Nitrogen Atom-Doped Layered Graphene for High-Performance CO2/N2 Adsorption and Separation
Abstract
:1. Introduction
2. Model and Computing Methodology
3. Results and Discussions
3.1. Pore Topology and Morphology
3.2. Single Component Adsorption of CO2/N2
3.3. Selectivity of CO2 over N2 with Equal Molar Fraction
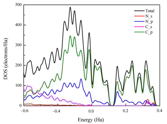
3.4. Mechanism of CO2/N2 Adsorption in N-MGNs
4. Conclusions
Author Contributions
Funding
Institutional Review Board Statement
Informed Consent Statement
Data Availability Statement
Conflicts of Interest
References
- Pérez, S.; Del Molino, E.; Barrio, V.L. Modeling and Testing of a Milli-Structured Reactor for Carbon Dioxide Methanation. Int. J. Chem. React. Eng. 2019, 17. [Google Scholar] [CrossRef]
- Yin, C.; Qiu, S.; Zhang, S.; Sher, F.; Zhang, H.; Xu, J.; Wen, L. Strength degradation mechanism of iron coke prepared by mixed coal and Fe2O3. J. Anal. Appl. Pyrolysis 2020, 150, 104897. [Google Scholar] [CrossRef]
- Zhang, Y.; Fang, Y.; Jin, B.; Zhang, Y.; Zhou, C.; Sher, F. Effect of Slot Wall Jet on Combustion Process in a 660 MW Opposed Wall Fired Pulverized Coal Boiler. Int. J. Chem. React. Eng. 2019, 17. [Google Scholar] [CrossRef]
- Cai, S.; Zhang, Y.; Wei, F.; Sher, L.; Wen, J.; Xu, J.; Dang, J.; Hu, L. A novel method for removing organic sulfur from high-sulfur coal: Migration of organic sulfur during microwave treatment with NaOH-H2O2. Fuel 2021, 289, 119800. [Google Scholar] [CrossRef]
- Samanta, A.; Zhao, A.; Shimizu, G.K.H.; Sarkar, P.; Gupta, R. Post-Combustion CO2 Capture Using Solid Sorbents: A Review. Ind. Eng. Chem. Res. 2011, 51, 1438–1463. [Google Scholar] [CrossRef]
- Yu, J.; Xie, L.-H.; Li, J.-R.; Ma, Y.; Seminario, J.M.; Balbuena, P.B. CO2 Capture and Separations Using MOFs: Computational and Experimental Studies. Chem. Rev. 2017, 117, 9674–9754. [Google Scholar] [CrossRef]
- Dutcher, B.; Fan, M.; Russell, A.G. Amine-Based CO2 Capture Technology Development from the Beginning of 2013—A Review. ACS Appl. Mater. Interfaces 2015, 7, 2137–2148. [Google Scholar] [CrossRef]
- Mumford, K.A.; Wu, Y.; Smith, K.; Stevens, G.W. Review of solvent based carbon-dioxide capture technologies. Front. Chem. Sci. Eng. 2015, 9, 125–141. [Google Scholar] [CrossRef]
- Huck, J.M.; Lin, L.-C.; Berger, A.H.; Shahrak, M.N.; Martin, R.L.; Bhown, A.S.; Haranczyk, M.; Reuter, K.; Smit, B. Evaluating different classes of porous materials for carbon capture. Energy Environ. Sci. 2014, 7, 4132–4146. [Google Scholar] [CrossRef]
- Lu, X.; Jin, D.; Wei, S.; Wang, Z.; An, C.; Guo, W. Strategies to enhance CO2 capture and separation based on engineering absorbent materials. J. Mater. Chem. A 2015, 3, 12118–12132. [Google Scholar] [CrossRef]
- Bludov, Y.V.; Peres, N.M.R.; I Vasilevskiy, M. Unusual reflection of electromagnetic radiation from a stack of graphene layers at oblique incidence. J. Opt. 2013, 15, 114004. [Google Scholar] [CrossRef] [Green Version]
- Gong, C.; Lee, G.; Shan, B.; Vogel, E.; Wallace, R.; Cho, K. First-principles study of metal–graphene interfaces. J. Appl. Phys. 2010, 108, 123711. [Google Scholar] [CrossRef]
- Ye, R.; James, D.K.; Tour, J.M. Laser-Induced Graphene: From Discovery to Translation. Adv. Mater. 2018, 31, e1803621. [Google Scholar] [CrossRef] [PubMed]
- Liu, H.; Liu, Y.; Zhu, D. Chemical doping of graphene. J. Mater. Chem. 2011, 21, 3335–3345. [Google Scholar] [CrossRef]
- To, J.W.F.; He, J.; Mei, J.; Haghpanah, R.; Chen, Z.; Kurosawa, T.; Chen, S.; Bae, W.-G.; Pan, L.; Tok, J.B.H.; et al. Hierarchical N-Doped Carbon as CO2 Adsorbent with High CO2 Selectivity from Rationally Designed Polypyrrole Precursor. J. Am. Chem. Soc. 2016, 138, 1001–1009. [Google Scholar] [CrossRef] [PubMed]
- To, J.W.F.; Chen, Z.; Yao, H.; He, J.; Kim, K.; Chou, H.-H.; Pan, L.; Wilcox, J.; Cui, Y.; Bao, Z. Ultrahigh Surface Area Three-Dimensional Porous Graphitic Carbon from Conjugated Polymeric Molecular Framework. ACS Cent. Sci. 2015, 1, 68–76. [Google Scholar] [CrossRef] [Green Version]
- Psarras, P.; He, J.; Wilcox, J. Molecular simulations of nitrogen-doped hierarchical carbon adsorbents for post-combustion CO2 capture. Phys. Chem. Chem. Phys. 2016, 18, 28747–28758. [Google Scholar] [CrossRef]
- Kumar, K.V.; Preuss, K.; Lu, L.; Guo, Z.X.; Titirici, M.M. Effect of Nitrogen Doping on the CO2 Adsorption Behavior in Nanoporous Carbon Structures: A Molecular Simulation Study. J. Phys. Chem. C 2015, 119, 22310–22321. [Google Scholar] [CrossRef]
- Zhu, X.; Tian, C.; Veith, G.M.; Abney, C.W.; Dehaudt, J.; Dai, S. In Situ Doping Strategy for the Preparation of Conjugated Triazine Frameworks Displaying Efficient CO2 Capture Performance. J. Am. Chem. Soc. 2016, 138, 11497–11500. [Google Scholar] [CrossRef]
- Frisch, M.J.; Trucks, G.W.; Schlegel, H.B.; Scuseria, G.E.; Robb, M.A.; Cheeseman, J.R.; Scalmani, G.; Barone, V.; Mennucci, B.; Petersson, G.A.; et al. 01; Gaussian, Inc.: Wallingford, CT, USA, 2009. [Google Scholar]
- Rappe, A.K.; Casewit, C.J.; Colwell, K.S.; Goddard, W.A.; Skiff, W.M. UFF, a full periodic table force field for molecular mechanics and molecular dynamics simulations. J. Am. Chem. Soc. 1992, 114, 10024–10035. [Google Scholar] [CrossRef]
- Potoff, J.J.; Siepmann, J.I. Vapor–liquid equilibria of mixtures containing alkanes, carbon dioxide, and nitrogen. AIChE J. 2001, 47, 1676–1682. [Google Scholar] [CrossRef]
- Zhou, S.; Guo, C.; Wu, Z.; Wang, M.; Wang, Z.; Wei, S.; Li, S.; Lu, X. Edge-functionalized nanoporous carbons for high adsorption capacity and selectivity of CO2 over N2. Appl. Surf. Sci. 2017, 410, 259–266. [Google Scholar] [CrossRef]
- Steele, W. Computer simulations of physical adsorption: A historical review. Appl. Surf. Sci. 2002, 196, 3–12. [Google Scholar] [CrossRef]
- Gupta, A.; Chempath, S.; Sanborn, M.J.; Clark, L.A.; Snurr, R. Object-oriented Programming Paradigms for Molecular Modeling. Mol. Simul. 2003, 29, 29–46. [Google Scholar] [CrossRef] [Green Version]
- Sarkisov, L.; Harrison, A. Computational structure characterisation tools in application to ordered and disordered porous materials. Mol. Simul. 2011, 37, 1248–1257. [Google Scholar] [CrossRef]
- Düren, T.; Millange, F.; Férey, G.; Walton, A.K.S.; Snurr, R.Q. Calculating Geometric Surface Areas as a Characterization Tool for Metal−Organic Frameworks. J. Phys. Chem. C 2007, 111, 15350–15356. [Google Scholar] [CrossRef]
- Phan, A.; Doonan, C.J.; Uribe-Romo, F.J.; Knobler, C.B.; O’Keeffe, M.; Yaghi, O.M. Synthesis, Structure, and Carbon Dioxide Capture Properties of Zeolitic Imidazolate Frameworks. Acc. Chem. Res. 2010, 43, 58–67. [Google Scholar] [CrossRef]
- Li, Y.-W.; Yan, H.; Hu, T.-L.; Ma, H.-Y.; Li, D.-C.; Wang, S.-N.; Yao, Q.-X.; Dou, J.-M.; Xu, J.; Bu, X.-H. Two microporous Fe-based MOFs with multiple active sites for selective gas adsorption. Chem. Commun. 2017, 53, 2394–2397. [Google Scholar] [CrossRef]
- Meza-Morales, P.J.; Gómez-Gualdrón, D.A.; Arrieta-Perez, R.R.; Hernández-Maldonado, A.J.; Snurr, R.Q.; Curet-Arana, M.C. CO2 adsorption-induced structural changes in coordination polymer ligands elucidated via molecular simulations and experiments. Dalton Trans. 2016, 45, 17168–17178. [Google Scholar] [CrossRef]
- Islamoglu, T.; Kim, T.; Kahveci, Z.; El-Kadri, O.M.; El-Kaderi, H.M. Systematic Postsynthetic Modification of Nanoporous Organic Frameworks for Enhanced CO2 Capture from Flue Gas and Landfill Gas. J. Phys. Chem. C 2016, 120, 2592–2599. [Google Scholar] [CrossRef]
- Kuchta, B.; Firlej, L.; Mohammadhosseini, A.; Boulet, P.; Beckner, M.; Romanos, J.; Pfeifer, P. Hypothetical High-Surface-Area Carbons with Exceptional Hydrogen Storage Capacities: Open Carbon Frameworks. J. Am. Chem. Soc. 2012, 134, 15130–15137. [Google Scholar] [CrossRef] [PubMed]
- Di Biase, E.; Sarkisov, L. Systematic development of predictive molecular models of high surface area activated carbons for adsorption applications. Carbon 2013, 64, 262–280. [Google Scholar] [CrossRef]
- Thommes, M.; Kaneko, K.; Neimark, A.V.; Olivier, J.P.; Rodriguez-Reinoso, F.; Rouquerol, J.; Sing, K.S.W. Physisorption of gases, with special reference to the evaluation of surface area and pore size distribution (IUPAC Technical Report). Pure Appl. Chem. 2015, 87, 1051–1069. [Google Scholar] [CrossRef] [Green Version]
- Ziaee, A.; Chovan, D.; Lusi, M.; Perry, J.J.; Zaworotko, M.J.; Tofail, S.A.M. Theoretical Optimization of Pore Size and Chemistry in SIFSIX-3-M Hybrid Ultramicroporous Materials. Cryst. Growth Des. 2016, 16, 3890–3897. [Google Scholar] [CrossRef]
- Lu, X.; Jin, D.; Wei, S.; Zhang, M.; Zhu, Q.; Shi, X.; Deng, Z.; Guo, W.; Shen, W. Competitive adsorption of a binary CO2-CH4 mixture in nanoporous carbons: Effects of edge-functionalization. Nanoscale 2015, 7, 1002–1012. [Google Scholar] [CrossRef]
- Zhang, Y.; Liu, C.; Hao, F.; Xiao, H.; Zhang, S.; Chen, X. CO2 adsorption and separation from natural gason phosphorene surface: Combining DFT and GCMC calculations. Appl. Surf. Sci. 2017, 397, 206–212. [Google Scholar] [CrossRef]
- Leng, X.L.Z. Investigation on CO2 Adsorption and Separation over N2 in Functionalized Metal-organic Framework. J. Liaocheng Univ. 2022, 35, 28–33. [Google Scholar]
- Li, X.; Zhu, L.; Xue, Q.; Chang, X.; Ling, C.; Xing, W. Superior Selective CO2 Adsorption of C3N Pores: GCMC and DFT Simulations. ACS Appl. Mater. Interfaces 2017, 9, 31161–31169. [Google Scholar] [CrossRef]
- Li, X.; Xue, Q.; Chang, X.; Zhu, L.; Ling, C.; Zheng, H. Effects of Sulfur Doping and Humidity on CO2 Capture by Graphite Split Pore: A Theoretical Study. ACS Appl. Mater. Interfaces 2017, 9, 8336–8343. [Google Scholar] [CrossRef]
- Liu, Y.; Wilcox, J. Effects of Surface Heterogeneity on the Adsorption of CO2 in Microporous Carbons. Environ. Sci. Technol. 2012, 46, 1940–1947. [Google Scholar] [CrossRef]
- Yang, Z.; Peng, X.; Cao, D. Carbon Dioxide Capture by PAFs and an Efficient Strategy To Fast Screen Porous Materials for Gas Separation. J. Phys. Chem. C 2013, 117, 8353–8364. [Google Scholar] [CrossRef]
- Balbuena, P.B.; Gubbins, K.E. Theoretical interpretation of adsorption behavior of simple fluids in slit pores. Langmuir 1993, 9, 1801–1814. [Google Scholar] [CrossRef]
- Bao, S.-J.; Krishna, R.; He, Y.-B.; Qin, J.-S.; Su, Z.-M.; Li, S.-L.; Xie, W.; Du, D.-Y.; He, W.-W.; Zhang, S.-R.; et al. A stable metal–organic framework with suitable pore sizes and rich uncoordinated nitrogen atoms on the internal surface of micropores for highly efficient CO2 capture. J. Mater. Chem. A 2015, 3, 7361–7367. [Google Scholar] [CrossRef] [Green Version]
- Zhou, S.; Wang, M.; Wei, S.; Cao, S.; Wang, Z.; Liu, S.; Sun, D.; Lu, X. First-row transition-metal-doped graphyne for ultrahigh-performance CO2 capture and separation over N2/CH4/H2. Mater. Today Phys. 2021, 16, 100301. [Google Scholar] [CrossRef]
- Choma, J.; Stachurska, K.; Marszewski, M.; Jaroniec, M. Equilibrium isotherms and isosteric heat for CO2 adsorption on nanoporous carbons from polymers. Adsorption 2016, 22, 581–588. [Google Scholar] [CrossRef]
- Cimino, R.T.; Kowalczyk, P.; Ravikovitch, P.I.; Neimark, A.V. Determination of Isosteric Heat of Adsorption by Quenched Solid Density Functional Theory. Langmuir 2017, 33, 1769–1779. [Google Scholar] [CrossRef]
- Liu, X.; Xiao, Z.; Xu, J.; Xu, W.; Sang, P.; Zhao, L.; Zhu, H.; Sun, D.; Guo, W. A NbO-type copper metal-organic framework decorated with carboxylate groups exhibiting highly selective CO2 adsorption and separation of organic dyes. J. Mater. Chem. A 2016, 4, 13844–13851. [Google Scholar] [CrossRef]
- Ambrose, R.J.; Hartman, R.C.; Campos, M.D.; Akkutlu, I.Y.; Sondergeld, C.H. Shale Gas-in-Place Calculations Part I: New Pore-Scale Considerations. SPE J. 2012, 17, 219–229. [Google Scholar] [CrossRef]
- Sang, P.; Zhao, L.; Xu, J.; Shi, Z.; Guo, S.; Yu, Y.; Zhu, H.; Yan, Z.; Guo, W. Excellent membranes for hydrogen purification: Dumbbell-shaped porous γ-graphynes. Int. J. Hydrogen Energy 2017, 42, 5168–5176. [Google Scholar] [CrossRef]







| Atom | Gas Molecule Models | MGNs Frameworks | ||||
|---|---|---|---|---|---|---|
| C(CO2) | O(CO2) | N(N2) | COM(N2) | C | N | |
| σ (Å) | 2.08 | 3.05 | 3.31 | 0.00 | 3.43 | 3.26 |
| ε (K) | 27.00 | 79.00 | 36.00 | 0.00 | 52.84 | 34.72 |
| q (e) | 0.748 | −0.374 | −0.482 | 0.964 | - | - |
| R | H_3.4 | H_6.8 | H_10.2 | H_13.6 | H_17.0 |
|---|---|---|---|---|---|
| VP (cm3/g) | 0.04 | 0.461 | 0.882 | 1.307 | 1.727 |
| Porosity, Φ (%) | 9.43 | 54.72 | 72.71 | 77.49 | 84.86 |
| DL (Å) | 0.95 | 3.90 | 6.94 | 10.71 | 13.68 |
| DM (Å) | 0.97 | 3.96 | 7.11 | 10.80 | 13.76 |
| Density g/cm3 | 2.372 | 1.186 | 0.791 | 0.593 | 0.474 |
| Accessible surface area (m2/g) | 2521.72 | 2521.72 | 2521.72 | 2521.72 | 2521.72 |
Publisher’s Note: MDPI stays neutral with regard to jurisdictional claims in published maps and institutional affiliations. |
© 2022 by the authors. Licensee MDPI, Basel, Switzerland. This article is an open access article distributed under the terms and conditions of the Creative Commons Attribution (CC BY) license (https://creativecommons.org/licenses/by/4.0/).
Share and Cite
Lyu, W.; Sun, L.; Wang, L.; Ji, Z.; Zhou, S.; Chen, Y.; Lu, X. Nitrogen Atom-Doped Layered Graphene for High-Performance CO2/N2 Adsorption and Separation. Energies 2022, 15, 3713. https://doi.org/10.3390/en15103713
Lyu W, Sun L, Wang L, Ji Z, Zhou S, Chen Y, Lu X. Nitrogen Atom-Doped Layered Graphene for High-Performance CO2/N2 Adsorption and Separation. Energies. 2022; 15(10):3713. https://doi.org/10.3390/en15103713
Chicago/Turabian StyleLyu, Weifeng, Linghui Sun, Lu Wang, Zemin Ji, Sainan Zhou, Yong Chen, and Xiaoqing Lu. 2022. "Nitrogen Atom-Doped Layered Graphene for High-Performance CO2/N2 Adsorption and Separation" Energies 15, no. 10: 3713. https://doi.org/10.3390/en15103713
APA StyleLyu, W., Sun, L., Wang, L., Ji, Z., Zhou, S., Chen, Y., & Lu, X. (2022). Nitrogen Atom-Doped Layered Graphene for High-Performance CO2/N2 Adsorption and Separation. Energies, 15(10), 3713. https://doi.org/10.3390/en15103713

