Quality and Reliability-Exploitation Modeling of Power Supply Systems
Abstract
1. Introduction
2. Review of Literature in the Area of Reliability-Exploitation and Quality Analysis of Power Supply Systems
3. Reliability-Exploitation Analysis of Power Supply Systems
- RO(t)—probability function of the system occurring in full ability state SFA,
 - QST(t)—probability function of the system occurring in safety threat state SST,
 - QU(t)—probability function of the system occurring in unreliability of safety state SU,
 - λST1—transitions rate from full ability state SFA to safety threat state SST,
 - μFA1—transitions rate from safety threat state SST to full ability state SFA,
 - λST2—transitions rate from safety threat state SST to unreliability of safety state SU,
 - μFA2—transitions rate from unreliability of safety state SU to safety threat state SST,
 - λFA—transitions rate from full ability state SFA to unreliability of safety state SU.
 
4. Exploitation Process Modeling of PSSs in TTDs
- test duration—1 year:
 - reliability of main power supply:
 - reliability of the redundant power supply:
 - transition rate from safety threat state to full ability state:
 - transition rate from unreliability of safety state to safety threat state:
 - transition rate from full ability state to unreliability of safety state:
 
5. Quality Analysis of PSS in TTD
- Power supply reliability (Dpsr)—a dimension that determines that the reliability of the power system is at an appropriate level to perform a particular task.
 - Security (Dse)—a dimension that determines adequate protection of the power supply systems against external factors.
 - Availability (Dav)—a dimension that defines the possibility of using electricity on demand, at a given time and by an authorized process. This dimension is directly related to power security.
 - Appropriate amount (Daa)—a dimension that determines how much energy is adequate to complete the task, at the same time indicating that the amount is sufficient and that power surplus could reduce the quality.
 - Power quality (Dpq)—a dimension that defines the supplied power quality.
 - Responsiveness (Dres)—a dimension that determines requested energy availability and whether the supply system will meet this demand.
 - Assurance (Das)—a dimension that determines energy availability for the task.
 
- The value of each dimension (dimension coefficient) can range from 0 to 1.
 - The dimension not affecting CQoPS will have the value 1.
 - The dimension that significantly reduces CQoPS will have the value 0.
 
- m—number of dimensions, quality components (equals 7 in accordance with the number of the above-mentioned dimensions),
 - w—a variable defining the influence of a given dimension (e.g., value in the range ˂0,1>).
 
- Factors connected with the main source of supply. In this case, the source could be the power installation. This group of factors will include main power supply reliability [57], power availability (whether sufficient power is provided), and service errors. Factors connected with source of supply will influence the value of intermediate hypothesis h1.
 - Factors connected with a standby source of supply. In this case, the source could be a local power-generating unit. This group of factors will include standby power supply reliability [4,32], power availability (whether sufficient power is provided), and service errors of the local power-generating unit. Factors connected with standby power supply will influence the value of intermediate hypothesis h2.
 
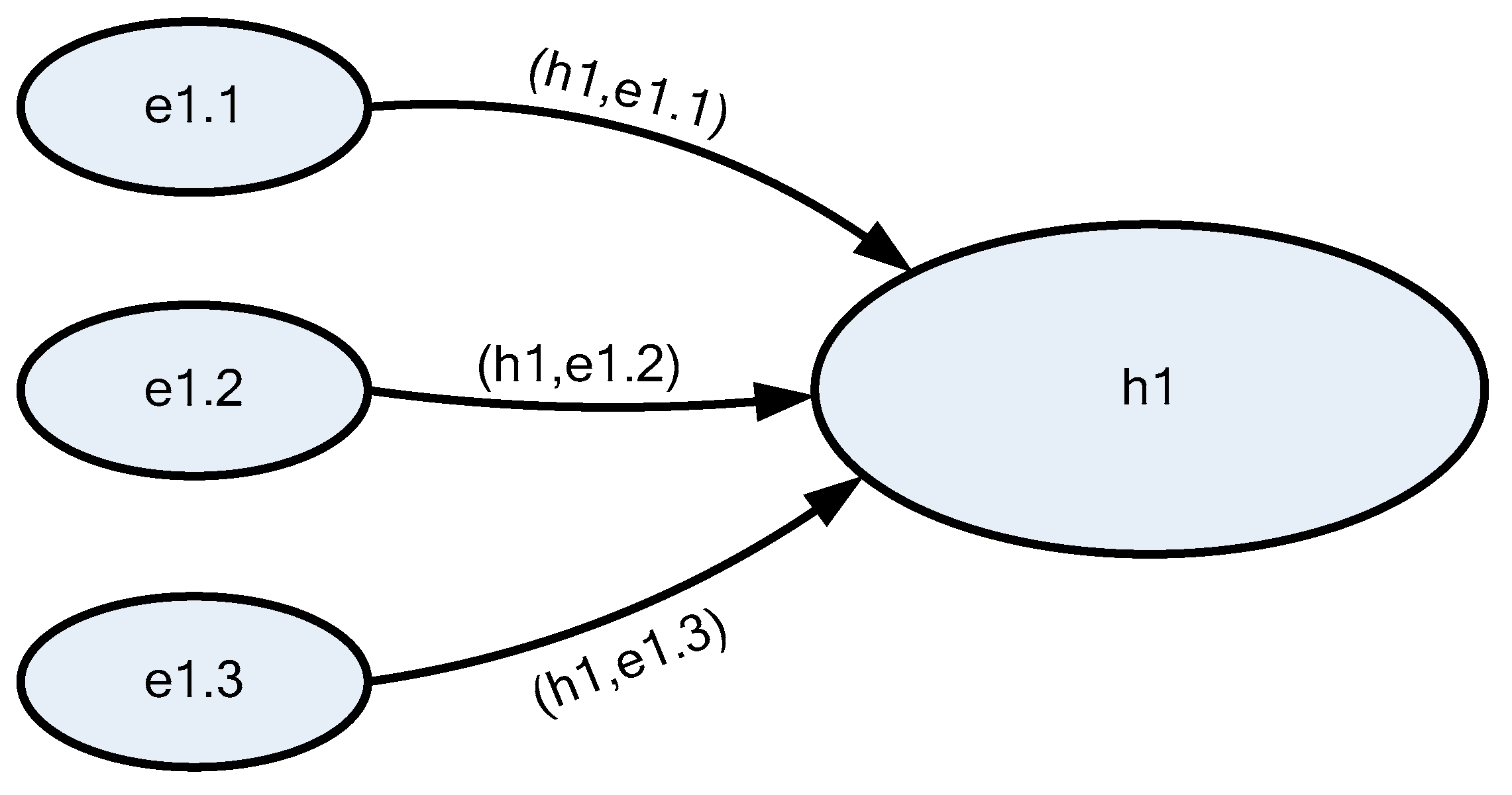
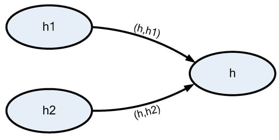
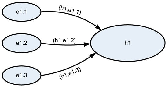
- h1—Main source of supply provides electrical power (on the basis of observation e1),
 - h2—Standby source of supply provides power (on the basis of observation e2).
 
- e1.1—main supply system functions correctly,
 - e1.2—failure of external supply system,
 - e1.3—lack of external power.
 
- e2.1—standby power supply system functions correctly,
 - e2.2—power shortage from standby source (e.g., poorly designed supply network),
 - e2.3—power shortage from standby source (e.g., poorly designed supply network).
 
6. Uncertainty Modeling
- A, B, and C—are the sources of observation which represent the subset of Θ set,
 - m1im2—sets of masses,
 - m3—a new set of mass.
 
7. Applying Mathematical Evidence in Evaluating CQoPS Modeling
8. CQoPS Simulation and its Results
9. Conclusions
Author Contributions
Funding
Institutional Review Board Statement
Informed Consent Statement
Data Availability Statement
Conflicts of Interest
References
- Heras-Molina, J.; Gomez, J.; Vassallo, J.M. Drivers’ adoption of electronic payment in the Spanish toll road network. Transportation 2019, 46, 931–955. [Google Scholar] [CrossRef]
 - Jacyna, M.; Żak, J.; Gołębiowski, P. The EMITRANSYS model and the possibilities of its application for the analysis of the development of sustainable transport systems. Combust. Engines 2019, 179, 243–248. [Google Scholar] [CrossRef]
 - Jin, T. Reliability Engineering and Service; John Wiley & Sons: Hoboken, NJ, USA, 2019. [Google Scholar]
 - Verma, A.K.; Ajit, A.; Karanki, D.R. Reliability and Safety Engineering; Springer: London, UK, 2010. [Google Scholar]
 - De Almeida, A.T.; Cavalcante, C.A.V.; Alencar, M.H.; Ferreira, R.J.P.; De Almeida-Filho, A.T.; Garcez, T.V. Multicriteria and Multiobjective Models for Risk, Reliability and Maintenance Decision Analysis; Springer International Publishing: Cham, Switzerland, 2015. [Google Scholar]
 - Duffuaa, S.; Raouf, A. Planning and Control of Maintenance Systems. Modeling and Analysis; Springer International Publishing: Cham, Switzerland, 2015. [Google Scholar]
 - Grabski, F. Semi-Markov Processes: Applications in System Reliability and Maintenance; Elsevier: Amsterdam, The Netherlands, 2015. [Google Scholar]
 - Corsi, S. Voltage Control and Protection in Electrical Power Systems: From System Components to Wide-Area Control; Springer: New York, NY, USA, 2015. [Google Scholar]
 - Sumper, A.; Baggini, A. Electrical Energy Efficiency: Technologies and Applications; John Wiley & Sons: Hoboken, NJ, USA, 2012. [Google Scholar] [CrossRef]
 - Wiatr, J.; Boczkowski, A.; Orzechowski, M. Overvoltage Protection, Selecting Wires and Their Protection in Low Voltage Wiring Systems; MEDIUM Publishing House: Warsaw, Poland, 2010. [Google Scholar]
 - Feng, D.; Lin, S.; He, Z.; Sun, X.; Wang, Z. Failure Risk Interval Estimation of Traction Power Supply Equipment Considering the Impact of Multiple Factors. IEEE Trans. Transp. Electrif. 2018, 4, 389–398. [Google Scholar] [CrossRef]
 - Billinton, R.; Allan, R.N. Reliability Evaluation of Power Systems; Plenum Press: New York, NY, USA, 1996. [Google Scholar]
 - Sozański, J. Reliability and Operating Quality of Electric Power System; WNT: Warsaw, Poland, 1990. [Google Scholar]
 - Baggini, A. (Ed.) Handbook of Power Quality; John Wiley & Sons: Hoboken, NJ, USA, 2008. [Google Scholar]
 - Borlase, S. (Ed.) Smart Grids: Infrastructure, Technology, and Solutions; Taylor & Francis Group: Abingdon, UK, 2012. [Google Scholar]
 - Buchholz, B.M.; Styczynski, Z. Smart Grids—Fundamentals and Technologies in Electricity Networks; Springer: Berlin/Heidelberg, Germany, 2014. [Google Scholar]
 - Keyhani, A.; Marwali, M. Smart Power Grids; Springer: Berlin/Heidelberg, Germany, 2011. [Google Scholar]
 - Lobov, B.N.; Kolpakhch’yan, P.G.; Belokopytov, S.A.; Madzhid, A.D.R.A. A choice of the structure of the photovoltaic system for power supply. Russ. Electr. Eng. 2015, 86, 398–402. [Google Scholar] [CrossRef]
 - Mahmoud, M.S.; AL-Sunni, F.M. Control and Optimization of Distributed Generation Systems; Springer International Publishing: Cham, Switzerland, 2015. [Google Scholar]
 - Wiatr, J. Generating Sets in Building Emergency Power Systems; MEDIUM Publishing House: Warsaw, Poland, 2009. [Google Scholar]
 - Wang, L. (Ed.) Modeling and Control. of Sustainable Power Systems; Springer: London, UK, 2012. [Google Scholar]
 - Dattatraya Shinde, K.; Mane, P.B. Augmenting rooftop solar energy penetration ratio with secondary distribution network using smart inverter for maximum power transfer capacity for subordinate grid—A review. Energy Sources Part A 2019, 41, 713–733. [Google Scholar] [CrossRef]
 - Miler, R.K.; Kisielewski, M.J.; Brzozowska, A.; Kalinichenko, A. Efficiency of Telematics Systems in Management of Operational Activities in Road Transport Enterprises. Energies 2020, 13, 4906. [Google Scholar] [CrossRef]
 - Nagaraja, Y.; Vijaya Kumar, M.; Deva Raju, T. Analysis and design of a robust controller for a grid-connected photovoltaic power plant. Int. J. Ambient Energy 2018, 1–8. [Google Scholar] [CrossRef]
 - Jahid, A.; Monju, K.H.; Hossain, S.; Hossain, F. Hybrid power supply solutions for off-grid green wireless networks. Int. J. Green Energy 2019, 16, 12–33. [Google Scholar] [CrossRef]
 - Werbińska-Wojciechowska, S. Technical System Maintenance. Delay-Time-Based Modeling; Springer International Publishing: Cham, Switzerland, 2019. [Google Scholar]
 - Klimczak, T.; Paś, J. Basics of Exploitation of Fire Alarm Systems in Transport Facilities; Military University of Technology: Warsaw, Poland, 2020. [Google Scholar]
 - Paś, J.; Rosiński, A.; Chrzan, M.; Białek, K. Reliability-Operational Analysis of the LED Lighting Module Including Electromagnetic Interference. IEEE Trans. Electromagn C 2020, 62, 2747–2758. [Google Scholar] [CrossRef]
 - Siergiejczyk, M.; Paś, J.; Dudek, E. Reliability analysis of aerodrome’s electronic security systems taking into account electromagnetic interferences. In Risk, Reliability and Safety: Innovating Theory and Practice: Proceedings of ESREL 2016; Walls, L., Revie, M., Bedford, T., Eds.; CRC Press/Balkema: London, UK, 2017; pp. 2285–2292. [Google Scholar]
 - Duer, S. Artificial neural network in the control process of object’s states basis for organization of a servicing system of a technical objects. Neural Comput. Appl. 2012, 21, 153–160. [Google Scholar] [CrossRef]
 - Duer, S.; Zajkowski, K. Taking decisions in the expert intelligent system to support maintenance of a technical object on the basis information from an artificial neural network. Neural Comput. Appl. 2013, 23, 2185–2197. [Google Scholar] [CrossRef]
 - Stawowy, M. Comparison of uncertainty models of impact of teleinformation devices reliability on information quality. In Safety and Reliability: Methodology and Applications—Proceedings of the European Safety and Reliability Conference ESREL 2014; Nowakowski, T., Młyńczak, M., Jodejko-Pietruczuk, A., Werbińska–Wojciechowska, S., Eds.; CRC Press/Balkema: London, UK, 2015; pp. 2329–2333. [Google Scholar]
 - Stawowy, M. Model for information quality determination of teleinformation systems of transport. In Safety and Reliability: Methodology and Applications-Proceedings of the European Safety and Reliability Conference ESREL 2014; Nowakowski, T., Młyńczak, M., Jodejko-Pietruczuk, A., Werbińska–Wojciechowska, S., Eds.; CRC Press/Balkema: London, UK, 2015; pp. 1909–1914. [Google Scholar]
 - Dempster, A.P. Upper and lower probabilities inducted by a multi-valued mapping. Ann. Math. Stat. 1967, 38, 325–339. [Google Scholar] [CrossRef]
 - Shafer, G. A Mathematical Theory of Evidence; Princeton University Press: Princeton, NJ, USA, 1976. [Google Scholar]
 - Siergiejczyk, M.; Stawowy, M. Modelling of uncertainty for continuity quality of power supply. In Proceedings of the Risk, Reliability and Safety: Innovating Theory and Practice; Walls, L., Revie, M., Bedford, T., Eds.; CRC Press/Balkema: London, UK, 2017; pp. 667–671. [Google Scholar]
 - International Organization for Standardization. Quality Management Systems—Requirements; ISO/IEC 9001:2015; ISO: Geneva, Switzerland, 2015. [Google Scholar]
 - International Organization for Standardization. Data Quality—Part 8: Information and Data Quality: Concepts and Measuring; ISO/IEC 8000-8:2015; ISO: Geneva, Switzerland, 2015. [Google Scholar]
 - International Organization for Standardization. Quality Management Systems—Fundamentals and Vocabulary; ISO/IEC 9000:2015; ISO: Geneva, Switzerland, 2015. [Google Scholar]
 - Fisher, C.; Lauria, E.; Chengalur-Smith, S.; Wang, R. Introduction to Information Quality; Authorhouse: Bloomington, IN, USA, 2011. [Google Scholar]
 - Stawowy, M.; Rosiński, A.; Paś, J.; Klimczak, T. Method of Estimating Uncertainty as a Way to Evaluate Continuity Quality of Power Supply in Hospital Devices. Energies 2021, 14, 486. [Google Scholar] [CrossRef]
 - Kuznetsov, V.; Lyubarskyi, B.; Kardas-Cinal, E.; Yeritsyan, B.; Riabov, I.; Rubanik, I. Recommendations for the selection of parameters for shunting locomotives. Arch. Transp. 2020, 56, 119–133. [Google Scholar] [CrossRef]
 - Szmel, D.; Zabłocki, W.; Ilczuk, P.; Kochan, A. Selected issues of risk assessment in relation to railway signalling systems. WUT J. Transp. Eng. 2019, 127, 81–91. [Google Scholar] [CrossRef]
 - Suproniuk, M.; Paś, J. Analysis of electrical energy consumption in a public utility buildings. Przegląd Elektrotechniczny 2019, 95, 97–100. [Google Scholar] [CrossRef]
 - Zhang, D.; Wang, L.Y.; Jiang, J.; Zhang, W. Load Prediction and Distributed Optimal Control of On-Board Battery Systems for Dual-Source Trolleybuses. IEEE Trans. Transp. Electrif. 2017, 3, 284–296. [Google Scholar] [CrossRef]
 - Paś, J.; Buchla, S. Exploitation of electronic devices—Selected issues. J. KONBiN 2019, 49, 125–142. [Google Scholar] [CrossRef]
 - Jacyna, M.; Szczepański, E.; Izdebski, M.; Jasiński, S.; Maciejewski, M. Characteristics of event recorders in Automatic Train Control systems. Arch. Transp. 2018, 46, 61–70. [Google Scholar] [CrossRef]
 - Suproniuk, M.; Paś, J. Analysis of electrical energy consumption on the example of a selected building. Biuletyn WAT 2019, LXVIII, 165–174. [Google Scholar] [CrossRef]
 - Nakagawa, T.; Zhao, X. Maintenance Overtime Policies in Reliability Theory. Models with Random Working Cycles; Springer International Publishing: Cham, Switzerland, 2015. [Google Scholar]
 - Stawowy, M. Method of Multilayer Modeling of Uncertainty in Estimating the Information Quality of ICT Systems in Transport; Publishing House Warsaw University of Technology: Warsaw, Poland, 2019. [Google Scholar]
 - Massachusetts Institute of Technology Information Quality (MITIQ) Program. Available online: http://mitiq.mit.edu (accessed on 2 May 2020).
 - Geng, H.; Loeffler, C.; Spears, E. Uninterruptible power supply system. In Data Center Handbook; Geng, H., Ed.; John Wiley & Sons: Hoboken, NJ, USA, 2015; pp. 495–521. [Google Scholar]
 - Wiatr, J.; Miegoń, M. UPS Power Supplies and Accumulator Batteries in Emergency Power Systems; MEDIUM Publishing House: Warsaw, Poland, 2008. [Google Scholar]
 - Stawowy, M.; Olchowik, W.; Rosiński, A.; Dąbrowski, T. The Analysis and Modelling of the Quality of Information Acquired from Weather Station Sensors. Remote Sens. 2021, 13, 693. [Google Scholar] [CrossRef]
 - Addabbo, T.; Fort, A.; Mugnaini, M.; Vignoli, V.; Simoni, E.; Mancini, M. Availability and reliability modeling of multicore controlled UPS for data center applications. Reliab. Eng. Syst. Saf. 2016, 149, 56–62. [Google Scholar] [CrossRef]
 - Polak, R.; Laskowski, D.; Matyszkiel, R.; Łubkowski, P.; Konieczny, Ł.; Burdzik, R. Optimizing the Data Flow in a Network Communication between Railway Nodes. In Research Methods and Solutions to Current Transport Problems; Siergiejczyk, M., Krzykowska, K., Eds.; Springer: Cham, Switzerland, 2020; pp. 351–362. [Google Scholar]
 - Stawowy, M.; Perlicki, K.; Sumiła, M. Comparison of uncertainty multilevel models to ensure ITS Services. Safety Reliab. Theory Appl. 2017, 382, 2647–2652. [Google Scholar] [CrossRef]
 - Johansson, J.; Hassel, H.; Zio, E. Reliability and vulnerability analyses of critical infrastructures: Comparing two approaches in the context of power systems. Reliab. Eng. Syst. Saf. 2013, 120, 27–38. [Google Scholar] [CrossRef]
 








| Observation | Value | 
|---|---|
| e1.1 | 0.999 | 
| e1.2 | 0.1 | 
| e1.3 | 0.02 | 
| Observation | Value | 
|---|---|
| e2.1 | 0.9999 | 
| e2.2 | 0.08 | 
| e2.3 | 0.03 | 
| m2 ({e1.1}) = 0.999 m2 (Θ) = 0.001  | m2 ({e1.1}) | m2 (Θ) | 
|---|---|---|
| m1 (Θ) | m3 ({e1.1}) | m3 (Θ) | 
| m4 ({e1.2}) = 0.1 m4 (Θ) = 0.9  | m4 ({e1.2}) | m4 (Θ) | 
|---|---|---|
| m3 ({e1.1}) | m5 ({Ø}) | m5 ({e1.1}) | 
| m3 (Θ) | m5 ({e1.2}) | m5 (Θ) | 
| m6 ({e1.3}) = 0.02 m6 (Θ) = 0.98  | m6 ({e1.3}) | m6 (Θ) | 
|---|---|---|
| m5 ({Ø}) | m7 ({Ø}) | m7 ({Ø}) | 
| m5 ({e1.2}) | m7 ({e1.2}) | m7 ({e1.2}) | 
| m5 ({e1.1}) | m7 ({Ø}) | m7 ({e1.1}) | 
| m5 (Θ) | m7 ({e1.3}) | m7 (Θ) | 
| m2 ({h1`}) = 0.16 m2 (Θh`) = 0.84  | m2 ({h1`}) | m2 (Θh`) | 
|---|---|---|
| m1 (Θh`) | m3 ({h1`}) | m3 (Θh`) | 
| m4 ({h2`}) = 0.14 m4 (Θh`) = 0.86  | m4 ({h2`}) | m4 (Θh`) | 
|---|---|---|
| m3 ({h1`}) | m5 ({Øh`}) | m5 ({h1`}) | 
| m3 (Θh`) | m5 ({h2`}) | m5 (Θh`) | 
Publisher’s Note: MDPI stays neutral with regard to jurisdictional claims in published maps and institutional affiliations.  | 
© 2021 by the authors. Licensee MDPI, Basel, Switzerland. This article is an open access article distributed under the terms and conditions of the Creative Commons Attribution (CC BY) license (https://creativecommons.org/licenses/by/4.0/).
Share and Cite
Stawowy, M.; Rosiński, A.; Siergiejczyk, M.; Perlicki, K. Quality and Reliability-Exploitation Modeling of Power Supply Systems. Energies 2021, 14, 2727. https://doi.org/10.3390/en14092727
Stawowy M, Rosiński A, Siergiejczyk M, Perlicki K. Quality and Reliability-Exploitation Modeling of Power Supply Systems. Energies. 2021; 14(9):2727. https://doi.org/10.3390/en14092727
Chicago/Turabian StyleStawowy, Marek, Adam Rosiński, Mirosław Siergiejczyk, and Krzysztof Perlicki. 2021. "Quality and Reliability-Exploitation Modeling of Power Supply Systems" Energies 14, no. 9: 2727. https://doi.org/10.3390/en14092727
APA StyleStawowy, M., Rosiński, A., Siergiejczyk, M., & Perlicki, K. (2021). Quality and Reliability-Exploitation Modeling of Power Supply Systems. Energies, 14(9), 2727. https://doi.org/10.3390/en14092727
        
                                                
