Comparative Research on Ventilation Characteristics of Scattering and Sample Room from Chinese Spallation Neutron Source
Abstract
1. Introduction
2. Physical Model, Ventilation Layout, and Meshing
2.1. Physical Model
2.2. Layout Schemes of Ventilation
2.3. Meshing
3. Mathematical Model and Solving Conditions
- The internal air flows at a low velocity with a Mach number far below 0.3 and a small density change, which were regarded as incompressible fluid and satisfy the Boussinesq assumption;
- The Reynolds number calculated reached 13,000, and the flow pattern was judged to be in a turbulent state.
3.1. Flow Control Equations
3.2. Airflow Quality and Uniformity Evaluation Index
3.2.1. Air Age
3.2.2. Non-Uniformity Coefficient of Air Distribution
3.3. Boundary Conditions
4. Results and Discussion
4.1. Initial Choice of Layout Schemes
4.2. Sensitivity of Turbulence Models
4.3. Analysis Based on the Influence of the Horizontal Position of an Outlet on Ventilation Effect
4.4. Analysis Based on the Influence of Outlet Height on Ventilation Effect
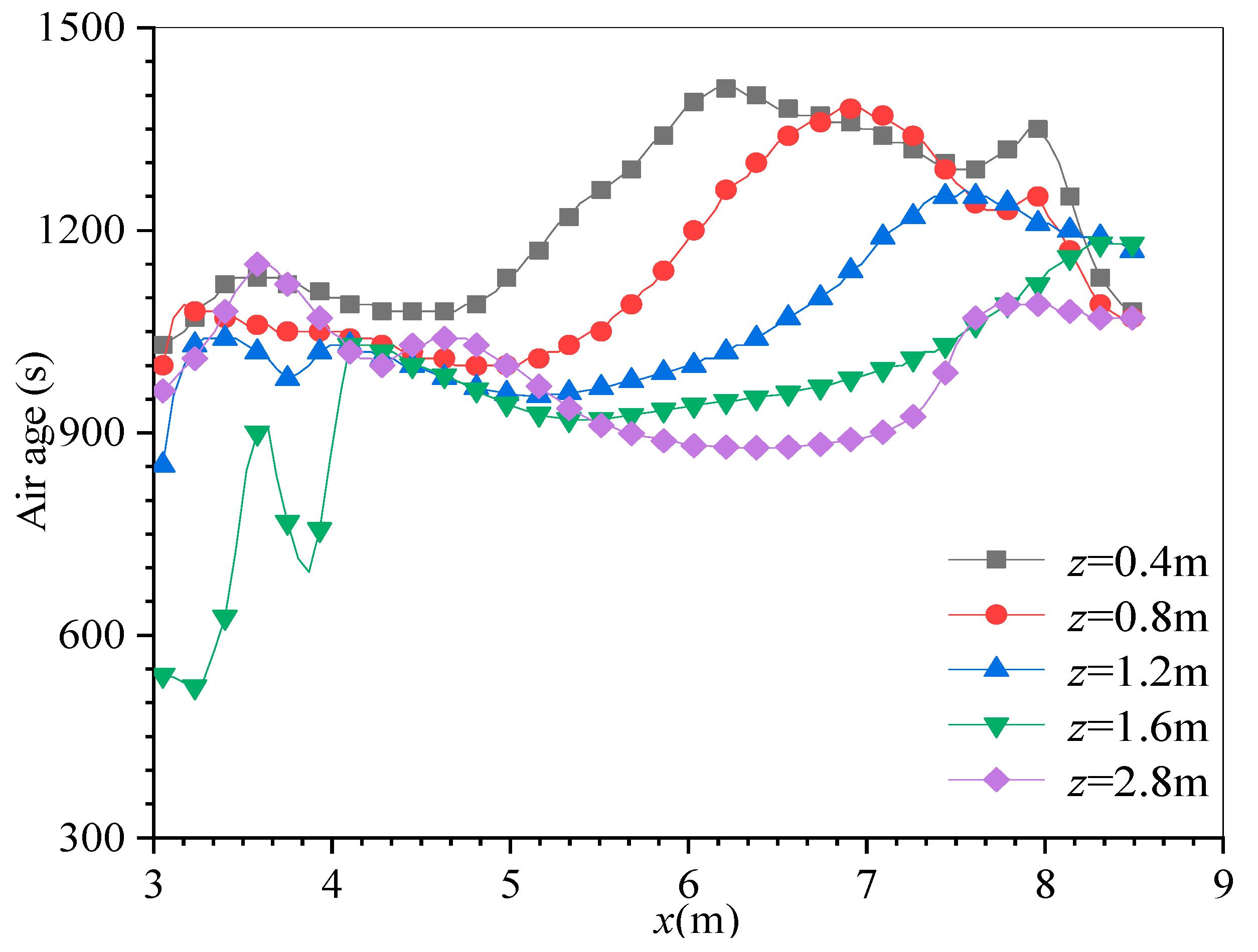
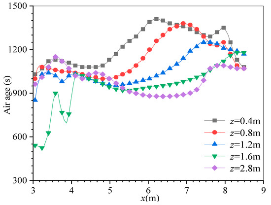
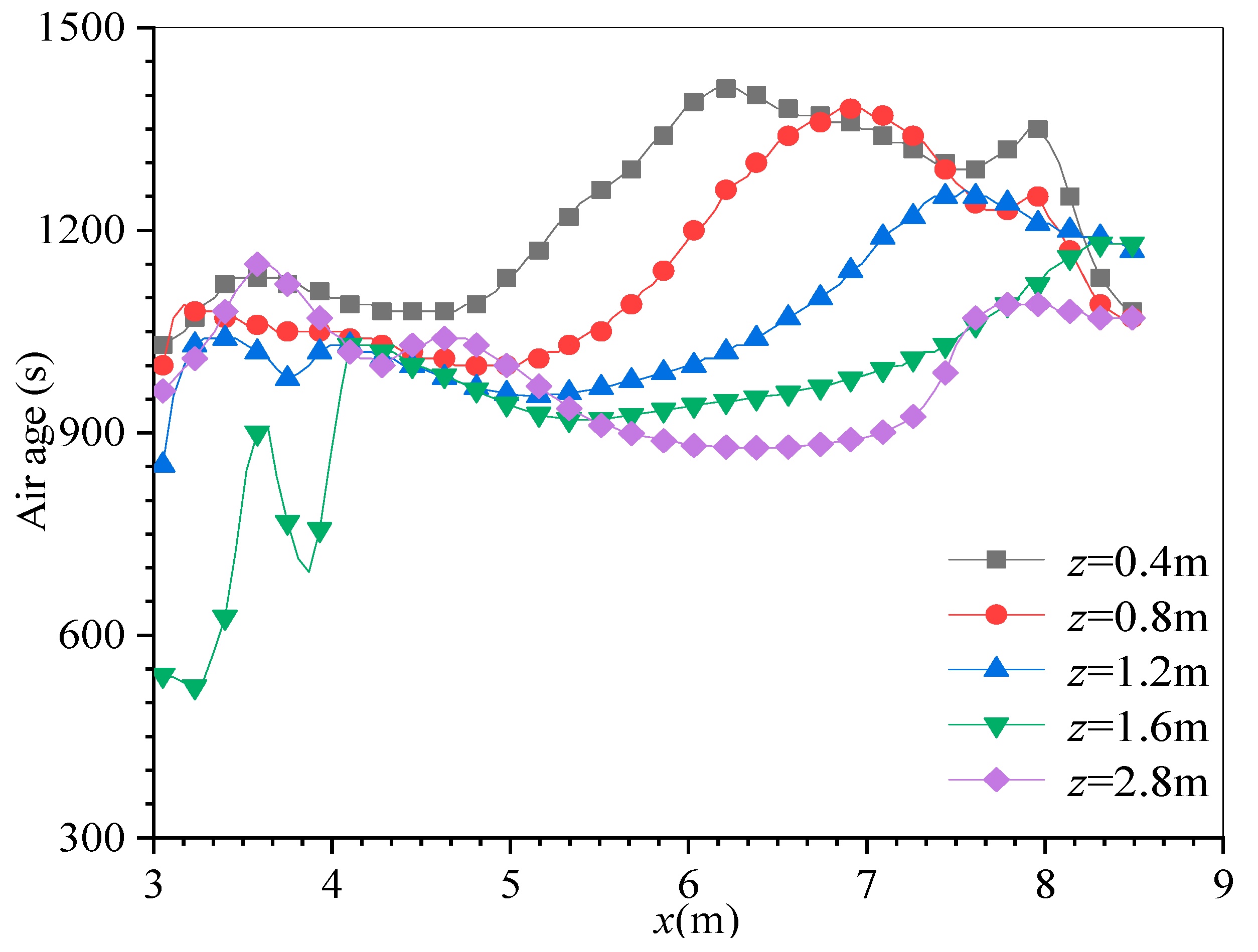
4.5. Distribution of Air Age at Different Heights
5. Conclusions
- When the outlet position 1 is arranged in the middle of the scattering chamber door and sample chamber door, outlet position 2 is set on the south wall of the scattering chamber, and outlet 3 is arranged opposite to the sample chamber door. This layout scheme (scheme 12) reduces the air age of the scattering room by 4–7% and the air age of the sample room by 9–27%, which can improve the air age uniformity of the sample room by 2~16 times and reduce the indoor air retention time. In the above study, layout 12 has the lowest air age and the best uniformity, therefore, it is suggested to adopt layout 12 to ventilate the scattering chamber and sample chamber.
- When the outlet height is 0.5 m, the air age is reduced by 2–11%. Meanwhile, the uneven coefficient is lower. Therefore, the outlet height has a significant effect on indoor airflow.
- Changing the export position has a more significant impact than changing the export height. Combining with the previous two conclusions, it can be concluded that changing the export position plays a crucial role in reducing the air age. Therefore, when researchers select the optimal solution, they should firstly determine the outlet position and then study the export height.
- When the outlet height is 0.5 m, the air age of the normal breathing height on the working path is smaller. The air age at z = 1.6 m is 10–40% lower than that at 0.4 m, which meets the minimum air age of respiratory height of radiation workers when standing.
Author Contributions
Funding
Institutional Review Board Statement
Informed Consent Statement
Data Availability Statement
Conflicts of Interest
References
- Hassan, A.; Zeeshan, M.; Bhatti, M.F. Indoor and Outdoor Microbiological Air Quality in Naturally and Mechanically Ventilated University Libraries. Atmos. Pollut. Res. 2021, 12, 101136. [Google Scholar] [CrossRef]
- Wang, W.; Shan, X.; Hussain, S.A.; Wang, C.; Ji, Y. Comparison of Multi-Control Strategies for the Control of Indoor Air Temperature and CO2 with Openmodelica Modeling. Energies 2020, 13, 4425. [Google Scholar] [CrossRef]
- Sundell, J. Reflections on the History of Indoor Air Science, Focusing on the Last 50 Years. Indoor Air 2017, 27, 708–724. [Google Scholar] [CrossRef] [PubMed]
- Hou, J.; Zhang, Y.; Sun, Y.; Wang, P.; Zhang, Q.; Kong, X.; Sundell, J. Air Change Rates at Night in Northeast Chinese Homes. Build. Environ. 2018, 132, 273–281. [Google Scholar] [CrossRef]
- Jin, Z.Y.; Wu, M.; Han, R.Q.; Zhang, X.F.; Wang, X.S.; Liu, A.M.; Zhou, J.Y.; Lu, Q.Y.; Kim, C.H.; Mu, L.; et al. Household Ventilation May Reduce Effects of Indoor Air Pollutants for Prevention of Lung Cancer: A Case-Control Study in a Chinese Population. PLoS ONE 2014, 9, e102685. [Google Scholar] [CrossRef] [PubMed]
- Rackes, A.; Waring, M.S. Modeling Impacts of Dynamic Ventilation Strategies on Indoor Air Quality of Offices in Six US Cities. Build. Environ. 2013, 60, 243–253. [Google Scholar] [CrossRef]
- Mavrogianni, A.; Mumovic, D. Onthe Use of Windcatchers in Schools: Climate Change, Occupancy Patterns, and Adaptation Strategies. Indoor Built Environ. 2010, 19, 340–354. [Google Scholar] [CrossRef]
- Sui, X.; Tian, Z.; Liu, H.; Chen, H.; Wang, D. Field Measurements on Indoor Air Quality of a Residential Building in Xi’an under Different Ventilation Modes in Winter. J. Build. Eng. 2021, 42, 103040. [Google Scholar] [CrossRef]
- Deng, X.; Tan, Z. Numerical Analysis of Local Thermal Comfort in a Plan Office under Natural Ventilation. Indoor Built Environ. 2020, 29, 972–986. [Google Scholar] [CrossRef]
- Liu, Y.; Wang, Z.; Zhang, Z.; Hong, J.; Lin, B. Investigation on the Indoor Environment Quality of Health Care Facilities in China. Build. Environ. 2018, 141, 273–287. [Google Scholar] [CrossRef]
- Yin, H.; Liu, C.; Zhang, L.; Li, A.; Ma, Z. Measurement and Evaluation of Indoor Air Quality in Naturally Ventilated Residential Buildings. Indoor Built Environ. 2019, 28, 1307–1323. [Google Scholar] [CrossRef]
- Hirose, C.; Ikegaya, N.; Hagishima, A.; Tanimoto, J. Indoor Airflow and Thermal Comfort in a Cross-Ventilated Building within an Urban-like Block Array Using Large-Eddy Simulations. Build. Environ. 2021, 196, 107811. [Google Scholar] [CrossRef]
- Rahman, N.M.A.; Haw, L.C.; Fazlizan, A. A Literature Review of Naturally Ventilated Public Hospital Wards in Tropical Climate Countries for Thermal Comfort and Energy Saving Improvements. Energies 2021, 14, 435. [Google Scholar] [CrossRef]
- Rocha, L.J.C.; Souza, H.A. Numerical Study of the Influence of Internal Heat Source in Naturally Ventilated Offices. Rev. Esc. Minas. 2016, 69, 45–51. [Google Scholar] [CrossRef][Green Version]
- Paul, T.; Sree, D.; Aglan, H. Effect of Mechanically Induced Ventilation on the Indoor Air Quality of Building Envelopes. Energy Build. 2010, 42, 326–332. [Google Scholar] [CrossRef]
- Seduikyte, L.; Stasiuliene, L.; Prasauskas, T.; Martuzevičius, D.; Černeckiene, J.; Ždankus, T.; Dobravalskis, M.; Fokaides, P. Field Measurements and Numerical Simulation for the Definition of the Thermal Stratification and Ventilation Performance in a Mechanically Ventilated Sports Hall. Energies 2019, 12, 2243. [Google Scholar] [CrossRef]
- El-Hougeiri, N.; El Fadel, M. Correlation of Indoor-Outdoor Air Quality in Urban Areas. Indoor Built Environ. 2004, 13, 421–431. [Google Scholar] [CrossRef]
- Ibrahim, I.Z.; Chong, W.T.; Yusoff, S.; Wang, C.T.; Xiang, X.; Muzammil, W.K. Evaluation of Common Indoor Air Pollutant Reduction by a Botanical Indoor Air Biofilter System. Indoor Built Environ. 2021, 30, 7–21. [Google Scholar] [CrossRef]
- Gitau, J.K.; Sundberg, C.; Mendum, R.; Mutune, J.; Njenga, M. Use of Biochar-Producing Gasifier Cookstove Improves Energy Use Efficiency and Indoor Air Quality in Rural Households. Energies 2019, 12, 4285. [Google Scholar] [CrossRef]
- Mocová, P.; Mohelníková, J. Indoor Climate Performance in a Renovated School Building. Energies 2021, 14, 2827. [Google Scholar] [CrossRef]
- Bernstein, J.A.; Alexis, N.; Bacchus, H.; Bernstein, I.L.; Fritz, P.; Horner, E.; Li, N.; Mason, S.; Nel, A.; Oullette, J.; et al. The Health Effects of Nonindustrial Indoor Air Pollution. J. Allergy Clin. Immunol. 2008, 121, 585–591. [Google Scholar] [CrossRef] [PubMed]
- Pereira, P.F.; Ramos, N.M.M. The Impact of Mechanical Ventilation Operation Strategies on Indoor CO2 Concentration and Air Exchange Rates in Residential Buildings. Indoor Built Environ. 2020, 30, 1–15. [Google Scholar] [CrossRef]
- Wang, Z.; Liu, J. Spring-Time PM2.5 Elemental Analysis and Polycyclic Aromatic Hydrocarbons Measurement in High-Rise Residential Buildings in Chongqing and Xian, China. Energy Build. 2018, 173, 623–633. [Google Scholar] [CrossRef]
- Limane, A.; Fellouah, H.; Galanis, N. Simulation of Airflow with Heat and Mass Transfer in an Indoor Swimming Pool by OpenFOAM. Int. J. Heat Mass Transf. 2017, 109, 862–878. [Google Scholar] [CrossRef]
- Bady, M.; Kato, S.; Takahashi, T.; Huang, H. Experimental investigations of the indoor natural ventilation for different building configurations and incidences. Build. Environ. 2011, 46, 65–74. [Google Scholar] [CrossRef]
- Wang, Y.H.; Yen, K.C.; Chang, H.Y.; Lai, C.M. Heat Removal and Hybrid Ventilation Characteristics of a Vertical Dry Storage Cask for Spent Nuclear Fuel. Nucl. Eng. Des. 2021, 378, 111183. [Google Scholar] [CrossRef]
- Shen, F. Shielding design of the Multi-Purpose Reflectometer Instrument of CSNS and Neutronics Study for ADS. Ph.D. Dissertation, Lanzhou University, Lanzhou, China, 2014. [Google Scholar]
- An, E.; Zhang, R.; Han, Y.; Liu, D. Numerical Simulation Mesh Independence of Multi—Phase Turbulent Combustion. Boil. Technol. 2018, 49, 54–58. [Google Scholar]
- Tao, Z.; Cheng, Z.; Zhu, J.; Hu, X.; Wang, L. Correction of Low-Reynolds Number Turbulence Model to Hydrocarbon Fuel at Supercritical Pressure. Aerosp. Sci. Technol. 2018, 77, 156–167. [Google Scholar] [CrossRef]
- Li, X.; Li, D.; Yang, X.; Yang, J. Total Air Age: An Extension of the Air Age Concept. Build. Environ. 2003, 38, 1263–1269. [Google Scholar] [CrossRef]
- Li, L.; Yang, H. Comparison of Four Kinds of Air Conditioning Systems in a Building with High and Large Space. Build. Energy Environ. 2012, 31, 60–62. [Google Scholar]
- Olesen, B.W.; Parsons, K.C. Introduction to Thermal Comfort Standards and to the Proposed New Version of EN ISO 7730. Energy Build. 2002, 34, 537–548. [Google Scholar] [CrossRef]
Layout Scheme | Outlet 1 | Outlet 2 | Outlet 3 |
---|---|---|---|
1 | (5.5, 3.665, 0.5) | (0.5, 0, 0.5) | (8.89, 1.5, 1.3) |
2 | Up ↑ | (0.5, 3.665, 0.5) | Up ↑ |
3 | Up ↑ | (0, 3.065, 0.5) | Up ↑ |
4 | Up ↑ | (0, 1.833, 0.5) | Up ↑ |
5 | Up ↑ | (0.5, 3.665, 0.5) | (8.89, 0.835, 1.3) |
6 | Up ↑ | (0.5, 0, 0.5) | Up ↑ |
7 | Up ↑ | (0, 3.065, 0.5) | Up ↑ |
8 | Up ↑ | (0, 1.833, 0.5) | Up ↑ |
9 | Up ↑ | (0.5, 3.665, 0.5) | (9.9, 0.535, 1.3) |
10 | Up ↑ | (0.5, 0, 0.5) | Up ↑ |
11 | Up ↑ | (0, 1.833, 0.5) | Up ↑ |
12 | Up ↑ | (0, 3.065, 0.5) | Up ↑ |
13 | (5.5, 3.665, 1) | (0, 3.065, 1.0) | (9.9, 0.535, 1.8) |
14 | (5.5, 3.665, 1.5) | (0, 3.065, 1.5) | (9.9, 0.535, 2.3) |
Publisher’s Note: MDPI stays neutral with regard to jurisdictional claims in published maps and institutional affiliations. |
© 2022 by the authors. Licensee MDPI, Basel, Switzerland. This article is an open access article distributed under the terms and conditions of the Creative Commons Attribution (CC BY) license (https://creativecommons.org/licenses/by/4.0/).
Share and Cite
Wei, S.; Lu, Y.; Yang, W.; Ke, Y.; Zheng, H.; Zhu, L.; Tong, J.; Mei, L.; Fu, S.; Yao, C. Comparative Research on Ventilation Characteristics of Scattering and Sample Room from Chinese Spallation Neutron Source. Energies 2022, 15, 4001. https://doi.org/10.3390/en15114001
Wei S, Lu Y, Yang W, Ke Y, Zheng H, Zhu L, Tong J, Mei L, Fu S, Yao C. Comparative Research on Ventilation Characteristics of Scattering and Sample Room from Chinese Spallation Neutron Source. Energies. 2022; 15(11):4001. https://doi.org/10.3390/en15114001
Chicago/Turabian StyleWei, Shengqiang, Yiping Lu, Wei Yang, Yubin Ke, Haibiao Zheng, Lingbo Zhu, Jianfei Tong, Longwei Mei, Shinian Fu, and Congju Yao. 2022. "Comparative Research on Ventilation Characteristics of Scattering and Sample Room from Chinese Spallation Neutron Source" Energies 15, no. 11: 4001. https://doi.org/10.3390/en15114001
APA StyleWei, S., Lu, Y., Yang, W., Ke, Y., Zheng, H., Zhu, L., Tong, J., Mei, L., Fu, S., & Yao, C. (2022). Comparative Research on Ventilation Characteristics of Scattering and Sample Room from Chinese Spallation Neutron Source. Energies, 15(11), 4001. https://doi.org/10.3390/en15114001