Investigation of Survival/Hazard Rate of Natural Ester Treated with Al2O3 Nanoparticle for Power Transformer Liquid Dielectric
Abstract
1. Introduction
2. Key Materials of Research
2.1. Marula Oil (MRO)
2.2. Conductive Nanoparticle (CNP)
3. Dielectric Behavior of Host Fluids
Experimental Procedure of the Investigated Dielectric Properties
4. Assessment of Breakdown Voltage of Host Fluids
5. Preparation of the Nanofluids
5.1. Nanoparticle Impact on the Breakdown Voltage
Assessment of Survival and Hazard Functions of Breakdown Voltage
5.2. Nanoparticle Impact on Kinematic Viscosity
Assessment of Survival and Hazard Functions of Kinematic Viscosity
5.3. Nanoparticle Impact on Flash Point and Fire Point
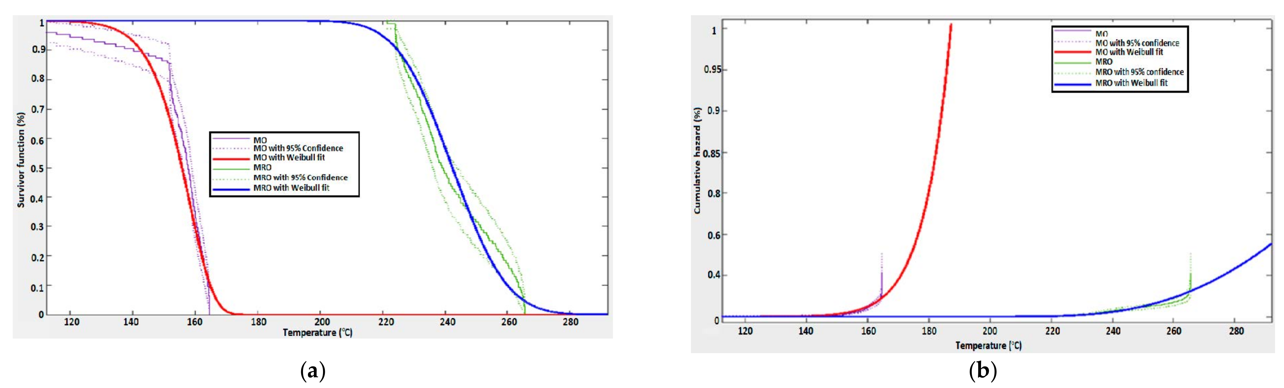
Assessment of Survival and Hazard Functions of Flash Point and Fire Point
6. Conclusions
Author Contributions
Funding
Conflicts of Interest
Nomenclature
References
- Bakrutheen, M.; Raymon, A.; Pakianathan, P.S.; Rajamani, M.P.E.; Karthik, R. Enhancement of Critical Characteristics of Aged Transformer Oil using Regenerative Additives. Aust. J. Electron. Electron. Eng. 2014, 11, 77–86. [Google Scholar] [CrossRef]
- IEA. 2019. Available online: https://www.iea.org/reports/world-energy-outlook-2019 (accessed on 26 November 2019).
- WICZ. 2020. Available online: http://www.wicz.com/story/42539724/global-transformers-market-size-and-share-by-industry-demand-worldwide-research-leading-players-updates-emerging-trends-investment-opportunities-andrevenueexpectationtill2025 (accessed on 25 August 2020).
- Іnduѕtrу Ѕеgmеnt Оutlook, Маrkеt Аѕѕеssment. Available online: https://www.alliedmarketresearch.com/transformer-oil-market (accessed on 25 August 2020).
- Raymon, A.; Ravi, S.; Abid, Y.; Modisa, M. Enhancement of dielectric properties of Baobab Oil and Mongongo Oil using cost-effective additive for power transformer insulating fluids. Environ. Technol. Innov. 2020, 20, 1–13. [Google Scholar]
- Rafiq, M.; Shafique, M.; Azam, A.; Ateeq, M.; Ahmad Khan, I.; Hussain, A. Sustainable, renewable and environmental-friendly insulation systems for high voltages applications. Molecules 2020, 25, 3901. [Google Scholar] [CrossRef] [PubMed]
- Raymon, A.; Ravi, S.; Abid, Y.; Modisa, M. An overview of potential liquid insulation in power transformer. J. Energy Convers. 2020, 8, 126–140. [Google Scholar]
- Kumar, S.S.; Iruthayarajan, M.W.; Bakrutheen, M. Analysis of vegetable liquid insulating medium for applications in high voltage transformers. In Proceedings of the International Conference on Science Engineering and Management Research (ICSEMR), Chennai, India, 27–27 November 2015. [Google Scholar]
- Suhaimi, S.N.; Rahman, A.R.; Din, M.F.M.; Hassan, M.Z.; Ishak, M.T.; Jusoh MT, B. A review on oil-based nanofluid as next generation insulation for transformer application. J. Nanomater. 2020, 2020, 1–17. [Google Scholar] [CrossRef]
- Harlow, J.H. Electric Power Transformer Engineering, 3rd ed.; CRC Press: London, UK, 2012; pp. 1–693. [Google Scholar]
- Boris, H.; Gockenbach, E.; Dolata, B. Ester fluids as alternative for mineral based transformer. In Proceedings of the IEEE International Conference on Dielectric Liquids, Virginia Beach, VA, USA, 18–21 October 2009. [Google Scholar]
- Raymon, A.; Ravi, S.; Abid, Y.; Modisa, M. Performance evaluation of natural esters and dielectric correlation assessment using artificial neural network (ANN). J. Adv. Dielectr. 2020, 10, 1–10. [Google Scholar]
- Hernandez-Herrera, H.; Jorge, I.S.-O.; Mejia-Taboada, M.; Jacome, A.D.; Torregroza-Rosas, M. Natural Ester Fluids Applications in Transformers as a Sustainable Dielectric and Coolant. Proc. AIP Conf. 2019, 2123, 020049. [Google Scholar] [CrossRef]
- Ab Ghani, S.; Muhamad, N.A.; Noorden, Z.A.; Zainuddin, H.; Abu Bakar, N.; Talib, M.A. Methods for improving the workability of natural ester insulating oils in power transformer applications: A review. Electr. Power Syst. Res. 2018, 163, 655–667. [Google Scholar] [CrossRef]
- Cristian, O.; Cristina, M.; Félix, O.; Fernando, D.; Alfredo, O. Titania nanofluids based on natural ester: Cooling and insulation properties assessment. Nanomaterial 2020, 10, 603. [Google Scholar]
- Ayalew, Z.; Kobayashi, K.; Matsumoto, S.; Kato, M. Dissolved Gas Analysis (DGA) of Arc Discharge Fault in Transformer Insulation Oils (Ester and Mineral Oils). In Proceedings of the 2018 IEEE Electrical Insulation Conference, San Antonio, TX, USA, 17–20 June 2018. [Google Scholar]
- Rouabeh, J.; M’barki, L.; Hammami, A.; Jallouli, I.; Driss, A. Studies of different types of insulating oils and their mixtures as an alternative to mineral oil for cooling power transformers. Heliyon 2019, 5, 1–15. [Google Scholar] [CrossRef] [PubMed]
- Chandrasekar, S.; Montanari, G. Analysis of partial discharge characteristics of natural esters as dielectric fluid for electric power apparatus applications. IEEE Trans. Dielectr. Electr. Insul. 2014, 1251–1259. [Google Scholar] [CrossRef]
- Rafiq, M.; Lv, Y.Z.; Ma, K.B.; Wang, W.; Li, C.R.; Wang, Q. Use of vegetable oils as transformer oils—A review. Renew. Sustain. Energy Rev. 2015, 52, 308–324. [Google Scholar] [CrossRef]
- Abdelmalik, A.A.; Fothergill, J.C.; Dodd, S.J.; Abbott, A.P.; Harris, R.C. Effect of Side Chains on the Dielectric Properties of Alkyl Esters Derived from Palm Kernel Oil. In Proceedings of the 2011 IEEE International Conference on Dielectric Liquids, Trondheim, Norway, 26–30 June 2011. [Google Scholar]
- Raymon, A.; Samuel Packianathan, P.; Rajamani, M.P.E.; Karthik, R. Enhancing the critical characteristics of natural esters with antioxidants for power transformer applications. IEEE Trans. Dielectr. Electr. Insul. 2013, 20, 899–912. [Google Scholar] [CrossRef]
- Jeong, J.I.; An, J.S.; Huh, C.S. Accelerated aging effects of mineral and vegetable transformer oils on medium voltage power transformers. IEEE Trans. Dielectr. Electr. Insul. 2012, 19, 156–161. [Google Scholar] [CrossRef]
- Raymon, A.; Ravi, S.; Abid, Y.; Modisa, M. Comparison of ageing characteristics of superior insulating fluids with mineral oil for power transformer application. IEEE Access 2020, 8, 141111–141122. [Google Scholar]
- Raymon, A.; Karthik, R. Reclaiming aged transformer oil with activated bentonite and enhancing reclaimed and fresh transformer oils with antioxidants. IEEE Trans. Dielectr. Electr. Insul. 2015, 22, 548–555. [Google Scholar] [CrossRef]
- Dudrow, F.A. Deodorization of edible oil. J. Am. Oil Chem. Soc. 1983, 60, 272–274. [Google Scholar] [CrossRef]
- Marula Production Guidelines. Available online: https://www.ethicalsuppliers.co.za/wp-content/uploads/2017/09/Marula-production-guidelines.pdf (accessed on 8 September 2020).
- Sclerocarya_Birrea. Available online: https://en.wikipedia.org/wiki/Sclerocarya_birrea (accessed on 10 September 2020).
- Raymon, A.; Sakthibalan, S.; Cinthal, C.; Subramaniaraja, R.; Yuvaraj, M. Enhancement and comparison of nano-ester insulating fluids. IEEE Trans. Dielectr. Electr. Insul. 2016, 23, 892–900. [Google Scholar] [CrossRef]
- Nerusu, N.; Narasimha Rao, K.V. Performance of nanoparticles (Al2O3) combined with mineral based lubricating oil in refrigeration and air-conditioning systems: A review. J. Adv. Res. Dyn. Control Syst. 2018, 10, 1741–1760. [Google Scholar]
- IEC. Insulating Liquids—Determination of the Breakdown Voltage at Power Frequency–Test Method, 3rd ed.; Standard IEC60156; IEC: Geneva, Switzerland, 2003. [Google Scholar]
- IEC. Standard Test Method for Determination of Water by Coulometric Karl Fischer Titration; Standard IEC60814; IEC: Geneva, Switzerland, 1994. [Google Scholar]
- IEC. Standard Test Method for Kinematic Viscosity of Transparent and Opaque Liquids (and Calculation of Dynamic Viscosity); Standard ASTM D445; IEC: Geneva, Switzerland, 2011. [Google Scholar]
- IEC. Standard Test Methods for Flash Point by Pensky-Martens Closed Cup Tester; Standard ASTM D93; IEC: Geneva, Switzerland, 2012. [Google Scholar]
- IEC. Standard Test Method for Acid and Base Number by Color Indicator Titration; Standard ASTM D974; IEC: Geneva, Switzerland, 2014. [Google Scholar]
- The Idea of a Probability Density Function. Available online: http://mathinsight.org/probability_density_function_idea (accessed on 15 November 2020).
- Sheldon Ross, M. Introduction to Probability and Statistics for Engineers and Scientists, 6th ed.; Academic Press: London, UK, 2020; pp. 1–687. [Google Scholar]
- Rajňák, M.; Kurimský, J.; Cimbala, R.; Čonka, Z.; Bartko, P.; Šuga, M.; Paulovičová, K.; Tóthová, J.; Karpets, M.; Kopčanský, P.; et al. Statistical analysis of AC dielectric breakdown in transformer oil-based magnetic nanofluids. J. Mol. Liq. 2020, 309. [Google Scholar] [CrossRef]
- Víctor, A.P.; García, B.; Carlos Burgos, J.; Ricardo, A. Enhancing transformer liquid insulation with nanodielectric fluids: State of the art and future trends. In Proceedings of the Advanced Research Workshop on Transformers, La Toja Island, Spain, 3–5 October 2016. [Google Scholar]





























| Host Fluids | Breakdown Voltage (KV) | Kinematic Viscosity (cSt) | Pour Point (°C) | Flash Point (°C) | Fire Point (°C) | Thermal Conductivity (W/m-K) | Moisture Content (ppm) | Acidity (mg KOH/g) |
|---|---|---|---|---|---|---|---|---|
| MRO | 47 | 52 | −23 | 225 | 237 | 0.182 | 84.237 | 0.020 |
| MO | 32 | 23 | −17 | 153 | 158 | 0.130 | <9.561 | 0.010 |
| Concentration of Al2O3 (g/L) | Breakdown Voltage of MRO (kV) | % Enhanced | Breakdown Voltage of MO (kV) | % Enhanced |
|---|---|---|---|---|
| 0 | 47 | 0 | 32 | 0 |
| 0.1 | 51 | 7.84 | 34 | 5.88 |
| 0.25 | 54 | 12.96 | 37 | 13.51 |
| 0.5 | 59 | 20.34 | 39 | 17.95 |
| 0.75 | 64 | 26.56 | 42 | 31.91 |
| 1 | 60 | 21.67 | 40 | 27.27 |
| 1.25 | 58 | 18.97 | 38 | 21.95 |
| 1.5 | 54 | 12.96 | 33 | 20.00 |
| 1.75 | 45 | −4.44 | 31 | 11.11 |
| 2 | 39 | −20.51 | 30 | −6.67 |
| Oil | Confidence | R2 | RMSE | Max Measured (kV) | Max Predicted (kV) | Deviation (kV) |
|---|---|---|---|---|---|---|
| MRO | 95% | 0.98 | 0.97 | 65.94 | 65.12 | 0.82 |
| MO | 95% | 0.98 | 0.61 | 44.52 | 44.28 | 0.24 |
| Conc (g/L) | Temperature | Goodness of Fit | ||||||||||
|---|---|---|---|---|---|---|---|---|---|---|---|---|
| 0 °C | % Decrement | 30 °C | % Decrement | 60 °C | % Decrement | 90 °C | % Decrement | 110 °C | % Decrement | |||
| R2 | RMSE | |||||||||||
| 0.1 | 52 | 0 | 45 | 0 | 37 | 0 | 20 | 0 | 13 | 0 | 0.99 | 2.227 |
| 0.25 | 47 | −10.64 | 41 | −9.76 | 34 | −8.82 | 19 | −5.26 | 11 | −18.18 | 0.98 | 2.166 |
| 0.5 | 43 | −20.93 | 39 | −15.38 | 31 | −19.35 | 15 | −33.33 | 10 | −30.00 | 0.99 | 1.839 |
| 0.75 | 37 | −40.54 | 27 | −66.67 | 24 | −54.17 | 12 | −66.67 | 8 | −62.50 | 0.96 | 2.964 |
| 2 | 39 | −3317.33 | 31 | −45.16 | 28 | −32.14 | 21 | 4.76 | 13 | 0 | 0.92 | 2.685 |
| Oil and Temperature | a0 | a1 | b1 | w | R2 |
|---|---|---|---|---|---|
| MRO 0 °C | 43.22 | 5.499 | 2.257 | 4.291 | 0.9628 |
| MRO 30 °C | 37.21 | −2.851 | 8.326 | 6.61 | 0.7669 |
| MRO 60 °C | 30.03 | 1.862 | 5.246 | 5.615 | 0.9176 |
| MRO 90 °C | 5.391 × 108 | −5.391 × 108 | 1.113 × 105 | −0.0003764 | 0.8396 |
| MRO 110 °C | 6.027 × 107 | −6.027 × 107 | 2.871 × 104 | −0.0009218 | 0.8421 |
| Conc (g/L) | Temperature | Goodness of Fit | ||||||||||
|---|---|---|---|---|---|---|---|---|---|---|---|---|
| 0 °C | % Decrement | 30 °C | % Decrement | 60 °C | % Decrement | 90 °C | % Decrement | 110 °C | % Decrement | |||
| R2 | RMSE | |||||||||||
| 0.1 | 22 | 0 | 20 | 0 | 15 | 0 | 10 | 0 | 7 | 0 | 0.99 | 0.21 |
| 0.25 | 21 | −4.76 | 21 | 4.76 | 17 | 11.76 | 11 | 9.09 | 8 | 12.50 | 0.99 | 0.30 |
| 0.5 | 18 | −22.22 | 15 | −33.33 | 11 | −36.36 | 8 | −25.00 | 6 | −16.67 | 0.99 | 0.23 |
| 0.75 | 15 | −46.67 | 13 | −53.85 | 10 | −50.00 | 7 | −42.86 | 4 | −75.00 | 0.99 | 0.51 |
| 2 | 19 | −15.79 | 16 | −25.00 | 14 | −7.14 | 12 | 16.67 | 9 | 22.22 | 0.97 | 0.76 |
| Oil and Temperature | a0 | a1 | b1 | w | R2 |
|---|---|---|---|---|---|
| MO 0 °C | 3.6 × 108 | −3.6 × 108 | 9.4 × 104 | −0.0 | 0.73 |
| MO 30 °C | 17.2 | 4.1 | 1.9 | 4.8 | 0.97 |
| MO 60 °C | 13.4 | 3.0 | 2.7 | 5.6 | 0.97 |
| MO 90 °C | 1.1 × 106 | −1.1 × 106 | 4.3 | −0.0 | 0.85 |
| MO 110 °C | 3.5 × 107 | −3.5 × 107 | −2.5 × 104 | 0.0 | 0.77 |
| Concentration of Al2O3 (g/L) | MRO | MO | ||||||
|---|---|---|---|---|---|---|---|---|
| Flash Point (°C) | Fire Point(°C) | Absolute Difference | Relative Difference | Flash Point (°C) | Fire Point (°C) | Absolute Difference | Relative Difference | |
| 0 | 225 | 237 | 12 | 5.19 | 153 | 158 | 5 | 3.22 |
| 0.1 | 225 | 240 | 15 | 6.45 | 152 | 159 | 7 | 4.50 |
| 0.25 | 231 | 252 | 21 | 8.70 | 155 | 161 | 6 | 3.80 |
| 0.5 | 239 | 263 | 24 | 9.56 | 159 | 166 | 7 | 4.31 |
| 0.75 | 257 | 291 | 34 | 12.41 | 163 | 171 | 8 | 4.79 |
| 1 | 254 | 264 | 10 | 3.86 | 161 | 168 | 7 | 4.26 |
| 1.25 | 246 | 258 | 12 | 4.76 | 154 | 161 | 7 | 4.44 |
| 1.5 | 241 | 248 | 7 | 2.86 | 148 | 154 | 6 | 3.97 |
| 1.75 | 237 | 241 | 4 | 1.67 | 143 | 148 | 5 | 3.44 |
| 2 | 231 | 234 | 3 | 1.29 | 136 | 140 | 4 | 2.90 |
| Parameter | a0 | a1 | b1 | w | R2 |
|---|---|---|---|---|---|
| MRO Flash Point | 241.6 | −11.2 | −11.9 | 4.8 | 0.82 |
| MRO Fire Point | 263.7 | −14.2 | −20.7 | 5.6 | 0.60 |
| MO Flash Point | −2.226 × 109 | 2.26 × 109 | 3.421 × 105 | 0 | 0.63 |
| MO Fire Point | 164.2 | −5.6 | −5.242 | 5.3 | 0.70 |
Publisher’s Note: MDPI stays neutral with regard to jurisdictional claims in published maps and institutional affiliations. |
© 2021 by the authors. Licensee MDPI, Basel, Switzerland. This article is an open access article distributed under the terms and conditions of the Creative Commons Attribution (CC BY) license (http://creativecommons.org/licenses/by/4.0/).
Share and Cite
Raj, R.A.; Samikannu, R.; Yahya, A.; Mosalaosi, M. Investigation of Survival/Hazard Rate of Natural Ester Treated with Al2O3 Nanoparticle for Power Transformer Liquid Dielectric. Energies 2021, 14, 1510. https://doi.org/10.3390/en14051510
Raj RA, Samikannu R, Yahya A, Mosalaosi M. Investigation of Survival/Hazard Rate of Natural Ester Treated with Al2O3 Nanoparticle for Power Transformer Liquid Dielectric. Energies. 2021; 14(5):1510. https://doi.org/10.3390/en14051510
Chicago/Turabian StyleRaj, Raymon Antony, Ravi Samikannu, Abid Yahya, and Modisa Mosalaosi. 2021. "Investigation of Survival/Hazard Rate of Natural Ester Treated with Al2O3 Nanoparticle for Power Transformer Liquid Dielectric" Energies 14, no. 5: 1510. https://doi.org/10.3390/en14051510
APA StyleRaj, R. A., Samikannu, R., Yahya, A., & Mosalaosi, M. (2021). Investigation of Survival/Hazard Rate of Natural Ester Treated with Al2O3 Nanoparticle for Power Transformer Liquid Dielectric. Energies, 14(5), 1510. https://doi.org/10.3390/en14051510

