH3)2S—dimethyl sulphide |
| D/T | Dilution-to-Threshold Ratio |
| EPA | The United States Environmental Protection Agency |
| GC | gas chromatograph |
| iod | odour intensity |
| PID | photoionization detector |
| RH | relative humidity |
| VOCs | volatile organic compounds |
| WD | wind direction |
| WS | wind speed |
| WWTP | wastewater treatment plant |
References
- Koe, L.C.C. Characterization and removal of odors from refuse material. Environ. Monit. Assess. 1988, 10, 75–84. [Google Scholar] [CrossRef] [PubMed]
- Filipy, J.; Rumburg, B.; Mount, G.; Westberg, H.; Lamb, B. Identification and quantification of volatile organic compounds from a dairy. Atmos. Environ. 2006, 40, 1480–1494. [Google Scholar] [CrossRef]
- Le Leuch, L.M.; Subrenat, A.; Le Cloirec, P. Removal of target odorous molecules on to activated carbon cloths. Water Sci. Technol. 2004, 50, 193–198. [Google Scholar] [CrossRef] [PubMed]
- Lillo-Ródenas, M.A.; Ros, A.; Fuente, E.; Montes-Morán, M.A.; Martin, M.J.; Linares-Solano, A. Further insights into the activation process of sewage sludge-based precursors by alkaline hydroxides. Chem. Eng. J. 2008, 142, 168–174. [Google Scholar] [CrossRef]
- Muezzinoglu, A. A study of volatile organic sulfur emissions causing urban odors. Chemosphere 2003, 51, 245–252. [Google Scholar] [CrossRef]
- Vega, E.; Sánchez-Reyna, G.; Mora-Perdomo, V.; Iglesias, G.S.; Arriaga, J.L.; Limón-Sánchez, T.; Escalona-Segura, S.; Gonzalez-Avalos, E. Air quality assessment in a highly industrialized area of Mexico: Concentrations and sources of volatile organic compounds. Fuel 2011, 90, 3509–3520. [Google Scholar] [CrossRef]
- Wiśniewska, M.; Kulig, A.; Lelicińska-Serafin, K. Odour Emissions of Municipal Waste Biogas Plants—Impact of Technological Factors, Air Temperature and Humidity. Appl. Sci. 2020, 10, 1093. [Google Scholar] [CrossRef]
- Matos, R.V.; Matias, N.; Ferreira, F.; Matos, J.S. Dynamic Modeling of Hydrogen Sulfide within Enclosed Environments in Biosolids Recovery Facilities. Water Environ. Res. 2017, 88, 2209–2218. [Google Scholar] [CrossRef]
- Pochwat, K.; Kida, M.; Ziembowicz, S.; Koszelnik, P. Odours in Sewerage—A Description of Emissions and of Technical Abatement Measures. Environments 2019, 6, 89. [Google Scholar] [CrossRef]
- Mathews, E.R.; Barnett, D.; Petrovski, S.; Franks, A.E. Reviewing microbial electrical systems and bacteriophage biocontrol as targeted novel treatments for reducing hydrogen sulfide emissions in urban sewer systems. Rev. Environ. Sci. Bio/Technol. 2018, 17, 749–764. [Google Scholar] [CrossRef]
- Grengg, C.; Mittermayr, F.; Baldermann, A.; Böttcher, M.E.; Leis, A.; Koraimann, G.; Grunert, P.; Dietzel, M. Microbiologically induced concrete corrosion: A case study from a combined sewer network. Cem. Concr. Res. 2015, 77, 16–25. [Google Scholar] [CrossRef]
- Yongsiri, C.; Vollertsen, J.; Hvitved-Jacobsen, T. Hydrogen sulfide emission in sewer networks: A two-phase modeling approach to the sulfur cycle. Water Sci. Technol. 2004, 50, 161–168. [Google Scholar] [CrossRef] [PubMed]
- Vollertsen, J.; Nielsen, A.H.; Jensen, H.S.; Wium-Andersen, T.; Hvitved-Jacobsen, T. Corrosion of concrete sewers—The kinetics of hydrogen sulfide oxidation. Sci. Total Environ. 2008, 394, 162–170. [Google Scholar] [CrossRef] [PubMed]
- Tomar, M.; Abdullah, T.H.A.; Abdullah, J.H.A. Effect of aeration on generation and emission of hydrogen sulfide in wet wells of lifting stations. Water Air Soil Pollut. 1995, 81, 385–399. [Google Scholar] [CrossRef]
- Grengg, C.; Müller, B.; Staudinger, C.; Mittermayr, F.; Breininger, J.; Ungerböck, B.; Borisov, S.M.; Mayr, T.; Dietzel, M. High-resolution optical pH imaging of concrete exposed to chemically corrosive environments. Cem. Concr. Res. 2019, 116, 231–237. [Google Scholar] [CrossRef]
- Nielsen, K.A.; Tattersall, D.B.; Jones, P.R.; Møller, B.L. Metabolon formation in dhurrin biosynthesis. Phytochemistry 2008, 69, 88–98. [Google Scholar] [CrossRef]
- Jiang, L.; Liu, H.; Chu, H.; Zhu, C.; Xiong, C.; You, L.; Xu, J.; Zhang, Y.; Qin, Y. Influence of compression fatigue on chloride threshold value for the corrosion of steels in simulated concrete pore. Constr. Build. Mater. 2014, 73, 699–704. [Google Scholar] [CrossRef]
- Ren, Y.G.; Wang, J.H.; Li, H.F.; Zhang, J.; Qi, P.Y.; Hu, Z. Nitrous oxide and methane emissions from different treatment processes in full-scale municipal wastewater treatment plants. Environ. Technol. 2013, 34, 2917–2927. [Google Scholar] [CrossRef]
- Turkmen, M.; Dentel, S.K.; Chiu, P.C.; Hepner, S. Analysis of sulfur and nitrogen odorants using solid-phase microextraction and GC-MS. Water Sci. Technol. 2004, 50, 115–120. [Google Scholar] [CrossRef]
- Chen, D.; Szostak, P. Factor analysis of H2S emission at a wastewater lift station: A case study. Environ. Monit. Assess. 2013, 185, 3551–3560. [Google Scholar] [CrossRef]
- Sun, J.; Hu, S.; Sharma, K.R.; Ni, B.-J.; Yuan, Z. Degradation of methanethiol in anaerobic sewers and its correlation with methanogenic activities. Water Res. 2015, 69, 80–89. [Google Scholar] [CrossRef] [PubMed]
- Sun, J.; Hu, S.; Sharma, K.R.; Ni, B.-J.; Yuan, Z. Stratified Microbial Structure and Activity in Sulfide- and Methane-Producing Anaerobic Sewer Biofilms. Appl. Environ. Microbiol. 2014, 80, 7042–7052. [Google Scholar] [CrossRef] [PubMed]
- Vitko, T.G.; Suffet, I.H. Corrective factors applied to reduced sulfur compounds in wastewater foul air. Water Environ. Res. 2021, 93, 1487–1495. [Google Scholar] [CrossRef] [PubMed]
- Gebicki, J.; Byliński, H.; Namieśnik, J. Measurement techniques for assessing the olfactory impact of municipal sewage treatment plants. Environ. Monit. Assess. 2016, 188, 32. [Google Scholar] [CrossRef] [PubMed]
- Naddeo, V.; Belgiorno, V.; Zarra, T. Odour Impact Assessment Handbook; John Wiley & Sons: Hoboken, NJ, USA, 2012; ISBN 111996928X. [Google Scholar]
- Muñoz, R.; Sivret, E.C.; Parcsi, G.; Lebrero, R.; Wang, X.; Suffet, I.H.; Stuetz, R.M. Monitoring techniques for odour abatement assessment. Water Res. 2010, 44, 5129–5149. [Google Scholar] [CrossRef]
- Maurer, D.L.; Bragdon, A.M.; Short, B.C.; Heekwon, A.; Koziel, J.A. Improving environmental odor measurements:comparison of lab-based standard method and portable odor measurement technology. Arch. Environ. Prot. 2018, 44, 100–107. [Google Scholar] [CrossRef]
- Maurer, D.L.; Bragdon, A.M.; Short, B.C.; Heekwon, A.; Koziel, J.A.; Wiśniewska, M. Methods of Assessing Odour Emissions from Biogas Plants Processing Municipal Waste. J. Ecol. Eng. 2020, 21, 140–147. [Google Scholar] [CrossRef]
- Giungato, P.; Di Gilio, A.; Palmisani, J.; Marzocca, A.; Mazzone, A.; Brattoli, M.; Giua, R.; De Gennaro, G. Synergistic approaches for odor active compounds monitoring and identification: State of the art, integration, limits and potentialities of analytical and sensorial techniques. TrAC Trends Anal. Chem. 2018, 107, 116–129. [Google Scholar] [CrossRef]
- Hayes, J.E.; Stevenson, R.J.; Stuetz, R.M. The impact of malodour on communities: A review of assessment techniques. Sci. Total Environ. 2014, 500, 395–407. [Google Scholar] [CrossRef]
- González, I.; Robledo-Mahón, T.; Silva-Castro, G.A.; Rodríguez-Calvo, A.; Gutiérrez, M.C.; Martín, M.Á.; Chica, A.F.; Calvo, C. Evolution of the composting process with semi-permeable film technology at industrial scale. J. Clean. Prod. 2016, 115, 245–254. [Google Scholar] [CrossRef]
- Gutiérrez, M.C.; Martín, M.A.; Chica, A.F. Usual variables and odour concentration to evaluate composting process and odour impact. Environ. Technol. 2014, 35, 709–718. [Google Scholar] [CrossRef] [PubMed]
- Kulig, A.; Szylak-Szydlowski, M. Assessment of range of olfactory impact of plant to mechanical-biological treatment of municipal waste. Chem. Eng. Trans. 2016, 54, 247–252. [Google Scholar]
- Sironi, S.; Capelli, L.; Céntola, P.; Del Rosso, R.; Pierucci, S. Odour impact assessment by means of dynamic olfactometry, dispersion modelling and social participation. Atmos. Environ. 2010, 44, 354–360. [Google Scholar] [CrossRef]
- Bax, C.; Sironi, S.; Capelli, L. How Can Odors Be Measured? An Overview of Methods and Their Applications. Atmosphere 2020, 11, 92. [Google Scholar] [CrossRef]
- Szyłak-Szydłowski, M. Validation of odor concentration from mechanical-biological treatment piles using static chamber and wind tunnel with different wind speed values. J. Air Waste Manag. Assoc. 2017, 67, 1046–1054. [Google Scholar] [CrossRef]
- Nicell, J.A. Assessment and regulation of odour impacts. Atmos. Environ. 2009, 43, 196–206. [Google Scholar] [CrossRef]
- Brandt, R.C.; Adviento-Borbe, M.A.A.; Elliott, H.A.; Wheeler, E.F. Protocols for Reliable Field Olfactometry Odor Evaluations. Appl. Eng. Agric. 2011, 27, 457–466. [Google Scholar] [CrossRef]
- Benzo, M.; Mantovani, A.; Pittarello, A. Measurement of Odour Concentration of Immissions using a New Field Olfactometer and Markers’ Chemical Analysis. Chem. Eng. Trans. 2012, 30, 103–108. [Google Scholar] [CrossRef]
- Capelli, L.; Sironi, S.; Del Rosso, R.; Guillot, J.-M. Measuring odours in the environment vs. dispersion modelling: A review. Atmos. Environ. 2013, 79, 731–743. [Google Scholar] [CrossRef]
- Pan, L.; Yang, S.X.; DeBruyn, J. Factor Analysis of Downwind Odours from Livestock Farms. Biosyst. Eng. 2007, 96, 387–397. [Google Scholar] [CrossRef]
- Toledo, M.; Siles, J.A.; Gutiérrez, M.C.; Martín, M.A. Monitoring of the composting process of different agroindustrial waste: Influence of the operational variables on the odorous impact. Waste Manag. 2018, 76, 266–274. [Google Scholar] [CrossRef] [PubMed]
- Szyłak-Szydłowski, M. Comparison of two types of field olfactometers for assessing odours in laboratory and field tests. Chem. Eng. Trans. 2014, 40, 67–72. [Google Scholar]
- Walgraeve, C.; Van Huffel, K.; Bruneel, J.; Van Langenhove, H. Evaluation of the performance of field olfactometers by selected ion flow tube mass spectrometry. Biosyst. Eng. 2015, 137, 84–94. [Google Scholar] [CrossRef]
- Szylak-Szydlowski, M. Odour nuisance of railway sleepers saturated with creosote oil. Chem. Eng. Trans. 2016, 54, 163–168. [Google Scholar]
- Lewkowska, P.; Cieślik, B.; Dymerski, T.; Konieczka, P.; Namieśnik, J. Characteristics of odors emitted from municipal wastewater treatment plant and methods for their identification and deodorization techniques. Environ. Res. 2016, 151, 573–586. [Google Scholar] [CrossRef]
- Wang, T.; Sattayatewa, C.; Venkatesan, D.; Noll, K.E.; Pagilla, K.R.; Moschandreas, D.J. Modeling indoor odor–odorant concentrations and the relative humidity effect on odor perception at a water reclamation plant. Atmos. Environ. 2011, 45, 7235–7239. [Google Scholar] [CrossRef]
- Pearson, C.; Littlewood, E.; Douglas, P.; Robertson, S.; Gant, T.W.; Hansell, A.L. Exposures and health outcomes in relation to bioaerosol emissions from composting facilities: A systematic review of occupational and community studies. J. Toxicol. Environ. Health. B Crit. Rev. 2015, 18, 43–69. [Google Scholar] [CrossRef]
- González, D.; Colón, J.; Sánchez, A.; Gabriel, D. A systematic study on the VOCs characterization and odour emissions in a full-scale sewage sludge composting plant. J. Hazard. Mater. 2019, 373, 733–740. [Google Scholar] [CrossRef]
- González, D.; Guerra, N.; Colón, J.; Gabriel, D.; Ponsá, S.; Sánchez, A. Filling in sewage sludge biodrying gaps: Greenhouse gases, volatile organic compounds and odour emissions. Bioresour. Technol. 2019, 291, 121857. [Google Scholar] [CrossRef]
- Kulig, A.; Szyłak-Szydłowski, M. Assessment of the Effects of Wastewater Treatment Plant Modernization by Means of the Field Olfactometry Method. Water 2019, 11, 2367. [Google Scholar] [CrossRef]
- Man, Z.; Dai, X.; Rong, L.; Kong, X.; Ying, S.; Xin, Y.; Liu, D. Evaluation of storage bags for odour sampling from intensive pig production measured by proton-transfer-reaction mass-spectrometry. Biosyst. Eng. 2019, 189, 48–59. [Google Scholar] [CrossRef]
- Badach, J.; Kolasińska, P.; Paciorek, M.; Wojnowski, W.; Dymerski, T.; Gębicki, G.; Dymnicka, M.; Namieśnik, J. A case study of odour nuisance evaluation in the context of integrated urban planning. J. Environ. Manag. 2018, 213, 417–424. [Google Scholar] [CrossRef] [PubMed]
- Invernizzi, M.; Capelli, L.; Sironi, S. Proposal of Odor Nuisance Index as Urban Planning Tool. Chem. Senses 2017, 42, 105–110. [Google Scholar] [CrossRef] [PubMed]
- Brandt, R.C.; Elliott, H.A.; Adviento-Borbe, M.A.A.; Wheeler, E.F.; Kleinman, P.J.A.; Beegle, D.B. Field Olfactometry Assessment of Dairy Manure Land Application Methods. J. Environ. Qual. 2011, 40, 431–437. [Google Scholar] [CrossRef] [PubMed][Green Version]
- Damuchali, A.M.; Guo, H. Evaluation of a field olfactometer in odour concentration measurement. Biosyst. Eng. 2019, 187, 239–246. [Google Scholar] [CrossRef]
- Grzelka, A.; Sówka, I.; Miller, U. Metody oceny emisji odorów z obiektów gospodarki hodowlanej. Inżynieria Ekol. 2018, 19, 56–64. [Google Scholar] [CrossRef][Green Version]
- Fisher, R.M.; Barczak, R.J.; Suffet, I.H.M.; Hayes, J.E.; Stuetz, R.M. Framework for the use of odour wheels to manage odours throughout wastewater biosolids processing. Sci. Total Environ. 2018, 634, 214–223. [Google Scholar] [CrossRef]
- Szyłak-Szydłowski, M. Odour Samples Degradation During Detention in Tedlar® Bags. Water Air Soil Pollut. 2015, 226, 227. [Google Scholar] [CrossRef][Green Version]
- Wiśniewska, M.; Kulig, A.; Lelicińska-Serafin, K. Olfactometric testing as a method for assessing odour nuisance of biogas plants processing municipal waste. Arch. Environ. Prot. 2020, 46, 60–68. [Google Scholar] [CrossRef]
- Sivret, E.C.; Le-Minh, N.; Wang, B.; Wang, X.; Stuetz, R.M. Dynamics of Volatile Sulfur Compounds and Volatile Organic Compounds in Sewer Headspace Air. J. Environ. Eng. 2017, 143, 04016080. [Google Scholar] [CrossRef]
- Austigard, A.D.; Svendsen, K.; Heldal, K.K. Hydrogen sulphide exposure in waste water treatment. J. Occup. Med. Toxicol. 2018, 13, 10. [Google Scholar] [CrossRef] [PubMed]
- Matos, R.V.; Ferreira, F.; Gil, C.; Matos, J.S. Understanding the effect of ventilation, intermittent pumping and seasonality in hydrogen sulfide and methane concentrations in a coastal sewerage system. Environ. Sci. Pollut. Res. 2019, 26, 3404–3414. [Google Scholar] [CrossRef] [PubMed]
- Zhang, L.; De Schryver, P.; De Gusseme, B.; De Muynck, W.; Boon, N.; Verstraete, W. Chemical and biological technologies for hydrogen sulfide emission control in sewer systems: A review. Water Res. 2008, 42, 1–12. [Google Scholar] [CrossRef] [PubMed]
- Sivret, E.C.; Wang, B.; Parcsi, G.; Stuetz, R.M.; Sivret, E.C.; Wang, B.; Parcsi, G.; Stuetz, R.M. Prioritisation of odorants emitted from sewers using odour activity values. Water Res. 2016, 88, 308–321. [Google Scholar] [CrossRef]
- Hwang, Y.; Matsuo, T.; Hanaki, K.; Suzuki, N. Identification and quantification of sulfur and nitrogen containing odorous compounds in wastewater. Water Res. 1995, 29, 711–718. [Google Scholar] [CrossRef]
- Wang, B.; Sivret, E.C.; Parcsi, G.; Le, N.M.; Kenny, S.; Bustamante, H.; Stuetz, R.M. Reduced sulfur compounds in the atmosphere of sewer networks in Australia: Geographic (and seasonal) variations. Water Sci. Technol. 2013, 69, 1167–1173. [Google Scholar] [CrossRef]
- Devai, I.; DeLaune, R.D. Emission of Reduced Malodorous Sulfur Gases from Wastewater Treatment Plants. Water Environ. Res. 1999, 71, 203–208. [Google Scholar] [CrossRef]
- Chan, A.A.; Han, J. Odorous wastewater emissions. Vatten 2006, 62, 227–236. Available online: https://www.semanticscholar.org/paper/Odorous-wastewater-emissions-Andersson-Chan-Hanaeus/56e586d26ed89a467638a6ee7f969cbcf983b79a (accessed on 24 April 2022).
- Lasaridi, K.; Katsabanis, G.; Kyriacou, A.; Maggos, T.; Manios, T.; Fountoulakis, M.; Stentiford, E.I. Assessing odour nuisance from wastewater treatment and composting facilities in Greece. Waste Manag. Res. 2010, 28, 977–984. [Google Scholar] [CrossRef]
- Pérez, A.; Manjón, C.; Martínez, J.V.; Juárez-Galan, J.M.; Barillon, B.; Bouchy, L. Odours in sewer networks: Nuisance assessment. Water Sci. Technol. 2013, 67, 543–548. [Google Scholar] [CrossRef]
- Gostelow, P.; Parsons, S.A.; Stuetz, R.M. Odour measurements for sewage treatment works. Water Res. 2001, 35, 579–597. [Google Scholar] [CrossRef]
- Thistlethwayte, D.K.B.; Goleb, E.E. The composition of sewer air. In Proceedings of the 6th International Conference on Water Pollution Research, Jerusalem, Israel, 18–23 June 1972; pp. 281–289. [Google Scholar]
- Van Gemert, L.J. Odour Thresholds: Compilations of Odour Threshold Values in Air, Water and Other Media; Oliemans Punter & Partners BV: Zeist, The Netherlands, 2003. [Google Scholar]
- Sutherland-Stacey, L.; Corrie, S.; Neethling, A.; Johnson, I.; Gutierrez, O.; Dexter, R.; Yuan, Z.; Keller, J.; Hamilton, G. Continuous measurement of dissolved sulfide in sewer systems. Water Sci. Technol. 2008, 57, 375–381. [Google Scholar] [CrossRef] [PubMed]
- Tchobanoglous, G.; Franklin, L.M.; Burton, E.C.; Stensel, H.D. Wastewater Engineering Treatment and Reuse, 4th ed.; McGraw-Hill: New York, NY, USA, 2011. [Google Scholar]
- Eaton, A.D.; Franson, M.A.H.; Clesceri, L.S.; Rice, E.W.; Greenberg, A.E.; American Public Health Association; American Water Works Association; Water Environment Federation. Standard Methods for the Examination of Water & Wastewater; American Public Health Association: Washington, DC, USA, 2005; ISBN 0875530478. [Google Scholar]
- Shammay, A.; Evason, I.E.J.; Stuetz, R.M. Prioritisation of odorants emitted from sewers using odour activity values. J. Environ. Manag. 2019, 249, 308–321. [Google Scholar] [CrossRef]



| Field of Study | Reference |
|---|---|
| Impacts of mechanical-biological waste treatment plants and validating the cod from piles | [33,36] |
| Assessment of the odour nuisance of railway sleepers saturated with creosote oil | [45] |
| Estimation of iod in the atmospheric air near municipal wastewater treatment plants (WWTP) | [46] |
| Determination of cod around a water reclamation plant | [47] |
| Determination of cod around a sewage sludge composting plant | [48,49] |
| Assessing the range of olfactory impacts of municipal landfills | [49] |
| Determination of cod near a sewage sludge biodrying installation | [50] |
| Measurement of the effects of WWTP modernisation | [51] |
| Monitoring livestock farm odours | [41,52] |
| Evaluation of odour nuisance coupled with odour dispersion modelling can be applied to the development of local urban planning strategies | [53,54] |
| Monitoring odours of dairy manure slurry | [55] |
| Determination of cod around poultry barns | [56] |
| Series No. | Research Date | Number of Points | |
|---|---|---|---|
| Chemical Measurements | Olfactometry Measurements | ||
| I | 14–15 November 2017 | 19 | 48 |
| II | 16–17 January 2018 | 32 | 32 |
| III | 13–14 April 2018 | 20 | 36 |
| IV | 25–26 May 2018 | 20 | 55 |
| V | 14–15 July 2018 | 20 | 86 |
| VI | 12 September 2018 | 20 | 76 |
| Sum: | - | 131 | 333 |
| Parameter | Value | Sampling Level | |||
|---|---|---|---|---|---|
| −2.5 m | −1 m | 0 m | 1.8 m | ||
| cod (ou/m3) | min | 515 | 94 | 0 | 0 |
| mean | 2487 | 1245 | 160 | 17 | |
| median | 1500 | 750 | 44 | 6 | |
| max | 10,000 | 10,000 | 750 | 106 | |
| H2S concentration (mg/m3) | min | 0.020 | 0 | 0 | 0 |
| mean | 1.852 | 0.524 | 0.042 | 0 | |
| median | 1.144 | 0 | 0 | 0 | |
| max | 8.715 | 5.584 | 0.274 | 0 | |
| CH3SH concentration (mg/m3) | min | 0 | 0 | 0 | 0 |
| mean | 0.166 | 0.009 | 0 | 0 | |
| median | 0.015 | 0 | 0 | 0 | |
| max | 1.720 | 0.093 | 0 | 0 | |
| (CH3)2S (DMS) concentration (mg/m3) | min | 0 | 0 | 0 | 0 |
| mean | 0.059 | 0.003 | 0 | 0 | |
| median | 0 | 0 | 0 | 0 | |
| max | 0.942 | 0.065 | 0 | 0 | |
| Factor | R | R2 | t | Constant Y | Slope Y | Constant X | Slope X | |||||||
|---|---|---|---|---|---|---|---|---|---|---|---|---|---|---|
| Level | −2.5 | −1.0 | −2.5 | −1.0 | −2.5 | −1.0 | −2.5 | −1.0 | −2.5 | −1.0 | −2.5 | −1.0 | −2.5 | −1.0 |
| Cod H2S | 0.91 | 0.97 | 0.83 | 0.94 | 19.74 | 34.72 | −23.98 | −349.5 | 0.72 | 0.58 | 456.7 | 649.4 | 1.16 | 1.61 |
| Cod CH3SH | 0.82 | 0.83 | 0.67 | 0.69 | 12.54 | 12.88 | −178.3 | −6.29 | 0.13 | 0.01 | 1758 | 909.1 | 5.07 | 72.53 |
| Cod DMS | 0.54 | 0.73 | 0.29 | 0.53 | 5.60 | 9.26 | −37.29 | −2.95 | 0.04 | 0.00 | 2138 | 1068 | 7.82 | 132.1 |
| H2S CH3SH | 0.84 | 0.80 | 0.71 | 0.65 | 13.59 | 11.71 | −152.4 | −0.12 | 0.17 | 0.02 | 1171 | 181.1 | 4.10 | 42.23 |
| H2S DMS | 0.63 | 0.76 | 0.40 | 0.57 | 7.21 | 9.99 | −43.43 | −0.54 | 0.06 | 0.01 | 1422 | 258.5 | 7.29 | 82.16 |
| CH3SH DMS | 0.88 | 0.63 | 0.77 | 0.40 | 16.04 | 7.00 | −3.02 | 0.64 | 0.37 | 0.30 | 44.47 | 3.71 | 2.06 | 1.30 |
Publisher’s Note: MDPI stays neutral with regard to jurisdictional claims in published maps and institutional affiliations. |
© 2022 by the authors. Licensee MDPI, Basel, Switzerland. This article is an open access article distributed under the terms and conditions of the Creative Commons Attribution (CC BY) license (https://creativecommons.org/licenses/by/4.0/).
Share and Cite
Kulig, A.; Szyłak-Szydłowski, M.; Wiśniewska, M. Application of Field Olfactometry to Monitor the Odour Impact of a Municipal Sewage System. Energies 2022, 15, 4015. https://doi.org/10.3390/en15114015
Kulig A, Szyłak-Szydłowski M, Wiśniewska M. Application of Field Olfactometry to Monitor the Odour Impact of a Municipal Sewage System. Energies. 2022; 15(11):4015. https://doi.org/10.3390/en15114015
Chicago/Turabian StyleKulig, Andrzej, Mirosław Szyłak-Szydłowski, and Marta Wiśniewska. 2022. "Application of Field Olfactometry to Monitor the Odour Impact of a Municipal Sewage System" Energies 15, no. 11: 4015. https://doi.org/10.3390/en15114015
APA StyleKulig, A., Szyłak-Szydłowski, M., & Wiśniewska, M. (2022). Application of Field Olfactometry to Monitor the Odour Impact of a Municipal Sewage System. Energies, 15(11), 4015. https://doi.org/10.3390/en15114015

