Experimental and Theoretical Study of Surge Behavior in a Boil-Off Gas Centrifugal Compressor on an LNG Carrier
Abstract
:1. Introduction
2. Surge System Modeling
2.1. Conventional Greitzer Model
2.2. Proposed Model
2.2.1. Steady Flow Case
2.2.2. Unsteady Flow Case
3. Experimental Setup
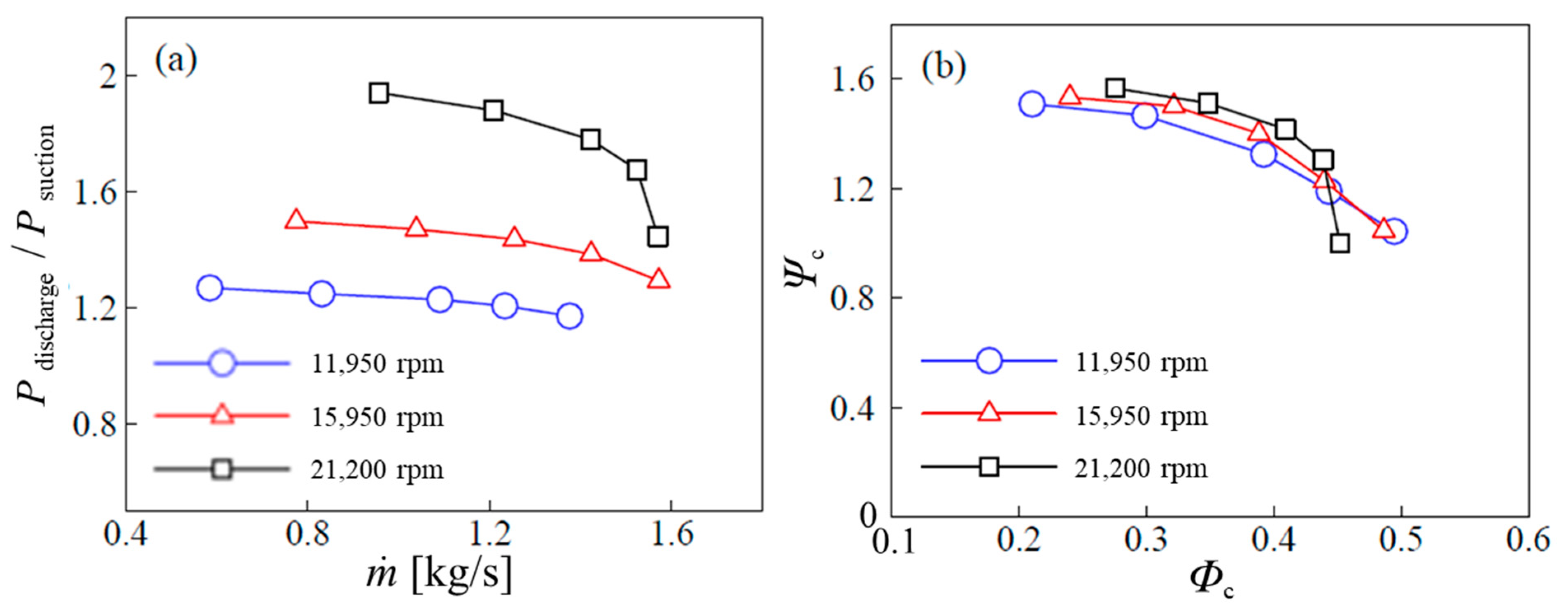
4. Results and Discussion
4.1. Conventional Greitzer Model
4.2. Proposed Model
4.2.1. Steady Flow Case
4.2.2. Unsteady Flow Case
5. Conclusions
Author Contributions
Funding
Institutional Review Board Statement
Informed Consent Statement
Data Availability Statement
Conflicts of Interest
Nomenclature
| a | speed of sound in ambient conditions | m/s |
| A | flow-through area | m2 |
| Aw | pipe wall area | m2 |
| B | dimensionless parameter | N/A |
| Cx | velocity at inlet axis | m/s |
| d | impeller diameter | m |
| D | pipe diameter | m |
| f | Darcy friction factor | N/A |
| Ffriction | friction force | N |
| g | gravitational acceleration | m/s2 |
| G | geometry parameter | N/A |
| hL | head loss | m |
| Jn | Bessel function of the first kind (nth order) | N/A |
| L | effective length of equivalent duct | m |
| N | time-lag in revolutions | RPM |
| mass flow rate | Kg/s | |
| P | pressure | bar |
| pressure difference between plenum and ambient | bar | |
| pressure rise in the compressor | bar | |
| pressure rise in the throttle | bar | |
| R | compressor rotor mean radius | mm |
| t | time | s |
| U | impeller tip speed | rad/s |
| Vp | plenum volume | m3 |
| Yn | Bessel function of the second kind (nth order) | N/A |
| relaxation time | N/A | |
| Helmholtz frequency | m/s | |
| nondimensional pressure rise | N/A | |
| nondimensional mass flow | N/A | |
| nondimensional time | N/A | |
| kinematic viscosity | m2/s | |
| density at ambient | kg/m3 | |
| velocity along the x-axis | m/s | |
| Pressure along the x-axis | Bar | |
| Subscripts | ||
| c | compressor | |
| p | plenum | |
| t | throttle | |
| ss | steady state | |
References
- Boyce, M.P. Centrifugal Compressor: A Basic Guide; PennWell Books: Tulsa, OK, USA, 2020. [Google Scholar]
- Gravdahl, J.T. Modeling and Control of Surge and Rotating Stall in Compressors. Ph.D. Thesis, Department of Engineering Cybernetics, Norwegian University of Science and Technology, Trondheim, Norway, 1998. [Google Scholar]
- International Gas Union. 2019 World LNG Report; International Gas Union: Barcelona, Spain, 2019. [Google Scholar]
- Ludtke, K.H. Process Centrifugal Compressor-Basics, Function, Operation, Design, Application; Springer: Berlin/Heidelberg, Germany, 2004. [Google Scholar]
- Stenning, A. Rotating stall and surge. J. Fluids Eng. 1980, 102, 14–20. [Google Scholar] [CrossRef]
- Sundström, E.; Semlitsch, B.; Mihăescu, M. Generation Mechanisms of Rotating Stall and Surge in Centrifugal Compressors. Flow Turbul. Combust. 2018, 100, 705–719. [Google Scholar] [CrossRef] [PubMed] [Green Version]
- Xue, X.; Wang, T.; Zhang, T.; Yang, B. Mechanism of stall and surge in a centrifugal compressor with a variable vaned diffuser. Chin. J. Aeronaut. 2018, 31, 1222–1231. [Google Scholar] [CrossRef]
- Zheng, X.; Liu, A.; Sun, Z. Investigation of the instability mechanisms in a turbocharger centrifugal compressor with a vaneless diffuser by means of unsteady simulations. Proc. Inst. Mech. Eng. Part D J. Automob. Eng. 2017, 231, 1558–1567. [Google Scholar] [CrossRef]
- Sundström, E.; Semlitsch, C.; Mihăescu, M. Acoustic signature of flow instabilities in radial compressors. J. Sound Vib. 2018, 434, 221–236. [Google Scholar] [CrossRef]
- Reiber, C.; Chenaux, V.A. compressor mild surge simulation with variable nozzle models: Influence of throttle area on surge behavior and aeroelastic stability at reverse flow conditions. In Proceedings of the 13th European Conference on Turbomachinery Fluid Dynamics & Thermodynamics (ETC13), Lausanne, Switzerland, 8–12 April 2018. [Google Scholar]
- Emmons, H.C.; Pearson, C.E. Compressor Surge and Stall Propagation. Trans. ASME 1955, 77, 455–467. [Google Scholar]
- Greitzer, E.M. Surge and rotating stall in axial flow compressors. Part I: Theoretical compression system model. J. Eng. Power 1976, 98, 191–198. [Google Scholar] [CrossRef]
- Greitzer, E.M. Surge and rotating stall in axial flow compressors. Part II: Experimental results and comparison with theory. J. Eng. Power 1976, 98, 199–217. [Google Scholar] [CrossRef]
- Hansen, K.E.; Jørgensen, P.; Larsen, P.S. Experimental and Theoretical Study of Surge in a Small Centrifugal Compressor. J. Fluids Eng. 1981, 103, 391–395. [Google Scholar] [CrossRef]
- Fink, D.A.; Cumpsty, N.A. Surge dynamics in a free-spool centrifugal compressor system. J. Turbomach. 1992, 114, 321–332. [Google Scholar] [CrossRef]
- Moore, F.K.; Greitzer, E.M. A theory of post stall transient in axial compression systems. Part I: Development of equations. J. Eng. Gas Turbines Power 1986, 108, 68–76. [Google Scholar] [CrossRef]
- Moore, F.K.; Greitzer, E.M. A theory of post stall transient in axial compression systems. Part II: Application. J. Eng. Gas Turbines Power 1986, 108, 231–300. [Google Scholar] [CrossRef]
- Macdougal, I.; Elder, R.L. Simulation of centrifugal compressor transient performance for process plant applications. J. Eng. Power 1983, 105, 885–890. [Google Scholar] [CrossRef]
- Cortinovis, A.; Ferreau, H.J.; Lewandowski, D.; Mercangoz, M. Safe and Efficient Operation of Centrifugal Compressors Using Linearized MPC. In Proceedings of the 53rd IEEE Conference on Decision and Control, Los Angeles, CA, USA, 15–17 December 2014. [Google Scholar]
- Munari, E.; Morini, M.; Pinelli, M.; Spina, P.R.; Suman, A. Experimental Investigation of Stall and Surge in a Multistage Compressor. J. Eng. Gas Turbines Power 2017, 139, V009T24A018. [Google Scholar] [CrossRef]
- Grapow, F.; Liskiewicz, G. Study of the Greitzer Model for Centrifugal Compressors: Variable Lc Parameter and Two Types of Surge. Energies 2020, 13, 6072. [Google Scholar] [CrossRef]
- Meuleman, C.H.J. Measurement and Unsteady Flow Modeling of Centrifugal Compressor Surge. Ph.D. Thesis, Technische Universiteit Eindhoven, Eindhoven, The Netherlands, 2002. [Google Scholar]
- Samaan, A.A. Oscillating Flow in a Circular Pipe with Adverse Pressure Gradient. Int. J. Dyn. Fluids 2009, 5, 119–127. [Google Scholar]
- Uchida, S. The Pulsating Viscous Flow Superposed on the Steady Laminar Motion of Incompressible Fluid in a Circular Pipe. Z. Angew. Math. Phys. 1956, 7, 403–422. [Google Scholar] [CrossRef]
- Kim, H.R.; Song, S.J. Modeling of Surge Characteristics in Turbo Heat Pumps. J. Turbomach. 2011, 133, 041015-1–041015-9. [Google Scholar] [CrossRef]











| Element | Parameter | Unit | Value |
|---|---|---|---|
| System | Compressor duct length, Lc | mm | 750 |
| Throttle duct length, Lt | mm | 800 | |
| Compressor duct area, Ac | m2 | 0.05 | |
| Throttle duct area, At | m2 | 0.01657 | |
| Plenum volume, Vp | m3 | 0.358 | |
| Impeller | Number of blades | - | 16 |
| Inducer dia. at hub, d1,h | mm | 54 | |
| Inducer dia. at shroud, d1,s | mm | 155 | |
| Impeller diameter, d | mm | 270 | |
| Vaned diffuser | Inlet diameter | mm | 311 |
| Outlet diameter | mm | 439 | |
| Number of vanes | - | 14 |
| Item | Tag No. | Range | Signal | Maker |
|---|---|---|---|---|
| Suction pressure | PT1 | 0~2 barg | 4~20 mA | Fisher-Rosemount |
| Discharge pressure | PT2 | 0~2 barg | 4~20 mA | Fisher-Rosemount |
| Suction temperature | TT1 | −200~+200 ℃ | 4~20 mA | Jumo |
| Discharge temperature | TT2 | −200~+200 ℃ | 4~20 mA | Jumo |
| Gas flow | PDT1 | −70~70 mbar | 4~20 mA | Smart Rosemount (bi-directional) |
Publisher’s Note: MDPI stays neutral with regard to jurisdictional claims in published maps and institutional affiliations. |
© 2022 by the authors. Licensee MDPI, Basel, Switzerland. This article is an open access article distributed under the terms and conditions of the Creative Commons Attribution (CC BY) license (https://creativecommons.org/licenses/by/4.0/).
Share and Cite
Lee, J.; Cheon, Y.; Choi, Y. Experimental and Theoretical Study of Surge Behavior in a Boil-Off Gas Centrifugal Compressor on an LNG Carrier. Energies 2022, 15, 4002. https://doi.org/10.3390/en15114002
Lee J, Cheon Y, Choi Y. Experimental and Theoretical Study of Surge Behavior in a Boil-Off Gas Centrifugal Compressor on an LNG Carrier. Energies. 2022; 15(11):4002. https://doi.org/10.3390/en15114002
Chicago/Turabian StyleLee, Jinkwang, Yujin Cheon, and Younseok Choi. 2022. "Experimental and Theoretical Study of Surge Behavior in a Boil-Off Gas Centrifugal Compressor on an LNG Carrier" Energies 15, no. 11: 4002. https://doi.org/10.3390/en15114002
APA StyleLee, J., Cheon, Y., & Choi, Y. (2022). Experimental and Theoretical Study of Surge Behavior in a Boil-Off Gas Centrifugal Compressor on an LNG Carrier. Energies, 15(11), 4002. https://doi.org/10.3390/en15114002

