Influence of Flexible Generation Mode on the Stability of Hydropower Generation System: Stability Assessment of Part-Load Operation
Abstract
:1. Introduction
- The vortex rope in the draft tube as the main factor affecting unit stability is introduced into the HGS through screening the key factors affecting the stable operation during part-load conditions.
- Dynamic performance analysis of the HGS is conducted under different working conditions. The effects of hydraulic-mechanical-electromagnetic excitation interactions on the vibration performance of HGS are quantitatively evaluated.
- Key parameters affecting part-load stability and possible ways for mitigating vibration in part-load conditions are obtained to diminish the operating risk of HGS.
2. Model of Coupled Systems
2.1. Model of HTGS
2.1.1. Hydro-Turbine and Generator
2.1.2. Pipeline System
2.1.3. Speed Regulation System
2.1.4. Model of Draft Tube Vortex
2.2. Model of Shafting System
2.3. Coupled Model of HGS
2.4. Model Validation
2.4.1. Verification of the Coupling Model
2.4.2. Verification of Pressure Pulsation Characteristics
3. Stability Assessment of HGS
3.1. Dynamic Characteristic of HGS
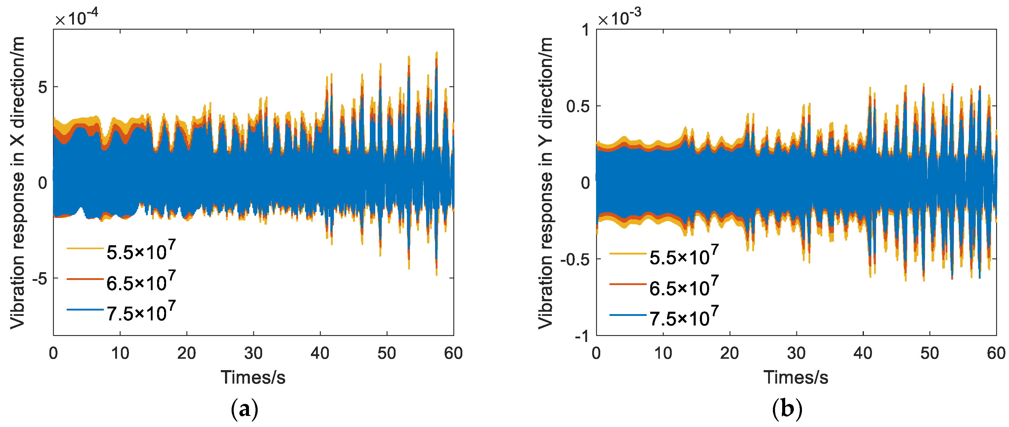
3.2. Vibration Characteristics of HGS
3.2.1. Mechanical Vibration Source
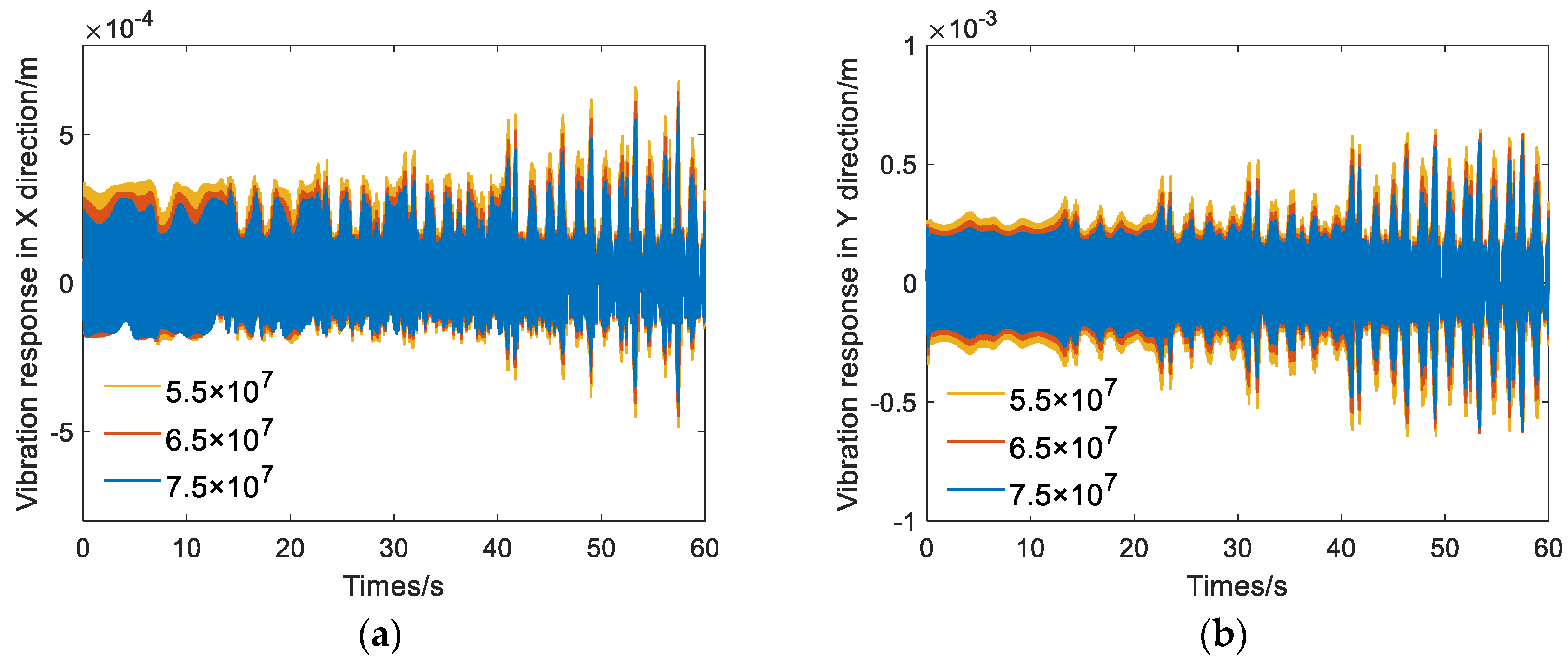
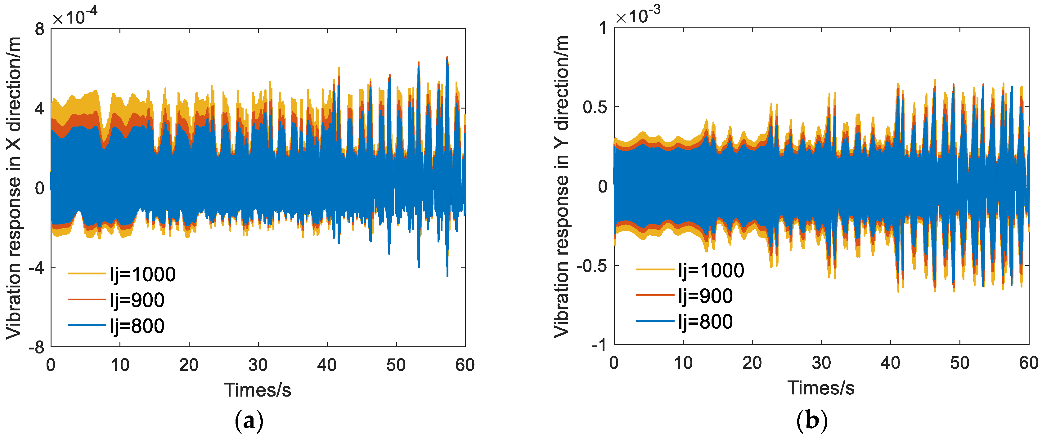
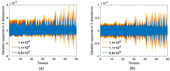
3.2.2. Electromagnetic Vibration Source
3.2.3. Hydraulic Vibration Source
4. Conclusions and Discussion
- The hydraulic vibration source has an essential effect on the stability of the HGS at part-load conditions. The pressure pulsation caused by the vortex rope in the draft tube can cause a wide range of output fluctuations of the turbine and bring other conditions that are not conducive to the stability of the HGS. The amplitude and frequency of unit vibration tend to increase with the decrease of the guide vane opening. In engineering practice, controlling the velocity distribution of the runner outlet in design and using means such as air supplementation could mitigate pressure fluctuations in a draft tube at a part-load condition.
- Among the mechanical and electromagnetic vibration sources, mass eccentricity e2 has the most obvious effect on the unit vibration. The amplitude of unit variation increases significantly with the increase of the mass eccentricity. The influence of other vibration sources on the vibration of the unit is relatively small compared with the hydraulic vibration source. The vibration of the unit at a part-load condition can be reduced to a certain extent by improving the manufacturing process, appropriately increasing the stiffness and conducting dynamic balance test on the unit in time.
- Compared with the change of a single vibration source, the vibration of HGS is more intense with the coupling action of a hydraulic-mechanical-electromagnetic vibration source. Therefore, optimization of a single vibration source is hardly effective to improve unit stability. Through a comprehensive analysis of the coupling effect with different vibration sources on unit stability, a system improvement and upgrade plan is conducted; only in this way could the operation range of the unit be extended and the flexibility of the power system be guaranteed.
Author Contributions
Funding
Data Availability Statement
Conflicts of Interest
Nomenclature
| At | Turbine gain coefficient |
| β2 | Angle of blade outlet edge, rad |
| c | Damping coefficient, N∙s/m |
| En | Self-regulation coefficient |
| e1 | Eccentricity of generator, m |
| e2 | Eccentricity of runner, m |
| Ek Ep | Kinetic energy and Potential energy, N·m |
| F | Cross-section area, m2 |
| Fx−c Fy−c | Damping force in the X and Y direction, N |
| Fx−ump Fy−ump | Unbalanced magnetic force in the X and Y direction, N |
| Fx−oil Fy−oil | Oil film forces in the X and Y direction, N |
| h | Relative deviation of flow |
| H | Water head, m |
| hw | Pipeline characteristic coefficient |
| Ij | Excitation current, A |
| J1J2 | Moment of inertia of the generator and turbine runner, kg/m2 |
| k1k2 | Stiffness of the rotor and runner, N/m |
| kp ki kd | Proportional gain, s; Integral gain Differential gain, s−1 |
| kj | Air-gap flux potential, At |
| Kx | Correction coefficient |
| L | Rotor length of the generator, m |
| m1m2 | Masses of the generator rotor and turbine runner respectively, kg |
| Mg | Electromagnetic torque, N∙m |
| mg0 | Load disturbance |
| mg | Relative deviation of the electromagnetic torque |
| MgR | Rated electromagnetic torque, N∙m |
| ∆hq | Transient changes of water head |
| y | Relative value of guide vane opening |
| Mt | Torque of the turbine, N∙m |
| mt | Relative deviation of the turbine torque |
| n | Relative deviation of rotation speed |
| N | Rotating speed of runner, rad/min |
| Pt | Relative value of output, w |
| q | Relative deviation of flow, m3/s |
| q0 | Initial value of flow, m3/s |
| qnl | Flow in no-load condition, m3/s |
| Q | Discharge of turbine, m3/s |
| r2 | Radius of blade outlet edge at exit, m |
| R | Rotor radius of the generator, m |
| ra | Radius of lower ring at midpoint, m |
| Tab | Inertia time constant, s |
| re | Shaft misalignment, m |
| Ty | Servomotor response time constant, s |
| Tr | Elastic water hammer time constant, s |
| U2 | Absolute velocity at runner exit, m3/s |
| Vma | Axial component at the midpoint, m/s |
| Vu2 | Circumferential component of absolute speed at runner exit, m/s |
| Vm2 | Axial velocity at runner exit, m/s |
| Vua | Circumferential velocity of blade outlet edge at midpoint, m/s |
| θ0 | Initial phase Angle of the shafting, rad |
| ρ | Density of water kg/m3 |
| ωR | Rated value of the unit speed, r/min |
| λ | rotation angle, rad |
| μ0 | air permeability |
| ∆q | Transient change of flow |
Appendix A
References
- International Energy Agency. Net Zero by 2050, A Roadmap for the Global Energy Sector. 2021. Available online: https://www.iea.org/events/net-zero-by-2050-a-roadmap-for-the-global-energy-system (accessed on 20 May 2022).
- Zhang, Y.; Ma, C.; Lian, J.; Pang, X.; Qiao, Y.; Chaima, E. Optimal photovoltaic capacity of large-scale hydro-photovoltaic complementary systems considering electricity delivery demand and reservoir characteristics. Energy Convers. Manag. 2019, 195, 597–608. [Google Scholar] [CrossRef]
- Hirth, L. The benefits of flexibility: The value of wind energy with hydropower. Appl. Energy 2016, 181, 210–223. [Google Scholar] [CrossRef]
- Pasche, S.; Gallaire, F.; Avellan, F. Origin of the synchronous pressure fluctuations in the draft tube of Francis turbines operating at part load conditions. J. Fluids Struct. 2019, 86, 13–33. [Google Scholar] [CrossRef]
- Pasche, S.; Avellan, F.; Gallaire, F. Part Load Vortex Rope as a Global Unstable Mode. J. Fluids Eng. Trans. ASME 2017, 139, 051102. [Google Scholar] [CrossRef]
- Pereira, J.G.; Favrel, A.; Andolfatto, L.; Landry, C.; Alligné, S.; Nicolet, C.; Avellan, F. Procedure for predicting part load resonance in Francis turbine hydropower units based on swirl number and local cavitation coefficient similitude. Mech. Syst. Signal Process. 2019, 132, 84–101. [Google Scholar] [CrossRef]
- Zhang, H.; Guo, P.; Sun, L. Transient analysis of a multi-unit pumped storage system during load rejection process. Renew. Energy 2020, 152, 34–43. [Google Scholar] [CrossRef]
- Trivedi, C. Time-dependent inception of vortex rings in a Francis turbine during load variation: Large eddy simulation and experimental validation. J. Hydraul. Res. 2020, 58, 790–806. [Google Scholar] [CrossRef]
- Zhang, L.; Wu, Q.; Ma, Z.; Wang, X. Transient vibration analysis of unit-plant structure for hydropower station in sudden load increasing process. Mech. Syst. Signal Process. 2019, 120, 486–504. [Google Scholar] [CrossRef]
- Lai, X.; Li, C.; Zhou, J.; Zhang, Y.; Li, Y. A multi-objective optimization strategy for the optimal control scheme of pumped hydropower systems under successive load rejections. Appl. Energy 2020, 261, 114474. [Google Scholar] [CrossRef]
- Riasi, A.; Tazraei, P. Numerical analysis of the hydraulic transient response in the presence of surge tanks and relief valves. Renew. Energy 2017, 107, 138–146. [Google Scholar] [CrossRef] [Green Version]
- Guo, P.; Zhang, H.; Gou, D. Dynamic characteristics of a hydro-turbine governing system considering draft tube pressure pulsation. IET Renew. Power Gener. 2020, 14, 1210–1218. [Google Scholar] [CrossRef]
- Silva, P.; Nicolet, C.; Grillot, P.; Drommi, J.-P.; Kawkabani, B. Assessment of power swings in hydropower plants through high-order modelling and eigenanalysis. In Proceedings of the XXII International Conference on Electrical Machines, Lausanne, Switzerland, 4–7 September 2016. [Google Scholar]
- Altimemy, M.; Attiya, B.; Daskiran, C.; Liu, I.H.; Oztekin, A. Mitigation of flow-induced pressure fluctuations in a Francis turbine operating at the design and partial load regimes—LES simulations. Int. J. Heat Fluid Flow 2019, 79, 108444. [Google Scholar] [CrossRef]
- Favrel, A. Dynamics of the Cavitation Precessing Vortex Rope for Francis Turbines at Part Load Operating Conditions; EPFL: Lausanne, Switzerland, 2016. [Google Scholar]
- Zhu, L.; Zhang, R.; Yu, A.; Lu, L.; Luo, X.W. Suppression of vortex rope oscillation and pressure vibrations in Francis turbine draft tube using various strategies. J. Hydrodyn. 2021, 33, 534–545. [Google Scholar] [CrossRef]
- Muhirwa, A.; Cai, W.H.; Su, W.T.; Liu, Q.; Binama, M.; Li, B.; Wu, J. A review on remedial attempts to counteract the power generation compromise from draft tubes of hydropower plants. Renew. Energy 2019, 150, 743–764. [Google Scholar] [CrossRef]
- Gavrilov, A.A.; Sentyabov, A.V.; Dekterev, A.A.; Hanjalić, K. Vortical structures and pressure pulsations in draft tube of a Francis-99 turbine at part load: RANS and hybrid RANS/LES analysis. Int. J. Heat Fluid Flow 2017, 63, 158–171. [Google Scholar] [CrossRef]
- Yu, A.; Zou, Z.; Zhou, D.; Zheng, Y.; Luo, X. Investigation of the correlation mechanism between cavitation rope behavior and pressure fluctuations in a hydraulic turbine. Renew. Energy 2020, 147, 1199–1208. [Google Scholar] [CrossRef]
- Müller, A.; Favrel, A.; Landry, C.; Avellan, F. Fluid–structure interaction mechanisms leading to dangerous power swings in Francis turbines at full load. J. Fluids Struct. 2017, 69, 56–71. [Google Scholar] [CrossRef]
- Wu, Q.; Zhang, L.; Ma, Z. Model establishment and numerical simulation of a dynamic coupled hydraulic-mechanical-electric-structural system for a hydropower station. J. Vib. Shock 2017, 87, 459–474. [Google Scholar] [CrossRef] [Green Version]
- Xu, B.; Zhang, J.; Egusquiza, M.; Chen, D.; Li, F.; Behrens, P.; Egusquiza, E. A review of dynamic models and stability analysis for a hydro-turbine governing system. Renew. Sustain. Energy Rev. 2020, 144, 110880. [Google Scholar] [CrossRef]
- IEEE Group. Hydraulic turbine and turbine control models for system dynamic studies. IEEE Trans. Power Syst. 1992, 7, 167–179. [Google Scholar] [CrossRef]
- Qu, F.; Guo, W. Robust H∞ control for hydro-turbine governing system of hydropower plant with super long headrace tunnel. Int. J. Electr. Power Energy Syst. 2021, 124, 106336. [Google Scholar] [CrossRef]
- Zhao, Z.; Chen, D.; Li, H.; Wei, H. Performance analysis of pumped-storage plant from condenser mode to generating process. J. Energy Storage 2020, 29, 101286. [Google Scholar] [CrossRef]
- Liu, G.; Chen, D.; Li, H.; Ye, J.; Zhang, H.; Liu, J.; Skjelbred, H.I.; Kong, J. Dynamical assessment of a PTGS with time delay. IET Renew. Power Gener. 2019, 13, 2594–2603. [Google Scholar] [CrossRef]
- Trivedi, C.; Gogstad, P.J.; Dahlhaug, O.G. Investigation of the Unsteady Pressure Pulsations in the Prototype Francis Turbines-Part 1: Steady State Operating Conditions. Mech. Syst. Signal Process. 2018, 108, 188–202. [Google Scholar] [CrossRef] [Green Version]
- Jonsson, P.P.; Mulu, B.G.; Cervantes, M.J. Experimental investigation of a Kaplan draft tube–Part II: Off-design conditions. Appl. Energy 2012, 94, 71–83. [Google Scholar] [CrossRef]
- Muhirwa, A.; Li, B.; Su, W.T.; Liu, Q.Z.; Binama, M.; Wu, J.; Cai, W.H. Investigation on mutual traveling influences between the draft tube and upstream components of a Francis turbine unit. Renew. Energy 2020, 162, 973–992. [Google Scholar] [CrossRef]
- Zeng, Y.; Zhang, L.; Guo, Y.; Qian, J.; Zhang, C. The generalized Hamiltonian model for the shaft transient analysis of the hydro-turbine generating units. Nonlinear Dyn. 2014, 76, 1921–1933. [Google Scholar] [CrossRef] [Green Version]
- Shi, Y.; Zhou, J.; Lai, X.; Xu, Y.; Guo, W.; Liu, B. Stability and sensitivity analysis of the bending-torsional coupled vibration with the arcuate whirl of hydro-turbine generator unit. Mech. Syst. Signal Process. 2021, 149, 107306. [Google Scholar] [CrossRef]
- Yan, D.; Zhuang, K.; Xu, B.; Chen, D.; Mei, R.; Wu, C.; Wang, X. Excitation Current Analysis of a Hydropower Station Model Considering Complex Water Diversion Pipes. J. Energy Eng. 2017, 143, 04017012. [Google Scholar] [CrossRef]
- Zhang, L.; Ma, Z.; Wu, Q.; Wang, X. Vibration analysis of coupled bending-torsional rotor-bearing system for hydraulic generating set with rub-impact under electromagnetic excitation. Arch. Appl. Mech. 2016, 86, 1665–1679. [Google Scholar] [CrossRef]
- Evestedt, F.; Perez-Loya, J.J.; Abrahamsson, C.J.D.; Lundin, U. Mitigation of Unbalanced Magnetic Pull in Synchronous Machines with Rotating Exciters. IEEE Trans. Energy Convers. 2021, 36, 812–819. [Google Scholar] [CrossRef]
- Li, J.; Chen, D.; Liu, G.; Gao, X.; Miao, K.; Li, Y.; Xu, B. Analysis of the gyroscopic effect on the hydro-turbine generator unit. Mech. Syst. Signal Process. 2019, 132, 138–152. [Google Scholar] [CrossRef]
- Yan, D.; Chen, Q.; Zheng, Y.; Liu, W. Parameter sensitivity and dynamic characteristic analysis of bulb hydro generating unit with shaft crack fault. Mech. Syst. Signal Process. 2021, 158, 107732. [Google Scholar] [CrossRef]
- Xu, B.; Chen, D.; Hao, Z.; Li, C.; Zhou, J. Shaft mis-alignment induced vibration of a hydraulic turbine generating system considering parametric uncertainties. J. Sound Vib. 2018, 435, 74–90. [Google Scholar] [CrossRef]
- Chen, S. Research on the Operating Stability of Francis Turbine. Master’s Thesis, Tianjin University, Tianjin, China, 2004. (In Chinese). Available online: https://kns.cnki.net/KCMS/detail/detail.aspx?dbname=CMFD9904&filename=2004075422.nh (accessed on 20 May 2022).













| Table | Power | Water Head | Frequency |
|---|---|---|---|
| Pt/Pt * | ΔH/H | ||
| 1 | 0.15 | 0.084 | 1.67 Hz |
| 2 | 0.32 | 0.110 | 0.93 Hz |
| 3 | 0.49 | 0.048 | 0.74 Hz |
| 4 | 0.64 | 0.046 | 0.54 Hz |
| 5 | 0.81 | 0.019 | 1.97 Hz |
| Parament | e2 | Max-Min | k2 (×107) | Max-Min | |||||
|---|---|---|---|---|---|---|---|---|---|
| Direction | H F | 0.0005 | 0.001 | 0.0015 | 7.5 | 6.5 | 5.5 | ||
| X | Yes | 6.25 | 8.64 | 11.29 | 2.65 | 5.47 | 6.06 | 6.57 | 0.59 |
| No | 2.89 | 4.13 | 5.37 | 1.24 | 2.39 | 2.89 | 3.31 | 0.5 | |
| HFD | 3.36 | 4.51 | 5.92 | 3.08 | 3.17 | 3.26 | |||
| Y | Yes | 6.17 | 8.89 | 11.53 | 2.72 | 5.73 | 6.17 | 6.42 | 0.44 |
| No | 2.32 | 3.26 | 4.3 | 1.04 | 2.08 | 2.32 | 2.63 | 0.24 | |
| HFD | 3.85 | 5.63 | 7.23 | 3.65 | 3.85 | 3.79 | |||
| m2 (×104) | Max-Min | Ij | Max-Min | ||||||
| 0.8 | 1.1 | 1.4 | 800 | 900 | 1000 | ||||
| X | Yes | 4.6 | 6.06 | 7.63 | 1.57 | 6.08 | 6.18 | 6.33 | 0.15 |
| No | 2.08 | 2.89 | 3.43 | 0.81 | 2.89 | 3.6 | 4.65 | 1.05 | |
| HFD | 2.52 | 3.17 | 4.2 | 3.19 | 2.58 | 1.68 | |||
| Y | Yes | 4.7 | 6.08 | 7.37 | 1.38 | 5.61 | 6.02 | 6.46 | 0.44 |
| No | 1.97 | 2.32 | 2.73 | 0.41 | 2.32 | 2.59 | 2.99 | 0.4 | |
| HFD | 2.73 | 3.76 | 4.64 | 3.29 | 3.43 | 3.47 | |||
Publisher’s Note: MDPI stays neutral with regard to jurisdictional claims in published maps and institutional affiliations. |
© 2022 by the authors. Licensee MDPI, Basel, Switzerland. This article is an open access article distributed under the terms and conditions of the Creative Commons Attribution (CC BY) license (https://creativecommons.org/licenses/by/4.0/).
Share and Cite
Liu, G.; Qiu, X.; Ma, J.; Chen, D.; Liang, X. Influence of Flexible Generation Mode on the Stability of Hydropower Generation System: Stability Assessment of Part-Load Operation. Energies 2022, 15, 3956. https://doi.org/10.3390/en15113956
Liu G, Qiu X, Ma J, Chen D, Liang X. Influence of Flexible Generation Mode on the Stability of Hydropower Generation System: Stability Assessment of Part-Load Operation. Energies. 2022; 15(11):3956. https://doi.org/10.3390/en15113956
Chicago/Turabian StyleLiu, Gongcheng, Xudi Qiu, Jiayi Ma, Diyi Chen, and Xiao Liang. 2022. "Influence of Flexible Generation Mode on the Stability of Hydropower Generation System: Stability Assessment of Part-Load Operation" Energies 15, no. 11: 3956. https://doi.org/10.3390/en15113956
APA StyleLiu, G., Qiu, X., Ma, J., Chen, D., & Liang, X. (2022). Influence of Flexible Generation Mode on the Stability of Hydropower Generation System: Stability Assessment of Part-Load Operation. Energies, 15(11), 3956. https://doi.org/10.3390/en15113956
