Enhancing PV Hosting Capacity Using Voltage Control and Employing Dynamic Line Rating
Abstract
:1. Introduction
- Instead of employing the usual practice of voltage control of PV inverters, an integrated approach of DLR and voltage control has been introduced to enhance PVHC.
- To that end, a simulation model for obtaining PVHC with varied PV generation, voltage control, and DLR on a real PV-rich distribution network is outlined, together with real system characteristics and real-time weather data. Furthermore, the obtained PVHCs under indicated enhancing strategies were compared.
- The suggested approach is utilized together with rephasing PV connections to extend the PVHC in LVDN.
- To the best of the author’s knowledge, PV re-phasing has never been utilized to improve PVHC and has never been involved in conjunction with voltage control and DLR.
- The energy capture with various PVHC boosting approaches is produced to illustrate the economic benefit of the integration of voltage control, DLR, and rephasing.
2. Methodology
2.1. Probabilistic Assessment of Voltages and Currents to Enhance PVHC
2.2. RPC and APC of PV Inverters
2.3. Parallel Operation of PV Inverters and OLTC
2.4. Time Series Evaluation (Deterministic Assessment) of DLR and VC Methods to Enhance PVHC and Energy Capture
3. Case Study
3.1. Test Cases and Scenarios
3.2. Test Network
4. Simulation Results and Discussions
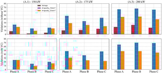
4.1. (a)—Probabilistic Assessment of Voltages and Currents
4.2. (b)—Deterministic Assessment of Voltages and Currents
5. Conclusions
- Voltage and SLR violations in LVDNs were induced by the unpredictability of PV connections and the intermittent nature of sunlight, and they were examined using a probabilistic methodology based on the Monte Carlo approach. It has been revealed that with greater PVHCs, the percentage of infractions increases, and mitigation of the aforementioned issues becomes more challenging.
- In terms of meteorological characteristics, the DRL raises the current carrying capacity of a cable over SLR at certain time instants and eliminates the risk of thermal congestion, hence indirectly giving investment advantages.
- The given simulation model could be used to examine both voltage and current in order to raise PVHC, and the various methodologies utilized in the deterministic study (i.e., OLTC, RPC, APC, and re-phasing) indicate their ability to improve PVHC.
- The usage of OLTC, RPC, and re-phasing with the DRL has successfully expanded the scope to enhance PVHC in an LVDN and according to the case study, it depicted a 60% increase in PVHC compared to the case with only voltage control.
- The energy captured in a PV system could be maximized by rephasing with the OLTC and RPC, providing households with extra-economic benefits.
- The proposed integrated voltage control and DLR technique postponed grid reinforcement and permitted a large PVHC.
Author Contributions
Funding
Institutional Review Board Statement
Informed Consent Statement
Data Availability Statement
Conflicts of Interest
Nomenclature
| ABC | Ariel Bundle Cable |
| APC | Active Power Curtailment |
| DLR | Dynamic Line Rating |
| HBE | Heat Balance Equation |
| LV | Low Voltage |
| LVDN | Low Voltage Distribution Network |
| MV | Medium Voltage |
| OLTC | On-Load Tap Changer |
| PCC | Point of Common Coupling |
| PEC | Power Electronic Converter |
| PV | Photovoltaic |
| PVHC | Photovoltaic Hosting Capacity |
| RPC | Reactive Power Compensation |
| SLR | Static Line Rating |
References
- Li, H.X.; Edwards, D.J.; Hosseini, M.R.; Costin, G.P. A Review on Renewable Energy Transition in Australia: An Updated Depiction. J. Clean. Prod. 2020, 242, 118475. [Google Scholar] [CrossRef]
- Musa, S.D.; Zhonghua, T.; Ibrahim, A.O.; Habib, M. China’s Energy Status: A Critical Look at Fossils and Renewable Options. Renew. Sustain. Energy Rev. 2018, 81, 2281–2290. [Google Scholar] [CrossRef]
- 2030 Climate & Energy Framework | Climate Action. Available online: https://ec.europa.eu/clima/policies/strategies/2030_en (accessed on 17 September 2021).
- International Renewable Energy Agency—IRENA. Future of Solar Photovoltaic; International Renewable Energy Agency: Abu Dhabi, United Arab Emirates, November 2019. [Google Scholar]
- REN21. Renewables 2020 Global Status Report; REN21 Secretariat: Paris, France, 2020. [Google Scholar]
- Wang, Y.; Zhao, T.; Ju, C.; Xu, Y.; Wang, P. Two-Level Distributed Volt/Var Control Using Aggregated PV Inverters in Distribution Networks. IEEE Trans. Power Deliv. 2020, 35, 1844–1855. [Google Scholar] [CrossRef]
- Tonkoski, R.; Turcotte, D.; El-Fouly, T.H.M. Impact of High PV Penetration on Voltage Profiles in Residential Neighborhoods. IEEE Trans. Sustain. Energy 2012, 3, 518–527. [Google Scholar] [CrossRef]
- Samadi, A.; Eriksson, R.; Söder, L.; Rawn, B.; Boemer, J. Coordinated Active Power-Dependent Voltage Regulation in Distribution Grids with PV Systems. IEEE Trans. Power Deliv. 2014, 29, 1454–1464. [Google Scholar] [CrossRef]
- Jain, A.K.; Horowitz, K.; Ding, F.; Gensollen, N.; Mather, B.; Palmintier, B. Quasi-Static Time-Series PV Hosting Capacity Methodology and Metrics. In Proceedings of the 2019 IEEE Power and Energy Society Innovative Smart Grid Technologies Conference, Gramado, Brazil, 15–18 September 2019. [Google Scholar] [CrossRef]
- Bollen, M.H.J.; Rönnberg, S.K. Hosting capacity of the power grid for renewable electricity production and new large consumption equipment. Energies 2017, 10, 1325. [Google Scholar] [CrossRef] [Green Version]
- Arshad, A.; Lehtonen, M. A Stochastic Assessment of PV Hosting Capacity Enhancement in Distribution Network Utilizing Voltage Support Techniques. IEEE Access 2019, 7, 46461–46471. [Google Scholar] [CrossRef]
- Ali, A.; Mahmoud, K.; Lehtonen, M. Maximizing Hosting Capacity of Uncertain Photovoltaics by Coordinated Management of OLTC, VAr Sources and Stochastic EVs. Int. J. Electr. Power Energy Syst. 2021, 127, 106627. [Google Scholar] [CrossRef]
- Zhang, C.; Xu, Y. Hierarchically-Coordinated Voltage/VAR Control of Distribution Networks Using PV Inverters. IEEE Trans. Smart Grid 2020, 11, 2942–2953. [Google Scholar] [CrossRef]
- Xu, Y.; Dong, Z.Y.; Zhang, R.; Hill, D.J. Multi-Timescale Coordinated Voltage / Var Control Of. IEEE Trans. Power Syst. 2017, 32, 4398–4408. [Google Scholar] [CrossRef]
- Kabir, M.N.; Mishra, Y.; Ledwich, G.; Dong, Z.Y.; Wong, K.P. Coordinated Control of Grid-Connected Photovoltaic Reactive Power and Battery Energy Storage Systems to Improve the Voltage Profile of a Residential Distribution Feeder. IEEE Trans. Ind. Inform. 2014, 10, 967–977. [Google Scholar] [CrossRef]
- IEEE 1547-2018—IEEE Standard for Interconnection and Interoperability of Distributed Energy Resources with Associated Electric Power Systems Interfaces. Available online: https://standards.ieee.org/standard/1547-2018.html (accessed on 17 September 2021).
- Common Functions for Smart Inverters, Version 2. Available online: https://www.epri.com/research/products/1023059 (accessed on 17 September 2021).
- Almeida, D.; Pasupuleti, J.; Ekanayake, J. Comparison of Reactive Power Control Techniques for Solar Pv Inverters to Mitigate Voltage Rise in Low-Voltage Grids. Electronics 2021, 10, 1569. [Google Scholar] [CrossRef]
- Hu, Y.; Liu, W.; Wang, W. A Two-Layer Volt-Var Control Method in Rural Distribution Networks Considering Utilization of Photovoltaic Power. IEEE Access 2020, 8, 118417–118425. [Google Scholar] [CrossRef]
- Anonas, S.D.S.; Orillaza, J.R.C. Solar PV Integrated Hosting Capacity Analysis with Volt-VAr Compensation. In Proceedings of the International Conference on Innovative Smart Grid Technologies ISGT Asia 2018, Singapore, 22–25 May 2018; pp. 1044–1049. [Google Scholar] [CrossRef]
- Almeida, D.; Pasupuleti, J.; Ekanayake, J.; Karunarathne, E. Mitigation of Overvoltage Due to High Penetration of Solar Photovoltaics Using Smart Inverters Volt/Var Control. Indones. J. Electr. Eng. Comput. Sci. 2020, 19, 1259–1266. [Google Scholar] [CrossRef]
- Gush, T.; Kim, C.H.; Admasie, S.; Kim, J.S.; Song, J.S. Optimal Smart Inverter Control for PV and BESS to Improve PV Hosting Capacity of Distribution Networks Using Slime Mould Algorithm. IEEE Access 2021, 9, 52164–52176. [Google Scholar] [CrossRef]
- Abad, M.S.S.; Ma, J. Photovoltaic Hosting Capacity Sensitivity to Active Distribution Network Management. IEEE Trans. Power Syst. 2021, 36, 107–117. [Google Scholar] [CrossRef]
- Faruque, R.B.; Scudder, M.F.; Ula, S. Real-World Implementation of Advanced PV Curtailment and Reactive Power Control Using Non-Smart PV Inverter: A Case Study. In Proceedings of the 2020 IEEE Power & Energy Society General Meeting, Virtual Event, 3–6 August 2020. [Google Scholar] [CrossRef]
- Zabihinia Gerdroodbari, Y.; Razzaghi, R.; Shahnia, F. Decentralized Control Strategy to Improve Fairness in Active Power Curtailment of PV Inverters in Low-Voltage Distribution Networks. IEEE Trans. Sustain. Energy 2021, 12, 2282–2292. [Google Scholar] [CrossRef]
- Liu, M.Z.; Procopiou, A.T.; Petrou, K.; Ochoa, L.F.; Langstaff, T.; Harding, J.; Theunissen, J. On the Fairness of PV Curtailment Schemes in Residential Distribution Networks. IEEE Trans. Smart Grid 2020, 11, 4502–4512. [Google Scholar] [CrossRef]
- Fatima, S.; Püvi, V.; Lehtonen, M. Review on the PV Hosting Capacity in Distribution Networks. Energies 2020, 13, 4756. [Google Scholar] [CrossRef]
- Torquato, R.; Salles, D.; Pereira, C.O.; Meira, P.C.M.; Freitas, W. A Comprehensive Assessment of PV Hosting Capacity on Low-Voltage Distribution Systems. IEEE Trans. Power Deliv. 2018, 33, 1002–1012. [Google Scholar] [CrossRef]
- Arshad, A.; Lindner, M.; Lehtonen, M. An Analysis of Photo-Voltaic Hosting Capacity in Finnish Low Voltage Distribution Networks. Energies 2017, 10, 1702. [Google Scholar] [CrossRef] [Green Version]
- Kikuchi, S.; Machida, M.; Tamura, J.; Imanaka, M.; Baba, J.; Iioka, D.; Miura, K.; Takagi, M.; Asano, H. Hosting Capacity Analysis of Many Distributed Photovoltaic Systems in Future Distribution Networks. In Proceedings of the 2017 IEEE Innovative Smart Grid Technologies—Asia: Smart Grid for Smart Community, Auckland, New Zealand, 4–7 December 2017; pp. 1–5. [Google Scholar] [CrossRef]
- Mohammadi, P.; Mehraeen, S. Challenges of PV Integration in Low-Voltage Secondary Networks. IEEE Trans. Power Deliv. 2017, 32, 525–535. [Google Scholar] [CrossRef]
- Weisshaupt, M.J.; Schlatter, B.; Korba, P.; Kaffe, E.; Kienzle, F. Evaluation of Measures to Operate Urban Low Voltage Grids Considering Future PV Expansion. IFAC Pap. 2016, 49, 336–341. [Google Scholar] [CrossRef]
- Hoke, A.; Butler, R.; Hambrick, J.; Kroposki, B. Steady-State Analysis of Maximum Photovoltaic Penetration Levels on Typical Distribution Feeders. IEEE Trans. Sustain. Energy 2013, 4, 350–357. [Google Scholar] [CrossRef]
- Mahmoudian Esfahani, M.; Yousefi, G.R. Real Time Congestion Management in Power Systems Considering Quasi-Dynamic Thermal Rating and Congestion Clearing Time. IEEE Trans. Ind. Inform. 2016, 12, 745–754. [Google Scholar] [CrossRef]
- Teh, J.; Lai, C.M. Reliability Impacts of the Dynamic Thermal Rating System on Smart Grids Considering Wireless Communications. IEEE Access 2019, 7, 41625–41635. [Google Scholar] [CrossRef]
- Xu, B.; Ulbig, A.; Andersson, G. Impacts of Dynamic Line Rating on Power Dispatch Performance and Grid Integration of Renewable Energy Sources. In Proceedings of the 2013 4th IEEE/PES Innovative Smart Grid Technologies Europe, Copenhagen, Denmark, 6–9 December 2013; pp. 4–8. [Google Scholar] [CrossRef]
- Ausen, J.; Fitzgerald, B.F.; Gust, E.A.; Lawry, D.C.; Lazar, J.P.; Oye, R.L. Dynamic Thermal Rating System Relieves Transmission Constraint. In Proceedings of the 2006 IEEE International Conference on Transmission and Distribution Construction and Live Line Maintenance, Albuquerque, NM, USA, 15–20 October 2006; pp. 1–5. [Google Scholar] [CrossRef]
- Zhan, J.; Liu, W.; Chung, C.Y. Stochastic Transmission Expansion Planning Considering Uncertain Dynamic Thermal Rating of Overhead Lines. IEEE Trans. Power Syst. 2019, 34, 432–443. [Google Scholar] [CrossRef]
- Ochoa, L.F.; Cradden, L.C.; Harrison, G.P. Demonstrating the Capacity Benefits of Dynamic Ratings in Smarter Distribution Networks. In Proceedings of the 2010 Innovative Smart Grid Technologies Conference, Gothenburg, Sweden, 11–13 October 2010; pp. 1–6. [Google Scholar] [CrossRef] [Green Version]
- Jupe, S.C.E.; Kadar, D.; Murphy, G.; Bartlett, M.G.; Jackson, K.T. Application of a Dynamic Thermal Rating System to a 132 kV Distribution Network. In Proceedings of the 2011 2nd IEEE PES International Conference and Exhibition on Innovative Smart Grid Technologies, Manchester, UK, 5–7 December 2011; pp. 1–8. [Google Scholar] [CrossRef]
- Zhu, J.; Chow, M.Y.; Zhang, F. Phase Balancing Using Mixed-Integer Programming [Distribution Feeders]. IEEE Trans. Power Syst. 1998, 13, 1487–1492. [Google Scholar]
- Soltani, S.H.; Rashidinejad, M.; Abdollahi, A. Dynamic Phase Balancing in the Smart Distribution Networks. Int. J. Electr. Power Energy Syst. 2017, 93, 374–383. [Google Scholar] [CrossRef]
- Hooshmand, R.A.; Soltani, S. Fuzzy Optimal Phase Balancing of Radial and Meshed Distribution Networks Using BF-PSO Algorithm. IEEE Trans. Power Syst. 2012, 27, 47–57. [Google Scholar] [CrossRef]
- Zhu, J.; Bilbro, G.; Chow, M.Y. Phase Balancing Using Simulated Annealing. IEEE Power Eng. Rev. 1999, 19, 56. [Google Scholar] [CrossRef] [Green Version]
- Chaminda Bandara, W.G.; Godaliyadda, G.M.R.I.; Ekanayake, M.P.B.; Ekanayake, J.B. Coordinated Photovoltaic Re-Phasing: A Novel Method to Maximize Renewable Energy Integration in Low Voltage Networks by Mitigating Network Unbalances. Appl. Energy 2020, 280, 116022. [Google Scholar] [CrossRef]
- IEEE Power and Energy Society. 738 Standard for Calculating the Current-Temperature Relationship of Bare Overhead Conductors; IEEE Std.: Piscataway, NJ, USA, 2012; ISBN 0738152706. [Google Scholar]
- JRC. Photovoltaic Geographical Information System (PVGIS)—European Commission. Available online: https://re.jrc.ec.europa.eu/pvg_tools/en/tools.html#TMY (accessed on 14 September 2021).












| (A) Probabilistic Assessment | (B) Deterministic Assessment |
|---|---|
| (A.1) 1 150 kW—with/without VC 2 | (B.1) 3 150 kW—OLTC + RPC |
| (A.2) 175 kW—with/without VC | (B.2) 200 kW—OLTC + RPC |
| (A.3) 200 kW—with/without VC | (B.3) 220 kW—OLTC + RPC |
| VC 2—voltage control | (B.4) 220 kW—OLTC + APC |
| (B.5) 240 kW—OLTC + RPC + Re-Phase |
| Case | Total PV Capacity (kW) | Voltage Limit Violations | SLR Violations/Phase | DLR Violations/Phase | PVHC Increment (%) |
|---|---|---|---|---|---|
| (B.1) OLTC + RPC | 150 | No | No | No | Base case |
| (B.2) OLTC + RPC | 200 | No | Yes/B, C | No | 33.33 |
| (B.3) OLTC + RPC | 220 | No | Yes/B | Yes/C | 46.67 |
| (B.4) OLTC + APC | 220 | No | Yes/C | No | 46.67 |
| (B.5) OLTC + RPC + Re-Phase | 240 | No | Yes/A, B, C | No | 60.00 |
Publisher’s Note: MDPI stays neutral with regard to jurisdictional claims in published maps and institutional affiliations. |
© 2021 by the authors. Licensee MDPI, Basel, Switzerland. This article is an open access article distributed under the terms and conditions of the Creative Commons Attribution (CC BY) license (https://creativecommons.org/licenses/by/4.0/).
Share and Cite
Karunarathne, E.; Wijethunge, A.; Ekanayake, J. Enhancing PV Hosting Capacity Using Voltage Control and Employing Dynamic Line Rating. Energies 2022, 15, 134. https://doi.org/10.3390/en15010134
Karunarathne E, Wijethunge A, Ekanayake J. Enhancing PV Hosting Capacity Using Voltage Control and Employing Dynamic Line Rating. Energies. 2022; 15(1):134. https://doi.org/10.3390/en15010134
Chicago/Turabian StyleKarunarathne, Eshan, Akila Wijethunge, and Janaka Ekanayake. 2022. "Enhancing PV Hosting Capacity Using Voltage Control and Employing Dynamic Line Rating" Energies 15, no. 1: 134. https://doi.org/10.3390/en15010134
APA StyleKarunarathne, E., Wijethunge, A., & Ekanayake, J. (2022). Enhancing PV Hosting Capacity Using Voltage Control and Employing Dynamic Line Rating. Energies, 15(1), 134. https://doi.org/10.3390/en15010134

