Calculation of Building Heat Losses through Slab-on-Ground Structures Based on Soil Temperature Measured In Situ
Abstract
:1. Introduction
2. Methodology
2.1. Subject of Analysis
2.2. Methodology of In Situ Research
- 1 May–30 June, when only the flooring on the ground was laid, in 17 points;
- 1 July–31 October, when the entire building envelope was completed, in 8 points.
- Profile I, located under the building at a depth of −0.05, −0.25, −0.45, −0.65, −0.85, −1.05 and −1.25 m from the foundation depth;
- Profile II, located in the area outside the building at a depth of −0.15, −0.35, −0.55, −0.75, −0.95, −1.15, −1.35, −1.55, −1.75 and −1.95 m from the ground surface.
2.3. Methodology of Numerical Analysis
- (1)
- Base model (based on the assumptions of ISO 10211 [49]): geometric model in compliance with the standard [49]; Ti = 20.0 °C; boundary conditions adopted for the month of October:
- Variant W_1: Te = 9.3 °C, average monthly temperature of a typical meteorological year TMY [52], temperature of the ground surface Tgr (0.00 m) = Te; below the ground surface, adiabatic temperature distribution (at the depth and width C);
- (2)
- Models based on the reliable model: changed model geometry—the dimension C in the geometric model was changed to the real value, i.e., 1.95 m; the temperature at a depth of 1.95 m was adopted, Ti = 20.0 °C; boundary conditions were adopted for the month of October:
- (2a)
- For Profile I:
- Variant W_2: Te measured external air temperature, ground surface temperature Tgr (0.00 m) = Te, Tgr (1.95 m) temperature measured at a depth of 1.95 m in Profile I;
- Variant W_2a: Te measured external air temperature, Tgr (0.00 m) measured ground temperature near the surface, Tgr (1.95 m) temperature measured at a depth of 1.95 m in Profile I.
- (2b)
- For Profile II:
- Variant W_3: Te measured external air temperature, ground surface temperature Tgr (0.00 m) = Te, Tgr (1.95 m) temperature measured at a depth of 1.95 m in Profile II;
- Variant W_3a: Te measured external air temperature, Tgr (0.00 m) measured ground temperature near the surface, Tgr (1.95 m) temperature measured at a depth of 1.95 m in Profile II.
3. Results and Discussion
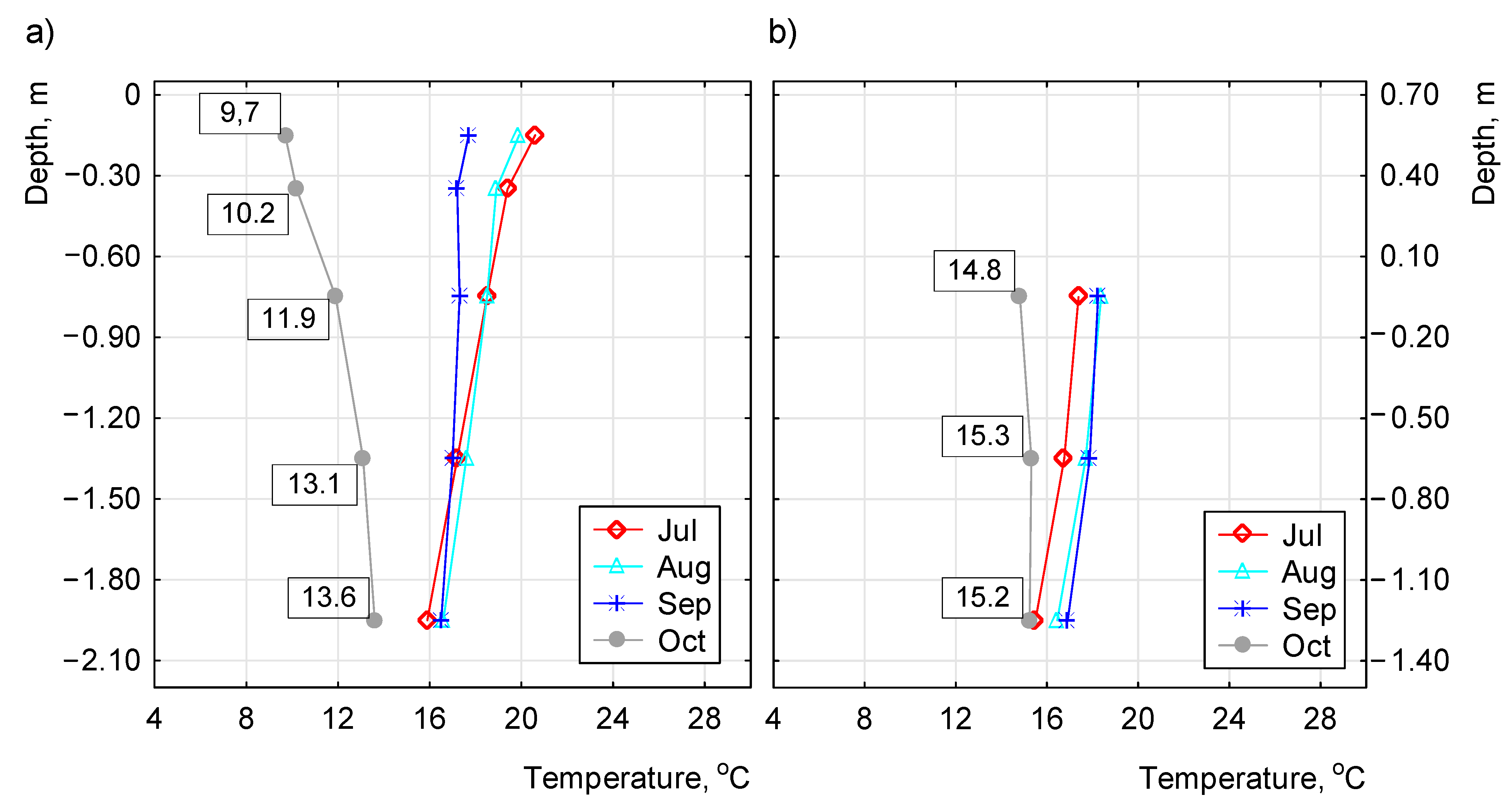
3.1. Measurement Results
- A decrease of the strength of interdependence between the variables (outside air temperature and ground temperature at a given depth) was observed with growing measurement depth. In other words, this means that the impact of outside temperature disappears with the depth (R2 from 0.760 to 0.342; a logarithmic decrease-of-fit coefficient was observed with growing depth).
- Outside air temperature exerts a smaller impact on ground temperature under the analysed building (R2 equal to about 0.080–0.364).
3.2. The Results of Numerical Analyses
4. Conclusions
- Henriksson’s calculation model confirmed that the impact of floor slab insulation in its central area on thermal transmittance is small. The insulation of the wall strip, even with a low thickness of insulation material, gives a measurable effect in the form of reduced heat flow.
- The research results presented for the representative period were used to develop the authors’ own geometric model of a slab-on-ground structure, using the measured temperatures as boundary conditions.
- As a result of using the measurements as boundary conditions, changes were obtained in the results of heat loss analyses compared to when the traditional boundary conditions based on a typical meteorological year (TMY) were adopted in the analyses. The heat flux and heat flow results obtained for reliable models are 4.9% and 6.9% higher compared to the base models for the wall–foundation system, and 10.0% and 10.1% higher for the slab-on-ground structure for Variant W_2 (Profile I). For Variant W_2a (Profile I), however, the results are higher by 2.4% and 4.0% for the wall–foundation system, and by 7.7% and 7.7% for the slab-on-ground structure. The adoption of temperatures from the area outside the building as the boundary condition (Profile II) results in higher differences between the obtained results of the numerical analyses. The difference in heat flow obtained in the numerical analyses for Profiles I and II is about 2 W/m2 for both the calculations for the wall–foundation system (Table 5) and for the slab-on-ground structure (Table 6). The adoption of temperatures for the ground outside the building leads to overestimation in heat flux calculations, which is caused by lower temperatures in the particular layers of the ground.
- The presented research results are preliminary studies, the purpose of which is to discuss the correctness of the available heat flow models involving the contact of buildings with the ground. In addition, as part of future research, it is planned to perform an analysis for an entire year and for non-stationary conditions.
Author Contributions
Funding
Institutional Review Board Statement
Informed Consent Statement
Data Availability Statement
Conflicts of Interest
References
- Directive (EU) 2018/2001 of the European Parliament and of the Council of 11 December 2018 on the Promotion of the Use of Energy from Renewable Sources, PE/48/2018/REV/1, OJ L 328. 21 December 2018. pp. 82–209. Available online: https://eur-lex.europa.eu/eli/dir/2018/2001/oj (accessed on 11 November 2021).
- Directive 2009/28/EC of the European Parliament and of the Council of 23 April 2009 on the Promotion of the Use of Energy from Renewable Sources and Amending and Subsequently Repealing Directives 2001/77/EC and 2003/ 30/EC, OJ L 140. 5 June 2009. pp. 16–62. Available online: https://eur-lex.europa.eu/legal-content/EN/ALL/?uri=CELEX%3A32009L0028 (accessed on 11 November 2021).
- Pfeiffer, A.; Koschenz, M.; Wokaun, A. Energy and building technology for the 2000W society—Potential of residential buildings in Switzerland. Energy Build. 2005, 37, 1158–1174. [Google Scholar] [CrossRef]
- Tsagarakis, K.P.; Efthymiou, L.; Michopoulos, A.; Mavragani, A.; Anđelković, A.S.; Antolini, F.; Bacic, M.; Bajare, D.; Baralis, M.; Bogusz, W.; et al. A review of the legal framework in shallow geothermal energy in selected European countries: Need for guidelines. Renew. Energy 2020, 147, 2556–2571. [Google Scholar] [CrossRef]
- Florides, G.; Kalogirou, S. Ground heat exchangers—A review of systems, models and applications. Renew. Energy 2007, 32, 2461–2478. [Google Scholar] [CrossRef]
- Măgurean, A.M.; Czumbil, L.; Manea, D.L.; Micu, D.D. Artificial intelligence based prediction model for the long-term heat flux losses through ground applied to large non-residential buildings. Proc. Manuf. 2019, 32, 434–441. [Google Scholar] [CrossRef]
- Lee, S.-M.; Park, S.-H.; Jang, Y.-S.; Kim, E.-J. Proposition of Design Capacity of Borehole Heat Exchangers for Use in the Schematic-Design Stage. Energies 2021, 14, 822. [Google Scholar] [CrossRef]
- Park, S.-H.; Jang, Y.-S.; Kim, E.-J. Using duct storage (DST) model for irregular arrangements of borehole heat exchangers. Energy 2018, 142, 851–861. [Google Scholar] [CrossRef]
- Wonorahardjo, S.; Sutjahja, I.M.; Mardiyati, Y.; Andoni, H.; Thomas, D.; Achsani, R.A.; Steven, S. Characterising thermal behaviour of buildings and its effect on urban heat island in tropical areas. Int. J. Energy Environ. Eng. 2020, 11, 129–142. [Google Scholar] [CrossRef] [Green Version]
- Andoni, H.; Wonorahardjo, S. A review on mitigation technologies for controlling urban heat island efect in housing and settlement areas. IOP Conf. Ser. Earth Environ. Sci. 2018, 152, 012027. [Google Scholar] [CrossRef] [Green Version]
- Robinson, D. Computer Modelling for Sustainable Urban Design: Physical Principles, Methods and Applications; Earthscan Publications: London, UK, 2011. [Google Scholar]
- Sola, A.; Corchero, C.; Salom, J.; Sanmarti, M. Multi-domain urban-scale energy modelling tools: A review. Sustain. Cities Soc. 2020, 54, 101872. [Google Scholar] [CrossRef]
- Mutani, G.; Todeschi, V. Building energy modeling at neighborhood scale. Energy Effic. 2020, 13, 1353–1386. [Google Scholar] [CrossRef]
- Larwa, B. Heat Transfer Model to Predict Temperature Distribution in the Ground. Energies 2019, 12, 25. [Google Scholar] [CrossRef] [Green Version]
- Piotrowska-Woroniak, J. Assessment of Ground Regeneration around Borehole Heat Exchangers between Heating Seasons in Cold Climates: A Case Study in Bialystok (NE, Poland). Energies 2021, 14, 4793. [Google Scholar] [CrossRef]
- Staniec, M.; Nowak, H. The application of energy balance at the bare soil surface to predictannual soil temperature distributio. Energy Build. 2016, 127, 56–65. [Google Scholar] [CrossRef]
- Badache, M.; Eslami-Nejad, P.; Ouzzane, M.; Aidoun, Z.; Lamarche, L. A new modeling approach for improved ground temperature profile determination. Renew. Energy 2016, 85, 436–444. [Google Scholar] [CrossRef]
- Tsilingiridis, G.; Papakostas, K. Investigating the relationship between air and ground temperaturevariations in shallow depths in northern Greece. Energy 2014, 73, 1007–1016. [Google Scholar] [CrossRef]
- Popel, C.O.; Wojtkowiak, J. Temperature distributions of ground in the urban region of Poznan City. Exp. Therm. Fluid Sci. 2013, 51, 135–148. [Google Scholar] [CrossRef]
- Zięba, Z.; Witek, K.; Kilian, W.; Mońka, J.; Swierzko, R. Influence of Micro and Nanosilica on the Frost–Heave Process. IOP Conf. Ser. Mater. Sci. Eng. 2019, 471, 042020. [Google Scholar] [CrossRef]
- Deru, M.P.; Kirkpatrick, A.T. Ground-Coupled Heat and Moisture Transfer from Buildings. In Part 1: Analysis and Modeling. Part 2: Application Conference Paper, Proceedings of ASME 2001 Solar Engineering: International Solar Energy Conference (FORUM 2001: Solar Energy—The Power to Choose), Washington, DC, USA, 21–25 April 2001; The American Solar Energy Society: Washington, DC, USA, 2001. [Google Scholar] [CrossRef]
- Van Manen, S.M.; Wallin, E. Ground temperature profiles and thermal rock properties at Wairakei, New Zealand. Renew. Energy 2012, 43, 313–321. [Google Scholar] [CrossRef]
- Popiel, C.; Wojtkowiak, J.; Biernacka, B. Measurements of temperature distribution in ground. Exp. Therm. Fluid Sci. 2001, 25, 301–309. [Google Scholar] [CrossRef]
- Le, A.T.; Wang, L.; Wang, Y.; Li, D. Measurement investigation on the feasibility of shallow geothermal energy for heating and cooling applied in agricultural greenhouses of Shouguang City: Ground temperature profiles and geothermal potential. Inf. Processing Agric. 2021, 8, 251–269. [Google Scholar] [CrossRef]
- Marschalko, M.; Yilmaz, I.; Krčmář, D.; Cheng, X.; Kubáč, J.; Kycl, P. A small-scale map analysis of the engineering-geological zone and landscape element dependencies for the land-use planning purposes in the Czech Republic. Environ. Earth Sci. 2019, 78, 29. [Google Scholar] [CrossRef]
- Naranjo-Mendozaa, C.; Wrightb, A.J.; Oyinlolab, M.A.; Greenough, R.M. A comparison of analytical and numerical model predictions of shallow soil temperature variation with experimental measurements. Geothermics 2018, 76, 38–49. [Google Scholar] [CrossRef]
- Droulia, F.; Lykoudis, S.; Tsiros, I.; Alvertos, N.; Akylas, E.; Garofalakis, I. Ground temperature estimations using simplified analytical and semi-empirical approaches. Sol. Energy 2009, 83, 211–219. [Google Scholar] [CrossRef]
- Michopoulos, A.; Papakostas, K.T.; Mavrommatis, T.; Kyriakis, N. Comparative assessment of eight models predicting the ground temperature. JP J. Heat Mass Transf. 2010, 4, 119–135. Available online: https://ktisis.cut.ac.cy/handle/10488/14927 (accessed on 11 November 2021).
- Yuan, Y.; Ji, H.; Du, Y.; Cheng, B. Semi-analytical solution forsteady-periodic heat transfer of attached underground engineeringenvelope. Build. Environ. 2008, 43, 1147–1152. [Google Scholar] [CrossRef]
- Xu, H.; Spitler, J.D. The relative importance of moisture transfer, soil freezing and snowcover on ground temperature predictions. Renew. Energy 2014, 72, 1–11. [Google Scholar] [CrossRef]
- Mihalakakou, G. On estimating soil surface temperature profiles. Energy Build. 2002, 34, 251–259. [Google Scholar] [CrossRef]
- Mihalakakou, G.; Santamouris, M.; Lewis, O.; Asimakopoulos, D. On the Application of the Energy Balance Equation to Predict Ground Temperature Profiles. Sol. Energy 1997, 60, 181–190. Available online: https://eclass.upatras.gr/modules/document/file.php/ENV235/Giouli10.pdf (accessed on 11 November 2021). [CrossRef]
- Tong, C.; Li, X.; Duanmu, L.; Wang, H. Prediction of the temperature profiles for shallow ground in cold region and cold winter hot summer region of China. Energy Build. 2021, 242, 110946. [Google Scholar] [CrossRef]
- Serageldin, A.A.; Abdelrahman, A.K.; Ali, A.H.H.; Ali, M.R.O.; Ookawara, S. Soil temperature profile for some new cities in Egypt: Experimental results and mathematical model. In Proceedings of the 14th International Conference on Sustainable Energy Technologies, Nottingham, UK, 11–14 August 2015. [Google Scholar]
- EnergyPlus. Available online: www.energyplus.net (accessed on 11 November 2021).
- DOE2. Available online: www.doe2.com (accessed on 11 November 2021).
- TRNSYS. Energy Simulation Software. Available online: sel.me.wisc.edu/trnsys/.1 (accessed on 11 November 2021).
- Styronet. What Is the Percentage of Heat Loss from the Building? Available online: Styronet.pl/procentowa-utrata-ciepla-z-budynku.html (accessed on 11 November 2021).
- Pogorzelski, J. A Heat Losses from Building via the Ground after PN-EN ISO 13370:2001. Building Research Institute—Quarterly. Work. Build. Res. Instit. [Prace Instyt. Techn. Bud.] 2002, 3, 21–43. Available online: http://yadda.icm.edu.pl/baztech/element/bwmeta1.element.baztech-article-BTB2-0011-0109 (accessed on 11 November 2021).
- ISO 13370:2017 Thermal Performance of Buildings—Heat Transfer via the Ground—Calculation Methods; International Organization for Standardization: Geneva, Switzerland, 2017.
- Borelli, D.; Cavalletti, P.; Marchitto, A.; Schenone, C. A comprehensive study devoted to determine linear thermal bridges transmittance in existing buildings. Energy Build. 2020, 224, 110136. [Google Scholar] [CrossRef]
- Pawłowski, K. Floor design in the light of new heat requirements. Izolacje 2014, 1, 26–33. [Google Scholar]
- Medved, S.; Cerne, B. A simplifird method for calculating heat losses to the ground according to the EN ISO 1370 standard. Energy Build. 2002, 34, 523–528. [Google Scholar] [CrossRef]
- Abdul-Jabbar, N.K. Heat loss from below ground basements: Validation of some available methods. Energy Convers. Manag. 1999, 40, 1963–1977. [Google Scholar]
- Kang, X.; Yan, D.; Xie, X.; An, J.; Liua, Z. Co-simulation of dynamic underground heat transfer with building energy modeling based on equivalent slab method. Energy Build. 2022, 256, 111728. [Google Scholar] [CrossRef]
- Henriksson, R. Warmeforluster Genom Golv Lagda Direct Pa Mark; Meddelande: Lund, Sweden, 1959. [Google Scholar]
- Pokorska-Silva, I.; Kadela, M.; Fedorowicz, L. A reliable numerical model for assessing the thermal behavior of a dome building. J. Build. Eng. 2020, 32, 101706. [Google Scholar] [CrossRef]
- Zięba, Z.; Witek, K.; Mońka, J. The effect of micro- and nanosilica on the soil permeability coefficient under cyclic freezing and thawing conditions. E3S Web Conf. 2018, 66, 02004. [Google Scholar] [CrossRef]
- ISO 10211:2017 Thermal Bridges in Building Construction—Heat Flows and Surface Temperatures—Detailed Calculations; International Organization for Standardization: Geneva, Switzerland, 2017.
- Pokorska-Silva, I.; Kadela, M.; Fedorowicz, L. Variations of ground temperature in shallow depths in the Silesian region. IOP Conf. Ser. Mater. Sci. Eng. 2019, 603, 1757–8981. [Google Scholar] [CrossRef]
- Windows and Daylighting. Available online: Windows.lbl.gov/therm-documentation (accessed on 11 November 2021).
- Ministry of Development Funds and Regional Policy. Available online: www.archiwum.miir.gov.pl/strony/zadania/budownictwo/charakterystyka-energetyczna-budynkow/dane-do-obliczen-energetycznych-budynkow-1/?fbclid=IwAR0dkKDgXOsETf2Bn2HzR_mCHGqh2a8cqV9f34dqiOsEIQxjCM-IGFDsv5E (accessed on 11 November 2021).
- Xu, H.; Spitler, J.D. Importance of Moisture Transport, Snow Cover and Soil Freezing to Ground Temperature Predictions. In Proceedings of the 9th Nordic Symposium on Building Physics—NSB 2011, Tampere, Finland, 29 May–2 June 2011; Volume 1, pp. 163–170. Available online: https://hvac.okstate.edu/sites/default/files/pubs/papers/2011/05-Xu_and_Spitler_2011.pdf (accessed on 11 November 2021).
- Florides, G.; Kalogirou, S. Annual Ground Temperature Measurements at Various Depths. In Proceedings of the CLIMA 2005, Lausanne, Switzerland, 9–12 October 2005; Available online: www.ktisis.cut.ac.cy/handle/10488/844 (accessed on 11 November 2021).
- Florides, G.; Kalogirou, S. Measurements of Ground Temperature at Various Depths. In Proceedings of the 3rd International Conference on Sustainable Energy Technologies, Nottingham, UK, 28–30 June 2004; Available online: https://www.semanticscholar.org/paper/Measurements-of-Ground-Temperature-at-Various-Florides-Kalogirou/3205b850d46eeaf53793f464059c8a7ac9af9661 (accessed on 11 November 2021).
- Kusuda, T.; Archenbach, P.R. Earth Temperature and Thermal Diffusivity at Selected Stations in the United States; National Bureau of Standards Report. No. 8972; U.S. Department of Commerce National Bureau of Standards: Washington, DC, USA, 1965; Volume 71, p. 1. Available online: https://nvlpubs.nist.gov/nistpubs/Legacy/RPT/nbsreport8972.pdf (accessed on 11 November 2021).











| Material | Heat Conductivity Index λ (W/m·K) |
|---|---|
| Reinforced concrete | 1.700 |
| Thermal insulation | 0.027 |
| Lightweight concrete | 0.097 |
| Sand | 2.000 |
| Monthly Average Temperature (°C) | ||||
|---|---|---|---|---|
| July | August | September | October | |
| External air | 20.6 | 19.3 | 17.1 | 8.7 |
| Model | Variant | Internal Air Temperature Ti (°C) | External Air Temperature Te (°C) | Surface Ground Temperature Tgr(0.00 m) (°C) | Ground Temperature at a Depth of 1.95 m Tgr(C)/Tgr(1.95 m) (°C) |
|---|---|---|---|---|---|
| Base model | W_1 | 20 | 9.3 °C | Te | Adiabatic |
| Reliable model | W_2 Profile I | 20 | 8.7 °C | Te | 15.2 |
| W_2a Profile I | 20 | 8.7 °C | 9.7 | 15.2 | |
| W_3 Profile II | 20 | 8.7 °C | Te | 13.6 | |
| W_3a Profile II | 20 | 8.7 °C | 9.7 | 13.6 |
| Parameter | Base Model | Reliable Model | |||
|---|---|---|---|---|---|
| Profile I | Profile II | ||||
| W_1 | W_2 | W_2a | W_3 | W_3a | |
| Heat flux (W) | 28.5 | 29.90 | 29.19 | 36.76 | 35.95 |
| Heat flow (W/m2) | 5.50 | 5.88 | 5.72 | 7.20 | 7.04 |
| Parameter | Base Model | Reliable Model | |||
|---|---|---|---|---|---|
| Profile I | Profile II | ||||
| W_1 | W_2 | W_2a | W_3 | W_3a | |
| Heat flux (W) | 20.61 | 22.68 | 22.20 | 29.03 | 28.54 |
| Heat flow (W/m2) | 5.57 | 6.13 | 6.00 | 7.84 | 7.71 |
| Parameter | Base Model | Model | |||
|---|---|---|---|---|---|
| Profile I | Profile II | ||||
| W_1 | W_2 | W_2a | W_3 | W_3a | |
| Heat flux (W) | 46.1 | 49.01 | 45.06 | 49.81 | 45.79 |
Publisher’s Note: MDPI stays neutral with regard to jurisdictional claims in published maps and institutional affiliations. |
© 2021 by the authors. Licensee MDPI, Basel, Switzerland. This article is an open access article distributed under the terms and conditions of the Creative Commons Attribution (CC BY) license (https://creativecommons.org/licenses/by/4.0/).
Share and Cite
Pokorska-Silva, I.; Kadela, M.; Orlik-Kożdoń, B.; Fedorowicz, L. Calculation of Building Heat Losses through Slab-on-Ground Structures Based on Soil Temperature Measured In Situ. Energies 2022, 15, 114. https://doi.org/10.3390/en15010114
Pokorska-Silva I, Kadela M, Orlik-Kożdoń B, Fedorowicz L. Calculation of Building Heat Losses through Slab-on-Ground Structures Based on Soil Temperature Measured In Situ. Energies. 2022; 15(1):114. https://doi.org/10.3390/en15010114
Chicago/Turabian StylePokorska-Silva, Iwona, Marta Kadela, Bożena Orlik-Kożdoń, and Lidia Fedorowicz. 2022. "Calculation of Building Heat Losses through Slab-on-Ground Structures Based on Soil Temperature Measured In Situ" Energies 15, no. 1: 114. https://doi.org/10.3390/en15010114
APA StylePokorska-Silva, I., Kadela, M., Orlik-Kożdoń, B., & Fedorowicz, L. (2022). Calculation of Building Heat Losses through Slab-on-Ground Structures Based on Soil Temperature Measured In Situ. Energies, 15(1), 114. https://doi.org/10.3390/en15010114

