Analysis of the Influence of Parameter Condition on Whole Load Power Factor and Efficiency of Line Start Permanent Magnet Assisted Synchronous Reluctance Motor
Abstract
:1. Introduction
2. Analysis of the Principle of Power Factor Curve Valley of PMaSynRM
3. The Influence of Parameter Matching on Power Factor Curve Valley of PMaSynRM and Its Corresponding Load Rate
3.1. The Condition of Power Factor Curve Valley and the Principle of Parameter Matching
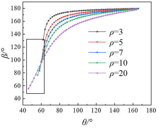
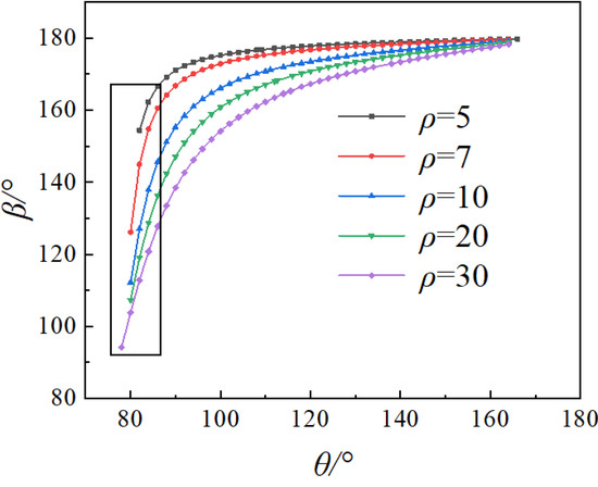
3.2. The Influence of Parameter Matching on the Load Rate of the Critical Point of Power Factor Curve Valley
3.3. Adjustment of Load Rate Corresponding to the Minimum Current Point
4. Influence of Power Factor Curve Valley of PMaSynRM on Whole Load Efficiency
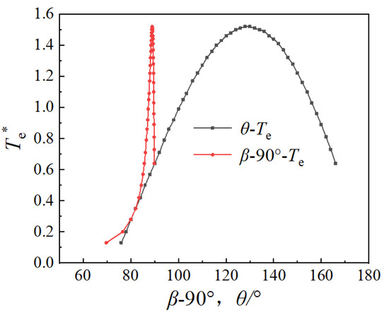
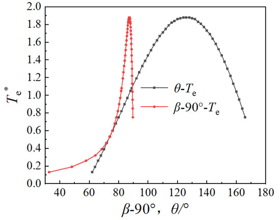
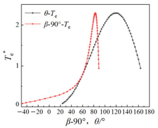
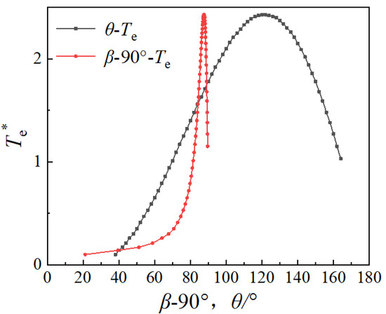
4.1. The Influence of the Power Factor Curve Valley on the Efficiency of Load Rate Point
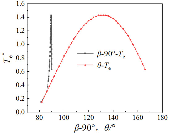
4.2. The Influence of the Corresponding Load Rate Point of Power Factor Curve Valley on Whole Load Efficiency
5. Prototype Test
6. Conclusions
- (1).
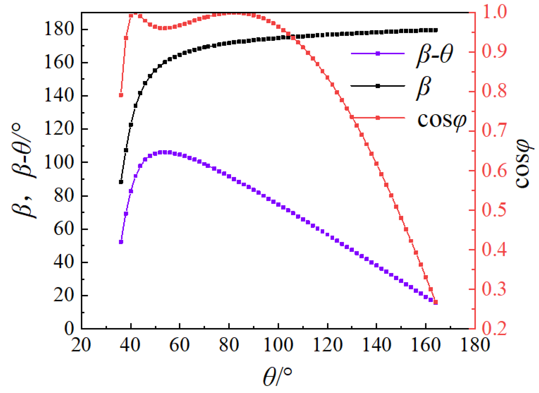
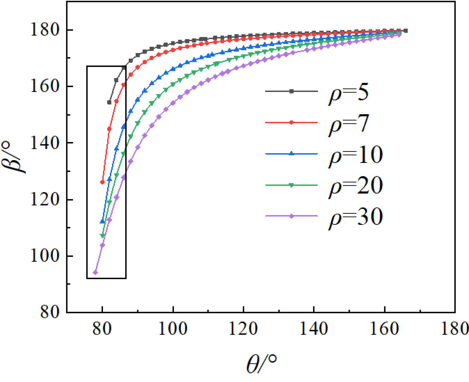
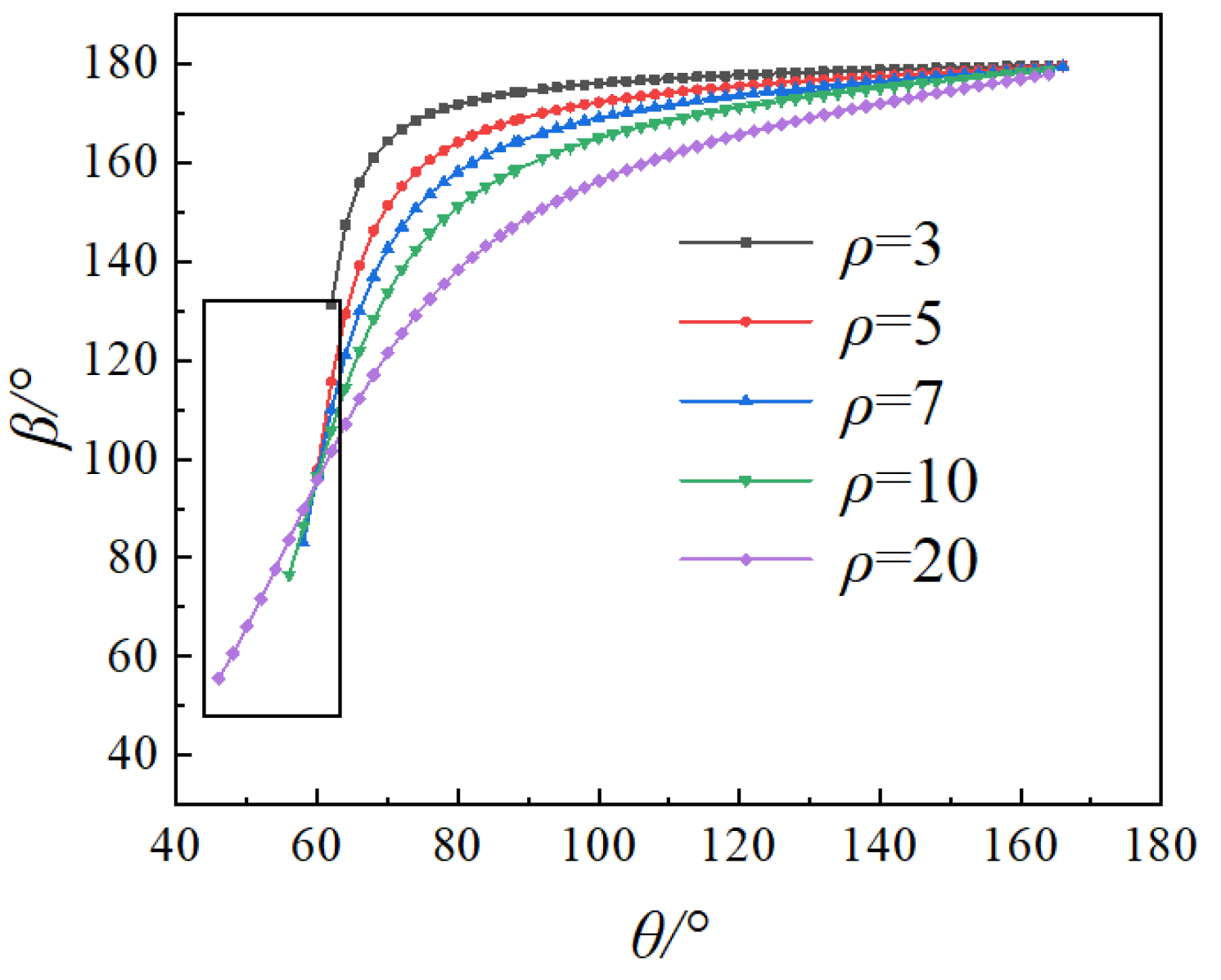
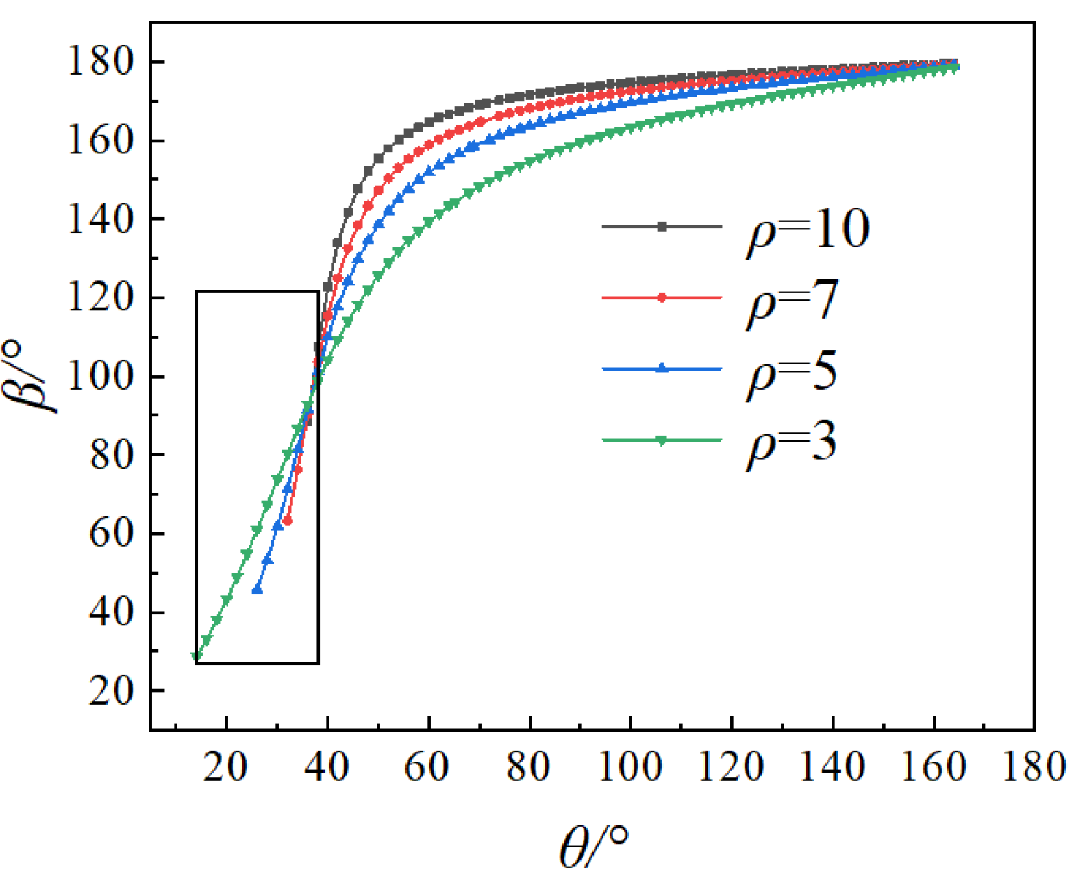
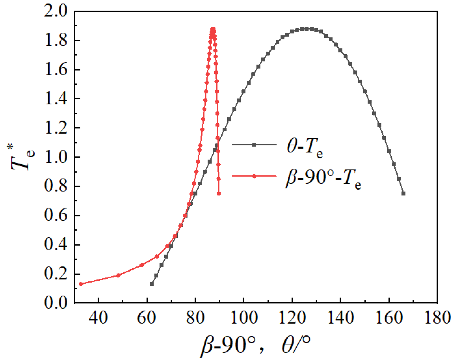
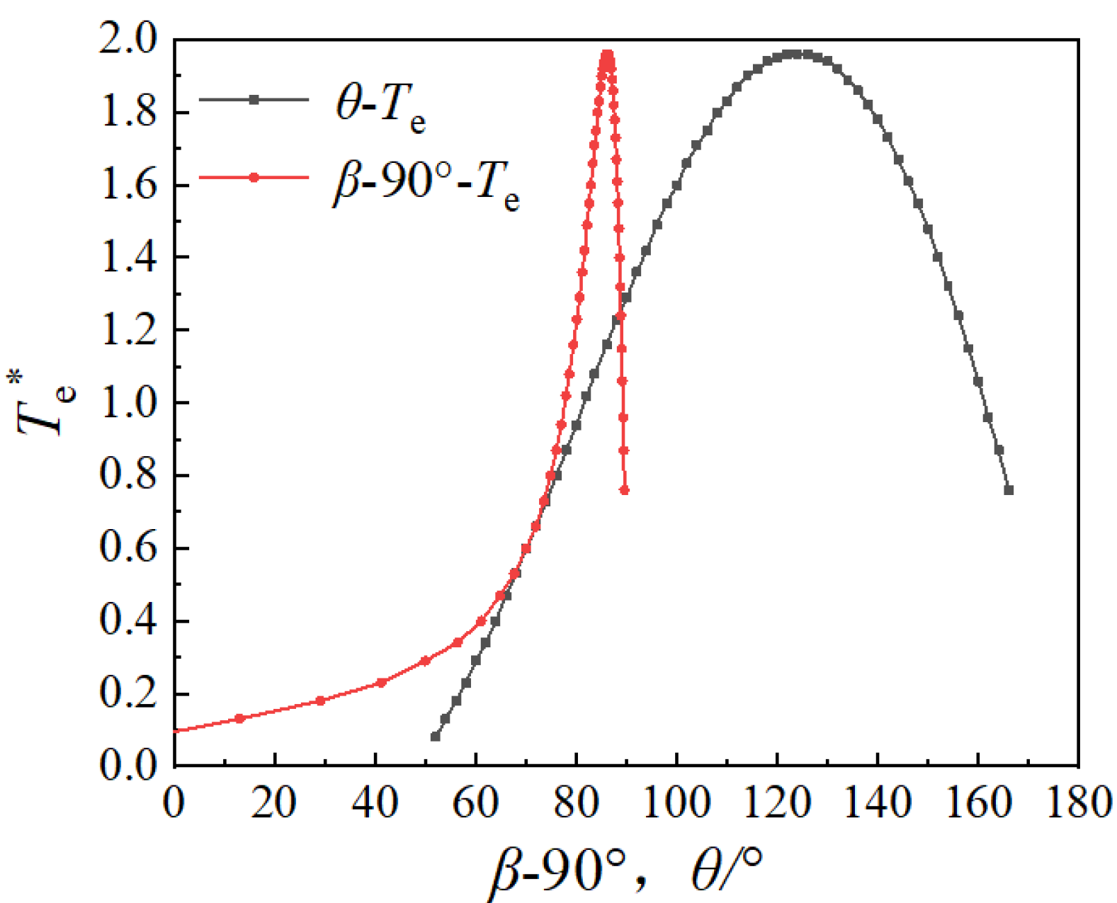
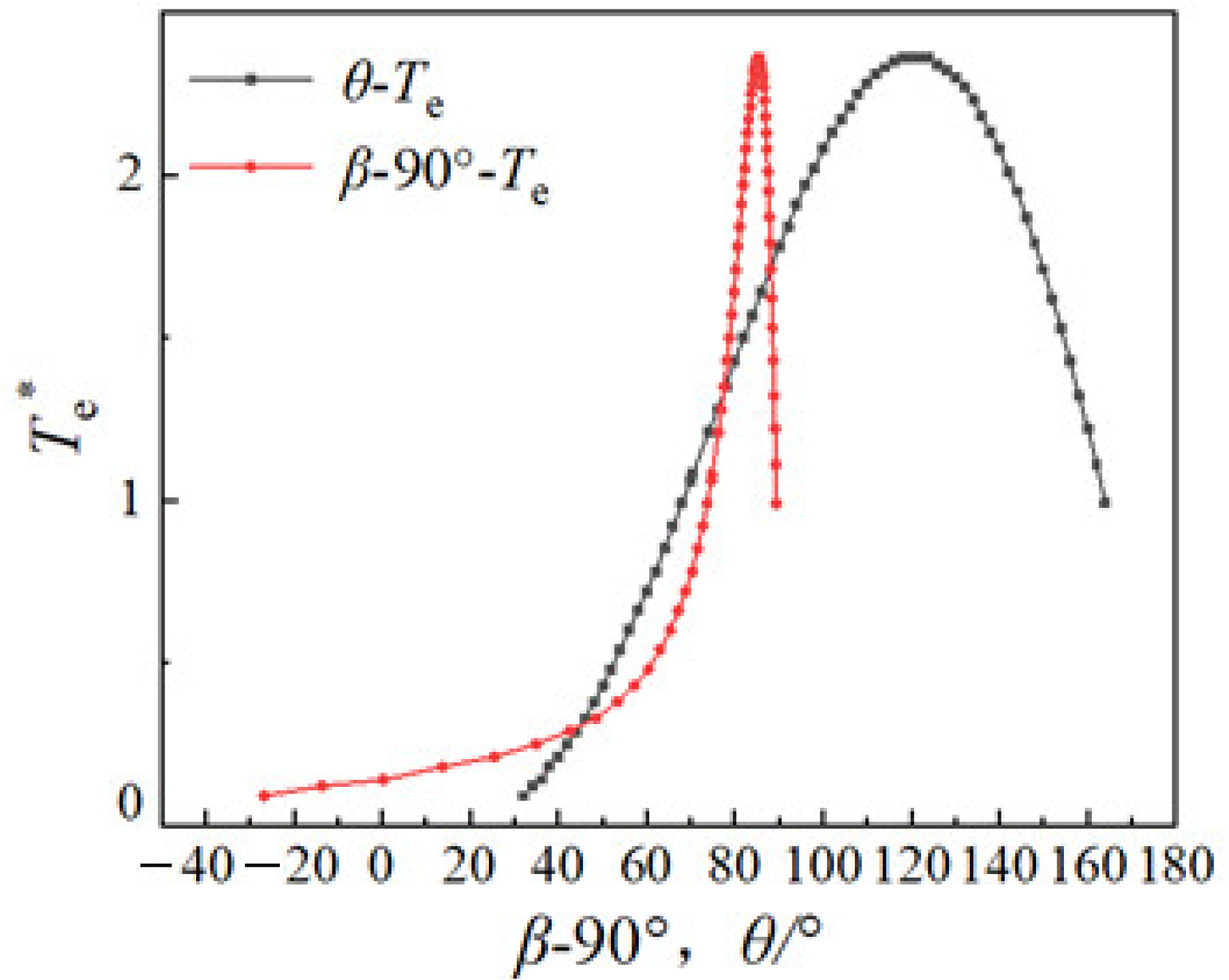
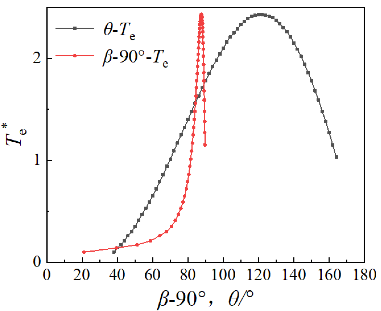
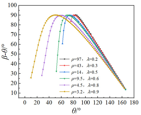
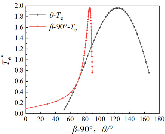
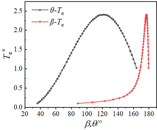
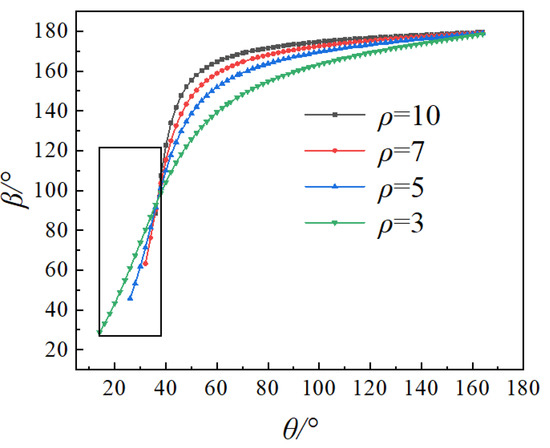
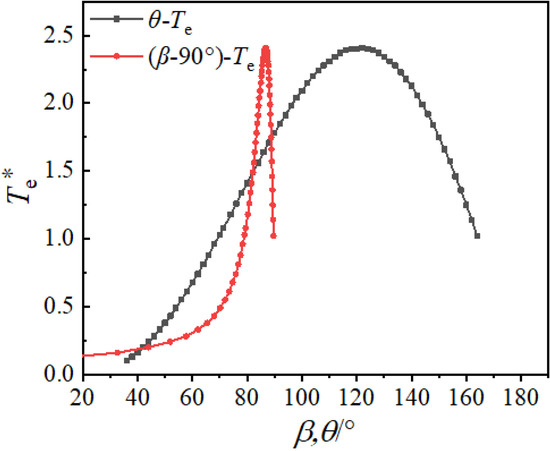
- The principle of the power factor curve valley of LSPMaSynRM is that the matching of specific motor parameters causes the torque curve to deform, and a valley is generated by two intersection points when two torque curves are in the stable operating range. The parameter matching relationship is shown in Figure 11, λ is basically a linear relationship between 0.6 and 0.9, and the required ρ value increases sharply in an interval of less than 0.5.
- (2).
- The load rate at the critical point of the power factor curve valley is basically linear to λ and increases with increasing λ.
- (3).
- A reasonable design of motor parameters can obtain the minimum current for any load. In the critical state of power factor curve valley of different parameter matching, the larger the λ, the larger the high-efficiency range and the higher the efficiency of the high load, whereas the smaller the λ, the higher the efficiency of the low load, Shengnan Wu, Zhanyang Yu and Lihui Chen.
Author Contributions
Funding
Institutional Review Board Statement
Informed Consent Statement
Data Availability Statement
Conflicts of Interest
References
- Candelo-Zuluaga, C.; Riba, J.R.; Thangamuthu, D.V.; Garcia, A. Detection of partial demagnetization faults in five-Phase permanent magnet assisted synchronous reluctance machines. Energies 2020, 13, 3496. [Google Scholar] [CrossRef]
- Bianchi, N.; Bolognani, S.; Carraro, E.; Castiello, M.; Fornasiero, E. Electric vehicle traction based on synchronous reluctance motors. IEEE Trans. Ind. Appl. 2016, 52, 4762–4769. [Google Scholar] [CrossRef]
- Du, Z.S.; Lipo, T.A. Design of an improved dual-stator ferrite magnet vernier machine to replace an industrial rare-earth IPM machine. IEEE Trans. Energy Convers. 2019, 34, 2062–2069. [Google Scholar] [CrossRef]
- Liu, H.; Kim, I.; Oh, Y.J.; Lee, J.; Go, S. Design of permanent magnet-assisted synchronous reluctance motor for maximized back-EMF and torque ripple reduction. IEEE Trans. Magn. 2017, 53, 8202604. [Google Scholar] [CrossRef]
- Jin, W.; Yan, L.; Jianguo, J.; Yongteng, J.; Jialin, Z. Analysis of the influence of back-EMF and saliency rate on steady-state characteristics of a high efficiency permanent magnet synchronous reluctance motor. Trans. China Electrotech. Soc. 2020, 35, 4688–4698. [Google Scholar]
- Lu, Y.; Li, J.; Xu, H.; Yang, K.; Sun, J. Comparative study on vibration behaviors of permanent magnet assisted synchronous reluctance machines with different rotor topologies. IEEE Trans. Ind. Appl. 2021, 57, 1420–1428. [Google Scholar] [CrossRef]
- Bozkurt, A.; Baba, A.F.; Oner, Y. Design of outer-rotor permanent-magnet-assisted synchronous reluctance motor for electric vehicles. Energies 2021, 14, 3739. [Google Scholar] [CrossRef]
- Bianchi, N.; Fornasiero, E.; Soong, W. Selection of PM flux linkage for maximum low-speed torque rating in a PM-assisted synchronous reluctance machine. IEEE Trans. Ind. Appl. 2015, 51, 3600–3608. [Google Scholar] [CrossRef]
- Liu, C.T.; Luo, T.Y.; Shih, P.C.; Yen, S.C.; Hwang, C.C. Design and construction assessments of a permanent-magnet-assisted synchronous reluctance motor. IEEE Trans. Magn. 2017, 53, 2002104. [Google Scholar] [CrossRef]
- Chai, W.; Yang, H.M.; Xing, F.; Kwon, B.I. Analysis and design of a PM-assisted wound rotor synchronous machine with reluctance torque enhancement. IEEE Trans. Ind. Appl. 2020, 68, 2887–2897. [Google Scholar] [CrossRef]
- Maroufian, S.S.; Pillay, P. Design and analysis of a novel PM-assisted synchronous reluctance machine topology with AlNiCo magnets. IEEE Trans. Ind. Appl. 2019, 55, 4733–4742. [Google Scholar] [CrossRef]
- Mohanarajah, T.; Nagrial, M.; Rizk, J.; Hellany, A. Permanent Magnet Optimization in PM Assisted Synchronous Reluctance Machines. In Proceedings of the 2018 IEEE 27th International Symposium on Industrial Electronics, Cairns, Australia, 13–15 June 2018; pp. 1347–1351. [Google Scholar]
- Huynh, T.A.; Hsieh, M.F.; Shih, K.J.; Kuo, H.F. An Investigation into the effect of PM arrangements on PMa-SynRM performance. IEEE Trans. Ind. Appl. 2018, 54, 5856–5868. [Google Scholar] [CrossRef]
- Jung, D.H.; Kwak, Y.; Lee, J. Study on the optimal design of PMa-SynRM loading rate for achievement of ultrapremium efficiency. In Proceedings of the 2016 IEEE Conference on Electromagnetic Field Computation (CEFC), Miami, FL, USA, 13–16 November 2016; pp. 1–4. [Google Scholar]
- Ali, M.; Seyyed, M.M. Design of a novel PM-assisted synchronous reluctance motor topology using V-shape permanent magnets for improvement of torque characteristic. IEEE Trans. Energy Convers. 2022, 37, 424–432. [Google Scholar]
- Zhao, W.; Chen, D.; Lipo, T.A.; Kwon, B.I. Performance improvement of ferrite-assisted synchronous reluctance machines using asymmetrical rotor configurations. IEEE Trans. Magn. 2015, 51, 8108504. [Google Scholar] [CrossRef]
- Lin, Q.; Niu, S.; Fu, W. Design and optimization of a reluctance-torque-assisted synchronous motor with high efficiency and low torque ripple. In Proceedings of the 2019 22nd International Conference on Electrical Machines and Systems, Harbin, China, 11–14 August 2019; pp. 1–4. [Google Scholar]
- Baka, S.; Sashidhar, S.; Fernandes, B.G. Design of an energy efficient line-start two-pole ferrite assisted synchronous reluctance motor for water pumps. IEEE Trans. Energy Convers. 2020, 36, 961–970. [Google Scholar] [CrossRef]





























| Parameters | Value |
|---|---|
| Power | 5.5 kW |
| Rated speed | 1500 r/min |
| Poles | 4 |
| Inner/outer diameter of stator | 210 mm/136 mm |
| Stator slots | 36 |
| Air gap | 0.5 mm |
| Core length | 145 mm |
| Phase resistance | 0.559 Ω |
| d-axis inductance | 41.1 mH |
| q-axis inductance | 127.8 mH |
| Flux linkage of the permanent magnet | 0.723 Wb |
| Leakage stator inductance | 5.54 mH |
| Rotor leakage inductances in q-axis referring to the stator side | 3.06 mH |
| Rotor leakage inductances in d-axis referring to the stator side | 3.06 mH |
| Rotor resistance in d-axis | 0.740 Ω |
| Rotor resistance in q-axis | 0.740 Ω |
| Moment of inertia | 0.05 kg·m2 |
| Maximum moment of inertia with a static load moment torque to the rated value | 3.5 kg·m2 |
| Magnet grade | N38SH |
| Electric steel grade | 35W270 |
Publisher’s Note: MDPI stays neutral with regard to jurisdictional claims in published maps and institutional affiliations. |
© 2022 by the authors. Licensee MDPI, Basel, Switzerland. This article is an open access article distributed under the terms and conditions of the Creative Commons Attribution (CC BY) license (https://creativecommons.org/licenses/by/4.0/).
Share and Cite
Wang, J.; Li, Y.; Wu, S.; Yu, Z.; Chen, L. Analysis of the Influence of Parameter Condition on Whole Load Power Factor and Efficiency of Line Start Permanent Magnet Assisted Synchronous Reluctance Motor. Energies 2022, 15, 3866. https://doi.org/10.3390/en15113866
Wang J, Li Y, Wu S, Yu Z, Chen L. Analysis of the Influence of Parameter Condition on Whole Load Power Factor and Efficiency of Line Start Permanent Magnet Assisted Synchronous Reluctance Motor. Energies. 2022; 15(11):3866. https://doi.org/10.3390/en15113866
Chicago/Turabian StyleWang, Jin, Yan Li, Shengnan Wu, Zhanyang Yu, and Lihui Chen. 2022. "Analysis of the Influence of Parameter Condition on Whole Load Power Factor and Efficiency of Line Start Permanent Magnet Assisted Synchronous Reluctance Motor" Energies 15, no. 11: 3866. https://doi.org/10.3390/en15113866
APA StyleWang, J., Li, Y., Wu, S., Yu, Z., & Chen, L. (2022). Analysis of the Influence of Parameter Condition on Whole Load Power Factor and Efficiency of Line Start Permanent Magnet Assisted Synchronous Reluctance Motor. Energies, 15(11), 3866. https://doi.org/10.3390/en15113866

